Sign in to use this feature.

Years

Between: -

Subjects

remove_circle_outline
remove_circle_outline
remove_circle_outline
remove_circle_outline
remove_circle_outline
remove_circle_outline
remove_circle_outline
remove_circle_outline
remove_circle_outline

Journals

remove_circle_outline
remove_circle_outline
remove_circle_outline
remove_circle_outline
remove_circle_outline
remove_circle_outline
remove_circle_outline
remove_circle_outline
remove_circle_outline
remove_circle_outline
remove_circle_outline
remove_circle_outline
remove_circle_outline
remove_circle_outline
remove_circle_outline
remove_circle_outline
remove_circle_outline
remove_circle_outline
remove_circle_outline
remove_circle_outline
remove_circle_outline
remove_circle_outline
remove_circle_outline

Article Types

Countries / Regions

remove_circle_outline
remove_circle_outline
remove_circle_outline
remove_circle_outline
remove_circle_outline
remove_circle_outline
remove_circle_outline
remove_circle_outline
remove_circle_outline
remove_circle_outline

Search Results (4,825)

Search Parameters:
Keywords = GIS models

Order results
Result details
Results per page
Select all
Export citation of selected articles as:
15 pages, 2603 KB  
Article
Room-Temperature Synthesis of Pullulan-Based Hydrogels for Controlled Delivery of Microbial Fertilizers
by Tamara Erceg, Ivana Mitrović, Vesna Teofilović, Darko Micić and Sanja Ostojić
Polymers 2025, 17(24), 3323; https://doi.org/10.3390/polym17243323 - 16 Dec 2025
Abstract
This study presents an energy-efficient, room-temperature synthesis and characterization of methacrylated pullulan (Pull-MA) hydrogel developed for controlled nutrient delivery in agricultural applications. Fourier Transform Infrared Spectroscopy (FTIR) and Differential Scanning Calorimetry (DSC) analyses confirmed the successful functionalization of pullulan with methacrylate groups, accompanied [...] Read more.
This study presents an energy-efficient, room-temperature synthesis and characterization of methacrylated pullulan (Pull-MA) hydrogel developed for controlled nutrient delivery in agricultural applications. Fourier Transform Infrared Spectroscopy (FTIR) and Differential Scanning Calorimetry (DSC) analyses confirmed the successful functionalization of pullulan with methacrylate groups, accompanied by a decrease in thermal transition temperatures, indicative of increased polymer chain mobility. The synthesized Pull-MA hydrogel exhibited a high swelling capacity, reaching an equilibrium swelling ratio of 1068% within 5 h, demonstrating its suitability as a carrier matrix. The room-temperature synthesis approach enabled the in situ incorporation of microbial inoculant into the hydrogel network, preserving microbial viability and activity. SEM analysis performed under the different magnifications (1000, 2500, 5000, 10,000, 25,000×) has confirmed brittle nature of xerogels and increasing in structural irregularities with increasing in cultivation broth content.The biological performance of the fertilizer-loaded hydrogels was evaluated through seed germination assays using maize and pepper as model crops. The optimized formulation, T2 (Pull-MA: cultivation broth 1:5 w/w), significantly improved germination efficiency, as evidenced by increased relative seed germination (RSG), root growth rate (RRG), and germination index (GI) compared to both the control and the low-fertilizer formulation (T1, 1:2.5 w/w). These findings highlight the potential of Pull-MA hydrogels as bioactive seed-coating materials that enhance early seedling development through controlled nutrient release. The results lay a solid foundation for further optimization and future application of this system under real field conditions. Full article
(This article belongs to the Special Issue Polymer Hydrogels: Synthesis, Properties and Applications)
Show Figures

