Sign in to use this feature.

Years

Between: -

Subjects

remove_circle_outline
remove_circle_outline
remove_circle_outline
remove_circle_outline
remove_circle_outline
remove_circle_outline
remove_circle_outline
remove_circle_outline
remove_circle_outline

Journals

Article Types

Countries / Regions

Search Results (40)

Search Parameters:
Keywords = Haldane model

Order results
Result details
Results per page
Select all
Export citation of selected articles as:
17 pages, 2501 KB  
Article
Spectral Quasi-Linearization Analysis of Nonlinear Contaminant Transport in a Porous Channel with Generalized Haldane Kinetics
by Unyime V. Johnson, Samuel O. Adesanya and Ramoshweu S. Lebelo
Water 2026, 18(7), 842; https://doi.org/10.3390/w18070842 - 1 Apr 2026
Viewed by 324
Abstract
The increasing presence of biological contaminants in wastewater poses serious challenges to safe water reuse and sustainable management. The effects of filtration on pollutant transport in a vertical porous channel are investigated mathematically and numerically in this work, taking into account nonlinear microbial [...] Read more.
The increasing presence of biological contaminants in wastewater poses serious challenges to safe water reuse and sustainable management. The effects of filtration on pollutant transport in a vertical porous channel are investigated mathematically and numerically in this work, taking into account nonlinear microbial growth controlled by generalized Haldane kinetics. Key characteristics, including viscosity, density, and diffusivity, are supposed to change nonlinearly with contaminant concentration, and the fluid is described as incompressible and dilatant. The Bivariate Spectral Quasi-Linearization Method (BSQLM) is used to solve the resulting system of nonlinear partial differential equations, and the Bivariate Spectral Chebyshev Collocation Method (BSCCM) is used for validation. The findings show that while higher inhibition and liquid–biofilm mass transfer coefficients successfully control pollutant concentration, porous filtration dramatically lowers flow velocity due to increased resistance and bio-clogging. With few residual errors, the numerical scheme exhibits great accuracy and quick convergence. Overall, the study establishes that coupling filtration mechanisms with generalized biokinetic models provides a robust framework for predicting contaminant behavior and enhancing the design of efficient wastewater treatment and reuse systems. Full article
(This article belongs to the Special Issue Water Quality, Wastewater Treatment and Water Recycling, 2nd Edition)
Show Figures

Figure 1

21 pages, 3005 KB  
Article
Transgenerational Consequences of Imidacloprid Larval Diet Contamination in the Sheep Blowfly Lucilia sericata (Diptera: Calliphoridae)
by Gabriela Olivares-Castro, Constanza Schapheer, Carlos Guerrero-Bosagna, Ian S. Acuña-Rodríguez and Cristian Villagra
Insects 2025, 16(12), 1265; https://doi.org/10.3390/insects16121265 - 12 Dec 2025
Viewed by 922
Abstract
Pesticides have been extensively used in agriculture, forestry, and veterinary medicine under intensive production systems. Unfortunately, pesticide pollution resulted in a significant decline in non-target organisms, for instance, in detritivores such as necrophagous insects. Even formulations proposed as less harmful alternatives, such as [...] Read more.
Pesticides have been extensively used in agriculture, forestry, and veterinary medicine under intensive production systems. Unfortunately, pesticide pollution resulted in a significant decline in non-target organisms, for instance, in detritivores such as necrophagous insects. Even formulations proposed as less harmful alternatives, such as neonicotinoids like imidacloprid (IMI), have been demonstrated to permeate the trophic chain and trigger severe consequences on non-target species. Here, the intra- and inter-generational effects of a sublethal dose of IMI were explored in the necrophagous greenbottle fly, Lucilia sericata (Meigen, 1826) (Diptera: Calliphoridae). This is because it has been demonstrated that the carcasses of domestic and wild animals can be contaminated with levels of these neonicotinoids. Transgenerational effects, extending up to three generations after a focal application of the pesticide on laboratory-cultivated F1 flies, were investigated in this study. Morphological, demographic, and phenological features were evaluated through various analyses, including general linear mixed models (GLMM) and Haldane units analyses. Although GLMM showed no significant differences between treatments for the multiple traits observed, a significant directional microevolutionary trend of increased average imago and pupal size was identified for the IMI treatment through Haldane unit analysis. This microevolutionary change falls within the threshold of transgenerational phenotypic plasticity, a crucial mechanism for adaptive responses to environmental stressors. Among the possible explanations for this pattern, it is proposed that this is a likely consequence of the triggering of an epigenetic hormetic transgenerational change. This may contribute to explaining the development of adaptation and resistance towards pesticide formulations in a few generations after focal exposure. In addition to this idea, other possible mechanisms and consequences that explain the observed pattern are discussed. Overall, this experiment highlights the concerns of pesticide spillover consequences, even from sublethal doses of these formulations. Full article
(This article belongs to the Section Medical and Livestock Entomology)
Show Figures

