Sign in to use this feature.

Years

Between: -

Subjects

remove_circle_outline
remove_circle_outline
remove_circle_outline
remove_circle_outline
remove_circle_outline
remove_circle_outline

Journals

Article Types

Countries / Regions

Search Results (152)

Search Parameters:
Keywords = EDM electrode

Order results
Result details
Results per page
Select all
Export citation of selected articles as:
24 pages, 1691 KB  
Article
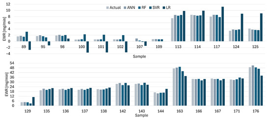
Determining Material Removal and Electrode Wear in Electric Discharge Machining with a Generalist Machine Learning Framework
by Jorge M. Cortés-Mendoza, Agnieszka Żyra, Andrei Tchernykh and Horacio González-Vélez
Materials 2026, 19(2), 438; https://doi.org/10.3390/ma19020438 - 22 Jan 2026
Viewed by 44
Abstract
Electric Discharge Machining (EDM) is a well-established process for fabricating complex geometries from hard materials. However, identifying the influence of process parameters remains challenging and costly due to the stochastic nature of EDM and the expense of experimental validation. Machine Learning (ML) techniques [...] Read more.
Electric Discharge Machining (EDM) is a well-established process for fabricating complex geometries from hard materials. However, identifying the influence of process parameters remains challenging and costly due to the stochastic nature of EDM and the expense of experimental validation. Machine Learning (ML) techniques provide an alternative to mitigate these limitations by enabling predictive modeling with reduced experimental effort. This research proposes a generalizable framework employing four ML models to analyze the correlation between EDM inputs and outputs, incorporating 11 levels of cryogenic electrode treatment. Independent variables include electrode material, cryogenic conditions, pulse current, and pulse duration, while performance is assessed through Material Removal Rate (MRR) and Electrode Wear Rate (EWR). The results demonstrate that Random Forest (RF) and Artificial Neural Networks (ANNs) achieve superior predictive performance compared to alternative approaches, improving the R2 metric from 0.973 to 0.9956 for EWR in the case of an ANN and from 0.980 to 0.9943 for RF with MRR, compared with previous work in the literature and the best methods across 30 executions. Both models consistently yield high predictive accuracy, with R2 values ranging from 0.9936 to 0.9979 in training and testing datasets. Furthermore, ANN significantly reduces mean squared error, decreasing EWR prediction error from 5.79 to 0.68 and MRR error from 122.75 to 35.89. This research contributes to a deeper understanding of EDM process dynamics. Full article
Show Figures

Figure 1

17 pages, 2706 KB  
Article
Gaussian Process Modeling of EDM Performance Using a Taguchi Design
by Dragan Rodić, Milenko Sekulić, Borislav Savković, Anđelko Aleksić, Aleksandra Kosanović and Vladislav Blagojević
Eng 2026, 7(1), 14; https://doi.org/10.3390/eng7010014 - 1 Jan 2026
Viewed by 280
Abstract
Electrical discharge machining (EDM) is widely used for machining hard and difficult-to-cut materials; however, the complex and nonlinear nature of the process makes the accurate prediction of key performance indicators challenging, particularly when only limited experimental data are available. In this study, a [...] Read more.
Electrical discharge machining (EDM) is widely used for machining hard and difficult-to-cut materials; however, the complex and nonlinear nature of the process makes the accurate prediction of key performance indicators challenging, particularly when only limited experimental data are available. In this study, a combined Taguchi design and Gaussian process regression (GPR) modeling framework is proposed to predict the surface roughness (Ra), material removal rate (MRR), and overcut (OC) in die-sinking EDM. An L18 Taguchi orthogonal array was employed to efficiently design experiments involving discharge current, pulse duration, and electrode material. GPR models with an automatic relevance determination (ARD) radial basis function kernel were developed to capture nonlinear relationships and varying parameter relevance. Model performance was evaluated using strict leave-one-out cross-validation (LOOCV). The developed GPR models achieved low prediction errors, with RMSE (MAE) values of 0.54 µm (0.41 µm) for Ra, 1.56 mm3/min (1.21 mm3/min) for MRR, and 0.0065 mm (0.0055 mm) for OC, corresponding to approximately 9.8%, 5.4%, and 5.9% of the respective response ranges. These results confirm stable and reliable predictive accuracy within the investigated parameter domain. Based on the validated surrogate models, multi-objective optimization was performed to identify Pareto-optimal process conditions, revealing graphite electrodes as the dominant choice within the feasible operating region. The proposed approach demonstrates that accurate and robust prediction of EDM performance can be achieved even with compact experimental datasets, providing a practical tool for process analysis and optimization. Full article
(This article belongs to the Special Issue Emerging Trends and Technologies in Manufacturing Engineering)
Show Figures