Graphical abstract

17 pages, 9113 KB  
Article
Climate-Driven Habitat Dynamics of Ormosiaxylocarpa: The Role of Cold-Quarter Precipitation as a Regeneration Bottleneck Under Future Scenarios
by Wen Lu and Mao Lin
Diversity 2025, 17(12), 862; https://doi.org/10.3390/d17120862 - 16 Dec 2025
Abstract
The Maximum Entropy (MaxEnt) model, integrated with ArcGIS (a geographic information system), was employed to project potential species distribution under current conditions and future climate scenarios (SSP1–2.6, SSP2–4.5, SSP5–8.5) for the 2050s, 2070s, and 2090s. Model optimization involved testing 1160 parameter combinations. The [...] Read more.
The Maximum Entropy (MaxEnt) model, integrated with ArcGIS (a geographic information system), was employed to project potential species distribution under current conditions and future climate scenarios (SSP1–2.6, SSP2–4.5, SSP5–8.5) for the 2050s, 2070s, and 2090s. Model optimization involved testing 1160 parameter combinations. The optimized model (FC = LQ, RM = 0.1) exhibited significantly improved predictive performance, with an average AUC of 0.967. Under current conditions, the estimated core suitable habitat spans 35.62 × 104 km2, primarily located in southern China. Future projections indicated a non-linear trajectory: an initial contraction of total suitable area by mid-century, followed by a substantial expansion by the 2090s, particularly under high-emission scenarios. Simultaneously, the distribution centroid shifted northwestward. The primary factors influencing distribution were the annual mean temperature (Bio1, 41.1%) and the precipitation of the coldest quarter (Bio19, 20.0%). These findings establish a critical scientific basis for developing climate-adaptive conservation strategies, including the identification of priority climate refugia in Fujian province, China, and planning for assisted migration to northwestern regions. Full article
(This article belongs to the Section Plant Diversity)
Show Figures

Figure 1

19 pages, 464 KB  
Article
QSAR Modeling for Predicting IC50 and GI50 Values for Human Cell Lines Used in Toxicological Studies
by Alexey A. Lagunin, Elena Y. Lisitsa, Anastasia V. Rudik, Sergey M. Ivanov, Alexander V. Dmitriev, Elena S. Muraviova, Dmitry A. Filimonov and Vladimir V. Poroikov
Int. J. Mol. Sci. 2025, 26(24), 12063; https://doi.org/10.3390/ijms262412063 - 15 Dec 2025
Abstract
Assessing cytotoxicity towards human cells is a critical step in preclinical drug development. In preclinical toxicology, human cell lines allow for the analysis of both general and organ-specific toxicity, thus, helping reduce development time and costs. Predicting cytotoxic IC50 and GI50 [...] Read more.
Assessing cytotoxicity towards human cells is a critical step in preclinical drug development. In preclinical toxicology, human cell lines allow for the analysis of both general and organ-specific toxicity, thus, helping reduce development time and costs. Predicting cytotoxic IC50 and GI50 values facilitates the early evaluation of new pharmaceutical agents by assessing the possible therapeutic window. Ten non-tumor and 10 tumor cell lines commonly used in toxicology were selected to develop QSAR models using GUSAR software and ChEMBL data. GUSAR employs atom-centric electrotopological QNA and substructural MNA descriptors to encode molecular structure and utilizes the RBF–SCR algorithm to train QSAR models. The best-performing models (R2 > 0.5, RMSE < 0.8; mean R2 = 0.691, mean RMSE = 0.584) were selected using 5-fold cross-validation. These models were implemented in the freely available web application CLC-Pred 2.0 (Cell Line Cytotoxicity Predictor), initially developed for qualitative prediction of cytotoxicity in human cell lines. Full article
Show Figures