Figure 1

18 pages, 1928 KB  
Article
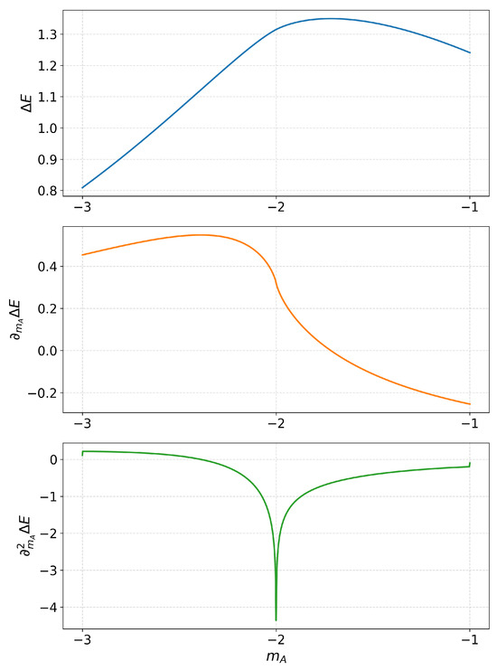
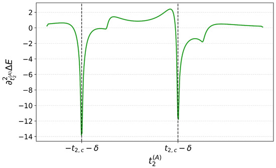
Universal Features of Non-Analytical Energy Storage in Quantum Critical Quantum Batteries
by Riccardo Grazi, Dario Ferraro and Niccolò Traverso Ziani
Energies 2025, 18(23), 6116; https://doi.org/10.3390/en18236116 - 22 Nov 2025
Viewed by 793
Abstract
Quantum batteries are quantum mechanical systems able to store and release energy in a controlled fashion. Among them, a special role is played by quantum structures defined as networks of two-level systems. In this context, it has recently been shown that the energy [...] Read more.
Quantum batteries are quantum mechanical systems able to store and release energy in a controlled fashion. Among them, a special role is played by quantum structures defined as networks of two-level systems. In this context, it has recently been shown that the energy stored in free fermion quantum batteries is sensitive to the quantum phase diagram of the battery itself. This sensitivity is relevant for stabilizing the stored energy and designing optimal charging protocols. In this article, we explore universal charging behaviors of free fermion quantum batteries across quantum phase transitions. We first analyze a Dirac cone-like model to extract general features. Then, we verify our findings by means of two relevant lattice models, namely the Ising chain in a transverse field and the Haldane model. Full article
(This article belongs to the Section D3: Nanoenergy)
Show Figures