Figure 1

15 pages, 12323 KB  
Article
Research on Machining Characteristics of C/SiC Composite Material by EDM
by Peng Yu, Ziyang Yu, Lize Wang, Yongcheng Gao, Qiang Li and Yiquan Li
Micromachines 2025, 16(12), 1423; https://doi.org/10.3390/mi16121423 - 18 Dec 2025
Viewed by 335
Abstract
Carbon fiber reinforced silicon carbide (C/SiC) composite material exhibits exceptional properties, including high strength, high stiffness, low density, outstanding high-temperature performance, and corrosion resistance. Consequently, they are widely used in aerospace, defense, and automotive engineering. However, their anisotropic, high hardness, and brittle characteristics [...] Read more.
Carbon fiber reinforced silicon carbide (C/SiC) composite material exhibits exceptional properties, including high strength, high stiffness, low density, outstanding high-temperature performance, and corrosion resistance. Consequently, they are widely used in aerospace, defense, and automotive engineering. However, their anisotropic, high hardness, and brittle characteristics make them a typical difficult-to-machine material. This paper focuses on achieving high-quality micro hole machining of C/SiC composite material via electrical discharge machining. It systematically investigates electrical discharge machining characteristics and innovatively develops a hollow internal flow helical electrode reaming process. Experimental results reveal four typical chip morphologies: spherical, columnar, blocky, and molten. The study uncovers a multi-mechanism cutting process: the EDM ablation of the composite involves material melting and explosive vaporization, the intact extraction and fracture of carbon fibers, and the brittle fracture and spalling of the SiC matrix. Discharge energy correlates closely with surface roughness: higher energy removes more SiC, resulting in greater roughness, while lower energy concentrates on m fibers, yielding higher vaporization rates. C fiber orientation significantly impacts removal rates: processing time is shortest at θ = 90°, longest at θ = 0°, and increases as θ decreases. Typical defects such as delamination were observed between alternating 0° and 90° fiber bundles or at hole entrances. Cracks were also detected at the SiC matrix–C fiber interface. The proposed hole-enlargement process enhances chip removal efficiency through its helical structure and internal flushing, reduces abnormal discharges, mitigates micro hole taper, and thereby improves forming quality. This study provides practical references for the EDM of C/SiC composite material. Full article
Show Figures

