Sign in to use this feature.

Years

Between: -

Subjects

remove_circle_outline
remove_circle_outline
remove_circle_outline
remove_circle_outline
remove_circle_outline
remove_circle_outline
remove_circle_outline
remove_circle_outline
remove_circle_outline

Journals

remove_circle_outline
remove_circle_outline
remove_circle_outline

Article Types

Countries / Regions

Search Results (219)

Search Parameters:
Keywords = Hertz model

Order results
Result details
Results per page
Select all
Export citation of selected articles as:
18 pages, 4957 KB  
Article
Calibration of DEM Contact Parameters for High-Moisture Rabbit Manure Using the Hertz–Mindlin with a JKR Model and a Three-Stage Optimization Strategy
by Zhihang Cui, Min Zhou, Xun Suo and Zichen Yang
Agriculture 2026, 16(8), 891; https://doi.org/10.3390/agriculture16080891 - 17 Apr 2026
Viewed by 244
Abstract
Rabbit manure with high-moisture content exhibits complex adhesive and flow behaviors, which make accurate parameterization in discrete element method (DEM) simulations difficult. To improve the reliability of DEM modeling for rabbit manure composting processes, this study calibrated the contact parameters of rabbit manure [...] Read more.
Rabbit manure with high-moisture content exhibits complex adhesive and flow behaviors, which make accurate parameterization in discrete element method (DEM) simulations difficult. To improve the reliability of DEM modeling for rabbit manure composting processes, this study calibrated the contact parameters of rabbit manure at 65% moisture content using the angle of repose as the target response. A physical angle of repose test was first conducted using the cylindrical lifting method, yielding a measured value of 38.77°. The Hertz–Mindlin with Johnson–Kendall–Roberts (JKR) contact model was then adopted to represent the adhesive behavior of the material, and a three-stage optimization strategy consisting of a Plackett–Burman screening test, a steepest ascent test, and a Box–Behnken design was applied to identify and optimize the key parameters. The results showed that the particle restitution coefficient, rabbit manure–PLA rolling friction coefficient, and surface energy were the dominant factors affecting the angle of repose. The optimal parameter combination was a particle restitution coefficient of 0.56, a rabbit manure–PLA rolling friction coefficient of 0.375, and a surface energy of 0.243 J/m2. Under these conditions, the simulated angle of repose was 39.21°, with a relative error of 1.13%. These calibrated parameters provide a reliable basis for DEM simulation and engineering optimization of rabbit manure composting equipment. Full article
(This article belongs to the Section Agricultural Technology)
Show Figures

Figure 1

30 pages, 6230 KB  
Article
Low-Frequency Sound Absorption Mechanism and Bidirectional Prediction of a Viscoelastic Rubber-Based Underwater Acoustic Coating Using Multimodal Deep Ensemble Learning
by Zhihao Zhang, Renchuan Ye, Nianru Liu and Guoliang Zhu
Polymers 2026, 18(6), 693; https://doi.org/10.3390/polym18060693 - 12 Mar 2026
Viewed by 598
Abstract
Underwater acoustic coatings are widely used to suppress low-frequency noise radiation and sonar reflection in underwater vehicles. In this study, an underwater acoustic coating model consisting of viscoelastic rubber layers and micro-perforated panel (MPP) structures is investigated, with particular emphasis on the low-frequency [...] Read more.
Underwater acoustic coatings are widely used to suppress low-frequency noise radiation and sonar reflection in underwater vehicles. In this study, an underwater acoustic coating model consisting of viscoelastic rubber layers and micro-perforated panel (MPP) structures is investigated, with particular emphasis on the low-frequency sound absorption mechanism and predictive modeling. Based on an improved transfer function method, a novel Micro-Perforated Panel Acoustic Coating Layer (MPPACL) model is developed to describe the coupled acoustic behavior of multilayer coatings under underwater conditions. The low-frequency sound absorption performance is primarily governed by the viscoelastic characteristics of the rubber layer, including material damping and complex modulus, while the incorporation of the MPP further enhances absorption through resonance effects. To efficiently explore the relationship between structural parameters and acoustic response, an ensemble learning-based deep neural network (ELDNN) is constructed using analytically generated data, enabling both forward prediction of sound absorption performance and inverse prediction of structural design parameters. The results show that the frequency prediction accuracy of the IDNN model is 3.7 times that of the DNN model. Furthermore, the proposed MPPACL model has achieved a significantly enhanced sound absorption effect within the frequency range of 50 to 2000 hertz. This effect has also been further verified through underwater experiments. The proposed framework provides an efficient and reliable approach for the design and optimization of underwater acoustic coatings. Full article
(This article belongs to the Section Polymer Analysis and Characterization)
Show Figures