Graphical abstract

26 pages, 3264 KB  
Article
Disaster-Adaptive Resilience Evaluation of Traditional Settlements Using Ant Colony Bionics: Fenghuang Ancient Town, Shaanxi, China
by Junhan Zhang, Binqing Zhai, Chufan Xiao, Daniele Villa and Yishan Xu
Buildings 2025, 15(24), 4523; https://doi.org/10.3390/buildings15244523 - 15 Dec 2025
Abstract
Current research on disaster-adaptive resilience predominantly focuses on urban systems, with insufficient attention paid to the unique scale of traditional settlements and their formation mechanisms and pathways to systemic realization remain significantly understudied. There is also a lack of multi-dimensional coupling analysis and [...] Read more.
Current research on disaster-adaptive resilience predominantly focuses on urban systems, with insufficient attention paid to the unique scale of traditional settlements and their formation mechanisms and pathways to systemic realization remain significantly understudied. There is also a lack of multi-dimensional coupling analysis and innovative methods tailored to the specific contexts of rural areas. To address this, this study innovatively introduces ant colony bionic intelligence, drawing on its characteristics of swarm intelligence, positive feedback, path optimization, and dynamic adaptation to reframe emergency decision-making logic in human societies. An evaluation model for disaster-adaptive resilience is constructed based on these four dimensions as the criterion layer. The weights of dimensions and indicators are determined using a combined AHP–entropy weight method, enabling a comprehensive assessment of settlement resilience. Taking Fenghuang Ancient Town as an empirical case, the research utilizes methods such as field surveys, questionnaire surveys, and GIS data analysis. The results indicate that (1) the overall resilience evaluation score of Fenghuang Ancient Town is 3.408 (based on a 5-point scale); (2) the path optimization dimension contributes the most to the overall resilience, with road redundancy design (C21) being the core driving factor; within the positive feedback mechanism dimension, soil and water conservation projects (C15) provide the fundamental guarantee for village safety; (3) based on these findings, hierarchical planning strategies encompassing infrastructure reinforcement, community capacity enhancement, and ecological risk management are proposed. This study verifies the applicability of the evaluation model based on ant colony bionic intelligence in assessing the disaster resilience of traditional settlements, revealing a new paradigm of “bio-intelligence-driven” resilience planning. It successfully translates ant colony behavioral principles into actionable planning and design guidelines and governance tools, providing a replicable method for resilience evaluation and enhancement for traditional settlements in ecological barrier areas such as the Qinling Mountains. Full article
(This article belongs to the Section Architectural Design, Urban Science, and Real Estate)
Show Figures

Figure 1

19 pages, 4782 KB  
Article
A Web-Based Learning Model for Smart Campuses: A Case in Landscape Architecture Education
by Gamze Altun and Murat Zencirkıran
Sustainability 2025, 17(24), 11203; https://doi.org/10.3390/su172411203 - 14 Dec 2025
Viewed by 21
Abstract
This study presents the development and evaluation of a Quick Response (QR) code-integrated, web-based, and GIS-supported interactive learning model designed to enhance field-based plant learning in landscape architecture education. Conducted on the Görükle Campus of Bursa Uludağ University (BUU), the research systematically inventoried [...] Read more.
This study presents the development and evaluation of a Quick Response (QR) code-integrated, web-based, and GIS-supported interactive learning model designed to enhance field-based plant learning in landscape architecture education. Conducted on the Görükle Campus of Bursa Uludağ University (BUU), the research systematically inventoried 6869 individual woody plants belonging to 172 taxa, georeferenced them using GPS, and visualized the data on an interactive campus map. Unique QR codes were generated for each taxon, providing instant access to plant profiles via a web platform and the Landscape Plants mobile application. The pedagogical effectiveness of the system was evaluated through a survey administered to 158 students, yielding a high internal reliability (Cronbach’s Alpha = 0.969). The findings indicated a high level of student satisfaction and a strong positive correlation between web-based and QR code applications (r = 0.941, p ≤ 0.001). This research represents the most comprehensive campus-scale digital plant learning system in Turkey, in terms of both species diversity and individual count. It provides a scalable and sustainable smart campus model which is applicable to nature-based disciplines worldwide. Full article
Show Figures

Figure 1

25 pages, 7632 KB  
Article
Study on Inundation Analysis Characteristics of a Grid-Based Urban Drainage System (GUDS)
by Dahae Yu, Jungmin Lee, Dongjun Kim and Jungho Lee
Water 2025, 17(24), 3539; https://doi.org/10.3390/w17243539 - 13 Dec 2025
Viewed by 159
Abstract
The risk of urban flooding has escalated with increasing rainfall intensity and the expansion of impervious surfaces. While commercial models such as XP-SWMM provide reliable hydraulic analyses, their closed-source structure limits transparency and integration with external tools. In contrast, the Grid-Based Urban Drainage [...] Read more.
The risk of urban flooding has escalated with increasing rainfall intensity and the expansion of impervious surfaces. While commercial models such as XP-SWMM provide reliable hydraulic analyses, their closed-source structure limits transparency and integration with external tools. In contrast, the Grid-Based Urban Drainage System Analysis Model (GUDS), developed on the Weighted Cellular Automata 2D (WCA2D) framework, offers greater flexibility for process verification and coupling with platforms such as GIS and spreadsheets. This study presents a comparative assessment of numerical stability and velocity estimation schemes between XP-SWMM and GUDS. Moving beyond previous validation-focused studies, it quantitatively examines how algorithmic formulations—particularly in flow velocity computation and numerical treatment—affect inundation propagation and model stability under varying topographic conditions. Results demonstrate that XP-SWMM yields higher analytical precision but is prone to numerical instability on steep slopes, whereas GUDS maintains stable simulations due to its simplified water-level-difference approach, albeit with reduced responsiveness to rapidly changing flows. The differences in maximum inundation depth, inundation area, and propagation speed were relatively minor—approximately 11.6%, 10.7%, and 9.2% on average, respectively. This work provides a novel quantitative perspective on the trade-offs between precision and stability in urban flood modeling, highlighting GUDS’s robustness and practical applicability as an open and extensible alternative to conventional equation-based models. Full article
(This article belongs to the Special Issue Application of Hydrological Modelling to Water Resources Management)
Show Figures

