Sign in to use this feature.

Years

Between: -

Subjects

remove_circle_outline
remove_circle_outline
remove_circle_outline
remove_circle_outline
remove_circle_outline
remove_circle_outline
remove_circle_outline
remove_circle_outline
remove_circle_outline

Journals

remove_circle_outline
remove_circle_outline
remove_circle_outline
remove_circle_outline
remove_circle_outline

Article Types

Countries / Regions

remove_circle_outline
remove_circle_outline
remove_circle_outline
remove_circle_outline
remove_circle_outline

Search Results (174)

Search Parameters:
Keywords = Hypericum perforatum

Order results
Result details
Results per page
Select all
Export citation of selected articles as:
14 pages, 278 KB  
Review
Burning Mouth Syndrome: Review of Current and Emerging Therapeutic Strategies
by Pierangelo Burdo, Roberta Pasqualone, Amar Ferati, Mattia Sozzi, Cristina Meuli and Giuseppe Varvara
Oral 2026, 6(2), 46; https://doi.org/10.3390/oral6020046 - 17 Apr 2026
Viewed by 204
Abstract
Background/Objectives: Burning mouth syndrome (BMS) is a chronic idiopathic orofacial pain disorder characterized by persistent intraoral burning in the absence of detectable mucosal alterations. Diagnosis is challenging due to the lack of specific biomarkers and the need to exclude numerous systemic and local [...] Read more.
Background/Objectives: Burning mouth syndrome (BMS) is a chronic idiopathic orofacial pain disorder characterized by persistent intraoral burning in the absence of detectable mucosal alterations. Diagnosis is challenging due to the lack of specific biomarkers and the need to exclude numerous systemic and local conditions that can mimic oral burning. This literature review aims to summarize current and emerging therapeutic strategies for BMS. Methods: A structured and filtered search of PubMed, Scopus, and Web of Science identified studies evaluating pharmacological, phytotherapeutic, and non-pharmacological interventions. Results: Various antidepressants, anticonvulsants, benzodiazepines, H2 receptor antagonists, and low-dose naltrexone have demonstrated varying degrees of symptom reduction, while alpha lipoic acid (ALA) and phytomedicines such as capsaicin, Hypericum perforatum, Catuama, lycopene, crocin, and melatonin show mixed clinical benefits. Non-pharmacological approaches, including photobiomodulation (PBM), oral cryotherapy, neuromodulation techniques, and cognitive behavioral therapy, also provide meaningful symptom improvement in many patients. Conclusions: Across all modalities, therapeutic responses remain heterogeneous and generally incomplete, underscoring the absence of a universally effective treatment. Current evidence supports an individualized and multidisciplinary approach that integrates pharmacological, psychological, and adjunctive therapies to address the multifactorial nature of BMS. Full article
17 pages, 634 KB  
Review
Hypericin-Mediated Antimicrobial Photodynamic Therapy in Dentistry: A Systematic Review of Applications Against Oral Biofilms and Infections
by Radosław Turski, Maciej Dobrzyński, Aleksandra Warakomska, Magdalena Pietrzko, Iwona Gregorczyk-Maga, Dariusz Skaba and Rafał Wiench
Pharmaceutics 2026, 18(4), 491; https://doi.org/10.3390/pharmaceutics18040491 - 16 Apr 2026
Viewed by 180
Abstract
Background: Oral biofilms are a major etiological factor in dental caries, periodontal disease, peri-implantitis, and endodontic infections. Increasing antimicrobial resistance and the limitations of conventional therapies have intensified interest in antimicrobial photodynamic therapy (aPDT). Hypericin, a natural photosensitizer derived from Hypericum perforatum, [...] Read more.
Background: Oral biofilms are a major etiological factor in dental caries, periodontal disease, peri-implantitis, and endodontic infections. Increasing antimicrobial resistance and the limitations of conventional therapies have intensified interest in antimicrobial photodynamic therapy (aPDT). Hypericin, a natural photosensitizer derived from Hypericum perforatum, demonstrates potent reactive oxygen species generation and broad antimicrobial activity; however, its dental applications remain insufficiently synthesized. Objective: To systematically evaluate the antimicrobial efficacy, treatment parameters, safety, and clinical potential of hypericin-mediated aPDT against oral biofilms and infections in dentistry. Methods: This systematic review was conducted according to PRISMA 2020 and registered in PROSPERO CRD42024617727. Electronic searches of PubMed/MEDLINE, Embase, Scopus, and the Cochrane Library (January 2010 to December 2025) were performed. Studies assessing hypericin-mediated aPDT in oral or dental contexts were included. Methodological quality was evaluated using a predefined nine-domain risk-of-bias tool. Results: Eleven studies met the inclusion criteria. Hypericin-mediated aPDT demonstrated strong antimicrobial effects, achieving up to 99% planktonic inactivation and significant biofilm reduction across bacterial and fungal species. Activity was particularly pronounced against Gram-positive organisms, including Staphylococcus aureus and Enterococcus faecalis. However, efficacy against mature biofilms was variable and often dependent on formulation and irradiation parameters. Most studies showed moderate methodological quality, with frequent deficiencies in reporting light calibration and dosimetry. Advanced delivery systems, including liposomal and nanoparticle formulations, improved photodynamic performance. Conclusions: Hypericin-mediated aPDT shows promising antimicrobial activity against oral pathogens and biofilms, with favorable selectivity and safety profiles. Nevertheless, the evidence remains predominantly preclinical and heterogeneous. Standardized protocols and well-designed clinical trials are required before routine dental implementation can be recommended. Full article
(This article belongs to the Section Clinical Pharmaceutics)
Show Figures