Figure 1

27 pages, 8343 KB  
Article
Modeling Human–Robot Impact Dynamics in Collaborative Applications
by Alessio Caneschi, Matteo Bottin and Giulio Rosati
Actuators 2026, 15(3), 165; https://doi.org/10.3390/act15030165 - 12 Mar 2026
Viewed by 523
Abstract
This study presents an integrated experimental and modeling framework to investigate human–robot collision dynamics involving a collaborative manipulator (KUKA LBR iiwa 14 R820). A dedicated impact test prototype was developed to reproduce controlled contact scenarios between the robot and human body analogues under [...] Read more.
This study presents an integrated experimental and modeling framework to investigate human–robot collision dynamics involving a collaborative manipulator (KUKA LBR iiwa 14 R820). A dedicated impact test prototype was developed to reproduce controlled contact scenarios between the robot and human body analogues under various dynamic conditions. The experimental setup enables the acquisition of synchronized force, velocities, and displacement signals during contact events. These data are used to calibrate and validate a set of contact models, ranging from classical formulations such as Hertz and Hunt–Crossley to more recent supervised machine learning models. The proposed methodology allows a quantitative assessment of model accuracy and physical consistency in replicating real collision phenomena. Furthermore, the effective mass of the robot along its kinematic chain is estimated to compute impact energy and predict the interaction severity according to ISO 10218-1/2:2025 safety limits. The results highlight the trade-off between model complexity and predictive capability, offering alternative guidelines for collision severity evaluation in collaborative robotics applications. Full article
Show Figures

Figure 1

21 pages, 19705 KB  
Article
Magnetohydrodynamic Simulations of Transonic Accretion Flows
by Raj Kishor Joshi, Antonios Tsokaros, Sanjit Debnath, Indranil Chattopadhyay and Ramiz Aktar
Universe 2026, 12(3), 77; https://doi.org/10.3390/universe12030077 - 10 Mar 2026
Viewed by 424
Abstract
Theoretical studies of transonic accretion onto black holes reveal a wide range of possible solutions, broadly classified into smooth flows and flows featuring shocks. Accretion solutions that involve the formation of shocks are particularly intriguing, as they are expected to naturally produce observable [...] Read more.
Theoretical studies of transonic accretion onto black holes reveal a wide range of possible solutions, broadly classified into smooth flows and flows featuring shocks. Accretion solutions that involve the formation of shocks are particularly intriguing, as they are expected to naturally produce observable variability features. However, despite their theoretical significance, time-dependent studies exploring the stability and evolution of such shocked solutions remain relatively scarce. To address this gap, we perform simulations of transonic accretion flows around a black hole in an ideal magnetohydrodynamic framework. Our simulations are initialized using boundary conditions derived from semi-analytical hydrodynamical models, allowing us to explore the stability of these flows under varying magnetic field strengths. Our results indicate that mildly magnetized flows in a uniform vertical magnetic field alter the accretion dynamics through magnetic pressure, with the resulting force imbalance driving oscillations in the shock front. Variations in the emitted luminosity arising from shock oscillations appear as quasi-periodic oscillations (QPOs), a characteristic feature commonly observed in accreting black holes. We find that the QPO frequency is determined by the radial position of the shock front: oscillations occurring closer to the black hole produce frequencies of tens of hertz, whereas shocks located farther out yield sub-hertz frequencies. Full article
(This article belongs to the Special Issue Mechanisms Behind Black Holes and Relativistic Jets)
Show Figures