Figure 1

29 pages, 8032 KB  
Article
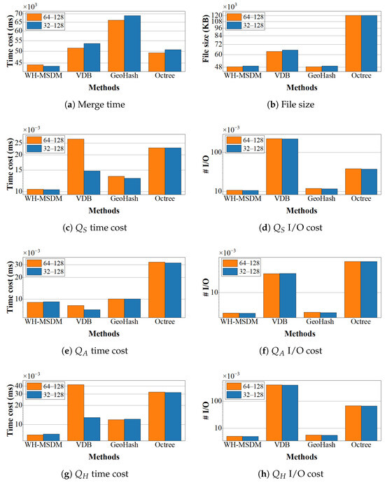
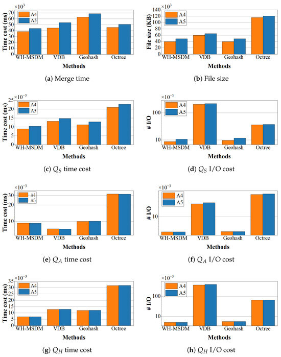
WH-MSDM: A W-Hilbert Curve-Based Multiscale Data Model for Spatial Indexing and Management of 3D Geological Blocks in Digital Earth Applications
by Genshen Chen, Gang Liu, Jiongqi Wu, Yang Dong, Zhiting Zhang, Xiangwu Zeng and Junping Xiong
Appl. Sci. 2025, 15(24), 13112; https://doi.org/10.3390/app152413112 - 12 Dec 2025
Viewed by 152
Abstract
Multiscale 3D geological characterization and joint analysis are increasingly important topics in spatial information science. However, the non-uniform spatial distribution of objects and scale heterogeneity in geological surveys lead to dispersed storage, long access paths, and limited query performance in managing multiscale 3D [...] Read more.
Multiscale 3D geological characterization and joint analysis are increasingly important topics in spatial information science. However, the non-uniform spatial distribution of objects and scale heterogeneity in geological surveys lead to dispersed storage, long access paths, and limited query performance in managing multiscale 3D geological model data. This study presents a W-Hilbert curve-based multiscale data model (WH-MSDM) that improves data indexing and management through a unified data structure (UDS) for multi-scale blocks and a bidirectional mapping model (BMM) linking spatial coordinates to memory locations. It supports spatial, attribute, hybrid, and cross-scale queries for diverse retrieval tasks. By exploiting the space-filling properties of the W-Hilbert curve to linearize multidimensional geological data into a one-dimensional index, it preserves locality and increases query efficiency across scales. Experimental results on a real 3D geological model demonstrate that WH-MSDM outperforms three mainstream baselines in both unified data organization and diverse query workloads. It thus provides a data-model foundation for Digital Earth-oriented multiscale geological analysis. Full article
Show Figures

