Kinetic Study of Anaerobic Digestion of Compost Leachate from Organic Fraction of Municipal Solid Waste
Abstract
1. Introduction
2. Materials and Methods
2.1. Materials
2.2. Pilot Plant
2.3. Experimental Setup
2.4. Kinetic Analysis Procedure
2.4.1. Daily COD Degradation Curves
2.4.2. Substrate Removal Rate Curves
2.5. Analytical Methods
3. Results and Discussion
3.1. Compost Leachate and Activated Sludge Characteristics
3.2. Anaerobic Digestion Performance
3.3. Kinetic Analysis
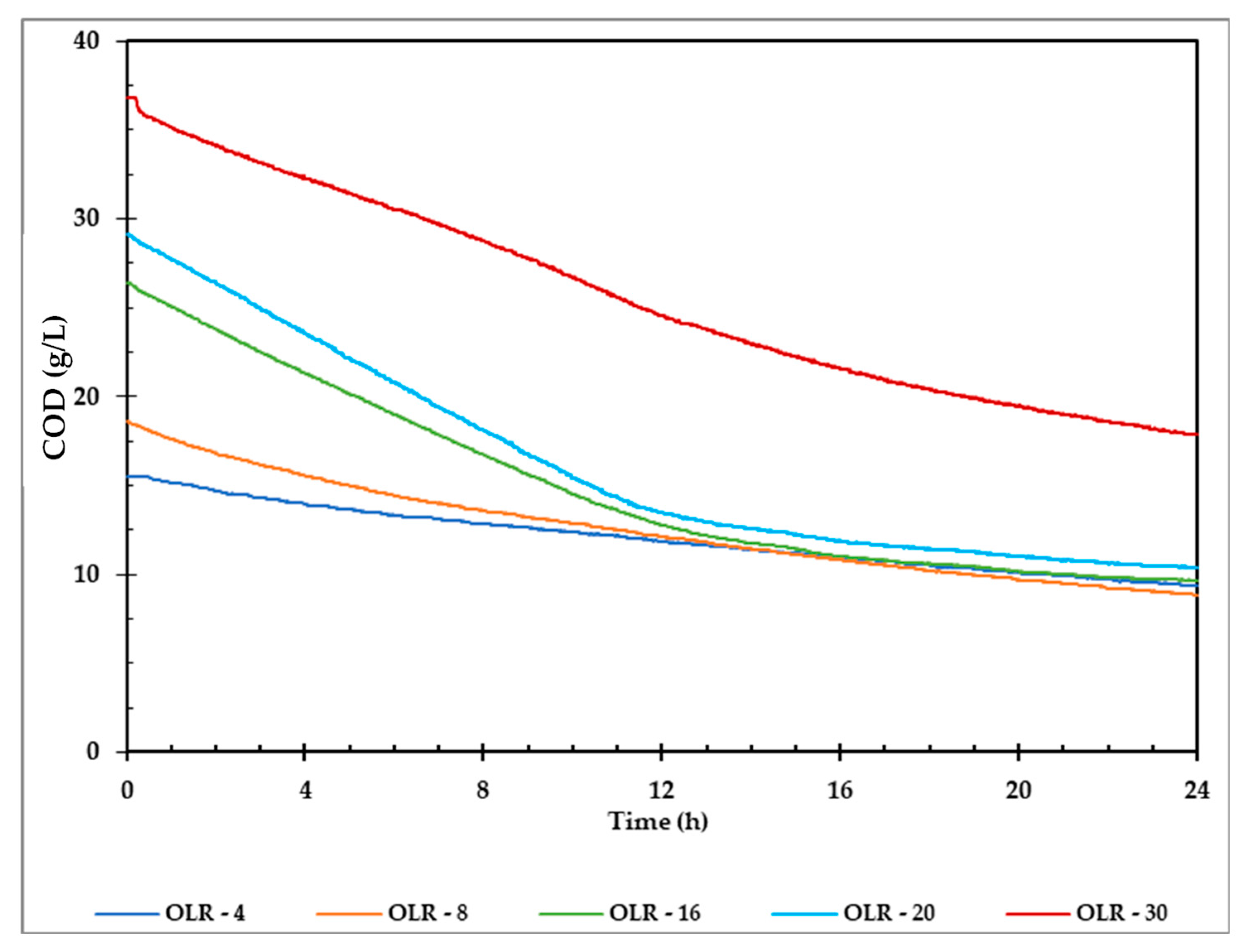
3.3.1. Daily COD Degradation Curves
3.3.2. Substrate Removal Rates and Mathematical Modelling
4. Conclusions
Author Contributions
Funding
Institutional Review Board Statement
Informed Consent Statement
Data Availability Statement
Acknowledgments
Conflicts of Interest
References
- Miller, F.C. Composting of Municipal Solid Waste and Its Components. In Microbiology of Solid Waste; CRC Press: London, UK, 2020; Chapter 4. [Google Scholar] [CrossRef]
- Khan, S.; Anjum, R.; Raza, S.T.; Ahmed Bazai, N.; Ihtisham, M. Technologies for Municipal Solid Waste Management: Current Status, Challenges, and Future Perspectives. Chemosphere 2022, 288, 132403. [Google Scholar] [CrossRef]
- Vyas, S.; Prajapati, P.; Shah, A.V.; Varjani, S. Municipal Solid Waste Management: Dynamics, Risk Assessment, Ecological Influence, Advancements, Constraints and Perspectives. Sci. Total Environ. 2022, 814, 152802. [Google Scholar] [CrossRef]
- Sayara, T.; Basheer-Salimia, R.; Hawamde, F.; Sánchez, A. Recycling of Organic Wastes through Composting: Process Performance and Compost Application in Agriculture. Agronomy 2020, 10, 1838. [Google Scholar] [CrossRef]
- Chen, P.; Xie, Q.; Addy, M.; Zhou, W.; Liu, Y.; Wang, Y.; Cheng, Y.; Li, K.; Ruan, R. Utilization of Municipal Solid and Liquid Wastes for Bioenergy and Bioproducts Production. Bioresour. Technol. 2016, 215, 163–172. [Google Scholar] [CrossRef]
- Oliveira, L.S.B.L.; Oliveira, D.S.B.L.; Bezerra, B.S.; Silva Pereira, B.; Battistelle, R.A.G. Environmental Analysis of Organic Waste Treatment Focusing on Composting Scenarios. J. Clean. Prod. 2017, 155, 229–237. [Google Scholar] [CrossRef]
- de Sousa, M.H.; da Silva, A.S.F.; Correia, R.C.; Leite, N.P.; Bueno, C.E.G.; dos Santos Pinheiro, R.L.; de Santana, J.S.; da Silva, J.L.; Sales, A.T.; de Souza, C.C.; et al. Valorizing Municipal Organic Waste to Produce Biodiesel, Biogas, Organic Fertilizer, and Value-Added Chemicals: An Integrated Biorefinery Approach. Biomass Convers. Biorefin. 2022, 12, 827–841. [Google Scholar] [CrossRef]
