Sign in to use this feature.

Years

Between: -

Subjects

remove_circle_outline
remove_circle_outline
remove_circle_outline
remove_circle_outline
remove_circle_outline
remove_circle_outline
remove_circle_outline
remove_circle_outline
remove_circle_outline

Journals

remove_circle_outline
remove_circle_outline
remove_circle_outline
remove_circle_outline
remove_circle_outline
remove_circle_outline
remove_circle_outline
remove_circle_outline
remove_circle_outline
remove_circle_outline
remove_circle_outline
remove_circle_outline
remove_circle_outline
remove_circle_outline
remove_circle_outline
remove_circle_outline
remove_circle_outline

Article Types

Countries / Regions

remove_circle_outline
remove_circle_outline
remove_circle_outline
remove_circle_outline
remove_circle_outline
remove_circle_outline

Search Results (1,141)

Search Parameters:
Keywords = E. coli extract

Order results
Result details
Results per page
Select all
Export citation of selected articles as:
23 pages, 1905 KB  
Article
Anticancer and Antimicrobial Activity of Chlorella vulgaris BA02 Algae Extract Containing Indole-3-Acetic Acid
by Agata Jabłońska-Trypuć, Urszula Wydro, Elżbieta Wołejko, Paweł Kondzior, Maja Leszczyńska, Carmen Estevan Martínez, Özge Karakaş Metin, Marzena Ewa Smolewska, Rafał Krętowski, Marzanna Cechowska-Pasko and Adam Cudowski
Molecules 2026, 31(2), 275; https://doi.org/10.3390/molecules31020275 (registering DOI) - 13 Jan 2026
Abstract
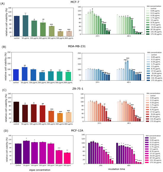
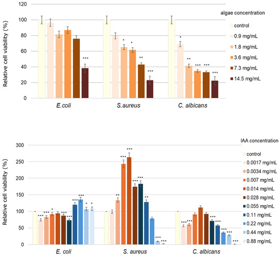
In recent years, the incidence of breast cancer has increased significantly; therefore, much attention is being paid to research on natural plant-based raw materials in the treatment and prevention of cancer as well as in the treatment of antibiotic-resistant infections. Therefore, Chlorella vulgaris [...] Read more.
In recent years, the incidence of breast cancer has increased significantly; therefore, much attention is being paid to research on natural plant-based raw materials in the treatment and prevention of cancer as well as in the treatment of antibiotic-resistant infections. Therefore, Chlorella vulgaris algae extract and indole-3-acetic acid (IAA)—a plant hormone with potential anticancer and antimicrobial properties—were selected for the study. The main objective was to evaluate the effect of algae extract and IAA on the proliferation of cells from three different breast cancer lines: MCF-7, ZR-75-1, and MDA-MB-231. In addition, an analysis of apoptosis and oxidative stress parameters in cancer cells was performed, as well as an assessment of IAA toxicity towards E. coli, S. aureus, and C. albicans. The results obtained allow us to conclude that the extract is effective against estrogen-dependent cells, while the effect of IAA alone varies depending on the microorganism studied, the cell line analyzed, and the concentration used. The extract in selected concentrations induces apoptosis and activates oxidative stress mechanisms, while IAA exhibits cytotoxicity at higher concentrations and stimulates proliferation at lower concentrations. This indicates the need to investigate the mechanisms of action of both Chlorella vulgaris algae extract and IAA in cancer and bacterial cells. Full article
Show Figures

Figure 1

22 pages, 3453 KB  
Article
Influence of Deep Eutectic Solvents and Polyphenolic Extracts on the Structure and Functional Properties of Sodium Alginate Films
by Daniel Szopa, Paulina Wróbel, Julia Zwolińska, Hira Anwar, Maciej Kaniewski and Anna Witek-Krowiak
Polymers 2026, 18(2), 186; https://doi.org/10.3390/polym18020186 - 9 Jan 2026
Viewed by 217
Abstract
The growing demand for biodegradable and functional packaging has driven research toward polysaccharide-based materials with improved performance. In this study, sodium alginate films were modified using natural deep eutectic solvents (NADES) and acorn polyphenolic extract to enhance their antimicrobial, mechanical, and thermal properties. [...] Read more.
The growing demand for biodegradable and functional packaging has driven research toward polysaccharide-based materials with improved performance. In this study, sodium alginate films were modified using natural deep eutectic solvents (NADES) and acorn polyphenolic extract to enhance their antimicrobial, mechanical, and thermal properties. The films were acquired by solvent casting and characterized through mechanical, spectroscopic, thermal, and microbiological analyses. Both NADES and the polyphenolic extract enhanced tensile strength and flexibility through additional hydrogen bonding within the alginate network, while the extract also introduced antioxidant functionality. Among all tested formulations, the A4E2 film exhibited the most balanced performance. FTIR spectra revealed hydrogen bonding between the film components, and thermogravimetric analysis showed an approximately 15 °C (F-EXT) and 20 °C (F-DES) shift in the main DTG degradation peak, indicating enhanced thermal stability. Controlled-release experiments demonstrated the gradual diffusion of phenolic compounds in aqueous, acidic, and fatty simulants, with an initial release phase within the first 6 h followed by sustained release up to 48 h, confirming the films’ suitability for various food environments. The combined modification reduced the growth of Escherichia coli and Staphylococcus aureus by 30–35%, with inhibition zone diameters reaching 27.52 ± 2.87 mm and 25.68 ± 1.52 mm, respectively, evidencing synergistic antimicrobial activity. These results highlight the potential of NADES- and extract-modified alginate films as sustainable materials for active food packaging applications. Full article
Show Figures