Figure 1

23 pages, 5543 KB  
Article
Spatial Analysis Model for Sustainable Soil Management in Livestock Systems: Case Study at Hacienda Pacaguan, Chimborazo, Ecuador
by Jorge Córdova-Lliquín, Adriana Guzmán-Guaraca, Vanessa Morales-León, Tannia Vargas-Tierras and Wilson Vásquez-Castillo
Sustainability 2025, 17(24), 11131; https://doi.org/10.3390/su172411131 - 12 Dec 2025
Viewed by 102
Abstract
Soil degradation in high-altitude livestock systems—driven by acidification, compaction, low water retention and nutrient loss—reduces forage productivity and limits the sustainability of grazing-based production. These constraints highlight the need for spatial tools capable of prioritising soil interventions and guiding more efficient land management. [...] Read more.
Soil degradation in high-altitude livestock systems—driven by acidification, compaction, low water retention and nutrient loss—reduces forage productivity and limits the sustainability of grazing-based production. These constraints highlight the need for spatial tools capable of prioritising soil interventions and guiding more efficient land management. The objective of this study was to develop a spatial analysis model to identify and rank soil management priorities in a high-altitude livestock farm. A total of 441 georeferenced observations were collected using portable sensors to measure pH, electrical conductivity, water retention capacity and soil compaction. The data were processed through GIS interpolation, cartographic overlay and reclassification techniques to assign intervention levels across the landscape. The results indicated that 70% of the area presented moderately acidic soils, 32% required improvements in water retention, and 67% exhibited moderate compaction. The proposed model is replicable, operationally simple and suitable for site-specific decision-making. Overall, this study provides a technical tool that supports extension programmes, territorial planning and sustainable livestock management. Full article
Show Figures

Figure 1

22 pages, 35558 KB  
Article
Mapping Pastoral Mobility: A Geospatial Inventory of Temporary Dwellings Within the Southern Carpathians
by Emil Marinescu, Sidonia Marinescu and Liliana Popescu
ISPRS Int. J. Geo-Inf. 2025, 14(12), 494; https://doi.org/10.3390/ijgi14120494 - 11 Dec 2025
Viewed by 215
Abstract
Temporary pastoral settlements are a keystone of high-mountain ecologies, yet they are not included in any official datasets. Therefore, to fill this gap, this research aims to create the first systematic spatial inventory of high-altitude rural temporary dwellings (sheepfolds and shelters) and land [...] Read more.
Temporary pastoral settlements are a keystone of high-mountain ecologies, yet they are not included in any official datasets. Therefore, to fill this gap, this research aims to create the first systematic spatial inventory of high-altitude rural temporary dwellings (sheepfolds and shelters) and land use in the central part of the Southern Carpathians, one of the major traditional areas for sheep breeding in Romania. The data sources include 1:5000 orthophotos, 1:25,000-scale topographic maps, the Corine Land Cover model, field investigation campaigns, and forestry maps. Each one provided complementary information, which was integrated through cross-comparison and ground truth validation for settlement status and the consistent classification of land-use categories. The methodological steps followed are as follows: digitizing shelters, sheepfolds, and agricultural surfaces; overlaying elements of interest for the study; using Data Management, Spatial Analyst, Conversion Tools, and Field Calculation; and interpreting graphical and cartographical materials. Through overlay analysis, we examined how temporary settlements correlate with land-use categories; the ArcGIS Saptial Analyst tools enabled the identification of altitudinal patterns and spatial clusters. We identified 753 sheepfolds and 5411 shelters in this part of the Carpathians, situated at high altitudes, closely connected to the transhumance and pendulation phenomenon. The analysis of land use for the altitude-temporary settlements within the Parâng-Cindrel Mountains highlighted the fact that the traditional agriculture is still carried on by the locals, but biodiversity is at stake where fields are abandoned. Implications regarding the ecological and environmental impact of grazing in the area, conflict mitigation, and livestock protection as well as the cultural dimension are discussed. The study provides the first spatially explicit inventory of these shelters and sheepfolds, providing a cornerstone for interdisciplinary policy-making, conservation, and local development priorities. Full article
Show Figures