Figure 1

25 pages, 5611 KB  
Article
Static Ditching Performance Analysis and Experiment of Horizontal Ditching Device for Salix Psammophila Sand Barriers
by Feixu Zhang, Fei Liu, Xuan Zhao, Hongbin Bai, Wenxue Dong, Rifeng Guo, Haoran Jiang, Qihao Wan, Yunong Ma and Yarong Zhang
Agriculture 2026, 16(5), 617; https://doi.org/10.3390/agriculture16050617 - 7 Mar 2026
Viewed by 354
Abstract
To address the complex dynamic mechanisms and lack of static operation data in trench-digging for transverse planting of Salix psammophila sand barriers, a transverse trench-digging device was designed. Based on the discrete element method, the Hertz–Mindlin with JKR Cohesion model was used to [...] Read more.
To address the complex dynamic mechanisms and lack of static operation data in trench-digging for transverse planting of Salix psammophila sand barriers, a transverse trench-digging device was designed. Based on the discrete element method, the Hertz–Mindlin with JKR Cohesion model was used to simulate sandy soil. The Box–Behnken experiment was adopted to optimize the single auger structure with helix angle and soil-cutting angle as factors and trench depth and working torque as indices, yielding the optimal parameters of 30° soil-cutting angle and 20.37° helix angle (5.52 cm trench depth, 2.6 N·m maximum torque). The optimized auger was integrated into the device, and a further Box–Behnken experiment was conducted under a 20 cm fixed descending depth of the lifting platform. With auger rotation speed, shaft spacing and lifting speed as factors, and trench depth, soil compaction and Salix psammophila insertion depth as indices, the optimal operating parameters were determined as 257.25 r/min, 7 cm and 9 cm/s, corresponding to 6.7 cm trench depth, 33.37 kPa soil compaction and 14.87 cm insertion depth. This study clarifies the effects of auger and operation parameters on trench-digging quality, provides a basis for the design and parameter matching of dynamic continuous operation equipment, and offers a reference for the R&D of mechanized transverse planting equipment for Salix psammophila sand barriers, which is of practical value for reducing sand control costs and improving efficiency. Full article
(This article belongs to the Topic Ecological Protection and Modern Agricultural Development)
Show Figures

Figure 1

27 pages, 8864 KB  
Article
Analysis and Experimental Study of Deep-Sea Drilling Sampling Stratification Based on DEM Theory
by Yugang Ren, Xiaoyu Zhang, Kun Liu, Guanhong Zhai and Zhiguo Yang
J. Mar. Sci. Eng. 2026, 14(5), 456; https://doi.org/10.3390/jmse14050456 - 27 Feb 2026
Viewed by 381
Abstract
Under extreme heterogeneous loading conditions in the deep sea, obtaining well-preserved and stratigraphically coherent cores is a critical challenge that requires urgent resolution. Current methods cannot directly determine the preservation of core stratigraphic information or the sampling behaviour of drill bits through experimentation. [...] Read more.
Under extreme heterogeneous loading conditions in the deep sea, obtaining well-preserved and stratigraphically coherent cores is a critical challenge that requires urgent resolution. Current methods cannot directly determine the preservation of core stratigraphic information or the sampling behaviour of drill bits through experimentation. Consequently, a new evaluation method for angular velocity-based stratigraphic preservation, which is grounded in Discrete Element Method (DEM) theory, is proposed. Simulation modelling uses the Hertz–Mindlin contact model to construct a multi-scale geotechnical–drill string numerical coupling model. The drill string structure is simplified while incorporating actual geometric dimensions and material properties. By simulating and extracting particle angular velocity data under various operating conditions, a correlation is established between particle motion characteristics and the stratigraphic preservation status. Experiments were conducted on a customised drilling rig platform using specimens with deep-sea geomechanical properties consistent with the simulations. Drilling tools with multiple inner diameter specifications were configured, and multiple variable combinations of the rotational speed and feed rate were set. The degree of bedding preservation in the sampled cores was recorded synchronously. The study clarified the relationship between particle angular velocity and bedding preservation, identifying the influence patterns of parameters such as the tool inner diameter, rotational speed, and feed rate on bedding preservation. Results indicate that when the rotational speed exceeds 200 rpm and the feed rate falls below 0.018 m/s, stratigraphic distortion significantly increases; the drill bit inner diameter exhibits a non-linear negative correlation with core disturbance. This study provides theoretical underpinnings and experimental evidence for multi-parameter process optimisation in maintaining stratigraphic integrity during deep-sea submersible coring operations. Full article
(This article belongs to the Section Ocean Engineering)
Show Figures