Graphical abstract

16 pages, 4119 KB  
Article
The Influence of Moringa oleifera Biomass and Extraction Methods on Biogenic Synthesis of Iron Nanoparticles for Inhibition of Microbial Pollutants
by Luisa F. Medina-Ganem, Neali Valencia-Espinoza, Godwin A. Ayoko, Erick Bandala, Alain Salvador Conejo-Davila, Alejandro Vega-Rios, Ashantha Goonetilleke and Oscar M. Rodriguez-Narvaez
Sustain. Chem. 2026, 7(1), 4; https://doi.org/10.3390/suschem7010004 - 8 Jan 2026
Viewed by 186
Abstract
Biogenic nanoparticles have recently emerged as promising bacterial growth inhibitors, requiring low concentrations and not producing harmful byproducts. However, knowledge gaps remain regarding how different extraction techniques affect nanoparticle synthesis, thereby influencing their replicability and scalability across various applications. To address these knowledge [...] Read more.
Biogenic nanoparticles have recently emerged as promising bacterial growth inhibitors, requiring low concentrations and not producing harmful byproducts. However, knowledge gaps remain regarding how different extraction techniques affect nanoparticle synthesis, thereby influencing their replicability and scalability across various applications. To address these knowledge gaps, this study compared six extracts derived from Moringa oleifera biomass for the synthesis of iron oxide nanoparticles. Multivariate statistical analyses correlated extraction methods with biomolecule content (polyphenols, flavonoids, carbohydrates, proteins), iron percentage, and E. coli growth inhibition. All extracts showed varying concentrations of biomolecules, and different extraction methods were preferable for specific components. Flavonoids were best extracted by salting-out, while infusion methods were better for obtaining carbohydrates. Higher percentages of iron (22.77%) were linked to the presence of polyphenols and flavonoids. Nanoparticles prepared using salting-out and infusion extraction from leaf biomass displayed the highest efficiency in inhibiting E. coli growth, up to a dilution factor of 4. The outcomes of this research study provide an in-depth understanding of the role of specific biomolecules in biogenic nanoparticle synthesis, confirming that both synthesis yield and application effectiveness depend on the extract preparation method. Full article
Show Figures

Graphical abstract

18 pages, 8313 KB  
Article
Integrating Network Pharmacology and Experimental Validation: Mechanistic Study of the Anti-Porphyromonas gingivalis and Anti-Inflammatory Effects of Berberis hemsleyana Ahrendt Extract
by Guibin Yang, Mingan Gui, Hai Dong, Dongzhi Zhuoma, Xuehuan Li, Tai Shen, Hao Guo, Ruiying Yuan and Le Li
Plants 2026, 15(1), 115; https://doi.org/10.3390/plants15010115 - 31 Dec 2025
Viewed by 272
Abstract
Anti-Porphyromonas gingivalis mechanisms of Berberis hemsleyana bark extract remain to be elucidated, and the anti-inflammatory activity of its n-butanol fraction (BNB) in RAW264.7 cells—mediated through suppression of the NF-κB pathway—require further validation. The minimum inhibitory concentration (MIC) and minimum bactericidal concentration (MBC) [...] Read more.
Anti-Porphyromonas gingivalis mechanisms of Berberis hemsleyana bark extract remain to be elucidated, and the anti-inflammatory activity of its n-butanol fraction (BNB) in RAW264.7 cells—mediated through suppression of the NF-κB pathway—require further validation. The minimum inhibitory concentration (MIC) and minimum bactericidal concentration (MBC) of the crude extract from B. hemsleyana were determined against Candida albicans, Escherichia coli, Porphyromonas gingivalis, Staphylococcus aureus and Streptococcus mutans. Scanning electron microscopy (SEM) and bacterial protein leakage assays were used to evaluate its antibacterial activity against P. gingivalis. High-performance liquid chromatography-mass spectrometry (LC-MS) was applied to analyze the ethanol extract of B. hemsleyana bark, leading to the screening of 47 compounds. The antibacterial mechanisms of the compounds were predicted through Network Pharmacology analysis and Molecular docking. Anti-inflammatory activity mediated via the NF-κB pathway was verified using an LPS-induced RAW264.7 cell inflammatory model. Specifically, the BNB showed a significant antibacterial effect on P. gingivalis. Meanwhile, it was confirmed that this fraction damaged the bacterial cell membrane structure, leading to the leakage of intracellular proteins in bacteria and thus impairing their infectivity. Network pharmacology analysis and molecular docking results indicated that B. hemsleyana bark’s biologically active compounds (Calenduloside E, Limonin, Acanthoside B, Dihydroberberine) antibacterial activity by regulating cytokines and cell apoptosis, thereby coordinating the body’s microbial homeostasis and inflammation. Additionally, BNB significantly reduced the secretion of the inflammatory cytokines IL-1β, TNF-α and IL-6 in vitro via the NF-κB pathway. The crude extract from the bark of B. hemsleyana has antibacterial and Anti-inflammatory activity. The n-butanol fraction showed a significant antibacterial effect on P. gingivalis. Full article
(This article belongs to the Section Phytochemistry)
Show Figures