Figure 1

15 pages, 1075 KB  
Article
In Vitro Efficacy of Ultrasonic Debridement with Adjunctive St. John’s Wort on Multispecies Dental Biofilms
by Zaharia Cristian, Kis Andreea Mihaela, George Andrei Drăghici, Dragoş Vasile Nica, Stefania Dinu and Olariu Iustin
Medicina 2026, 62(3), 563; https://doi.org/10.3390/medicina62030563 - 18 Mar 2026
Viewed by 310
Abstract
Background and Objectives: The use of St. John’s wort (Hypericum perforatum) in periodontal therapy remains underexplored despite its anti-inflammatory, antimicrobial, and potential osteoregenerative effects. This was the first study aiming to determine the in vitro efficacy of ultrasonic debridement combined [...] Read more.
Background and Objectives: The use of St. John’s wort (Hypericum perforatum) in periodontal therapy remains underexplored despite its anti-inflammatory, antimicrobial, and potential osteoregenerative effects. This was the first study aiming to determine the in vitro efficacy of ultrasonic debridement combined with a H. perforatum extract against dental biofilms. Materials and Methods: A multispecies biofilm model comprising Streptococcus mutans, Porphyromonas gingivalis, Fusobacterium nucleatum, and Tannerella forsythia was established on bovine dentin discs. Biofilms were treated with saline solution (control), ultrasonic debridement alone, ultrasonic debridement combined with H. perforatum extract (0.5%), and ultrasonic debridement combined with chlorhexidine (0.12%). Biofilm biomass was quantified with the crystal violet assay, and total viable counts were determined by colony-forming unit (CFU) analysis. Quantitative PCR was used to assess the genomic load of P. gingivalis. Biofilm architecture and bacterial viability were further examined using confocal laser scanning microscopy (CLSM). Results: Ultrasonic debridement combined with H. perforatum extract significantly reduced biofilm biomass compared to saline irrigation (p < 0.001) and ultrasonic debridement alone (p < 0.01). Similar reductions were observed for viable bacterial counts and P. gingivalis genomic load. The antimicrobial effect of the plant extract was comparable to that of chlorhexidine, with only minor differences in efficacy. Confocal microscopy confirmed marked disruption of biofilm architecture and decreased bacterial viability following treatment with the plant extract. Conclusions: Within the limitations of this in vitro model, H. perforatum extract demonstrated measurable antibiofilm activity when used as an adjunct to ultrasonic debridement. These findings provide proof-of-concept evidence supporting the antimicrobial potential of this plant-derived extract under controlled laboratory conditions. Further preclinical studies and well-designed clinical investigations are required to determine its therapeutic relevance in periodontal treatment. Full article
(This article belongs to the Section Dentistry and Oral Health)
Show Figures