- Ihsanullah, I.; Alam, G.; Jamal, A.; Shaik, F. Recent advances in applications of artificial intelligence in solid waste management: A review. Chemosphere 2022, 309, 136631. [Google Scholar] [CrossRef]
- Krogmann, U.; Woyczechowski, H. Selected Characteristics of Leachate, Condensate and Runoff Released during Composting of Biogenic Waste. Waste Manag. Res. J. A Sustain. Circ. Econ. 2000, 18, 235–248. [Google Scholar] [CrossRef]
- de Guardia, A.; Brunet, S.; Rogeau, D.; Matejka, G. Fractionation and Characterisation of Dissolved Organic Matter from Composting Green Wastes. Bioresour. Technol. 2002, 83, 181–187. [Google Scholar] [CrossRef]
- Fan, H.; Liao, J.; Abass, O.K.; Liu, L.; Huang, X.; Wei, L.; Li, J.; Xie, W.; Liu, C. Effects of Compost Characteristics on Nutrient Retention and Simultaneous Pollutant Immobilization and Degradation during Co-Composting Process. Bioresour. Technol. 2019, 275, 61–69. [Google Scholar] [CrossRef] [PubMed]
- Onwosi, C.O.; Igbokwe, V.C.; Odimba, J.N.; Eke, I.E.; Nwankwoala, M.O.; Iroh, I.N.; Ezeogu, L.I. Composting Technology in Waste Stabilization: On the Methods, Challenges and Future Prospects. J. Environ. Manag. 2017, 190, 140–157. [Google Scholar] [CrossRef] [PubMed]
- Siciliano, A.; Limonti, C.; Curcio, G.M.; Calabrò, V. Biogas Generation through Anaerobic Digestion of Compost Leachate in Semi-Continuous Completely Stirred Tank Reactors. Processes 2019, 7, 635. [Google Scholar] [CrossRef]
- Farrell, M.; Jones, D.L. Critical Evaluation of Municipal Solid Waste Composting and Potential Compost Markets. Bioresour. Technol. 2009, 100, 4301–4310. [Google Scholar] [CrossRef] [PubMed]
- Cadena, E.; Colón, J.; Artola, A.; Sánchez, A.; Font, X. Environmental Impact of Two Aerobic Composting Technologies Using Life Cycle Assessment. Int. J. Life Cycle Assess. 2009, 14, 401–410. [Google Scholar] [CrossRef]
- Liu, J.; Zhong, J.; Wang, Y.; Liu, Q.; Qian, G.; Zhong, L.; Guo, R.; Zhang, P.; Xu, Z.P. Effective Bio-Treatment of Fresh Leachate from Pretreated Municipal Solid Waste in an Expanded Granular Sludge Bed Bioreactor. Bioresour. Technol. 2010, 101, 1447–1452. [Google Scholar] [CrossRef] [PubMed]
- Roy, D.; Azaïs, A.; Benkaraache, S.; Drogui, P.; Tyagi, R.D. Composting Leachate: Characterization, Treatment, and Future Perspectives. Rev. Environ. Sci. Biotechnol. 2018, 17, 323–349. [Google Scholar] [CrossRef]
- Amani, T.; Veysi, K.; Elyasi, S.; Dastyar, W. A Precise Experimental Study of Various Affecting Operational Parameters in Electrocoagulation–Flotation Process of High-Load Compost Leachate in a Batch Reactor. Water Sci. Technol. 2014, 70, 1314–1321. [Google Scholar] [CrossRef] [PubMed]