Figure 1

22 pages, 3741 KB  
Article
Antimicrobial Effect of Clove Against Foodborne Pathogens in Ground Buffalo Meat During Refrigerated Storage
by Rawan Mohammed Saadeldeen, Amira Ibrahim Zakaria, Mirela Imre, Kálmán Imre, Samir Mohammed Abd-Elghany and Khalid Ibrahim Sallam
Foods 2026, 15(1), 113; https://doi.org/10.3390/foods15010113 - 31 Dec 2025
Viewed by 278
Abstract
Ground meat is highly perishable and has a short shelf life due to microbial contamination with food spoilage bacteria along with foodborne pathogens, which increases the risk of food poisoning. Controlling microbial growth by using chemical or synthetic food additives or preservatives is [...] Read more.
Ground meat is highly perishable and has a short shelf life due to microbial contamination with food spoilage bacteria along with foodborne pathogens, which increases the risk of food poisoning. Controlling microbial growth by using chemical or synthetic food additives or preservatives is of great health concern. Natural, plant-derived antimicrobial food additives are safer alternatives. Therefore, the main objective of this study was to evaluate the antimicrobial efficacy of different forms and concentrations of clove against food spoilage and foodborne pathogens and to determine their ability to enhance sensory quality and extend the shelf life of buffalo meatballs during refrigerated storage. Clove oil (0.25, 0.50, and 1.0 g/kg), clove extract (0.5, 1.0, and 1.5 g/kg), and clove powder (2.5, 5.0, and 7.5 g/kg) were assessed against aerobic plate counts (APCs), psychotropic counts (PCs), and foodborne pathogens such as Staphylococcus aureus, Salmonella enterica serovar Typhimurium, and Escherichia coli O157:H7, artificially inoculated in buffalo meatballs. Clove oil, clove extract, and clove powder treatments showed a significant (p < 0.01) reduction in the counts of S. aureus, S. enterica serovar Typhimurium, and E. coli O157:H7 compared to control samples. Among all tested forms and concentrations of clove, clove oil at 1.0 g/kg proved to be the most effective against the tested pathogens, as by the end of storage (day 12), it achieved 5.3 and 5.56 log reductions in S. aureus and S. enterica serovar Typhimurium, respectively, along with complete reduction in E. coli O157:H7, followed by clove extract at 1.5 g/kg, which produced 4.2, 4.92, and 7.01 log reductions in the corresponding three foodborne pathogens. The results showed that different concentrations of clove oil and extract treatments applied effectively improved the sensory attributes (flavor, tenderness, juiciness, and overall acceptability) of buffalo meatballs, while the sensory properties of clove powder were considered unacceptable, as it alters the taste and smell of meat. The ground buffalo meat treated with different concentrations of clove oil, clove extract, and clove powder significantly reduced the growth of APCs and PCs during refrigerated storage, resulting in 1.5 to 2.6 log reductions with a prolonged shelf life ranging from 9 to 12 days. Overall effects on shelf life and meat quality showed that all clove forms significantly slowed microbial growth and extended the shelf life of buffalo meatballs to 9–12 days, in contrast to 6 days or less for the control. The findings indicate that clove oil and clove extract are promising natural preservatives capable of improving microbial safety, maintaining sensory attributes, and enhancing the overall quality of buffalo meatballs during refrigerated storage. Full article
Show Figures