Figure 1

25 pages, 413 KB  
Review
Efficacy and Safety of Herbal Supplements with Anxiolytic, Antidepressant, and Sedative Action: A Review of Clinical Data and Toxicological Risks
by Maria-Nina Căuș, Mariana Lupoae and Carmen Lidia Chițescu
Pharmaceuticals 2026, 19(3), 399; https://doi.org/10.3390/ph19030399 - 28 Feb 2026
Viewed by 1479
Abstract
Background/Objectives: Plant-based supplements are widely used for the management of anxiety, depression, and insomnia. Despite their over-the-counter availability and perceived safety, these products may pose relevant pharmacological and toxicological risks. This narrative review critically evaluates clinical evidence on commonly used herbal preparations, with [...] Read more.
Background/Objectives: Plant-based supplements are widely used for the management of anxiety, depression, and insomnia. Despite their over-the-counter availability and perceived safety, these products may pose relevant pharmacological and toxicological risks. This narrative review critically evaluates clinical evidence on commonly used herbal preparations, with particular emphasis on herb–drug interactions, adverse effects, and issues related to product adulteration. Methods: Major scientific databases (PubMed, Scopus, and Web of Science) were searched to identify clinical studies evaluating plant-based supplements for mental health and sleep disorders. Data on study design, dosage, efficacy, and adverse events were analyzed, together with regulatory information and reports of product adulteration and quality concerns. Results: Herbal supplements such as Hypericum perforatum, Passiflora incarnata, Valeriana officinalis, Piper methysticum, Withania somnifera, Crocus sativus, and Curcuma longa demonstrated anxiolytic, antidepressant, and sedative effects in clinical studies, with improvements in mood, stress levels, and sleep quality. Proposed mechanisms include modulation of monoaminergic and GABAergic pathways, serotonergic activity, regulation of the hypothalamic–pituitary–adrenal axis, and anti-inflammatory effects. However, clinically relevant risks were identified, including cytochrome P450–mediated drug interactions, excessive sedation, serotonin syndrome, and toxic effects associated with adulterated products, such as hepatotoxicity, cardiovascular events, and neurological disturbances. Conclusions: While plant-based supplements may provide clinically meaningful benefits for anxiety, depression, and insomnia, their use requires careful clinical monitoring due to potential pharmacokinetic and pharmacodynamic interactions and safety concerns. Increased awareness of herb–drug interactions and stricter quality control are essential to optimize therapeutic outcomes and minimize harm. Full article
(This article belongs to the Section Natural Products)
Show Figures

Graphical abstract

11 pages, 1747 KB  
Article
Stress-Associated Phenylpropanoid Metabolism and Nutritional Composition in Wild vs. MeJA-Elicited In Vitro Hypericum perforatum and Portulaca oleracea
by Gulmira Zhakupova, Assem Sagandyk, Tamara Tultabayeva, Aknur Muldasheva, Kadyrzhan Makangali and Aigerim Akhmetzhanova
Metabolites 2026, 16(3), 161; https://doi.org/10.3390/metabo16030161 - 28 Feb 2026
Viewed by 371
Abstract
Background/Objectives: The phenylpropanoid pathway in plants plays a pivotal role in the biosynthesis of secondary metabolites in plants, responding to environmental stresses to enhance protective compounds such as phenolic acids and flavonoids. This study compares the phenolic profiles, vitamins, sugars, and mineral elements [...] Read more.
Background/Objectives: The phenylpropanoid pathway in plants plays a pivotal role in the biosynthesis of secondary metabolites in plants, responding to environmental stresses to enhance protective compounds such as phenolic acids and flavonoids. This study compares the phenolic profiles, vitamins, sugars, and mineral elements of Hypericum perforatum and Portulaca oleracea grown under two contrasting conditions: wild habitats and in vitro cultures on Murashige–Skoog medium supplemented with methyl jasmonate (MeJA, 25–50 µM). Methods: Aerial parts were extracted with 70% ethanol and analyzed for phenolic profiles (rutin, caffeic acid, chlorogenic acid, quercetin), proximate composition, free sugars, vitamins, and mineral elements (n = 3, ANOVA/Tukey, p < 0.05). In vitro cultures were maintained under MeJA-elicited conditions; however, the present design does not allow for the separation of MeJA-specific effects from general in vitro growth conditions. Results: Wild samples showed higher phenolic contents (e.g., rutin in Hypericum perforatum: 22.224 ± 0.65 mg/g vs. 15.190 ± 0.311 mg/g in vitro; quercetin in Portulaca oleracea: 0.874 ± 0.157 mg/g vs. 0.444 ± 0.157 mg/g), highlighting the stress-induced activation of secondary metabolism in natural environments. Conclusions: Overall, the data indicate that wild-growing plants accumulate higher levels of key phenylpropanoids than MeJA-elicited in vitro cultures, underscoring the complexity of reproducing natural stress-associated metabolic patterns under controlled conditions. Full article
(This article belongs to the Section Food Metabolomics)
Show Figures