- De Rosa, S.; Siciliano, A. A Catalytic Oxidation Process of Olive Oil Mill Wastewaters Using Hydrogen Peroxide and Copper. Desalination Water Treat. 2010, 23, 187–193. [Google Scholar] [CrossRef]
- Siciliano, A.; Stillitano, M.A.; De Rosa, S. Increase of the Anaerobic Biodegradability of Olive Mill Wastewaters through a Pre-Treatment with Hydrogen Peroxide in Alkaline Conditions. Desalination Water Treat. 2015, 55, 1735–1746. [Google Scholar] [CrossRef]
- Pistocchi, A.; Dorati, C.; Grizzetti, B.; Udias Moinelo, A.; Vigiak, O.; Zanni, M. Water Quality in Europe: Effects of the Urban Wastewater Treatment Directive; EUR 30003 EN, Publications Office of the European Union: Luxembourg, 2019. [Google Scholar] [CrossRef]
- Pandis, P.K.; Kalogirou, C.; Kanellou, E.; Vaitsis, C.; Savvidou, M.G.; Sourkouni, G.; Zorpas, A.A.; Argirusis, C. Key Points of Advanced Oxidation Processes (AOPs) for Wastewater, Organic Pollutants and Pharmaceutical Waste Treatment: A Mini Review. ChemEngineering 2022, 6, 8. [Google Scholar] [CrossRef]
- Zuriaga-Agustí, E.; Mendoza-Roca, J.A.; Bes-Piá, A.; Alonso-Molina, J.L.; Muñagorri-Mañueco, F.; Ortiz-Villalobos, G.; Fernández-Giménez, E. Comparison between Mixed Liquors of Two Side-Stream Membrane Bioreactors Treating Wastewaters from Waste Management Plants with High and Low Solids Anaerobic Digestion. Water Res. 2016, 100, 517–525. [Google Scholar] [CrossRef]
- Khajouei, G.; Mortazavian, S.; Saber, A.; Zamani Meymian, N.; Hasheminejad, H. Treatment of Composting Leachate Using Electro-Fenton Process with Scrap Iron Plates as Electrodes. Int. J. Environ. Sci. Technol. 2019, 16, 4133–4142. [Google Scholar] [CrossRef]
- Hashemi, H.; Ebrahimi, A.; Khodabakhshi, A. Investigation of Anaerobic Biodegradability of Real Compost Leachate Emphasis on Biogas Harvesting. Int. J. Environ. Sci. Technol. 2015, 12, 2841–2846. [Google Scholar] [CrossRef]
- Mahvi, A.H.; Feizabadi, G.K.; Dehghani, M.H.; Mazloomi, S. Efficiency of different coagulants in pretreatment of composting plant leachate. J. Biodivers. Environ. Sci. 2015, 6, 21–28. [Google Scholar]
- Siciliano, A.; Limonti, C.; Curcio, G.M. Improvement of Biomethane Production from Organic Fraction of Municipal Solid Waste (OFMSW) through Alkaline Hydrogen Peroxide (AHP) Pretreatment. Fermentation 2021, 7, 197. [Google Scholar] [CrossRef]
- Sun, Q.; Li, H.; Yan, J.; Liu, L.; Yu, Z.; Yu, X. Selection of Appropriate Biogas Upgrading Technology-a Review of Biogas Cleaning, Upgrading and Utilisation. Renew. Sustain. Energy Rev. 2015, 51, 521–532. [Google Scholar] [CrossRef]