Figure 1

19 pages, 2913 KB  
Article
Aqueous Leaf Extracts of Peppermint (Mentha × piperita) and White Snakeroot (Ageratina altissima) Exhibit Antibacterial and Antiviral Activity
by Mackenzie E. Yurchiak, Shea Bailey, Aarish H. Sakib, Macy M. Smith, Rachael Lally, Jacob W. DuBrava, Keely M. Roe, Orna Stuart, Abigail E. Shafier, Juhee Kim, Lauren D. Susick, Lia Prassas, Audrey L. Voss, Grace C. O’Malley, Sofia Calvo, Marek B. Magnus, Sean T. Berthrong, Anne M. Wilson, Michael P. Trombley, Ashlee H. Tietje and Christopher C. Stobartadd Show full author list remove Hide full author list
Microorganisms 2026, 14(1), 80; https://doi.org/10.3390/microorganisms14010080 - 30 Dec 2025
Viewed by 322
Abstract
With new emerging diseases such as COVID-19 and an increasing incidence of cancer, there remains a significant need for investigating new therapeutic options to treat a wide range of ailments and disorders. Peppermint (Mentha × piperita) and white snakeroot (Ageratina [...] Read more.
With new emerging diseases such as COVID-19 and an increasing incidence of cancer, there remains a significant need for investigating new therapeutic options to treat a wide range of ailments and disorders. Peppermint (Mentha × piperita) and white snakeroot (Ageratina altissima) have been used medicinally by native people in the Midwestern United States for centuries. However, the antiproliferative and antimicrobial properties of the aqueous extracts of these plants remain unclear. In this study, we evaluate the therapeutic potential of peppermint and white snakeroot aqueous leaf extracts by examining their activity against mammalian cancer cells, bacteria, and viruses. Both peppermint and snakeroot extracts showed no reductions in viability at concentrations lower than 25 mg/mL and 10 mg/mL, respectively, in two different cancer lines, HEp-2 and DBT-9 cells, in vitro. While treatment with the snakeroot extract resulted in significant disruption to cytoskeletal organization in HEp-2 cells at a concentration of 10 mg/mL, peppermint and snakeroot extracts did not have a major impact on the viability or proliferation of the cancer cell lines tested. Peppermint and snakeroot were then evaluated for antibacterial activity against four different bacterial pathogens. Significant inhibition of bacterial replication was observed for E. coli (at concentrations greater than 0.1 mg/mL) and S. aureus (at concentrations greater than 1 mg/mL) treated with either peppermint or snakeroot extracts. No significant activity was observed against the bacterial strains P. aeruginosa and S. pyogenes. Peppermint (EC50 = 2.36 mg/mL) and snakeroot (EC50 = 2.64 mg/mL) significantly reduce infectivity and replication (at concentrations above 0.2 mg/mL) of the major human pathogen, human respiratory syncytial virus (hRSV). However, testing for antiviral activity against a mouse coronavirus (murine hepatitis virus, MHV) showed no impact on replication at concentrations up to 2.5 mg/mL. Lastly, chemical analysis of the extracts identified several prominent compounds, which were subsequently evaluated for their biological contributions to the observed plant extract phenotypes. Two of the identified compounds, 1,8-cineole (Eucalyptol) and menthol, show significant antimicrobial activity. We report that aqueous extracts of peppermint and white snakeroot exhibit specific antibacterial and antiviral activities that support further investigation for therapeutic potential. Full article
(This article belongs to the Section Public Health Microbiology)
Show Figures

Figure 1

21 pages, 2597 KB  
Article
Dietary Starch–Extract Complexes from Cerrado Fruits Modulate Oxidative Stress in Mononuclear Cells from Normoglycemic and Diabetic Individuals
by Paula Becker Pertuzatti, Karielly Pereira Montel, Priscila Delalibera, Yasmin Aparecida Konda-Barros, Viviane Francelina Luz, Adenilda Cristina Honório-França, Eduardo Luzia França, Ricardo Stefani and Danilo Hiroshi Konda
Antioxidants 2026, 15(1), 44; https://doi.org/10.3390/antiox15010044 - 29 Dec 2025
Viewed by 265
Abstract
Cerrado fruits are rich sources of bioactive compounds with antioxidant and immunomodulatory properties. However, it remains unclear whether the complexes of non-conventional starch with extracts from these fruits can modulate oxidative stress in human cells, under diabetic conditions. This study evaluated the effects [...] Read more.
Cerrado fruits are rich sources of bioactive compounds with antioxidant and immunomodulatory properties. However, it remains unclear whether the complexes of non-conventional starch with extracts from these fruits can modulate oxidative stress in human cells, under diabetic conditions. This study evaluated the effects of lobeira (Solanum lycocarpum) starch complexed with hydrophilic and lipophilic extracts of mirindiba (Buchenavia tomentosa) on redox parameters in mononuclear cells from normoglycemic and diabetic individuals. The extracts showed high phenolic (1362.70 mg gallic acid equivalent (GAE)/100 g) and carotenoid content (7.07 mg β-carotene/100 g) and strong antioxidant capacity (58.42–140.19 μmol Trolox/g by FRAP and DPPH). Structural analyses (Fourier transform infrared (FTIR), X-ray diffraction (XRD), and Scanning Electron Microscopy (SEM)) confirmed complexation via hydrogen bonding and inclusion-type interactions, which partially modified the crystalline order of starch. The complexes exhibited high biocompatibility (>97% cell viability) and adaptively modulated oxidative and antioxidant responses under different metabolic and infectious conditions. Normoglycemic cells showed enhanced redox balance, with moderate superoxide generation and higher SOD activity, while cells from diabetic individuals displayed elevated oxidative stress and reduced SOD induction upon treatment. Under the E. coli challenge, the complexes modulated redox equilibrium through compensatory antioxidant responses. These findings position lobeira starch–mirindiba extract complexes as promising dietary immunomodulators against oxidative stress in metabolic and infectious contexts. Full article
(This article belongs to the Special Issue Natural Antioxidants and Metabolic Diseases, 2nd Edition)
Show Figures