Figure 1

21 pages, 4474 KB  
Article
A Validated CFD Model for Gas Exchange in Hollow Fiber Membrane Oxygenators: Incorporating the Bohr and Haldane Effects
by Seyyed Hossein Monsefi Estakhrposhti, Jingjing Xu, Margit Gföhler and Michael Harasek
Membranes 2025, 15(9), 268; https://doi.org/10.3390/membranes15090268 - 4 Sep 2025
Cited by 2 | Viewed by 2166
Abstract
Chronic respiratory diseases claim nearly four million lives annually, making them the third leading cause of death worldwide. Extracorporeal membrane oxygenation (ECMO) is often the last line of support for patients with severe lung failure. Still, its performance is limited by an incomplete [...] Read more.
Chronic respiratory diseases claim nearly four million lives annually, making them the third leading cause of death worldwide. Extracorporeal membrane oxygenation (ECMO) is often the last line of support for patients with severe lung failure. Still, its performance is limited by an incomplete understanding of gas exchange in hollow fiber membrane (HFM) oxygenators. Computational fluid dynamics (CFD) has become a robust oxygenator design and optimization tool. However, most models oversimplify O2 and CO2 transport by ignoring their physiological coupling, instead relying on fixed saturation curves or constant-content assumptions. For the first time, this study introduces a novel physiologically informed CFD model that integrates the Bohr and Haldane effects to capture the coupled transport of oxygen and carbon dioxide as functions of local pH, temperature, and gas partial pressures. The model is validated against in vitro experimental data from the literature and assessed against established CFD models. The proposed CFD model achieved excellent agreement with experiments across blood flow rates (100–500 mL/min ), with relative errors below 5% for oxygen and 10–15% for carbon dioxide transfer. These results surpassed the accuracy of all existing CFD approaches, demonstrating that a carefully formulated single-phase model combined with physiologically informed diffusivities can outperform more complex multiphase simulations. This work provides a computationally efficient and physiologically realistic framework for oxygenator optimization, potentially accelerating device development, reducing reliance on costly in vitro testing, and enabling patient-specific simulations. Full article
(This article belongs to the Section Membrane Applications for Gas Separation)
Show Figures

Figure 1

129 pages, 6810 KB  
Review
Statistical Mechanics of Linear k-mer Lattice Gases: From Theory to Applications
by Julian Jose Riccardo, Pedro Marcelo Pasinetti, Jose Luis Riccardo and Antonio Jose Ramirez-Pastor
Entropy 2025, 27(7), 750; https://doi.org/10.3390/e27070750 - 14 Jul 2025
Cited by 2 | Viewed by 3707
Abstract
The statistical mechanics of structured particles with arbitrary size and shape adsorbed onto discrete lattices presents a longstanding theoretical challenge, mainly due to complex spatial correlations and entropic effects that emerge at finite densities. Even for simplified systems such as hard-core linear k [...] Read more.
The statistical mechanics of structured particles with arbitrary size and shape adsorbed onto discrete lattices presents a longstanding theoretical challenge, mainly due to complex spatial correlations and entropic effects that emerge at finite densities. Even for simplified systems such as hard-core linear k-mers, exact solutions remain limited to low-dimensional or highly constrained cases. In this review, we summarize the main theoretical approaches developed by our research group over the past three decades to describe adsorption phenomena involving linear k-mers—also known as multisite occupancy adsorption—on regular lattices. We examine modern approximations such as an extension to two dimensions of the exact thermodynamic functions obtained in one dimension, the Fractional Statistical Theory of Adsorption based on Haldane’s fractional statistics, and the so-called Occupation Balance based on expansion of the reciprocal of the fugacity, and hybrid approaches such as the semi-empirical model obtained by combining exact one-dimensional calculations and the Guggenheim–DiMarzio approach. For interacting systems, statistical thermodynamics is explored within generalized Bragg–Williams and quasi-chemical frameworks. Particular focus is given to the recently proposed Multiple Exclusion statistics, which capture the correlated exclusion effects inherent to non-monomeric particles. Applications to monolayer and multilayer adsorption are analyzed, with relevance to hydrocarbon separation technologies. Finally, computational strategies, including advanced Monte Carlo techniques, are reviewed in the context of high-density regimes. This work provides a unified framework for understanding entropic and cooperative effects in lattice-adsorbed polyatomic systems and highlights promising directions for future theoretical and computational research. Full article
(This article belongs to the Special Issue Statistical Mechanics of Lattice Gases)
Show Figures