Figure 1

23 pages, 4511 KB  
Article
Modeling Habitat Suitability for Endemic Anthemis pedunculata subsp. pedunculata and Anthemis pedunculata subsp. atlantica in Mediterranean Region Using MaxEnt and GIS-Based Analysis
by Kaouther Mechergui, Wahbi Jaouadi, Carlos Henrique Souto Azevedo, Khadeijah Yahya Faqeih, Somayah Moshrif Alamri, Eman Rafi Alamery, Maha Abdullah Aldubehi and Philipe Guilherme Corcino Souza
Diversity 2025, 17(12), 851; https://doi.org/10.3390/d17120851 - 11 Dec 2025
Viewed by 239
Abstract
Climate change accelerates biodiversity loss, threatening ecosystems worldwide. Using predictive models, such as the maximum entropy model (Maxent), allows us to identify changes in species distribution and guide conservation strategies. This study aims to model the current and future distribution of Anthemis pedunculata [...] Read more.
Climate change accelerates biodiversity loss, threatening ecosystems worldwide. Using predictive models, such as the maximum entropy model (Maxent), allows us to identify changes in species distribution and guide conservation strategies. This study aims to model the current and future distribution of Anthemis pedunculata subsp. Atlantica and Anthemis pedunculata subsp. pedunculata in Mediterranean regions through MaxEnt modeling with bioclimatic predictors. Using the MaxEnt algorithm, we combine bioclimatic variables and 49 occurrence locations of Anthemis pedunculata subsp. pedunculata and 13 occurrence locations of Anthemis pedunculata subsp. atlantica. The future distribution of the species is projected using MIROC6 model simulations under emission scenario SSP5-8.5 for 2030 and 2050. The current model predicted approximately 99,330,066 ha as a suitable habitat for Anthemis pedunculata subsp. pedunculata. Projections for the future range exhibited a gradual increase in the suitable area in 2030 by 144,365,562 ha and 2050 by 147,335,265 ha. The current model predicted approximately 201,179,880 ha as a suitable habitat for Anthemis pedunculata subsp. atlantica. Projections for the future range exhibited a gradual enhancement of the suitable area in 2030 by 213,898,608 ha and 2050 by 229,357,062. Our results provide further evidence of the negative impact of climate change on these endemic species and emphasize the importance of their conservation. This study provides information that could strengthen the protection of these species and identify potential protection areas. Full article
(This article belongs to the Section Plant Diversity)
Show Figures

Figure 1

19 pages, 15836 KB  
Article
Setting the Field: An Analytical Framework to Assess the Potential of Urban Agriculture
by Valentina Manente, Silvio Caputo, Flavio Lupia, Giuseppe Pulighe and Jaime Hernández-Garcia
Land 2025, 14(12), 2398; https://doi.org/10.3390/land14122398 - 10 Dec 2025
Viewed by 257
Abstract
Urban agriculture’s potential for food production and other social benefits is widely documented. However, the diversity of organisational structures and contextual factors that shape and drive the practice leads to a range of productivity levels. Yet, most studies estimate productivity using average production [...] Read more.
Urban agriculture’s potential for food production and other social benefits is widely documented. However, the diversity of organisational structures and contextual factors that shape and drive the practice leads to a range of productivity levels. Yet, most studies estimate productivity using average production data, which compromises the reliability of the estimates. The objective of the study presented here is to develop a GIS-based spatial analytical framework that takes into account varying levels of productivity for four urban food garden types: Home, Community, Educational, and Commercial. We apply this analytical framework in Bogotá, Colombia, a city at the forefront of policies promoting urban agriculture, where we collected data from a sample of urban food gardens (i.e., produce yield, resource use, and social benefits). To increase the precision and reliability of the estimates, we perform a spatial Multi-Criteria Decision Analysis through several ArcGIS pro 3.1 functions. This allows the identification of suitable areas for each urban agriculture type, based on key spatial and social characteristics (location, proximity to roads and to rivers, private or public land, urban density, and socio-economic demographic conditions). Results suggest that 25% of Bogotá’s surface area (including vacant urban land and roofs) presents potential physical and social conditions for food growing, within which Home Gardens occupy the largest share of suitable land. This shows that land availability is not a key limiting factor to a possible expansion of urban agriculture, particularly at a household level. Resource consumption and educational benefits are also estimated, hence providing a comprehensive picture of the impact of urban food production at a city scale. Full article
(This article belongs to the Section Land Planning and Landscape Architecture)
Show Figures