Graphical abstract

12 pages, 1704 KB  
Proceeding Paper
Use of Spearmint (Mentha spicata) Leaves in the Biosynthesis of Silver Nanoparticles
by Renny R. Nazario-Naveda, Moisés M. Gallozzo-Cárdenas, Luis M. Angelats-Silva, Nicole A. Terrones-Rodriguez and Santiago M. Benites
Mater. Proc. 2025, 27(1), 5; https://doi.org/10.3390/materproc2025027005 - 24 Dec 2025
Viewed by 120
Abstract
This study aimed to synthesize silver nanoparticles using alcoholic extract of spearmint (Mentha spicata) leaves as a reducing agent and to evaluate their antimicrobial properties. Extract concentrations of 2–5% were used in media with varying pHs. Techniques such as UV-vis spectroscopy, [...] Read more.
This study aimed to synthesize silver nanoparticles using alcoholic extract of spearmint (Mentha spicata) leaves as a reducing agent and to evaluate their antimicrobial properties. Extract concentrations of 2–5% were used in media with varying pHs. Techniques such as UV-vis spectroscopy, FTIR, and DLS were used to characterize the nanoparticles. The formation of silver nanoparticles was verified by the appearance of a plasmon resonance peak at 418 nm with 2% extract and pH 9. DLS analysis showed a size of 16.1 nm for the 2% extract, which decreased to 10.8 nm with increasing concentration. These results demonstrated that alkaline pH and low extract concentrations favor the formation of monodisperse silver nanoparticles, while higher concentrations induce polydispersity. Silver nanoparticles exhibited antimicrobial activity against E. coli, S. aureus (complete inhibition) and C. albicans (inhibition halo), highlighting their potential in biomedical applications. Full article
Show Figures

Figure 1

16 pages, 780 KB  
Article
Phytochemical Evaluation of Terminalia catappa L. Extracts with Antibacterial and Antibiotic Potentiation Activities Against β-Lactam Drug-Resistant Bacteria
by Muhammad Jawad Zai, Matthew James Cheesman and Ian Edwin Cock
Int. J. Mol. Sci. 2026, 27(1), 177; https://doi.org/10.3390/ijms27010177 - 23 Dec 2025
Viewed by 264
Abstract
Terminalia catappa L. (Family: Combretaceae) is used globally to treat various diseases, including bacterial infections. Whilst the antibacterial activity of T. catappa has previously been tested against antibiotic-sensitive bacterial strains, the antimicrobial activity against methicillin and β-lactam-resistant pathogens has been relatively ignored. The [...] Read more.
Terminalia catappa L. (Family: Combretaceae) is used globally to treat various diseases, including bacterial infections. Whilst the antibacterial activity of T. catappa has previously been tested against antibiotic-sensitive bacterial strains, the antimicrobial activity against methicillin and β-lactam-resistant pathogens has been relatively ignored. The antibacterial activity of T. catappa extracts, both alone and combined with selected clinical antibiotics, was evaluated in this study. The inhibition of bacterial growth by the extracts was determined using agar diffusion and broth micro-dilution assays. Combinations of the extracts and several clinical antibiotics were also examined and the ∑FICs were calculated to determine the interaction class. Synergistic combinations were further evaluated by isobologram analysis. The T. catappa leaf extracts were screened for toxicity using Artemia franciscana lethality bioassays (ALA). Orbitrap liquid chromatography–mass spectrometry (LC-MS) profiling analysis was undertaken to identify flavonoid components of the extracts, putatively. The T. catappa methanolic extract inhibited all the tested bacterial strains. It displayed especially good inhibitory activity against E. coli (MIC = 130 µg/mL). Combining the T. catappa extracts with some conventional antibiotics potentiated the inhibitory activity of the combinations compared to the activity of individual components. LC-MS profiling analysis identified multiple flavonoid components, including rutin, quercitin, orientin, the tannin component, and ellagic acid in the extracts. All extracts were non-toxic against Artemia nauplii. The phytochemical constituents present in the T. catappa leaf extracts warrant future investigation as potential antibacterial agents. Full article
Show Figures