Figure 1

17 pages, 7456 KB  
Article
Processing Performance Improvement in Electrical Discharge Machining of Deep Narrow Groove Using Rounded Corner Electrode
by Jin Wang, Chunkai Qiao, Kejun Ma, Hu He and Zhixin Jia
Appl. Sci. 2025, 15(24), 13081; https://doi.org/10.3390/app152413081 - 12 Dec 2025
Viewed by 283
Abstract
The processing performance of deep narrow grooves by electrical discharge machining (EDM) needs to be further improved, mainly reflected in the serious electrode wear and low processing efficiency. This study firstly conducted a single-factor experiment on electrical parameters to analyze the influence of [...] Read more.
The processing performance of deep narrow grooves by electrical discharge machining (EDM) needs to be further improved, mainly reflected in the serious electrode wear and low processing efficiency. This study firstly conducted a single-factor experiment on electrical parameters to analyze the influence of electrical parameters on electrode length wear and electrode sharp corner wear, respectively. It was found that the increase in pulse width and duty cycle could reduce electrode length wear, but at the same time led to an increase in electrode sharp corner wear. The reason is that bubbles and debris tend to accumulate at the sharp corner of the electrode. It causes short circuits and arcing phenomena, intensifying the sharp corner wear of the electrode. To address this issue, it is proposed to use a rounded corner electrode to facilitate the exclusion of bubbles and debris from the machining gap, reduce the occurrence of short circuits and arcing phenomena, thereby lowering the electrode length and sharp corner wear, and enhancing processing efficiency. Through the simulation of the flow field in the machining gap, it is theoretically proven that the rounded corner electrode can promote the movement of bubbles and debris towards the outlet of the machining gap and slow down the accumulation of bubbles and debris. Through the EDM of deep narrow groove, it is proven that the electrode wear and processing efficiency of the rounded corner electrode are both superior to those of the sharp corner electrode, and the electrode wear and processing efficiency increase with the increase in the rounded corner radius of the electrode. The research results have contributed to improving the performance of deep narrow grooves by EDM. Full article
Show Figures

Figure 1

18 pages, 7098 KB  
Article
Microstructural Analysis of Recast Layer Thickness and Microcrack Formation During EDM of Hastelloy C-22 with Different Graphite Electrodes
by Rafał Nowicki and Rafał Świercz
Materials 2025, 18(23), 5338; https://doi.org/10.3390/ma18235338 - 27 Nov 2025
Cited by 1 | Viewed by 600
Abstract
Electrical discharge machining is a non-conventional shaping technique applied to electrically conductive, difficult-to-machine alloys, such as Hastelloy C-22. This study investigates the influence of graphite electrode properties and key machining parameters on the average thickness of the recast layer under positive polarity. Two [...] Read more.
Electrical discharge machining is a non-conventional shaping technique applied to electrically conductive, difficult-to-machine alloys, such as Hastelloy C-22. This study investigates the influence of graphite electrode properties and key machining parameters on the average thickness of the recast layer under positive polarity. Two POCO graphite electrodes with different grain sizes—AF-5 (1 μm) and S-180 (10 μm)—were used to examine the effects of discharge current, pulse duration, and interval on recast layer formation. Metallographic analyses measured layer thickness and observed microstructural defects, including microcracks. Results show that discharge current and pulse duration are the primary factors controlling recast layer thickness, with higher currents and longer pulses producing thicker layers due to resolidification of molten material remaining in the plasma-formed crater. The coarser S-180 electrode caused slightly higher microcrack density and greater thickness variations due to its lower electrical resistivity. Pulse interval mainly influenced discharge stability and debris removal, with minimal effect on average layer thickness. Statistical regression models were developed to quantify the relationships between machining parameters, electrode type, and recast layer thickness, providing predictive tools for selecting optimal conditions. These findings contribute to improving surface integrity and process control in electrical discharge machining of nickel-based alloys. Full article
Show Figures