Figure 1

17 pages, 3156 KB  
Article
Type-1 Cannabinoid Receptor Promiscuous Coupling: Computational Insights into Receptor-G Protein Interaction Dynamics
by Alessandro Berghella, Tomasz Maciej Stepniewski, Annalaura Sabatucci, Marta Lopez-Balastegui, Krzysztof Nowicki, Beatrice Dufrusine, Jana Selent and Enrico Dainese
Int. J. Mol. Sci. 2025, 26(24), 11905; https://doi.org/10.3390/ijms262411905 - 10 Dec 2025
Viewed by 182
Abstract
Cannabinoid receptor (CB1), a G protein coupled receptor (GPCR), is a known pharmacological target in several diseases and modulates key physiological processes through Gi protein-mediated signaling. However, recent evidence suggests that CB1 can also activate other G proteins, including the stimulatory Gs protein, [...] Read more.
Cannabinoid receptor (CB1), a G protein coupled receptor (GPCR), is a known pharmacological target in several diseases and modulates key physiological processes through Gi protein-mediated signaling. However, recent evidence suggests that CB1 can also activate other G proteins, including the stimulatory Gs protein, a phenomenon with unclear structural determinants. Here, we use a computational approach to elucidate the structural basis of the CB1-Gs interaction. Protein–protein docking and extensive molecular dynamics simulations yield a model for the CB1-Gs complex that agrees well with both existing experimental data and available GPCR-Gs structures, supporting its validity. This work provides new insights into the structural basis of CB1’s ability to couple with different G-proteins. The model provides a basis for future studies dissecting the functional consequences of CB1-Gs signaling and the development of improved therapeutics targeting the CB1 receptor and the wider endocannabinoid system. Full article
Show Figures

Figure 1

22 pages, 6879 KB  
Article
Spatial Analysis on Urban Justice Delivering the Community Parks: A Case of the Saudi Arabian City of Al-Khobar
by Sara Qwaider, Mohammad Sharif Zami, Muhammad Bilal, Riyad Ashmeel and Mohammad A. Hassanain
Smart Cities 2025, 8(6), 205; https://doi.org/10.3390/smartcities8060205 - 10 Dec 2025
Viewed by 340
Abstract
This study evaluates the spatial equity of community parks in Al-Khobar City, Saudi Arabia, by examining their proximity, availability, distribution, accessibility, and user satisfaction. Ensuring equitable access to public open spaces is vital for promoting urban liveability and achieving the sustainability objectives of [...] Read more.
This study evaluates the spatial equity of community parks in Al-Khobar City, Saudi Arabia, by examining their proximity, availability, distribution, accessibility, and user satisfaction. Ensuring equitable access to public open spaces is vital for promoting urban liveability and achieving the sustainability objectives of Saudi Vision 2030. A mixed-methods approach integrating Geographic Information System (GIS)-based spatial analysis with a structured user survey was applied. GIS was used to map park locations, calculate per capita green space, and assess accessibility within a 500 m walking radius, while survey data from 300 respondents captured user satisfaction and perceptions of community park dimensions and indicators. The results reveal pronounced spatial disparities across neighbourhoods, with more than twenty areas lacking any park access and several others falling below the 5 m2 per capita standard. In contrast, centrally located neighbourhoods demonstrate adequate provision and higher satisfaction levels. These findings indicate a fragmented and inequitable park distribution that limits community well-being and social inclusion. The study concludes that integrating GIS-based evidence with community feedback can inform data-driven planning policies and promote equitable, accessible, and sustainable community parks. The proposed framework offers a replicable model for assessing urban green space equity in other Saudi and Middle Eastern cities. Full article
Show Figures