Figure 1

20 pages, 1232 KB  
Review
Primary and Hepatogenous Photosensitization in Livestock: A Review of Plant-Derived Phototoxins and Veterinary Implications
by Evelin Ramóna Péli and Dániel Cserhalmi
Vet. Sci. 2026, 13(3), 214; https://doi.org/10.3390/vetsci13030214 - 25 Feb 2026
Viewed by 470
Abstract
Photosensitization is a clinically significant dermatological and systemic disorder affecting grazing livestock worldwide. The condition arises following the ingestion or dermal exposure to photodynamic compounds that, upon activation by ultraviolet (UV) or visible light, induce tissue injury. Plant-associated photosensitization remains one of the [...] Read more.
Photosensitization is a clinically significant dermatological and systemic disorder affecting grazing livestock worldwide. The condition arises following the ingestion or dermal exposure to photodynamic compounds that, upon activation by ultraviolet (UV) or visible light, induce tissue injury. Plant-associated photosensitization remains one of the most important aetiological categories in veterinary toxicology and may occur via primary (direct phototoxic) or secondary (hepatogenous) mechanisms. This review synthesizes current knowledge on the occurrence of photosensitizing compounds in plants, their biochemical and toxicodynamic properties, and their clinical relevance in livestock species. Emphasis is placed on major primary photosensitizing taxa, including Heracleum spp. and Hypericum perforatum, as well as hepatotoxic pyrrolizidine alkaloid-containing plants such as Senecio spp. Mechanistic pathways, plant metabolite ecology, and toxicopathological outcomes are discussed alongside illustrative case material. Plant-associated photosensitization also carries substantial economic consequences through decreased productivity, increased treatment costs and culling losses in affected herds and flocks. This condition represents a significant animal welfare concern in pasture-based production systems, where prolonged sunlight exposure, limited shade availability, and variable botanical composition of grazing areas can exacerbate both the incidence and severity of clinical manifestations. This review may provide a consolidated veterinary toxicology framework for understanding plant-associated photosensitization in grazing systems. Full article
(This article belongs to the Section Veterinary Physiology, Pharmacology, and Toxicology)
Show Figures

Figure 1

21 pages, 1061 KB  
Article
Effects of Growth Phases and Intensification of Light on Secondary Metabolites and Agro-Morphological Traits of the St. John’s Wort (Hypericum perforatum L.)
by Mina Sadat Tabatabaei, Ahmad Sobhani, Morteza Khanahmadi, Sara Zare and Stefan Wanke
Plants 2026, 15(4), 663; https://doi.org/10.3390/plants15040663 - 22 Feb 2026
Viewed by 559
Abstract
Light regime and growth phase are significant determinants of agro-morphological traits and secondary metabolite accumulation in plants. This study evaluated the effects of two light conditions on agro-morphological and phytochemical traits of two Hypericum perforatum genotypes (Topas and Mariana). Natural daylight and an [...] Read more.
Light regime and growth phase are significant determinants of agro-morphological traits and secondary metabolite accumulation in plants. This study evaluated the effects of two light conditions on agro-morphological and phytochemical traits of two Hypericum perforatum genotypes (Topas and Mariana). Natural daylight and an extended 19 h photoperiod with supplemental white fluorescent light were tested at two growth phases (vegetative versus reproductive (flowering)), based on leaf sampling at the respective phases. Analysis of variance showed significant effects of growth phase, light treatment, and genotype on most traits, with growth phase exerting the most decisive influence (p < 0.01). Significant genotype × growth phase interactions were observed for most traits, whereas genotype × light interactions mainly affected phytochemical parameters. Leaf area, gland number, and gland area increased during the reproductive phase, especially in Topas, and were further enhanced under the 19 h photoperiod. Leaf area increased markedly during the reproductive phase, reaching 118.81 mm2 in Topas under the 19 h photoperiod compared with 68.40 mm2 under natural light. Prolonged light exposure increased hypericin, pseudo-hypericin, hyperforin, flavonoids, and total phenolics. The highest sum of hypericins (4.67 mg g−1 DW), flavonoids (143.09 mg QE g−1 DW), and phenolics (242.74 mg GA g−1 DW) was observed in the Topas in the reproductive phase under the 19 h photoperiod, whereas hyperforin content peaked in vegetative Mariana (55.65 mg g−1 DW). In contrast, the lowest sum of hypericins (1.80 mg g−1 DW) occurred in vegetative Mariana under natural light, while the minimum flavonoids (74.45 mg QE g−1 DW) and phenolics (133.22 mg GA g−1 DW) contents were recorded in the vegetative Topas under natural light regim, and the lowest hyperforin concentration (19.65 mg g−1 DW) was found in the Mariana genotype under natural light regime and in the reproductive phase. Principal component analysis associated PC1 with agro-morphological traits and hypericin-related metabolites, and PC2 with hyperforin and white gland traits. Heatmap and correlation analyses supported these patterns. Overall, extended photoperiod and growth phase are critical drivers of medicinal compound accumulation in H. perforatum. Full article
(This article belongs to the Section Plant Physiology and Metabolism)
Show Figures