- Calabrò, P.S.; Fazzino, F.; Limonti, C.; Siciliano, A. Enhancement of Anaerobic Digestion of Waste-Activated Sludge by Conductive Materials under High Volatile Fatty Acids-to-Alkalinity Ratios. Water 2021, 13, 391. [Google Scholar] [CrossRef]
- Barbera, E.; Menegon, S.; Banzato, D.; D’Alpaos, C.; Bertucco, A. From Biogas to Biomethane: A Process Simulation-Based Techno-Economic Comparison of Different Upgrading Technologies in the Italian Context. Renew. Energy 2019, 135, 663–673. [Google Scholar] [CrossRef]
- Siciliano, A.; Limonti, C.; Curcio, G.M. Performance Evaluation of Pressurized Anaerobic Digestion (PDA) of Raw Compost Leachate. Fermentation 2022, 8, 15. [Google Scholar] [CrossRef]
- Toledo-Cervantes, A.; Estrada, J.M.; Lebrero, R.; Muñoz, R. A Comparative Analysis of Biogas Upgrading Technologies: Photosynthetic vs Physical/Chemical Processes. Algal. Res. 2017, 25, 237–243. [Google Scholar] [CrossRef]
- Siciliano, A.; Limonti, C.; Mehariya, S.; Molino, A.; Calabrò, V. Biofuel Production and Phosphorus Recovery through an Integrated Treatment of Agro-Industrial Waste. Sustainability 2019, 11, 52. [Google Scholar] [CrossRef]
- Khanal, S.K. Anaerobic Biotechnology for Bioenergy Production: Principles and Applications, 1st ed.; Wiley-Blackwell: Ames, IA, USA, 2008; ISBN 978-0-8138-2346-1. [Google Scholar]
- Ebrahimi, A.; Hashemi, H.; Eslami, H.; Fallahzadeh, R.A.; Khosravi, R.; Askari, R.; Ghahramani, E. Kinetics of Biogas Production and Chemical Oxygen Demand Removal from Compost Leachate in an Anaerobic Migrating Blanket Reactor. J. Environ. Manag. 2018, 206, 707–714. [Google Scholar] [CrossRef]
- Mokhtarani, N.; Bayatfard, A.; Mokhtarani, B. Full Scale Performance of Compost’s Leachate Treatment by Biological Anaerobic Reactors. Waste Manag. Res. 2012, 30, 524–529. [Google Scholar] [CrossRef]
- Lim, B.S.; Kim, B.; Chung, I. Anaerobic Treatment of Food Waste Leachate for Biogas Using a Novel Digestion System. Environ. Eng. Res. 2012, 17, 41–46. [Google Scholar] [CrossRef]
- Maleki, E.; Bokhary, A.; Liao, B.Q. A Review of Anaerobic Digestion Bio-Kinetics. Rev. Environ. Sci. Biotechnol. 2018, 17, 691–705. [Google Scholar] [CrossRef]
- Borja, R.; Martín, A.; Banks, C.J.; Alonso, V.; Chica, A. A Kinetic Study of Anaerobic Digestion of Olive Mill Wastewater at Mesophilic and Thermophilic Temperatures. Environ. Pollut. 1995, 88, 13–18. [Google Scholar] [CrossRef] [PubMed]
- Hu, W.C.; Thayanithy, K.; Forster, C.F. A Kinetic Study of the Anaerobic Digestion of Ice-Cream Wastewater. Process Biochem. 2002, 37, 965–971. [Google Scholar] [CrossRef]