Figure 1

22 pages, 4127 KB  
Article
Discrete Element Simulation Calibration and Flowability Study of Organic Manure with Different Moisture Contents
by Jia You, Pingfan Wu, Haochen Shao, Lujia Han and Guangqun Huang
Agriculture 2026, 16(5), 508; https://doi.org/10.3390/agriculture16050508 - 26 Feb 2026
Cited by 1 | Viewed by 360
Abstract
This study calibrated discrete element parameters for organic fertilizer (OF) and compost fertilizer (CF) to support spreading equipment design. Using the Hertz–Mindlin with JKR model, DEM simulations were integrated with physical angle of repose measurements. Parameters were systematically optimized via Plackett–Burman screening, steepest [...] Read more.
This study calibrated discrete element parameters for organic fertilizer (OF) and compost fertilizer (CF) to support spreading equipment design. Using the Hertz–Mindlin with JKR model, DEM simulations were integrated with physical angle of repose measurements. Parameters were systematically optimized via Plackett–Burman screening, steepest ascent, and Box–Behnken response surface methodology. Results indicated distinct moisture-sensitive behaviors: OF exhibited monotonic increases in dynamic friction coefficient (0.223–0.362) and JKR surface energy (0.064–0.166 J/m2), whereas CF showed nonlinear friction trends with surface energy rising from 0.209 to 0.326 J/m2. A predictive model directly linking moisture content to DEM parameters was established using the cylinder-lifting method. Validation confirmed model accuracy, with angle of repose errors of 2.57% (OF) and 4.05% (CF). Simulated spreading widths closely matched field data, showing relative errors below 8%. The calibrated DEM framework provides a reliable basis for optimizing organic manure spreader performance. Full article
Show Figures

Figure 1

16 pages, 3569 KB  
Article
Design and Dynamic Characteristics Analysis of Carbon Fiber-Reinforced Metal Composite Spindles with High Length-to-Diameter Ratio
by Ning Li, Haoling Wang, Mingkai Chi, Li Cui, Xin Wang and Jilong Zhao
Metals 2026, 16(3), 251; https://doi.org/10.3390/met16030251 - 26 Feb 2026
Viewed by 331
Abstract
This paper investigates deflection deformation and premature bearing failure in deep-hole machining spindles with high length-to-diameter ratios under eccentric loading. A contact stiffness model for angular contact ball bearings was developed based on Hertz contact theory. Combined with the finite element method (FEM), [...] Read more.
This paper investigates deflection deformation and premature bearing failure in deep-hole machining spindles with high length-to-diameter ratios under eccentric loading. A contact stiffness model for angular contact ball bearings was developed based on Hertz contact theory. Combined with the finite element method (FEM), a comprehensive mechanical analysis model of the spindle was established. The results show that spindles with high length-to-diameter ratios exhibit significant cantilever behavior, leading to considerable front-end deflection under eccentric loading. This deflection causes the inner and outer rings to incline, resulting in localized stress concentrations, which are the primary contributors to spindle fatigue failure. To improve the spindle’s stress distribution and dynamic performance, an optimized design replacing the metal housing with carbon fiber composite material is proposed. Static and modal analyses were performed using Abaqus and Romax. The analysis results demonstrate that the carbon fiber shell reduces self-weight deformation by 35.8%, decreases coupled deformation under self-weight and grinding loads by 28.6%, and increases modal fundamental frequencies by 20.88% to 47.41%. These improvements significantly enhance structural stiffness and dynamic stability. Experimental vibration monitoring during machine testing validated the accuracy of the modeling and simulation. Full article
(This article belongs to the Special Issue Advances in the Fatigue and Fracture Behaviour of Metallic Materials)
Show Figures