Figure 1

7 pages, 661 KB  
Proceeding Paper
Performance Enhancement of EDM Utilizing a Cryogenically Treated Electrode: An Experimental Investigation on Monel 400 Alloy
by Arindam Sinha, Md Piyar Uddin, Arindam Majumder and John Deb Barma
Eng. Proc. 2025, 114(1), 3; https://doi.org/10.3390/engproc2025114003 - 3 Nov 2025
Viewed by 213
Abstract
In recent years, unconventional machine techniques have made the machining process simpler than it was under conventional machining methods. EDM is recognized as one of the leading methods in unconventional machining processes. The need for materials with improved mechanical properties continues to rise [...] Read more.
In recent years, unconventional machine techniques have made the machining process simpler than it was under conventional machining methods. EDM is recognized as one of the leading methods in unconventional machining processes. The need for materials with improved mechanical properties continues to rise due to constant advancements in the mechanical industry. Cryogenic treatment is used for property enhancement and can be useful in an extensive range of metals. This research investigates the performance of a cryogenically treated copper electrode during EDM of Monel 400. The EDM parameters varied during the research are pulse on time, pulse off time, gap voltage, and discharge current. The experiments were designed using Taguchi’s design of experiment. The constraints of the process are fine-tuned for both MRR and surface smoothness, with their proportion impacts assessed through the ANOVA technique. Regression analysis is accomplished, creating an experimental correlation between both MRR and surface smoothness, examined using RSM technique. This comprehensive study demonstrates that cryogenic treatment of electrode provides better MRR and SR. Full article
Show Figures

Figure 1

18 pages, 9735 KB  
Article
Machining Accurate Deep Curved Forms on Tungsten Carbide–Cobalt (WC-Co) Eliminating Tool Wear in the Electrical Discharge Turning Operation
by Mohammadjafar Hadad, Mehdi Soleymani and Amir Alinaghizadeh
Micromachines 2025, 16(10), 1167; https://doi.org/10.3390/mi16101167 - 15 Oct 2025
Viewed by 923
Abstract
Machining hard metals presents various challenges, especially with materials like WC-Co, known for their exceptional hardness and wear resistance, making them ideal for cutting tools. Among machining methods, Electrical Discharge Machining (EDM) stands out for its ability to machine hard materials with no [...] Read more.
Machining hard metals presents various challenges, especially with materials like WC-Co, known for their exceptional hardness and wear resistance, making them ideal for cutting tools. Among machining methods, Electrical Discharge Machining (EDM) stands out for its ability to machine hard materials with no mechanical damage, which is critical for machining fragile components. For form shape machining symmetrical parts like WC-Co bars, electrical discharge turning (EDT) could be applied. Despite its potential, limited research exists on deep form turning of hard metals like WC-Co using EDT. This study addresses that gap by comparing the final geometrical outcomes of two EDT setups: vertical and horizontal tool electrode configurations. Additionally, the impact of workpiece rotational speed on surface quality was examined. Results showed that the vertical tool electrode setup produced more accurate geometries and smoother surfaces. Furthermore, increasing the workpiece’s rotational speed improved flushing efficiency, resulting in reduced surface roughness and a cleaner machined surface. Full article
(This article belongs to the Special Issue Future Prospects of Additive Manufacturing)
Show Figures

Figure 1

13 pages, 5799 KB  
Article
Additive Manufacturing of Gear Electrodes and EDM of a Gear Cavity
by Kai Jiang, Yangquan Liu, Bin Xu, Shunda Zhan and Junwei Liang
Micromachines 2025, 16(10), 1153; https://doi.org/10.3390/mi16101153 - 11 Oct 2025
Viewed by 543
Abstract
Plastic gears are used in a variety of industrial fields and are primarily produced by injection molding with a gear cavity. At present, EDM is usually used for machining gear cavities with metal materials, and the tool electrode used in the process is [...] Read more.
Plastic gears are used in a variety of industrial fields and are primarily produced by injection molding with a gear cavity. At present, EDM is usually used for machining gear cavities with metal materials, and the tool electrode used in the process is usually machined through a milling process. For helical gear cavities and helical bevel gear cavities, certain problems are encountered when the tool electrodes of EDM are obtained from milling procedures, including waste of raw materials and the complex technical process. Focusing on the above problems, this paper used copper powder to fabricate gear electrodes through a selective laser sintering process. The obtained gear electrodes underwent heat treatment and the effects of the main process parameters on the electrical conductance of tool electrodes were analyzed in this study. Finally, the heat-treated gear electrodes were applied to EDM to fabricate a helical gear cavity and a helical bevel gear cavity. During EDM, the TWR and MRR of the gear electrodes were 0.0029 mm3/min and 0.3872 mm3/min, respectively. Compared with that of gear electrodes made by the milling process, the MRR of the gear electrodes fabricated by SLS improved by 31.53%. Full article
Show Figures