Figure 1

22 pages, 4210 KB  
Article
Comparing Growth Models Dependent on Irradiation and Nutrient Consumption on Closed Outdoor Cultivations of Nannochloropsis sp.
by Tiago Taborda, José C. M. Pires, Sara M. Badenes and Francisco Lemos
Bioengineering 2025, 12(3), 272; https://doi.org/10.3390/bioengineering12030272 - 10 Mar 2025
Cited by 2 | Viewed by 2037
Abstract
Microalgae offer tremendous industrial possibilities for their ability to grow rapidly and capture CO2 from the atmosphere. The literature contains many models for predicting microalgae growth in lab-scale reactors. However, there exists a gap in the application of these models in outdoor [...] Read more.
Microalgae offer tremendous industrial possibilities for their ability to grow rapidly and capture CO2 from the atmosphere. The literature contains many models for predicting microalgae growth in lab-scale reactors. However, there exists a gap in the application of these models in outdoor pilot-scale closed photobioreactors. This work proposes a methodology for constructing models for this type of reactor. These models were constructed based on the existing literature, then trained and tested using a dataset of ten cultivations of Nannochloropsis sp. Four models were tested: a model based on a Monod-like equation (Model M); a model based on a Haldane-like equation (Model H); a model based on an exponential equation (Model E); and a model considering both irradiation and the effect of nitrate on the culture using the Droop model (Model D). Model H had the best overall performance, with a global root mean squared error (RMSE) of 0.296 kg1/2 m−3/2; Model M and Model E had RMSE values of 0.309 and 0.302, respectively. Model D performed the worst, with an RMSE of 0.413. Future work should involve applying the same methodology to new cultivations of the same or different species and testing more complex models capable of better explaining the data. Full article
(This article belongs to the Special Issue Engineering Microalgal Systems for a Greener Future)
Show Figures

Figure 1

19 pages, 12739 KB  
Article
Bioremediation of Sulfamethazine Contaminated Environments by Bacillus cereus J2
by Jiayu Zhang, Yuping Tang, Zhaokang Li, Tianyu Li, Xinfeng Zhao and Zihao Wu
Water 2025, 17(4), 468; https://doi.org/10.3390/w17040468 - 7 Feb 2025
Cited by 2 | Viewed by 2220
Abstract
Sulfamethazine (SM2), a prevalent sulfonamide antibiotic, is commonly detected as an environmental pollutant. Microbial degradation serves as an important approach to treating SM2 contamination. In this study, an SM2-degrading strain, identified as Bacillus cereus J2, was isolated from the activated sludge that had [...] Read more.
Sulfamethazine (SM2), a prevalent sulfonamide antibiotic, is commonly detected as an environmental pollutant. Microbial degradation serves as an important approach to treating SM2 contamination. In this study, an SM2-degrading strain, identified as Bacillus cereus J2, was isolated from the activated sludge that had been cultured using SM2 as the exclusive carbon source, which demonstrated exceptional degradation capabilities. Under optimized conditions (30 °C, initial OD600 = 0.1, pH = 8), strain J2 completely degraded 50 mg/L SM2 within 36 h. The strain also showed high degradation efficiency for other sulfonamides, such as sulfamethoxazole and sulfadiazine, and could grow normally in a mixed system containing these compounds. The growth kinetics with SM2 as the exclusive carbon source conformed well to the Haldane model (R2 = 0.925), revealing that the strain’s maximum specific growth rate was determined to be 0.066 h−1max) at an initial SM2 concentration of 51.35 mg/L. Seven intermediate degradation products were identified using TQ-LCMS analysis, suggesting three potential degradation pathways for SM2. These findings suggest that Bacillus cereus J2 holds significant promise for the bioremediation of SM2-contaminated environments. Full article
Show Figures