Figure 1

18 pages, 2454 KB  
Article
Finite Element Analysis of Contact Radius and Young’s Modulus Bias in Polymer Indentation
by Laisvidas Striska, Rimantas Stonkus, Dainius Udris, Sonata Tolvaisiene, Rokas Astrauskas, Nikolajus Kozulinas, Rokas Bagdonas, Evaldas Balciunas, Inga Morkvenaite and Arunas Ramanavicius
Coatings 2026, 16(2), 252; https://doi.org/10.3390/coatings16020252 - 16 Feb 2026
Viewed by 856
Abstract
Contact mechanics models are often inaccurate, due to (i) unknown contact radius, (ii) mechanical models not parameterizing it, (iii) in some models it is neither assumed meaningfully nor determined, and (iv) uncertain probe radius arising from manufacturer-specified nominal values and manufacturing tolerances. In [...] Read more.
Contact mechanics models are often inaccurate, due to (i) unknown contact radius, (ii) mechanical models not parameterizing it, (iii) in some models it is neither assumed meaningfully nor determined, and (iv) uncertain probe radius arising from manufacturer-specified nominal values and manufacturing tolerances. In this paper, an FEA model was used to quantify the evolution of the contact radius during indentation for two probe geometries: a pyramidal indenter (TRIANG2 nominal apex radius 2 nm) and a flat-ended punch (FLAT4000; nominal punch radius 4000 nm) on poly (vinyl chloride) (PVC), for which Young’s modulus (Eref) was obtained by a standard mechanical tensile method. The effective contact radius, Reff, determined from FEA, was subsequently used in a Hertz-based force–indentation parametrization. Uncertainty in the probe apex radius due to manufacturer tolerances was addressed by SEM measurement of the conical tip, enabling assessment of its impact on the modulus estimated from AFM indentation. Based on these results, we propose a practical, geometry-aware analysis methodology that is transferable across probe geometries. The effective contact radius, Reff, is first established using a well-characterized reference material and subsequently applied to a mechanical model to extract Young’s modulus. In this approach, the Hertz-based parametrization is used as a consistent mathematical framework, while the effective contact radius accounts for probe-dependent contact evolution. Full article
(This article belongs to the Section Functional Polymer Coatings and Films)
Show Figures

Figure 1

18 pages, 5207 KB  
Article
Establishment of a Breakable Layered Bonding Model for Peanut Pods Based on DEM and Research on the Shelling Process
by Tianyue Xu, Xiaoman Tang, Yajun Yu, Xinming Jiang and Chunrong Li
Agriculture 2026, 16(4), 440; https://doi.org/10.3390/agriculture16040440 - 13 Feb 2026
Viewed by 383
Abstract
The peanut, a globally important oil and economic crop, has thin, brittle pods that are prone to breakage under external forces during mechanical harvesting, transportation, and processing. To minimize this loss and reduce production costs, we conducted an in-depth study of the pod-breaking [...] Read more.
The peanut, a globally important oil and economic crop, has thin, brittle pods that are prone to breakage under external forces during mechanical harvesting, transportation, and processing. To minimize this loss and reduce production costs, we conducted an in-depth study of the pod-breaking process by integrating manual and automatic filling approaches within the discrete element method (DEM) with the Hertz–Mindlin with bonding model. A breakable layered bonding model for peanut pods was developed, which is capable of precisely characterizing the disparities in the mechanical properties of peanut pod shells and kernels. Physical tests were performed to obtain the relevant contact parameters of peanut pods. Compression tests combined with calibration approaches were employed to identify the bonding parameters of peanut pods, which are not easily accessible via direct experimental measurements. The optimal combination of simulation parameters for the model was determined via a Plackett–Burman test, steepest ascent test, and Box–Behnken test. The results indicated that the critical normal stress between pod shells is the most significant influencing factor. The optimal parameter combination for the proposed model is as follows: the normal stiffness per unit area between pod shells is 7.81 × 1010 N/m3, the shear stiffness per unit area between pod shells is 9.00 × 108 N/m3, the critical normal stress between pod shells is 2.17 × 105 N/m3, and the critical shear stress between pod shells is 2.25 × 105 N/m3. The established layered bonding model for breakable peanut pods was validated using both cylinder-lifting simulation tests and physical shelling experiments. The relative error in the angle of repose between the cylinder-lifting simulation and physical tests was 1.6%, while the deviation in the shelling experiment was only 0.7%. This model provides a theoretical foundation for the design and optimization of machinery used in peanut pod harvesting, transportation, and processing. Full article
(This article belongs to the Section Agricultural Technology)
Show Figures