Figure 1

23 pages, 12417 KB  
Article
Optimizing EDM of Gunmetal with Al2O3-Enhanced Dielectric: Experimental Insights and Machine Learning Models
by Saumya Kanwal, Usha Sharma, Saurabh Chauhan, Anuj Kumar Sharma, Jitendra Kumar Katiyar, Rabesh Kumar Singh and Shalini Mohanty
Materials 2025, 18(19), 4578; https://doi.org/10.3390/ma18194578 - 2 Oct 2025
Viewed by 749
Abstract
This study investigates the optimization of electric discharge machining (EDM) parameters for gunmetal using copper electrodes in two different dielectric environments, which are conventional EDM oil and EDM oil infused with Al2O3 nanoparticles. A Taguchi L27 orthogonal array design was [...] Read more.
This study investigates the optimization of electric discharge machining (EDM) parameters for gunmetal using copper electrodes in two different dielectric environments, which are conventional EDM oil and EDM oil infused with Al2O3 nanoparticles. A Taguchi L27 orthogonal array design was used to evaluate the effects of current, voltage, and pulse-on time on Material Removal Rate (MRR), Electrode Wear Rate (EWR), and surface roughness (Ra, Rq, and Rz). Analysis of Variance (ANOVA) was used to statistically evaluate the influence of each parameter on machining performance. In addition, machine learning models including Linear Regression, Ridge Regression, Support Vector Regression, Random Forest, Gradient Boosting, and Neural Networks were implemented to predict performance outcomes. The originality of this research is not only rooted in the introduction of new models; rather, it is also found in the comparative analysis of various machine learning methodologies applied to the performance of electrical discharge machining (EDM) utilizing Al2O3-enhanced dielectrics. This investigation focuses specifically on gunmetal, a material that has not been extensively studied within this framework. The nanoparticle-enhanced dielectric demonstrated improved machining performance, achieving approximately 15% higher MRR, 20% lower EWR, and 10% improved surface finish compared to conventional EDM oil. Neural Networks consistently outperformed other models in predictive accuracy. Results indicate that the use of nanoparticle-infused dielectrics in EDM, coupled with data-driven optimization techniques, enhances productivity, tool life, and surface quality. Full article
(This article belongs to the Special Issue Non-conventional Machining: Materials and Processes)
Show Figures

Figure 1

18 pages, 4933 KB  
Article
An Investigation of the Performance of Equal Channel Angular Pressed Copper Electrodes in Electric Discharge Machining
by Ülke Şimşek and Can Çoğun
Crystals 2025, 15(10), 849; https://doi.org/10.3390/cryst15100849 - 29 Sep 2025
Cited by 2 | Viewed by 660
Abstract
This study examines the mechanical, thermal, and electrical properties of copper tool electrodes processed via Equal Channel Angular Pressing (ECAP), with a specific focus on their performance in Electrical Discharge Machining (EDM) applications. A novel Crystal Plasticity Finite Element Method (CPFEM) framework is [...] Read more.
This study examines the mechanical, thermal, and electrical properties of copper tool electrodes processed via Equal Channel Angular Pressing (ECAP), with a specific focus on their performance in Electrical Discharge Machining (EDM) applications. A novel Crystal Plasticity Finite Element Method (CPFEM) framework is employed to model anisotropic slip behavior and microscale deformation mechanisms. The primary objective is to elucidate how initial crystallographic orientation influences hardness, thermal conductivity, and electrical conductivity. Simulations are performed on single-crystal copper for three representative Face Centered Cubic (FCC) orientations. Using an explicit CPFEM model, the study examines texture evolution and deformation heterogeneity during the ECAP process of single-crystal copper. The results indicate that the <100> single-crystal orientation exhibits the highest Taylor factor and the most homogeneous distribution of plastic equivalent strain (PEEQ), suggesting enhanced resistance to plastic flow. In contrast, the <111> single-crystal orientation displays localized deformation and reduced hardening. A decreasing Taylor factor correlates with more uniform slip, which improves both electrical and thermal conductivity, as well as machinability, by minimizing dislocation-related resistance. These findings make a novel contribution to the field by highlighting the critical role of crystallographic orientation in governing slip activity and deformation pathways, which directly impact thermal wear resistance and the fabrication efficiency of ECAP-processed copper electrodes in EDM. Full article
(This article belongs to the Section Crystalline Metals and Alloys)
Show Figures