Figure 1

13 pages, 1573 KB  
Article
Nitrification–Autotrophic Denitrification Using Elemental Sulfur as an Electron Donor in a Sequencing Batch Reactor (SBR): Performance and Kinetic Analysis
by Mario Corbalán, Cristopher Da Silva, Andrea Barahona, César Huiliñir and Lorna Guerrero
Sustainability 2024, 16(10), 4269; https://doi.org/10.3390/su16104269 - 19 May 2024
Cited by 8 | Viewed by 4318
Abstract
Simultaneous nitrification and autotrophic denitrification (SNAD) has received attention as an efficient biological nitrogen removal alternative. However, SNAD using elemental sulfur (S0) has scarcely been studied. Thus, the main objective of this research was to study the behavior of a simultaneous [...] Read more.
Simultaneous nitrification and autotrophic denitrification (SNAD) has received attention as an efficient biological nitrogen removal alternative. However, SNAD using elemental sulfur (S0) has scarcely been studied. Thus, the main objective of this research was to study the behavior of a simultaneous nitrification–autotrophic denitrification operation in a sequential batch reactor (SNAD-SBR) at a lab scale using S0 as an electron donor, including its kinetics. Two-scale reactors were operated at lab scales in cycles for 155 days with an increasing nitrogen loading rate (NLR: 0.0296 to 0.0511 kg N-NH4+/m3/d) at 31 °C. As a result, simultaneous nitrification–autotrophic denitrification using S0 as an electron donor was performed successfully, with nitrification efficiency of 98.63% and denitrification efficiency of 44.9%, with autotrophic denitrification as the limiting phase. The kinetic model adjusted for ammonium-oxidizing bacteria (AOB) was the Monod-type kinetic model (µmax = 0.791 d−1), while, for nitrite-oxidizing bacteria (NOB), the Haldane-type model was employed (µmax = 0.822 d−1). For denitrifying microorganisms, the kinetic model was adjusted by a half order (k1/2v = 0.2054 mg1/2/L1/2/h). Thus, we concluded that SNAD could be feasible using S0 as an electron donor, with kinetic behavior similar to that of other processes. Full article
(This article belongs to the Section Sustainable Water Management)
Show Figures

Figure 1

20 pages, 5072 KB  
Article
The Optimization, Kinetics Model, and Lab-Scale Assessments of Phenol Biodegradation Using Batch and Continuous Culture Systems
by Reem A. Elnahas, Mohab H. Elsabrouty, Sara Shebl, Nourhan N. Hussien, Bassma H. Elwakil, Mohamed Zakaria, Yehia M. Youssef, Essam El Din A. Moussad and Zakia A. Olama
Sustainability 2023, 15(16), 12405; https://doi.org/10.3390/su151612405 - 15 Aug 2023
Cited by 3 | Viewed by 2189
Abstract
Phenol was considered a severe hazard to all ecosystems even at low concentrations. The bioremediation process is an eco-friendly process for complete phenol degradation and bioelectricity generation. In the present study, a consortium of native isolates was used for phenol biodegradation and bioenergy [...] Read more.
Phenol was considered a severe hazard to all ecosystems even at low concentrations. The bioremediation process is an eco-friendly process for complete phenol degradation and bioelectricity generation. In the present study, a consortium of native isolates was used for phenol biodegradation and bioenergy generation using nano-graphite electrodes. The optimization of nutritional and environmental parameters using batch culture revealed that the optimum conditions for maximum phenol degradation and energy generation were inoculum concentration, 1%; incubation period, 48 h; phenol, 6 ppm; MgSO4, 70 mg/L; K2HPO4, 175 mg/L; and CaCl2, 1 mg/L. Phenol biodegradation reached 93.34% with a power density of 109.419 mW/cm3. A lab-scale bioreactor was used as a continuous culture with aeration rate, agitation speed, and dissolved oxygen of 0.5 v/v/m, 750 rpm, and 30%, respectively. On using the continuous culture, phenol biodegradation and bioenergy production reached 97.8% and 0.382 W/cm3, respectively. A kinetics study using Haldane’s kinetics model reported the best fit to achieve a significant correlation coefficient (R2) value (0.9865) reaching maximum specific growth rate with initial phenol concentration of approximately 9 mg L−1 where the specific growth rates (μ, h−1) varied with different initial phenol concentrations. In conclusion, the native isolated consortium could be considered as an economical and sustainable approach to phenol biodegradation in industrial wastewater as well as bioelectricity generation. Full article
(This article belongs to the Special Issue Green Energy and Sustainable Development)
Show Figures