- Tchobanoglous, G.; Burton, F.L.; Stensel, H.D. Wastewater Engineering, Treatment and Reuse, 4th ed.; Metcalf & Eddy; McGraw-Hill: New York, NY, USA, 2003; ISBN 883866188-X. [Google Scholar]
- Briggs, G.E.; Haldane, J.B.S. A Note on the Kinetics of Enzyme Action. Biochem. J. 1925, 19, 338–339. [Google Scholar] [CrossRef]
- APHA. Standard Methods for the Examination of Water and Wastewater, 20th ed.; American Public Health Association: Washington, DC, USA, 1998. [Google Scholar]
- Romero, C.; Ramos, P.; Costa, C.; Carmen Márquez, M. Raw and Digested Municipal Waste Compost Leachate as Potential Fertilizer: Comparison with a Commercial Fertilizer. J. Clean. Prod. 2013, 59, 73–78. [Google Scholar] [CrossRef]
- Rao, A.G.; Naidu, G.V.; Prasad, K.K.; Rao, N.C.; Mohan, S.V.; Jetty, A.; Sarma, P.N. Anaerobic treatment of wastewater with high suspended solids from a bulk dark industry using fixed film reactor. Bioresour. Technol. 2005, 96, 87–153. [Google Scholar] [CrossRef]
- Eslami, H.; Hashemi, H.; Fallahzadeh, R.A.; Khosravi, R.; Fard, R.F.; Ebrahimi, A.A. Effect of Organic Loading Rates on Biogas Production and Anaerobic Biodegradation of Composting Leachate in the Anaerobic Series Bioreactors. Ecol. Eng. 2018, 110, 165–171. [Google Scholar] [CrossRef]
- Nayono, S.E.; Winter, J.; Gallert, C. Anaerobic Digestion of Pressed off Leachate from the Organic Fraction of Municipal Solid Waste. Waste Manag. 2010, 30, 1828–1833. [Google Scholar] [CrossRef] [PubMed]
- Amin, M.M.; Hashemi, H.; Bina, B.; Ebrahimi, A.; Pourzamani, H.R.; Ebrahimi, A. Environmental Pollutants Removal from Composting Leachate Using Anaerobic Biological Treatment Process. Int. J. Health Syst. Disaster Manag. 2014, 2, 136. [Google Scholar] [CrossRef]
- Pirsaheb, M.; Hossaini, H.; Amini, J. Operational parameters influenced on biogas production in zeolite/anaerobic baffled reactor for compost leachate treatment. J. Environ. Health Sci. Eng. 2021, 19, 1743–1751. [Google Scholar] [CrossRef]









| Parameters | U.M. | Compost Leachate | Activated Sludge Inoculum |
|---|---|---|---|
| pH | - | 5.3 ± 0.2 | 6.9 ± 0.1 |
| Conductivity | [mS/cm] | 5.6 ± 0.1 | 1.2 ± 0.1 |
| TS | [g/L] | 61.9 ± 2.01 | 10.8 ± 0.08 |
| VS | [g/L] | 38.2 ± 2.11 | 8.9 ± 0.09 |
| COD | [g/L] | 66.5 ± 3.5 | 12.8 ± 0.33 |
| CODsol | g/L | 54.3 ± 0.24 | 1.7 ± 0.11 |
| Alkalinity | [gCaCO3/L] | 12.6 ± 0.77 | 0.5 ± 0.04 |
| VFA | [gCH3COOH/L] | 15.2 ± 0.78 | 0.08 ± 0.003 |
| TKN | [g/L] | 1.52 ± 0.14 | 0.78 ± 0.008 |
| N-NH4+ | [g/L] | 0.7 ± 0.05 | 1.4 ± 0.11 |
| P-PO43− | [g/L] | 0.6 ± 0.03 | 39.3 ± 3.6 |
| SO42− | [g/L] | 0.5 ± 0.028 | 88.7 ± 2.3 |
| Ca | [g/L] | 3.6 ± 0.021 | 0.01 ± 0.02 |