Figure 1

19 pages, 2445 KB  
Article
Prediction of Multi-Hole Copper Electrodes’ Influence on Form Tolerance and Machinability Using Grey Relational Analysis and Adaptive Neuro-Fuzzy Inference System in Electrode Discharge Machining Process
by Sandeep Kumar, Subramanian Dhanabalan, Wilma Polini and Andrea Corrado
Appl. Sci. 2025, 15(19), 10445; https://doi.org/10.3390/app151910445 - 26 Sep 2025
Viewed by 426
Abstract
Electric discharge machining processes are prominent in the fastest-growing industries because of their accuracy, achievable complex workpiece shapes, and cost-effectiveness. Furthermore, the machining of high-quality difficult-to-machine alloys is becoming critical in the aerospace, manufacturing, and defence industries. While the optimisation of EDM parameters [...] Read more.
Electric discharge machining processes are prominent in the fastest-growing industries because of their accuracy, achievable complex workpiece shapes, and cost-effectiveness. Furthermore, the machining of high-quality difficult-to-machine alloys is becoming critical in the aerospace, manufacturing, and defence industries. While the optimisation of EDM parameters is essential for improving machining outcomes, it is also important to consider the trade-offs between different performances metrics, such as material removal rate and part accuracy. Part accuracy in terms of dimensional and geometric deviations from nominal values was rarely considered in the literature, if not by the authors. Balancing these factors remains a challenge in the field of EDM. Therefore, this work aims to carry out a multi-objective optimisation of both MRR and part accuracy. A Ni-based alloy (Inconel-625) was used that is widely used in creep-resistant turbine blades and vanes and turbine disks in gas turbine engines for aerospace and defence industries. Four performance indices were optimised simultaneously: two related to the performance of the EDM process and two connected with the form deviations of the manufactured surfaces. Multi-hole copper electrodes having different diameters and three process parameters were varied during the experimental tests. Grey relational analysis and the Adaptive Neuro-Fuzzy Inference System method were used for optimisation. Grey relational analysis found that the following values of the process parameter—0.16 mm of multi-hole electrode diameter, 12 Amperes of Peak current, 200 µs of pulse on time and 0.2 kg/m2 as dielectric pressure—produce the optimal performance, i.e., a material removal rate of 0.099 mm3/min, an electrode wear rate of 0.0002 g/min, a circularity deviation of 0.0043 mm and a cylindricity deviation of 0.027 mm. From the experimental examination using multi-hole electrodes, it is concluded that the material removal rate increases and the electrode wear rate decreases because of the availability of higher spark discharge areas between the electrode and work material interface. The Adaptive Neuro-Fuzzy Inference System models showed minimum mean percentage error and, therefore, better performance in comparison with regression models. Full article
Show Figures