Figure 1

35 pages, 1553 KB  
Review
Medicinal Plants for Major Depressive Disorder
by Amanda Gollo Bertollo, Luiza Spohr, Ana Élica Bearzi, Kelli Maria Kreuz and Zuleide Maria Ignácio
Brain Sci. 2026, 16(2), 223; https://doi.org/10.3390/brainsci16020223 - 13 Feb 2026
Viewed by 1247
Abstract
Major Depressive Disorder (MDD) is a severe, chronic illness for which conventional treatments often show limited efficacy and side effects, driving a renewed interest in traditional medicinal plants. The therapeutic promise of these plants lies in their multi-targeted action, influencing neurotransmitter systems, modulating [...] Read more.
Major Depressive Disorder (MDD) is a severe, chronic illness for which conventional treatments often show limited efficacy and side effects, driving a renewed interest in traditional medicinal plants. The therapeutic promise of these plants lies in their multi-targeted action, influencing neurotransmitter systems, modulating neuroinflammation and oxidative stress, impacting neuroplasticity, and regulating the Hypothalamic–Pituitary–Adrenal (HPA) axis. Despite their clinical potential, the use of medicinal plants is associated with challenges, including complex pharmacokinetics, significant adverse effects, and the risk of herb–drug interactions, alongside concerns regarding standardization and quality control. This manuscript aims to examine the therapeutic potential of key medicinal plants for managing MDD, including Hypericum perforatum, Rhodiola rosea, Melissa officinalis, Passiflora incarnata, Valeriana officinalis, and Cannabis sativa. Additionally, the review addresses emerging candidates such as Curcuma longa, Withania somnifera, Panax ginseng and Centella asiatica. By focusing on their mechanisms of action, pharmacokinetics, and associated risks, this review provides a more comprehensive understanding of their role in modern psychiatric care. Full article
Show Figures

Graphical abstract

14 pages, 4055 KB  
Article
Rheological Flow Behavior of Six Gelling Agents and Their Relevance for In Vitro Culture Performance of Medicinal Plants
by Doina Clapa, Monica Hârţa, Bernadette-Emőke Teleky, Ana-Maria Radomir, Adrian George Peticilă and Dorin Ioan Sumedrea
Gels 2026, 12(2), 163; https://doi.org/10.3390/gels12020163 - 12 Feb 2026
Viewed by 716
Abstract
Gelling agents are widely used to solidify plant tissue culture media, yet differences among commercial products may influence the medium’s physical properties and in vitro development of explants. The aim of this study was to characterize the rheological behavior of six gelling agents [...] Read more.
Gelling agents are widely used to solidify plant tissue culture media, yet differences among commercial products may influence the medium’s physical properties and in vitro development of explants. The aim of this study was to characterize the rheological behavior of six gelling agents (Daishin agar, Gelcarin, Gelrite, Microagar, Phytoagar, and Plant agar) and to examine it in parallel with in vitro performance in Hypericum perforatum, Mentha × piperita, and Stevia rebaudiana. Rheological measurements were performed under steady shear by recording apparent viscosity and shear stress across 5–300 s−1. Daishin agar showed the highest apparent viscosity (49,028.95 ± 128 mPa·s), whereas Gelrite exhibited the lowest viscosity (7826.75 ± 98 mPa·s). Plant responses were evaluated after four weeks on PGR-free Driver and Kuniyuki Walnut (DKW) medium by assessing shoot growth, rooting parameters, and shoot water content. In H. perforatum, the longest shoots were obtained on Gelrite (3.92 ± 0.34 cm), accompanied by the highest rooting percentage (95%). In M. × piperita, Gelcarin produced the longest shoots (8.20 ± 0.55 cm) and the highest number of roots per explant (9.75). In S. rebaudiana, Gelcarin promoted superior root elongation (2.86 ± 0.16 cm) and enhanced shoot growth, while Plant agar also supported favorable shoot development. Shoot water content ranged between 74% and 90%, depending on species and gelling agent. These findings highlight the practical relevance of considering low-shear rheological properties when comparing gelling agents for improving the consistency of in vitro culture media. Full article
(This article belongs to the Special Issue Women’s Special Issue Series: Gels (2nd Edition))
Show Figures