Figure 1

21 pages, 4054 KB  
Article
Application of Recombinant [NiFe]-Hydrogenase for Sustainable Coenzyme Regeneration
by Renata Vičević, Zrinka Karačić, Maja Milunić, Anita Šalić, Ana Jurinjak Tušek and Bruno Zelić
Catalysts 2026, 16(1), 10; https://doi.org/10.3390/catal16010010 - 23 Dec 2025
Viewed by 487
Abstract
Hydrogenases are key enzymes in microbial energy metabolism, catalyzing the reversible conversion between molecular hydrogen and protons. Among them, [NiFe]-hydrogenases are particularly attractive for biocatalytic applications due to the oxygen tolerance of several members of this class and their ability to couple hydrogen [...] Read more.
Hydrogenases are key enzymes in microbial energy metabolism, catalyzing the reversible conversion between molecular hydrogen and protons. Among them, [NiFe]-hydrogenases are particularly attractive for biocatalytic applications due to the oxygen tolerance of several members of this class and their ability to couple hydrogen oxidation with redox cofactor regeneration. In this study, a recombinant soluble [NiFe]-hydrogenase from Cupriavidus necator H16 was successfully expressed in Escherichia coli BL21 (DE3), purified, and characterised with a focus on its applicability for NAD+ regeneration. Unlike previous studies that primarily used native C. necator extracts or complex maturation systems, this work provides the first quantitative demonstration that an aerobically purified recombinant soluble [NiFe]-hydrogenase expressed in E. coli can function effectively as an NAD+ regeneration catalyst and operate within multi-enzymatic cascade reactions under application-relevant conditions. The crude recombinant enzyme displayed a volumetric activity of 0.273 ± 0.024 U/mL and a specific activity of 0.018 ± 0.002 U/mgcells in the hydrogen oxidation assay, while purification yielded a specific activity of 0.114 ± 0.001 U/mg with an overall recovery of 79.2%. The enzyme exhibited an optimal temperature of 35 °C and a pH optimum of 7.00. Thermal stability analysis revealed rapid deactivation at 40 °C (kd = 0.4186 ± 0.0788 h−1, t1/2 ≈ 1.7 h) and substantially slower deactivation at 4 °C (kd = 0.1141 ± 0.0139 h−1, t1/2 ≈ 6.1 h). Batch NADH oxidation experiments confirmed efficient cofactor turnover and high specificity towards NADH over NADPH. Finally, integration of the hydrogenase into a one-pot two-enzyme glucose oxidation system demonstrated its capacity for in situ NAD+ regeneration, although the reaction stopped after approximately 5 min due to acidification from gluconic acid formation, highlighting pH control as a key requirement for future process optimization. Full article
Show Figures

Graphical abstract

25 pages, 34562 KB  
Article
Biogenic vs. Chemical AgNPs: A Comparison of Antimicrobial Potency and Stability
by Mukil Madhusudanan, Ivan Mijakovic and Priyanka Singh
Int. J. Mol. Sci. 2026, 27(1), 62; https://doi.org/10.3390/ijms27010062 - 20 Dec 2025
Viewed by 253
Abstract
This study presents a comprehensive evaluation of the antimicrobial activities of silver nanoparticles (AgNPs) synthesized using three distinct methods: plant extracts, bacterial supernatant, and a conventional chemical method. AgNPs were synthesized from Crassula ovata (Jade) leaf extract, Bacillus licheniformis bacterial supernatant, and a [...] Read more.
This study presents a comprehensive evaluation of the antimicrobial activities of silver nanoparticles (AgNPs) synthesized using three distinct methods: plant extracts, bacterial supernatant, and a conventional chemical method. AgNPs were synthesized from Crassula ovata (Jade) leaf extract, Bacillus licheniformis bacterial supernatant, and a standard chemical reduction method using trisodium citrate. The synthesized AgNPs were characterized using UV–Vis spectroscopy, Transmission Electron Microscopy (TEM), and Dynamic Light Scattering (DLS). The antimicrobial efficacy of the AgNPs was tested against four pathogenic microorganisms: Escherichia coli, Pseudomonas aeruginosa, Staphylococcus epidermidis, and Methicillin-resistant Staphylococcus aureus (MRSA). Our findings reveal significant differences in the biological activities of the AgNPs depending on the synthesis method. The MBC values for the plant extract-synthesized AgNPs were 10 µg/mL for E. coli, 12.5 µg/mL for P. aeruginosa, 10 µg/mL for S. epidermidis, and 15 µg/mL for MRSA. The bacterial supernatant-synthesized AgNPs showed MBC values of 10 µg/mL for E. coli, 12.5 µg/mL for P. aeruginosa, 7.5 µg/mL for S. epidermidis, and 12.5 µg/mL for MRSA. In contrast, citrate-reduced AgNPs exhibited higher MBCs: 60 µg/mL for E. coli and P. aeruginosa, 40 µg/mL for S. epidermidis, and 80 µg/mL for MRSA. Notably, the AgNPs synthesized using plant and bacterial supernatant demonstrated superior antimicrobial activity compared to those synthesized chemically. This comparative study highlights the potential of eco-friendly synthesis routes for producing AgNPs with enhanced biological activities. The findings suggest that plant extract and bacterial supernatant-mediated synthesis of AgNPs could serve as a viable and sustainable alternative to conventional chemical methods, offering promising applications in medical and pharmaceutical fields. Full article
(This article belongs to the Section Molecular Microbiology)
Show Figures