Figure 1

17 pages, 8385 KB  
Article
Flow Field Simulation and Experimental Study of Electrode-Assisted Oscillating Electrical Discharge Machining in the Cf-ZrB2-SiC Micro-Blind Hole
by Chuanyang Ge, Sirui Gong, Junbo He, Kewen Wang, Jiahao Xiu and Zhenlong Wang
Materials 2025, 18(17), 3944; https://doi.org/10.3390/ma18173944 - 22 Aug 2025
Viewed by 739
Abstract
In the micro-EDM blind-hole machining of Cf-ZrB2-SiC ceramics, defects such as bottom surface protrusion and machining fillets are often encountered. The implementation of an electrode-assisted oscillating device has proven effective in improving machining outcomes. To unravel the fundamental reasons [...] Read more.
In the micro-EDM blind-hole machining of Cf-ZrB2-SiC ceramics, defects such as bottom surface protrusion and machining fillets are often encountered. The implementation of an electrode-assisted oscillating device has proven effective in improving machining outcomes. To unravel the fundamental reasons behind the optimization enabled by this auxiliary oscillating device, this paper presents fluid simulation research, providing a quantitative comparison of the differences in machining gap flow field characteristics and debris motion behaviors under conditions with and without the assistance of the oscillating device. Firstly, this paper briefly describes the characteristics of Cf-ZrB2-SiC discharge products and flow field deficiencies during conventional machining and introduces the working principle of electrode-assisted oscillation devices to establish the background and objectives of the simulation study. Subsequently, this research established simulation models for both conventional machining and oscillating machining based on actual processing conditions. CFD numerical simulations were conducted to compare flow field differences between conditions with and without auxiliary machining devices. The results demonstrate that, compared to conventional machining, electrode oscillation not only increases the maximum velocity of the working fluid by nearly 32% but also provides a larger debris accommodation space, effectively preventing secondary discharge. Regarding debris agglomeration, oscillating machining resolves the low-velocity zone issues present in conventional modes, increasing debris velocity from 0 mm/s to 7.5 mm/s and ensuring continuous debris motion. Furthermore, the DPM was used to analyze particle distribution and motion velocities, confirming that vortex effects form within the hole under oscillating conditions. These vortices effectively draw bottom debris outward, preventing local accumulation. Finally, from the perspective of debris distribution, the formation mechanisms of micro-hole morphology and the tool electrode wear patterns were explained. Full article
Show Figures

Graphical abstract

19 pages, 4219 KB  
Article
Machine Learning-Based Prediction of EDM Material Removal Rate and Surface Roughness
by Isam Qasem and Amjad Alsakarneh
J. Manuf. Mater. Process. 2025, 9(8), 274; https://doi.org/10.3390/jmmp9080274 - 11 Aug 2025
Cited by 5 | Viewed by 2252
Abstract
Examining the electrical discharge machining (EDM) process is challenging in manufacturing technology due to the complexity of the physical events that take place in the gaps between electrodes. In this study, we examined the EDM process in detail and developed multiple machine learning [...] Read more.
Examining the electrical discharge machining (EDM) process is challenging in manufacturing technology due to the complexity of the physical events that take place in the gaps between electrodes. In this study, we examined the EDM process in detail and developed multiple machine learning (ML) models to describe the relationship between the EDM independent (process parameters) and dependent (responses) variables. The collected experimental data was used to train the machine learning models. According to the results, the GPR model outperformed other ML models across different materials, with average RMSE values of 0.9234 and 3.0216 for the material removal rate (MRR) and surface roughness (Sa), respectively, highlighting the effectiveness of ML tools at modeling complex machining processes, such as EDM. In addition, as a practical implication, this study opens the door to employing the developed ML models to predict the EDM process performance. Full article
Show Figures