Figure 1

16 pages, 2767 KB  
Article
Kinetic Study of Anaerobic Digestion of Compost Leachate from Organic Fraction of Municipal Solid Waste
by Carlo Limonti, Giulia Maria Curcio, Alessio Siciliano, Adolfo Le Pera and Goksel N. Demirer
Fermentation 2023, 9(3), 297; https://doi.org/10.3390/fermentation9030297 - 18 Mar 2023
Cited by 7 | Viewed by 4390
Abstract
The anaerobic digestion (AD) of compost leachate has been scarcely investigated and, to the best of our knowledge, no previous work has analyzed the kinetics of the process in completely stirred tank reactors (CSTR). To overcome this lack of knowledge, the present work [...] Read more.
The anaerobic digestion (AD) of compost leachate has been scarcely investigated and, to the best of our knowledge, no previous work has analyzed the kinetics of the process in completely stirred tank reactors (CSTR). To overcome this lack of knowledge, the present work aimed to deepen the study of the AD of compost leachate in CSTR and to identify the kinetics that can represent the process evolution under different operating conditions. In this regard, an experimental investigation was carried out on a laboratory anaerobic pilot plant that worked in semi-continuous mode under mesophilic conditions. After the start-up phase, the digester was fed with organic loading rates (OLR) between 4 and 30 gCOD/Ld. The chemical oxygen demand (COD) removal ranged between 80 and 85% for OLR values up to 20 gCOD/Ld and, then, it was observed as 54% at 30 gCOD/Ld. The deterioration of process performance was caused by an excessive generation of volatile fatty acids leading to a decrease of methane production yield from 0.32–0.36 LCH4/gCODremoved at 20 gCOD/Ld, to 0.23–0.26 LCH4/gCODremoved at 30 gCOD/Ld. Using kinetic analysis, the Monod model was shown to be quite accurate in modelling the trends of COD degradation rates for OLR values up to 20 gCOD/Ld. On the other hand, a better fit was achieved with the Haldane model at 30 gCOD/Ld. The conducted modelling allowed to identify the kinetic parameters for each model. The detected results could help in the management and design of the digesters for the treatment of compost leachate. Full article
Show Figures

Figure 1

13 pages, 577 KB  
Article
Study of Interacting Heisenberg Antiferromagnet Spin-1/2 and 1 Chains
by Debasmita Maiti, Dayasindhu Dey and Manoranjan Kumar
Condens. Matter 2023, 8(1), 17; https://doi.org/10.3390/condmat8010017 - 29 Jan 2023
Cited by 1 | Viewed by 3900
Abstract
Haldane conjectures the fundamental difference in the energy spectrum of the Heisenberg antiferromagnetic (HAF) of the spin S chain is that the half-integer and the integer S chain have gapless and gapped energy spectrums, respectively. The ground state (gs) of the HAF spin-1/2 [...] Read more.
Haldane conjectures the fundamental difference in the energy spectrum of the Heisenberg antiferromagnetic (HAF) of the spin S chain is that the half-integer and the integer S chain have gapless and gapped energy spectrums, respectively. The ground state (gs) of the HAF spin-1/2 and spin-1 chains have a quasi-long-range and short-range correlation, respectively. We study the effect of the exchange interaction between an HAF spin-1/2 and an HAF spin-1 chain forming a normal ladder system and its gs properties. The inter-chain exchange interaction J can be either ferromagnetic (FM) or antiferromagnetic (AFM). Using the density matrix renormalization group method, we show that in the weak AFM/FM coupling limit of J, the system behaves like two decoupled chains. However, in the large AFM J limit, the whole system can be visualized as weakly coupled spin-1/2 and spin-1 pairs which behave like an effective spin-1/2 HAF chain. In the large FM J limit, coupled spin-1/2 and spin-1 pairs can form pseudo spin-3/2 and the whole system behaves like an effective spin-3/2 HAF chain. We also derive the effective model Hamiltonian in both strong FM and AFM rung exchange coupling limits. Full article
(This article belongs to the Special Issue New Advances in Condensed Matter Physics)
Show Figures