Figure 1

23 pages, 859 KB  
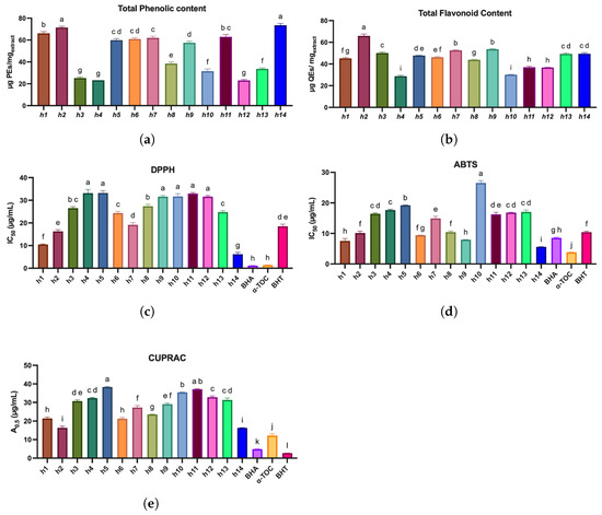
Article
Integrated LC–HRMS and HPLC Profiling of Fourteen Anatolian Hypericum Extracts Reveals Distinct Chemometric and Bioactivity Patterns
by Ömerül Faruk Tavlı, Alevcan Kaplan, Hasan Şahin, Emel Mataracı Kara, Gülsen Tel Çayan, Fatih Çayan, Ercan Çınar, Mehmet Boğa, Çağlayan Gürer and Esra Eroğlu Özkan
Pharmaceuticals 2026, 19(2), 299; https://doi.org/10.3390/ph19020299 - 11 Feb 2026
Viewed by 682
Abstract
Background/Objectives: Anatolia hosts a rich diversity of Hypericum taxa; however, the chemical and biological properties of most species remain insufficiently characterized. Methods: This study combined liquid chromatography–high-resolution mass spectrometry (LC–HRMS) with high-performance liquid chromatography coupled to diode-array detection (HPLC–DAD) to profile [...] Read more.
Background/Objectives: Anatolia hosts a rich diversity of Hypericum taxa; however, the chemical and biological properties of most species remain insufficiently characterized. Methods: This study combined liquid chromatography–high-resolution mass spectrometry (LC–HRMS) with high-performance liquid chromatography coupled to diode-array detection (HPLC–DAD) to profile 14 extracts obtained from 12 Anatolian species together with H. perforatum, and to examine whether metabolic variation aligns with bioactivity trends. Results: Chemometric analyses (Principal Component Analysis—PCA—and Hierarchical Cluster Analysis—HCA) revealed distinct chemotypes primarily driven by phenolic acids and flavonol glycosides, with hyperoside emerging as a consistently abundant marker. Phenolic-rich extracts displayed enhanced functional properties in multiple assays. Among them, H. triquetrifolium showed the strongest acetylcholinesterase inhibition and notable antioxidant capacity, whereas the selected taxa exhibited comparatively high tyrosinase or α-glucosidase inhibition. Antimicrobial testing indicated narrow-spectrum activity limited to Gram-positive bacteria and Candida spp. Conclusions: The integration of metabolite profiling with chemometric and functional data highlights clear chemotype–bioactivity associations across Anatolian Hypericum taxa and underscores the analytical value of LC–HRMS-guided chemotyping for pharmacognostic assessments. These results broaden the phytochemical and bioactivity landscape of this genus and provide a comparative framework for prioritizing species for future targeted investigations. Full article
Show Figures

Graphical abstract

29 pages, 2094 KB  
Article
Phytomedicines for Mental Disorders in Hungary—Questionnaire and Phytochemical Analysis of Herbal OTC Products
by Tibor Rák, Edit Ormai and Györgyi Horváth
Sci. Pharm. 2026, 94(1), 10; https://doi.org/10.3390/scipharm94010010 - 15 Jan 2026
Viewed by 844
Abstract
Mental health disorders, particularly anxiety and insomnia, are increasingly prevalent worldwide, prompting interest in herbal-based complementary therapies. This study surveyed 168 Hungarian healthcare professionals to evaluate their knowledge and recommendations regarding herbal sedatives and analyzed seven commonly suggested OTC products available in Hungary, [...] Read more.
Mental health disorders, particularly anxiety and insomnia, are increasingly prevalent worldwide, prompting interest in herbal-based complementary therapies. This study surveyed 168 Hungarian healthcare professionals to evaluate their knowledge and recommendations regarding herbal sedatives and analyzed seven commonly suggested OTC products available in Hungary, using thin-layer chromatography (TLC) and UV–Vis spectrophotometry according to the European Pharmacopoeia. The survey revealed that 86.9% of respondents recommend herbal products for nervous system complaints, with Valeriana officinalis and Melissa officinalis being the preferred ingredients. Herbal teas and traditional herbal medicines were the most frequently suggested product categories. Laboratory analysis confirmed the presence of marker compounds in all tested products; however, significant variability in active ingredient concentrations was observed. One homeopathic product contained an unidentified alkaloid-like compound, raising safety concerns. Essential oil yields from tea mixtures also varied markedly, and some products did not meet pharmacopoeial standards for hypericin content. These findings highlight the popularity of phytotherapy among healthcare professionals and the need for stricter quality control of OTC herbal sedatives. Future research should include multi-batch analyses and clinical trials to establish robust evidence for efficacy and safety. Full article
(This article belongs to the Topic Natural Products and Drug Discovery—2nd Edition)
Show Figures