Figure 1

20 pages, 4765 KB  
Article
Ultrasonic EDM for External Cylindrical Surface Machining with Graphite Electrodes: Horn Design and Hybrid NSGA-II–AHP Optimization of MRR and Ra
by Van-Thanh Dinh, Thu-Quy Le, Duc-Binh Vu, Ngoc-Pi Vu and Tat-Loi Mai
Machines 2025, 13(8), 675; https://doi.org/10.3390/machines13080675 - 1 Aug 2025
Viewed by 973
Abstract
This study presents the first investigation into the application of ultrasonic vibration-assisted electrical discharge machining (UV-EDM) using graphite electrodes for external cylindrical surface machining—an essential surface in the production of tablet punches and sheet metal-forming dies. A custom ultrasonic horn was designed and [...] Read more.
This study presents the first investigation into the application of ultrasonic vibration-assisted electrical discharge machining (UV-EDM) using graphite electrodes for external cylindrical surface machining—an essential surface in the production of tablet punches and sheet metal-forming dies. A custom ultrasonic horn was designed and fabricated using 90CrSi material to operate effectively at a resonant frequency of 20 kHz, ensuring stable vibration transmission throughout the machining process. A Box–Behnken experimental design was employed to explore the effects of five process parameters—vibration amplitude (A), pulse-on time (Ton), pulse-off time (Toff), discharge current (Ip), and servo voltage (SV)—on two key performance indicators: material removal rate (MRR) and surface roughness (Ra). The optimization process was conducted in two stages: single-objective analysis to maximize MRR while ensuring Ra < 4 µm, followed by a hybrid multi-objective approach combining NSGA-II and the Analytic Hierarchy Process (AHP). The optimal solution achieved a high MRR of 9.28 g/h while maintaining Ra below the critical surface finish threshold, thus meeting the practical requirements for punch surface quality. The findings confirm the effectiveness of the proposed horn design and hybrid optimization strategy, offering a new direction for enhancing productivity and surface integrity in cylindrical EDM applications using graphite electrodes. Full article
(This article belongs to the Section Advanced Manufacturing)
Show Figures

Figure 1

32 pages, 6074 KB  
Review
High-Quality Manufacturing with Electrochemical Jet Machining (ECJM) for Processing Applications: A Comprehensive Review, Challenges, and Future Opportunities
by Yong Huang, Yi Hu, Xincai Liu, Xin Wang, Siqi Wu and Hanqing Shi
Micromachines 2025, 16(7), 794; https://doi.org/10.3390/mi16070794 - 7 Jul 2025
Cited by 2 | Viewed by 2410
Abstract
The enduring manufacturing goals are increasingly shifting toward ultra-precision manufacturing and micro-nano fabrication, driven by the demand for sophisticated products. Unconventional machining processes such as electrochemical jet machining (ECJM), electrical discharge machining (EDM), electrochemical machining (ECM), abrasive water jet machining (AWJM), and laser [...] Read more.
The enduring manufacturing goals are increasingly shifting toward ultra-precision manufacturing and micro-nano fabrication, driven by the demand for sophisticated products. Unconventional machining processes such as electrochemical jet machining (ECJM), electrical discharge machining (EDM), electrochemical machining (ECM), abrasive water jet machining (AWJM), and laser beam machining (LBM) have been widely adopted as feasible alternatives to traditional methods, enabling the production of high-quality engineering components with specific characteristics. ECJM, a non-contact machining technology, employs electrodes on the nozzle and workpiece to establish an electrical circuit via the jet. As a prominent special machining technology, ECJM has demonstrated significant advantages, such as rapid, non-thermal, and stress-free machining capabilities, in past research. This review is dedicated to outline the research progress of ECJM, focusing on its fundamental concepts, material processing capabilities, technological advancements, and its variants (e.g., ultrasonic-, laser-, abrasive-, and magnetism-assisted ECJM) along with their applications. Special attention is given to the application of ECJM in the semiconductor and biomedical fields, where the demand for ultra-precision components is most pronounced. Furthermore, this review explores recent innovations in process optimization, significantly boosting machining efficiency and quality. This review not only provides a snapshot of the current status of ECJM technology, but also discusses the current challenges and possible future improvements of the technology. Full article
Show Figures

Figure 1

Back to TopTop