Figure 1

11 pages, 2036 KB  
Article
Analysis of the Comparative Growth Kinetics of Paenarthrobacter ureafaciens YL1 in the Biodegradation of Sulfonamide Antibiotics Based on Substituent Structures and Substrate Toxicity
by Lan Yu, Yingning Wang, Junjie Xin, Fang Ma and Haijuan Guo
Fermentation 2022, 8(12), 742; https://doi.org/10.3390/fermentation8120742 - 14 Dec 2022
Cited by 3 | Viewed by 2828
Abstract
The high consumption and emission of sulfonamide antibiotics (SAs) have a considerable threat to humans and ecosystems, so there is a need to develop safer and more effective methods than conventional strategies for the optimal removal of these compounds. In this study, four [...] Read more.
The high consumption and emission of sulfonamide antibiotics (SAs) have a considerable threat to humans and ecosystems, so there is a need to develop safer and more effective methods than conventional strategies for the optimal removal of these compounds. In this study, four SAs with different substituents, sulfadiazine (SDZ), sulfamerazine (SMR), sulfamethoxazole (SMX), and sulfamethazine (SMZ) were removed by a pure culture of Paenarthrobacter ureafaciens YL1. The effect of the initial SAs concentration on the growth rate of strain YL1 was investigated. The results showed that the strain YL1 effectively removed various SAs in the concentration range of 0.05–2.4 mmol·L−1. The Haldane model was used to perform simulations of the experimental data, and the regression coefficient of the model indicated that the model had a good predictive ability. During SAs degradation, the maximum specific growth rate of strain YL1 was ranked as SMX > SDZ > SMR > SMZ with constants of 0.311, 0.304, 0.302, and 0.285 h−1, respectively. In addition, the biodegradation of sulfamethoxazole (SMX) with a five-membered substituent was the fastest, while the six-membered substituent of SMZ was the slowest based on the parameters of the kinetic equation. Also, density functional theory (DFT) calculations such as frontier molecular orbitals (FMOs), and molecular electrostatic potential map analysis were performed. It was evidenced that different substituents in SAs can affect the molecular orbital distribution and their stability, which led to the differences in the growth rate of strain YL1 and the degradation rate of SAs. Furthermore, the toxicity of P. ureafaciens is one of the crucial factors affecting the biodegradation rate: the more toxic the substrate and the degradation product are, the slower the microorganism grows. This study provides a theoretical basis for effective bioremediation using microorganisms in SAs-contaminated environments. Full article
(This article belongs to the Special Issue Research Progress of Microorganisms in Wastewater Treatment)
Show Figures

Figure 1

15 pages, 3899 KB  
Article
A New Shear Constitutive Model Characterized by the Pre-Peak Nonlinear Stage
by Shijie Xie, Hang Lin, Zhenyu Han, Hongyu Duan, Yifan Chen and Diyuan Li
Minerals 2022, 12(11), 1429; https://doi.org/10.3390/min12111429 - 10 Nov 2022
Cited by 2 | Viewed by 2509
Abstract
The pre-peak shear stress-displacement curve is an important part of the study of the shear mechanical behavior of rock joints. Underpinned by the Haldane distribution, a new semi-analytical model for the pre-peak shear deformation of rock joints was established in this paper, the [...] Read more.
The pre-peak shear stress-displacement curve is an important part of the study of the shear mechanical behavior of rock joints. Underpinned by the Haldane distribution, a new semi-analytical model for the pre-peak shear deformation of rock joints was established in this paper, the validity of which was verified by laboratory and in situ experimental data. Other existing models were employed to make comparisons. The comparison results show that the model has superior adaptability and is more suitable for convex-type shear constitutive curves than existing models. Besides, only one parameter was introduced to the model, which is more convenient for application. All of these imply that the proposed model is an effective tool to evaluate the pre-peak shear constitutive curves of different rock joints. The research results can provide a reference for further understanding of the shear fracture characteristics of rock materials. Full article
(This article belongs to the Special Issue Failure Characteristics of Deep Rocks)
Show Figures