Figure 1

19 pages, 3131 KB  
Article
Bacteriostatic Effect of Some Plant Extracts Against Crown Gall Caused by Agrobacterium tumefaciens L.
by Beata Jacek and Michał Miłek
Int. J. Mol. Sci. 2026, 27(2), 711; https://doi.org/10.3390/ijms27020711 - 10 Jan 2026
Viewed by 519
Abstract
The agar diffusion method was used to test the antibacterial activity of 12 plant species against Agrobacterium tumefaciens, the bacterium that is responsible for crown gall disease. Leaf, root, or flower extracts were prepared, but not all parts were used for each [...] Read more.
The agar diffusion method was used to test the antibacterial activity of 12 plant species against Agrobacterium tumefaciens, the bacterium that is responsible for crown gall disease. Leaf, root, or flower extracts were prepared, but not all parts were used for each of the 12 plants listed. Plant extracts from leaves exhibited higher antibacterial activity than those from flowers and roots. Furthermore, the type of solvent had a significant influence on both the antibacterial activity and the flavonoid and polyphenol content. Acetone and alcohol extracts contained higher contents of these compounds than water extracts. The strongest bacteriostatic effect was of the leaf extracts of eucalyptus (Eucalyptus nicholii L.) and St. John’s wort (Hypericum perforatum L.). Based on HPTLC analysis, eucalyptus extracts contained, among others, chlorogenic acid, hyperoside, and quercetin, while St. John’s wort extracts contained rutin, hyperoside, and quercetin. The tansy leaf extracts (Tanacetum vulgare L.) were also rich in flavonoids and phenolic acids, such as kaempferol-3-glucoside, luteolin, chlorogenic acid, cynarine, and rutin. However, a moderate inhibitory effect against the tested bacterium was found in tansy extracts, as well as hop (Humulus lupulus L.), wormwood (Artemisia absinthium L.), peppermint (Mentha piperita L.), yarrow (Achillea millefolium L.), and nettle (Urtica dioica L.) extracts. The least effective were the root extracts of dandelion (Taraxacum officinale F.H. Wiggers coll.) and valerian (Valeriana officinalis L.), as well as the flower extracts of chamomile (Matricaria chamomilla L.) and marigold (Calendula officinalis L.). Given the lack of effective chemical products and the unavailability of commercially resistant cultivars, the use of plant-based extracts for protecting against crown gall appears to be of particular interest. The preliminary results are promising and suggest that eucalyptus and St. John’s wort extracts are the most promising for controlling A. tumefaciens. Full article
Show Figures

Figure 1

17 pages, 1033 KB  
Article
Psychotropic Medicinal Plant Use in Oncology: A Dual-Cohort Analysis and Its Implications for Anesthesia and Perioperative Care
by Anika Wolff, Jutta Hübner, Jens Büntzel and Judith Büntzel
Appl. Sci. 2026, 16(1), 481; https://doi.org/10.3390/app16010481 - 2 Jan 2026
Viewed by 690
Abstract
Psychotropic medicinal plants are commonly used among oncology patients, yet their relevance in the perioperative setting remains insufficiently characterized. We conducted a literature-based identification of 18 neuroactive plants and surveyed 123 cancer patients and 109 healthcare professionals at a tertiary hospital in Northern [...] Read more.
Psychotropic medicinal plants are commonly used among oncology patients, yet their relevance in the perioperative setting remains insufficiently characterized. We conducted a literature-based identification of 18 neuroactive plants and surveyed 123 cancer patients and 109 healthcare professionals at a tertiary hospital in Northern Thuringia, Germany. Seventy-five percent of patients reported using at least one psychotropic plant. Knowledge levels were high and similar across groups (median 11 plants), while professionals reported a broader usage spectrum (p = 0.042). Frequently known and applied species included Valeriana officinalis, Lavandula angustifolia, Hypericum perforatum, and Urtica. Women used more plants than men (p = 0.024), and higher usage rates were observed in breast cancer and head and neck cancer patients. Heat-map analyses showed substantial overlap in knowledge but differences for species such as Atropa, Cannabis, and Papaver somniferum. Given the potential interactions with anesthetic and analgesic medications, structured preoperative assessment of herbal use is warranted to enhance perioperative safety. Full article
Show Figures