Figure 1

18 pages, 2268 KB  
Article
Robust Passive Mechanical Filter for Sub-Hertz Seismic Detection on Venus
by Cheng-fu Chen, Mike Ophoff and Nick Samuel
J 2026, 9(1), 6; https://doi.org/10.3390/j9010006 - 13 Feb 2026
Viewed by 1396
Abstract
This study presents a passive mechanical filter designed to enhance sub-Hertz Venusquake detection by shaping the seismic transfer path. The mechanism uses a tunable, high-Q pendulum mounted inside a cylindrical enclosure on a three-ring gimbal to ensure self-leveling and alignment in gravity on [...] Read more.
This study presents a passive mechanical filter designed to enhance sub-Hertz Venusquake detection by shaping the seismic transfer path. The mechanism uses a tunable, high-Q pendulum mounted inside a cylindrical enclosure on a three-ring gimbal to ensure self-leveling and alignment in gravity on uneven terrain. Unlike approaches that rely on broadband digitization and require active control and a stable power supply, this housing–gimbal mechanism performs mechanical filtering for sub-Hz signal amplification and higher frequency attenuation without power. Response spectrum analysis shows that the transmissibility can be tuned to achieve peak sensitivities in the 0.5–0.8 Hz range. When tuned to 50–55 mm pendulum length and under assumed undamping, the pendulum-mounted mechanism improves detectability at best by 10–100× relative to a bare sensor for moderate magnitude (Ms = 3–6) in a 12 h observation window, with signal-to-noise (SNR) ratio of 3, and amplitude spectrum density (ASD) of 10−8 m/s2/√Hz. Furthermore, we extrapolate that the predicted minimum detectable event rates follow NmminSNR1.2ASD1.2fs0.6, where fs is the quake wave frequency. The damping ratio, considering both structural damping and viscous drag, is estimated to be in the order of 10−3 to 10−2. A probabilistic sensitivity analysis is performed to account for the inherent uncertainty in the spectral mismatch between the narrowband sub-Hz resonance of the designed mechanical filter and the peak frequencies of seismic events; the derived probability model suggests strategies for improving the detection probability in the 0.01–1 Hz range. Full article
(This article belongs to the Section Engineering)
Show Figures