Graphical abstract

16 pages, 2004 KB  
Article
1-Butyl-3-methylimidazolium Mandelate: A Multifunctional Ionic Liquid with Enhanced Hydrogen Bonding, Thermal Stability, Antimicrobial Activity, and Extraction Capability
by Nikolett Cakó Bagány, Eleonora Čapelja, Sanja Belić, Dajana Lazarević, Jelena Jovanović, Tatjana Trtić-Petrović and Slobodan Gadžurić
Molecules 2025, 30(24), 4824; https://doi.org/10.3390/molecules30244824 - 18 Dec 2025
Viewed by 321
Abstract
Designing ionic liquids (ILs) where a single functional group orchestrates a suite of enhanced properties remains a key challenge in materials science. Here, we introduce 1-butyl-3-methylimidazolium mandelate, [Bmim][Man], a novel IL where the hydroxyl group on the mandelate anion simultaneously enhances hydrogen bonding, [...] Read more.
Designing ionic liquids (ILs) where a single functional group orchestrates a suite of enhanced properties remains a key challenge in materials science. Here, we introduce 1-butyl-3-methylimidazolium mandelate, [Bmim][Man], a novel IL where the hydroxyl group on the mandelate anion simultaneously enhances hydrogen bonding, thermal stability, antimicrobial activity, and extraction selectivity. The structure-property relationships of [Bmim][Man] were investigated through measurements of density, viscosity, and conductivity and were compared with analogous ILs. The presence of the hydroxyl group on the mandelate anion resulted in the highest density and viscosity among the series, attributed to strong hydrogen bonding and efficient ion packing. Notably, [Bmim][Man] exhibited a high molar conductivity that decouples from its high viscosity, suggesting an unusual degree of ion dissociation facilitated by the hydroxyl group. Thermogravimetric analysis revealed superior thermal stability. Furthermore, the investigated ionic liquid demonstrated a low critical aggregation concentration (CAC = 0.01982 mol·dm−3) in water, indicating a strong propensity for self-aggregation. [Bmim][Man] showed synergistic, enhanced antibacterial activity against E. coli and P. aeruginosa. Finally, the functional utility of this designed liquid was demonstrated in separation science, where [Bmim][Man]-based aqueous biphasic systems showed selective extraction capabilities for transition metals, a process driven by the same hydrogen-bonding and coordination interactions that define its bulk properties. These findings establish [Bmim][Man] as a promising multifunctional material where the mandelate anion concurrently dictates liquid microstructure, thermal resilience, antimicrobial performance, and application in extraction. Full article
(This article belongs to the Section Molecular Liquids)
Show Figures

Graphical abstract

16 pages, 1286 KB  
Article
High-Limonene Orange Peel Essential Oil as a Natural Antibacterial Agent in Hand Sanitizer Gels
by Marcos A. Coronado, José R. Ayala, Beatriz E. Jaramillo-Colorado, Daniela G. Montes, Ernesto Beltrán-Partida, Benjamín A. Rojano, Andrés Felipe Alzate-Arbeláez and Ana M. Vázquez
Cosmetics 2025, 12(6), 288; https://doi.org/10.3390/cosmetics12060288 - 18 Dec 2025
Viewed by 817
Abstract
Orange peel waste has potential to be valorized from agro-industrial and food sectors to formulate products for personal hygiene and public health. This study presents the formulation of alcohol-based antibacterial gels incorporating essential oils extracted from Citrus sinensis orange peel waste and its [...] Read more.
Orange peel waste has potential to be valorized from agro-industrial and food sectors to formulate products for personal hygiene and public health. This study presents the formulation of alcohol-based antibacterial gels incorporating essential oils extracted from Citrus sinensis orange peel waste and its sensory evaluation among 770 participants in a holistic approach. The orange essential oil, obtained via hydrodistillation, demonstrated a high limonene content of 96.5% by GC-MS. Antibacterial activity assessed by agar diffusion assays showed orange essential oil efficacy against Escherichia coli and Staphylococcus aureus, with inhibition zones of 25.9 mm and 23.62 mm, respectively. Two gel prototypes, GSA and GSB, were developed and sensorily evaluated. GSA was preferred for its superior appearance, spreadability, absorption, and smell, with 99% acceptability. Appearance and spread sensory parameters were the differentiators between both formulations according to user preferences. Thus, 93% of respondents are willing to use either GSA or GSB as a daily hygiene product over commercial ones. Although the gels exhibited reduced antibacterial activity relative to essential oil, with inhibition zones measuring 8.3 mm for E. coli and 9.0 mm for S. aureus, they retained satisfactory user acceptability. These findings support the use of citrus biowaste-derived essential oils in sustainable personal hygiene products. Full article
Show Figures