Figure 1

27 pages, 4839 KB  
Article
Advanced Hybrid Polysaccharide—Lipid Nanocarriers for Bioactivity Improvement of Phytochemicals from Centella asiatica and Hypericum perforatum
by Ioana Lăcătusu, Mihaela Bacalum, Diana Lavinia Stan, Ovidiu-Cristian Oprea, Mihaela Neagu, Georgeta Alexandru, Mihaela Prisacari and Nicoleta Badea
Pharmaceutics 2026, 18(1), 48; https://doi.org/10.3390/pharmaceutics18010048 - 30 Dec 2025
Viewed by 634
Abstract
Background/Objectives: Phytochemicals are known to be active contributors to a healthy life, providing valuable wound healing benefits. Methods: This research took an innovative approach that successfully overcame the bioavailability limits of herbal extracts, by entrapping CentellaA with HypericumP in nanostructured lipid carriers (NLCs) [...] Read more.
Background/Objectives: Phytochemicals are known to be active contributors to a healthy life, providing valuable wound healing benefits. Methods: This research took an innovative approach that successfully overcame the bioavailability limits of herbal extracts, by entrapping CentellaA with HypericumP in nanostructured lipid carriers (NLCs) and hybrid hyaluronic acid (HA-NLCs) as valuable formulations with enhanced bioactivity. Results: NLCs and HA-NLCs showed excellent entrapping efficiency values for CentellaA and HypericumP ranging from 89.5 to 95.3%. Co-entrapping of CentellaA:HypericumP in a weight ratio of 4:1 and 2:1 led to diameters of 221.4 ± 2.08 nm for NLC-CentellaA-HypericumP and 220.3 ± 1.74 nm for hybrid HA-NLC-CentellaA-HypericumP. The bimodal calorimetric profile of NLCs contributed to a lower degree of lipid core structural organization. HA-NLC-CentellaA showed the safest biocompatibility behavior with BJ skin cells. Conclusions: The cells treated with NLC-CentellaA exhibited a favorable scratch wound closure and promoted the fastest BJ cell migration. NLC- and HA-NLC herbal extracts remodeled the cytoskeleton of BJ fibroblast cells. The morphological fluorescence changes revealed that the fibroblast cells retained intact their cytoskeleton, characteristic of a viable cell with no obvious stress. An active motility of cells treated with NLCs in the wound area was detected, indicating strong pro-migratory properties; e.g., for NLC-CentellaA, the wound was almost closed after 30 h. Designing NLCs with HA adaptability to reinforce the skin wound healing action represents a desired step for the development of herbal products that meets the challenge of combining the benefits of phytochemicals and nanotechnology to create value-added herbal products. Full article
Show Figures

Figure 1

19 pages, 2249 KB  
Article
Structural Determinants for the Antidepressant Activity of St. John’s Wort (Hypericum perforatum): A Combined Theoretical and Experimental Study
by Afrodite Tryfon, George Petsis, Panagiota Siafarika, Evanthia Soubasi and Angelos G. Kalampounias
Physchem 2025, 5(4), 56; https://doi.org/10.3390/physchem5040056 - 14 Dec 2025
Viewed by 1490
Abstract
This study presents a systematic investigation of the dynamic and structural characteristics of St. John’s wort (Hypericum perforatum) in alcoholic solutions using experimental and theoretical techniques. Ultrasonic relaxation spectroscopy was employed to investigate medium-range dynamic processes, while density functional theory (DFT) [...] Read more.
This study presents a systematic investigation of the dynamic and structural characteristics of St. John’s wort (Hypericum perforatum) in alcoholic solutions using experimental and theoretical techniques. Ultrasonic relaxation spectroscopy was employed to investigate medium-range dynamic processes, while density functional theory (DFT) calculations were employed to explore the molecular structure and vibrational properties of the system. Theoretical calculations revealed two Hyperforin conformers, a keto derivative, and three protonated species. Acoustic spectra revealed three distinct Debye-type relaxation processes, corresponding to conformational changes in hyperforin, enol-to-keto tautomerization, and proton transfer mechanisms. In addition, St. John’s wort oil (Oleum Hyperici) was studied, using attenuated total reflection (ATR) infrared spectroscopy for several extraction intervals. These spectra were compared with the theoretical IR spectra of hypericin, hyperforin, and its derivatives, confirming the presence of hyperforin, keto, and two protonated species in the oil. Besides structural and dynamical evaluations, the study assessed the toxicity and biological activity of hyperforin and all species found in the solutions, offering information about potential pharmaceutical uses, suggesting that hyperforin and its keto form have the best antidepressant activity. This comprehensive analysis enhances the understanding of hyperforin’s molecular behavior and strengthens the therapeutic potential of St. John’s wort as a natural antidepressant agent. Full article
(This article belongs to the Section Experimental and Computational Spectroscopy)
Show Figures

Figure 1

Back to TopTop