Figure 1

23 pages, 3198 KB  
Article
A Practical Approach for Determining Depth-Dependent Mechanical Properties of Soft Materials in AFM Indentation via Polynomial Fitting and a New Model for Cellular Mechanics
by Stylianos Vasileios Kontomaris, Anna Malamou, Ioannis Psychogios and Andreas Stylianou
Eng 2026, 7(2), 75; https://doi.org/10.3390/eng7020075 - 9 Feb 2026
Viewed by 567
Abstract
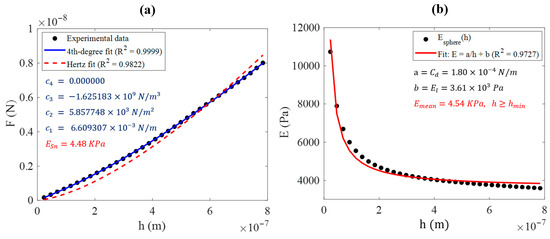
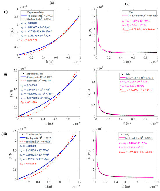
In most AFM nanoindentation experiments on soft biological samples, classical contact mechanics models, such as Hertz or Sneddon’s equations, are commonly employed to determine the Young’s modulus. However, biological materials are inherently heterogeneous, and their mechanical properties often depend on the indentation depth. [...] Read more.
In most AFM nanoindentation experiments on soft biological samples, classical contact mechanics models, such as Hertz or Sneddon’s equations, are commonly employed to determine the Young’s modulus. However, biological materials are inherently heterogeneous, and their mechanical properties often depend on the indentation depth. In this work, we present a novel and simple approach to quantify how the apparent modulus varies with increasing indentation depth. The method is based on the general indentation equation for axisymmetric indenters combined with a straightforward polynomial fitting of the force–indentation data. The proposed approach offers significant advantages, as it greatly simplifies the fitting process without requiring any advanced algorithms, while maintaining high accuracy. In addition, it is shown that the depth-dependent mechanical properties of cells can be described by a simple law, E(h)=Cd/h+El , where El is the limiting value of the apparent modulus at large indentations, and Cd/h represents the depth-dependent contribution dominant at the initial stages of the indentation process. Here, Cd is a positive stiffness coefficient, and h is the indentation depth. This is a very important result, indicating that by using the pair of coefficients Cd and El, we can fully describe the mechanical properties of cells, capturing their depth-dependent mechanical behavior. Experiments on fibroblasts and H4 human glioma cells confirm the accuracy of this equation. The proposed methods provide an accessible and reliable framework for nanoscale mechanical characterization, offering insights into the depth-dependent elasticity of heterogeneous soft materials and revealing mechanical patterns in biological samples. Full article
(This article belongs to the Section Materials Engineering)
Show Figures

Figure 1

17 pages, 559 KB  
Review
Infrasound and Human Health: Mechanisms, Effects, and Applications
by Maryam Dastan, Ellen Dyminski Parente Ribeiro, Ursula Bellut-Staeck, Juan Zhou and Christian Lehmann
Appl. Sci. 2026, 16(3), 1553; https://doi.org/10.3390/app16031553 - 3 Feb 2026
Viewed by 5670
Abstract
Infrasound, physically defined as sound at frequencies below 20 Hertz, can travel long distances with minimal attenuation and permeate biological tissues due to its marked particle displacement and deep penetration. Generated by both natural phenomena and human-made systems, infrasound has drawn increasing scientific [...] Read more.
Infrasound, physically defined as sound at frequencies below 20 Hertz, can travel long distances with minimal attenuation and permeate biological tissues due to its marked particle displacement and deep penetration. Generated by both natural phenomena and human-made systems, infrasound has drawn increasing scientific and public attention regarding its potential physiological and psychological effects. Experimental studies demonstrate that infrasound can modulate mechanosensitive structures at the cellular level, particularly pressure-sensitive ion channels such as PIEZO1 and TRPV4, leading to intracellular calcium influx, oxidative stress, altered intercellular communication, and in some settings, apoptosis. These responses vary according to sound pressure levels, frequencies, exposure duration, and tissue type. In the cardiovascular system, higher sound pressures have been associated with mitochondrial injury and fibrosis, whereas low sound pressures may exert context-dependent protective effects. In animal models, prolonged or intense exposure to infrasound has been shown to induce neuroinflammatory responses and memory impairment. Short-term studies in humans at moderate intensities have reported minimal physiological changes, with psychological and contextual factors influencing symptom perception. Occupational environments such as factories and agricultural settings may contain elevated levels of infrasound, underscoring the importance of systematic measurements and exposure assessments. At the same time, controlled infrasound stimulation has shown potential as an adjunct modality in bone repair and tissue regeneration, highlighting its dual capacity as both a biological stressor and a possible therapeutic tool. Overall, existing data indicate that infrasound may be harmful at chronic exposure depending on intensity and frequency, yet beneficial when precisely regulated. Future research should standardize exposure metrics, refine measurement technologies, and clarify dose–response relationships to better define the health risks and therapeutic applications of infrasound. Full article
(This article belongs to the Section Applied Biosciences and Bioengineering)
Show Figures