| Mg | [g/L] | 0.8 ± 0.04 | 0.04 ± 0.001 |
| K | [g/L] | 0.6 ± 0.017 | - |
| Fe | [mg/L] | 113.8 ± 4.1 | 0.3 ± 0.01 |
| Pb | [mg/L] | 34.4 ± 1.1 | - |
| Mn | [mg/L] | 10.6 ± 0.21 | 0.1 ± 0.005 |
| Zn | [mg/L] | 20.0 ± 0.4 | - |
| Ni | [mg/L] | 0.2 ± 0.01 | - |
| OLR | gCOD/Ld | 4 | 8 | 16 | 20 | 30 |
|---|---|---|---|---|---|---|
| µm = (µmax/Y) X | gCOD/Lh | 0.5079 | 0.8165 | 1.5211 | 1.7096 | 1.0971 |
| X | gSV/L | 3.71 | 6.50 | 9.02 | 14.34 | 45.35 |
| KC | gCOD/L | 2.3596 | 2.3367 | 2.7503 | 2.1042 | 1.702 |
| R2 | - | 0.86 | 0.82 | 0.99 | 0.98 | 0.89 |
| OLR | gCOD/Ld | 4 | 8 | 16 | 20 | 30 |
|---|---|---|---|---|---|---|
| µm = (µmax/Y) X | gCOD/Lh | 0.5042 | 0.8171 | 1.5146 | 1.7039 | 4.513 |
| X | gSV/L | 3.71 | 6.50 | 9.02 | 14.34 | 45.35 |
| KC | gCOD/L | 2.3513 | 2.3987 | 2.7005 | 2.1139 | 14.93 |
| KI | gCOD/L | 21860 | 11580 | 367.1 | 253.6 | 4.99 |
| R2 | - | 0.89 | 0.82 | 0.99 | 0.98 | 0.95 |
Disclaimer/Publisher’s Note: The statements, opinions and data contained in all publications are solely those of the individual author(s) and contributor(s) and not of MDPI and/or the editor(s). MDPI and/or the editor(s) disclaim responsibility for any injury to people or property resulting from any ideas, methods, instructions or products referred to in the content. |
© 2023 by the authors. Licensee MDPI, Basel, Switzerland. This article is an open access article distributed under the terms and conditions of the Creative Commons Attribution (CC BY) license (https://creativecommons.org/licenses/by/4.0/).
Share and Cite
Limonti, C.; Curcio, G.M.; Siciliano, A.; Le Pera, A.; Demirer, G.N. Kinetic Study of Anaerobic Digestion of Compost Leachate from Organic Fraction of Municipal Solid Waste. Fermentation 2023, 9, 297. https://doi.org/10.3390/fermentation9030297
Limonti C, Curcio GM, Siciliano A, Le Pera A, Demirer GN. Kinetic Study of Anaerobic Digestion of Compost Leachate from Organic Fraction of Municipal Solid Waste. Fermentation. 2023; 9(3):297. https://doi.org/10.3390/fermentation9030297
Chicago/Turabian StyleLimonti, Carlo, Giulia Maria Curcio, Alessio Siciliano, Adolfo Le Pera, and Goksel N. Demirer. 2023. "Kinetic Study of Anaerobic Digestion of Compost Leachate from Organic Fraction of Municipal Solid Waste" Fermentation 9, no. 3: 297. https://doi.org/10.3390/fermentation9030297
APA StyleLimonti, C., Curcio, G. M., Siciliano, A., Le Pera, A., & Demirer, G. N. (2023). Kinetic Study of Anaerobic Digestion of Compost Leachate from Organic Fraction of Municipal Solid Waste. Fermentation, 9(3), 297. https://doi.org/10.3390/fermentation9030297