Figure 1

16 pages, 6540 KB  
Article
Kinetic Study of 4-Chlorophenol Biodegradation by Acclimated Sludge in a Packed Bed Reactor
by Yen-Hui Lin
Processes 2022, 10(10), 2130; https://doi.org/10.3390/pr10102130 - 19 Oct 2022
Viewed by 2425
Abstract
In this study, batch experiments were conducted to evaluate the degradation of 4-CP using acclimated sludge. The Monod and Haldane models were employed to fit the specific growth rate with various initial 4-CP concentrations of 67–412 mg/L in the batch experiments. Haldane kinetics [...] Read more.
In this study, batch experiments were conducted to evaluate the degradation of 4-CP using acclimated sludge. The Monod and Haldane models were employed to fit the specific growth rate with various initial 4-CP concentrations of 67–412 mg/L in the batch experiments. Haldane kinetics showed a better fit to experimental results than Monod kinetics. The kinetic parameters were obtained from a comparison of Monod and Haldane kinetics with batch experimental data. The values of μm and KS were found to be 0.691 d−1 and 5.62 mg/L, respectively, for Monod kinetics. In contrast, the values of μm, KS, and KI were 1.30 d−1, 8.38 mg/L, and 279.4 mg/L, respectively, for Haldane kinetics. The kinetic parameters in Haldane kinetics were used as input parameters for the kinetic model system of the packed bed reactor (PBR). The continuous flow PBR was conducted to validate the kinetic model system. The model-simulated results agreed well with experimental data in the PBR performance operation. At the steady-state stage, the removal efficiency of 4-CP was 70.8–96.1%, while the hydraulic retention time (HRT) was 2.5 to 12.4 h. The corresponding removal of 4-CP was assessed to be 94.6 and 96.1% when the inlet 4-CP loading rate was increased from 0.11 to 0.51 kg/m3-d. The approaches of kinetic models and experiments presented in this study can be applied to design a PBR for 4-CP treatment in wastewater from the effluents of various industries. Full article
Show Figures

Figure 1

12 pages, 664 KB  
Article
Improvement of a Mathematical Model to Predict CO2 Removal in Hollow Fiber Membrane Oxygenators
by Katelin S. Omecinski and William J. Federspiel
Bioengineering 2022, 9(10), 568; https://doi.org/10.3390/bioengineering9100568 - 18 Oct 2022
Cited by 3 | Viewed by 2455
Abstract
The use of extracorporeal oxygenation and CO2 removal has gained clinical validity and popularity in recent years. These systems are composed of a pump to drive blood flow through the circuit and a hollow fiber membrane bundle through which gas exchange is [...] Read more.
The use of extracorporeal oxygenation and CO2 removal has gained clinical validity and popularity in recent years. These systems are composed of a pump to drive blood flow through the circuit and a hollow fiber membrane bundle through which gas exchange is achieved. Mathematical modeling of device design is utilized by researchers to improve device hemocompatibility and efficiency. A previously published mathematical model to predict CO2 removal in hollow fiber membrane bundles was modified to include an empirical representation of the Haldane effect. The predictive capabilities of both models were compared to experimental data gathered from a fiber bundle of 7.9 cm in length and 4.4 cm in diameter. The CO2 removal rate predictions of the model including the Haldane effect reduced the percent error between experimental data and mathematical predictions by up to 16%. Improving the predictive capabilities of computational fluid dynamics for the design of hollow fiber membrane bundles reduces the monetary and manpower expenses involved in designing and testing such devices. Full article
Show Figures

Graphical abstract

Back to TopTop