Figure 1

21 pages, 5688 KB  
Article
Investigation of the Mechanical Characteristics of Linear Rolling Guides Considering Multiple Errors
by Cheng Huang, Wentao Zhou, Wanli Liu, Yupeng Yi, Lei Shi, Rulin Xiong, Xiaobing Li and Xing Du
Lubricants 2026, 14(1), 46; https://doi.org/10.3390/lubricants14010046 - 22 Jan 2026
Viewed by 508
Abstract
Existing research on the linear rolling guide has predominantly focused on performance under ideal conditions or isolated error types, while systematic studies concerning multi-error coupling mechanisms and their impact on internal contact parameters remain limited. To address this, a comprehensive static model based [...] Read more.
Existing research on the linear rolling guide has predominantly focused on performance under ideal conditions or isolated error types, while systematic studies concerning multi-error coupling mechanisms and their impact on internal contact parameters remain limited. To address this, a comprehensive static model based on Hertz contact theory is proposed that simultaneously incorporates ball diameter, raceway radius, and raceway curvature center distance errors. This model is validated using finite element analysis (FEA) in ABAQUS, and the numerical results verify the feasibility and effectiveness of the proposed analytical model. Analysis of single, combined, and random errors indicates that geometric errors significantly influence vertical stiffness, load distribution, and critical load-carrying capacity. For example, as the ball diameter error varies from −2.5 to 2.5 μm, the vertical stiffness increases by a factor of 3.8, while a representative negative error combination reduces the critical load by nearly 40%. Additionally, random error analysis reveals that larger manufacturing tolerance ranges lead to increased fluctuation in ball contact forces, raising performance uncertainty. These findings establish the proposed model as a theoretical foundation for the precision design and load-bearing assessment of linear rolling guides under static conditions. Full article
Show Figures

Figure 1

20 pages, 2092 KB  
Article
Calibration of Snow Particle Contact Parameters for Simulation Analysis of Membrane Structure Snow Removal Robot
by Jiangtao Dong, Fuxiang Zhang, Fengshan Huang and Xiaofei Man
Appl. Sci. 2026, 16(2), 610; https://doi.org/10.3390/app16020610 - 7 Jan 2026
Cited by 1 | Viewed by 356
Abstract
To enhance the accuracy of discrete element method (DEM) simulation for the snow removal process performed by autonomous robots on membrane structures, this study calibrated the key contact parameters of snow particles used in the simulation. Through literature research, the intrinsic parameters and [...] Read more.
To enhance the accuracy of discrete element method (DEM) simulation for the snow removal process performed by autonomous robots on membrane structures, this study calibrated the key contact parameters of snow particles used in the simulation. Through literature research, the intrinsic parameters and contact parameter ranges for snow particles and membrane structures were determined. A discrete element model of snow particles was established, and the Hertz–Mindlin with Johnson–Kendall–Robert contact model was selected to simulate the formation process of the repose angle. Using the actual repose angle of snow particles as the target, four significant factors were identified through the P-B experiment, and other factors were set at the intermediate level. Through the steepest slope climbing experiment and response surface design, second-order response equations of the four significant factors were obtained. The optimal parameter combination was calculated as follows: the surface energy of snow particles was 0.23 J/m2; the restitution coefficient, static friction coefficient, and rolling friction coefficient of snow–snow were 0.141, 0.05, and 0.03; and the restitution coefficient, static friction coefficient, and rolling friction coefficient of snow–membrane were 0.2, 0.18, and 0.03. The simulated repose angle was 40.62°, and the relative error with the actual repose angle was 0.32%. These calibration results are reliable and can provide a reliable simulation basis and essential data support for the optimal design of a snow removal robot and the dynamic simulation of the operation process. Full article
(This article belongs to the Special Issue Advances in Robotics and Autonomous Systems)
Show Figures

Figure 1

Back to TopTop