Figure 1

27 pages, 12675 KB  
Article
Spatiotemporal Dynamics and Driving Mechanisms of Vegetation Net Primary Productivity in the Giant Panda National Park Under the Context of Ecological Conservation
by Wendou Liu, Shaozhi Chen, Dongyang Han, Jiang Liu, Pengfei Zheng, Xin Huang and Rong Zhao
Land 2025, 14(12), 2394; https://doi.org/10.3390/land14122394 - 10 Dec 2025
Viewed by 240
Abstract
Nature reserves serve as core spatial units for maintaining regional ecological security and biodiversity. Owing to their high ecosystem integrity, extensive vegetation cover, and low levels of disturbance, they play a crucial role in sustaining ecological processes and ensuring functional stability. Taking the [...] Read more.
Nature reserves serve as core spatial units for maintaining regional ecological security and biodiversity. Owing to their high ecosystem integrity, extensive vegetation cover, and low levels of disturbance, they play a crucial role in sustaining ecological processes and ensuring functional stability. Taking the Giant Panda National Park (GPNP), which spans the provinces of Gansu, Sichuan, and Shaanxi in China, as the study region, the vegetation net primary productivity (NPP) during 2001–2023 was simulated using the Carnegie–Ames–Stanford Approach (CASA) model. Spatial and temporal variations in NPP were examined using Moran’s I, Getis-Ord Gi* hotspot analysis, Theil–Sen trend estimation, and the Mann–Kendall test. In addition, the Optimal Parameters-based Geographical Detector (OPGD) model was applied to quantitatively assess the relative contributions of natural and anthropogenic factors to NPP dynamics. The results demonstrated that: (1) The mean annual NPP within the GPNP reached 646.90 gC·m−2·yr−1, exhibiting a fluctuating yet generally upward trajectory, with an average growth rate of approximately 0.65 gC·m−2·yr−1, reflecting the positive ecological outcomes of national park establishment and ecological restoration projects. (2) NPP exhibits significant spatial heterogeneity, with higher NPP values in the northern, while the central and western regions and some high-altitude areas remain at relatively low levels. Across the four major subregions of the GPNP, the Qinling has the highest mean annual NPP at 758.89 gC·m−2·yr−1, whereas the Qionglai–Daxiaoxiangling subregion shows the lowest value at 616.27 gC·m−2·yr−1. (3) Optimal NPP occurred under favorable temperature and precipitation conditions combined with relatively high solar radiation. Low elevations, gentle slopes, south facing aspects, and leached soils facilitated productivity accumulation, whereas areas with high elevation and steep slopes exhibited markedly lower productivity. Moderate human disturbance contributed to sustaining and enhancing NPP. (4) Factor detection results indicated that elevation, mean annual temperature, and land use were the dominant drivers of spatial heterogeneity when considering all natural and anthropogenic variables. Their interactions further enhanced explanatory power, particularly the interaction between elevation and climatic factors. Overall, these findings reveal the complex spatiotemporal characteristics and multi-factorial controls of vegetation productivity in the GPNP and provide scientific guidance for strengthening habitat conservation, improving ecological restoration planning, and supporting adaptive vegetation management within the national park systems. Full article
Show Figures

Figure 1

22 pages, 13863 KB  
Article
An Assessment of the Vulnerability of Energy Infrastructure to Flood Risks: A Case Study of Odra River Basin in Poland
by Dorota Duda, Grzegorz Kunikowski, Witold Skomra and Janusz Zawiła-Niedźwiecki
Energies 2025, 18(24), 6453; https://doi.org/10.3390/en18246453 - 10 Dec 2025
Viewed by 119
Abstract
The stability of modern economies relies on the uninterrupted supply of electricity, heat, and transport fuels, making the energy sector highly exposed to various risks and disruptions, including floods, which are among the major natural hazards affecting energy infrastructure in Poland. Despite risks, [...] Read more.
The stability of modern economies relies on the uninterrupted supply of electricity, heat, and transport fuels, making the energy sector highly exposed to various risks and disruptions, including floods, which are among the major natural hazards affecting energy infrastructure in Poland. Despite risks, a scalable and integrated modelling framework for operational flood risk management in energy infrastructure is still lacking. Such a framework should account for increasing climate-related hazard dynamics, integrate robust fragility and damage models with comprehensive flood risk assessments at both asset and system levels, and explicitly consider interdependencies among energy system components and associated critical infrastructure. This integration is essential for analyzing cascading failures and their consequences, while complying with the EU CER Directive requirements for resilience and continuity of critical infrastructure services. An original three-stage spatial vulnerability analysis method was developed, involving GIS data preparation, classification of asset importance, and flood scenario modelling, demonstrated on selected rivers in the Odra River basin. The Expected Damage Factor (EDF) metric was applied to combine flood probability with infrastructure significance. The analysis enabled spatial identification of the most vulnerable components of the energy system and illustrated the dynamics of threats in time and space. The EDF coefficient allowed for quantitative vulnerability assessment, supporting more precise adaptive planning. The approach innovatively combines infrastructure criticality assessment with probabilistic flood scenarios and explicitly incorporates systemic interdependencies in accordance with the CER Directive, enhancing operational flood risk management capabilities. The method provides a practical tool for critical infrastructure protection, operational planning, and the development of adaptive strategies, thereby increasing the flood resilience of the energy system and supporting stakeholders responsible for risk management. Full article
Show Figures

Figure 1

Back to TopTop