Graphical abstract

22 pages, 438 KB  
Article
Antimicrobial Resistance in Urinary Tract Infections Among Patients with and Without Renal Comorbidities: A Retrospective Study from Al-Baha, Saudi Arabia
by Shazia Shaheen Mir, Eman Ali, Samiyah Ahmad Abdullah Alghamdi, Nora Mohamed Alghamdi, Raed A. Alharbi, Abdulmajeed A. A. Sindi and Ali A. Zaeri
Pathogens 2025, 14(12), 1297; https://doi.org/10.3390/pathogens14121297 - 17 Dec 2025
Viewed by 538
Abstract
Urinary tract infections are among the most common bacterial infections worldwide, with increasing antimicrobial resistance posing a significant public health challenge. This study aimed to determine the demographic distribution, antimicrobial susceptibility patterns of uropathogens, and the clinical implications of UTIs in patients with [...] Read more.
Urinary tract infections are among the most common bacterial infections worldwide, with increasing antimicrobial resistance posing a significant public health challenge. This study aimed to determine the demographic distribution, antimicrobial susceptibility patterns of uropathogens, and the clinical implications of UTIs in patients with renal comorbidities in the Al-Baha region of Saudi Arabia. A retrospective, cross-sectional study was conducted at King Fahad Hospital, Al-Baha, from January 2021 to September 2022. A total of 1126 culture-positive UTI cases were included. Patient demographics, uropathogen distribution, antimicrobial resistance profiles, and clinical characteristics were extracted from hospital records. Subgroup analysis was performed for 32 patients with renal comorbidities, including end-stage renal disease (ESRD), glomerulonephritis (GN), and kidney transplant recipients (KTs). Statistical analysis was performed using SPSS version 25. Most cases occurred in patients aged >70 years (43.2%) and females (68.29%). Escherichia coli (38.09%) and Klebsiella pneumoniae (14.02%) were the leading pathogens. High resistance to ampicillin (47–67%), cotrimoxazole (35–37%), and third-generation cephalosporins (34–47%) was observed, whereas carbapenems and aminoglycosides remained largely effective. Among the 32 patients with renal comorbidities, E. coli (43.8%), Staphylococcus aureus (25%), and Enterococcus spp. (18.8%) were the most common isolates. Dysuria (46.87%) and fever (31.25%) were the most frequent clinical presentations. Treatment regimens in this subgroup often required multidrug combinations, reflecting higher resistance burdens. Uropathogens in the Al-Baha region shows rising resistance to first-line antibiotics, with vulnerable populations such as patients with renal comorbidities experiencing distinct pathogen distributions and treatment challenges. Continuous surveillance, prudent antibiotic use, and targeted strategies for high-risk patients are essential to mitigate the impact of multidrug-resistant UTIs in Saudi Arabia. Full article
(This article belongs to the Special Issue Advances in the Epidemiology of Human Infectious Diseases)
Show Figures

Figure 1

15 pages, 3226 KB  
Article
Enhanced Antibacterial Properties of Citric Acid-Crosslinked PVA/Starch Films Functionalized with Silver-Loaded Sorghum Straw Biochar
by Yue Wang, Jiayao Gao, Cuiluan Ma and Yucai He
C 2025, 11(4), 94; https://doi.org/10.3390/c11040094 - 16 Dec 2025
Viewed by 536
Abstract
In this work, a novel polyvinyl alcohol/starch (PVA/St)-based composite film was fabricated by integrating citric acid (CA) and silver-loaded biochar (C-Ag) nanofillers to enhance antibacterial functionality. Sorghum straw-derived biochar was loaded with silver nanoparticles (AgNPs) through a green synthesis route using Peucedanum praeruptorum [...] Read more.
In this work, a novel polyvinyl alcohol/starch (PVA/St)-based composite film was fabricated by integrating citric acid (CA) and silver-loaded biochar (C-Ag) nanofillers to enhance antibacterial functionality. Sorghum straw-derived biochar was loaded with silver nanoparticles (AgNPs) through a green synthesis route using Peucedanum praeruptorum Dunn extract. The successful crosslinking by CA and the uniform incorporation of AgNPs were confirmed by FTIR, XRD, and SEM. Notably, the optimized composite film containing 1.5 g/L C-Ag exhibited strong broad-spectrum antibacterial activity, with inhibition zones of 28 mm against E. coli, 29 mm against S. aureus, and 26 mm against P. aeruginosa, respectively. The high efficacy is attributed to the synergistic effect between the sustained release of Ag+ and the CA-induced acidic microenvironment. This work provides a green and high-performance antibacterial material to address the potential microbe contamination. Full article
(This article belongs to the Section Carbon Materials and Carbon Allotropes)
Show Figures

Figure 1

Back to TopTop