Application of Recombinant [NiFe]-Hydrogenase for Sustainable Coenzyme Regeneration
Abstract
1. Introduction
2. Results and Discussion
2.1. Characterization of the Crude Recombinant [NiFe]-Hydrogenase from E. coli BL21 (DE3)
2.2. Isolation of the Recombinant [NiFe]-Hydrogenase from Crude Extract
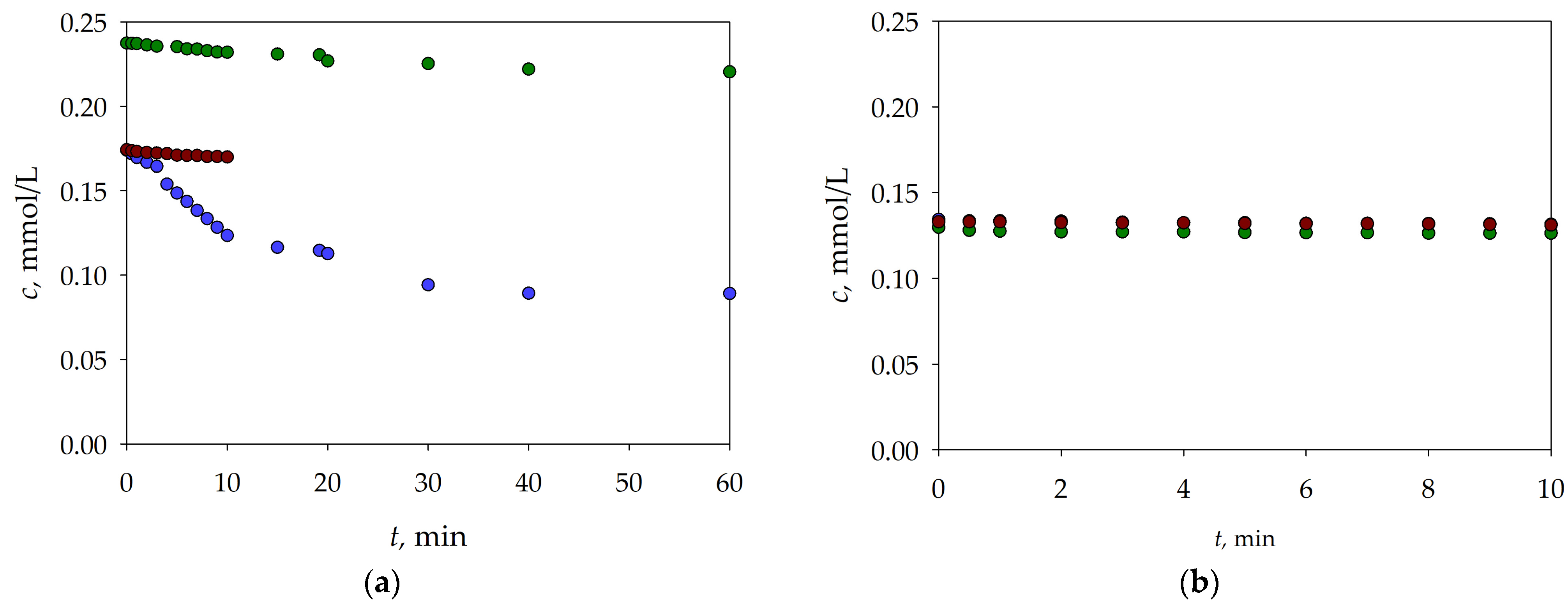
2.3. NAD(P)H Oxidation in a Batch Reactor
3. Materials and Methods
3.1. Chemicals
3.2. Methods
3.2.1. Measurement of NADH and NADPH Concentration
3.2.2. Measurement of Glucose Concentration
3.2.3. Protein Concentration Measurements
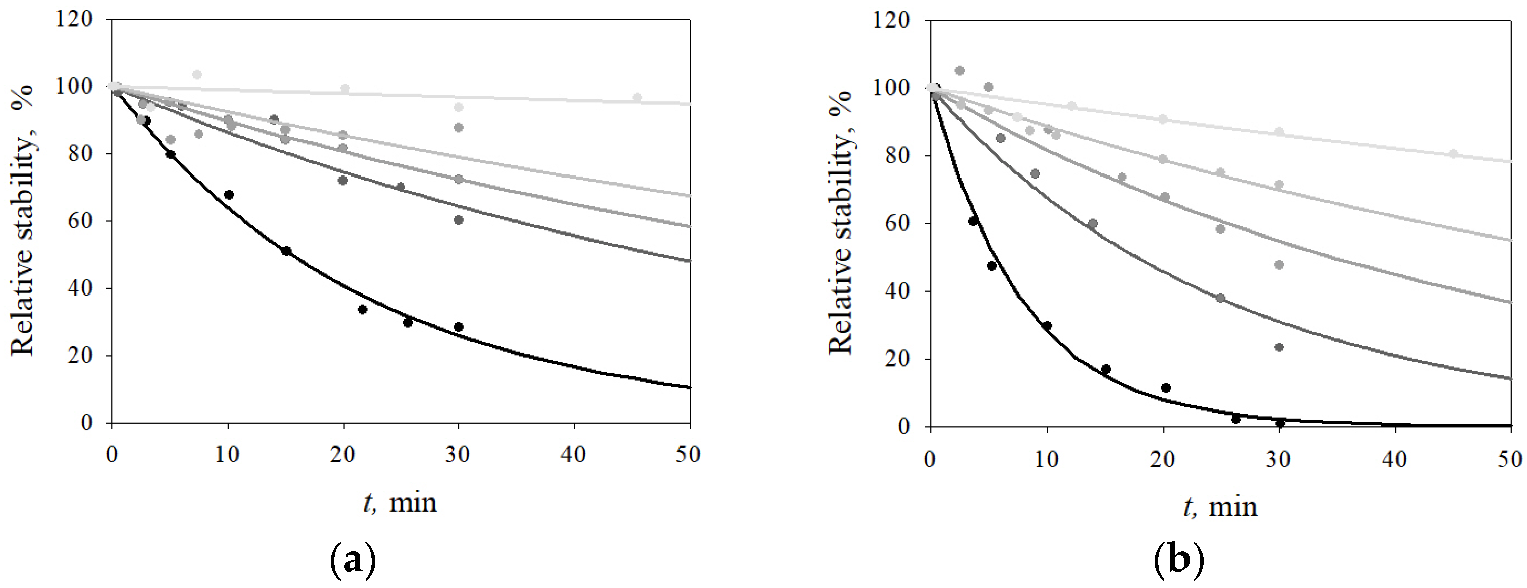
3.2.4. Determination of the Stability of the Coenzymes NADH and NADPH in Aqueous Solution
3.2.5. Measurement of [NiFe]-Hydrogenase Activity by Hydrogen Reduction Reaction
3.2.6. SDS-PAGE Analysis
3.2.7. Investigation of the Effects of pH and Temperature on the Activity and Storage Stability of Recombinant [NiFe]-Hydrogenase
3.2.8. Expression of Recombinant [NiFe]-Hydrogenase in E. coli BL21 (DE3)
3.2.9. Ultrasonic Treatment of E. coli BL21 (DE3) Cells
3.2.10. Purification of Recombinant [NiFe]-Hydrogenase from E. coli BL21 (DE3)
3.2.11. NAD(P)H Oxidation in a Batch Reactor
3.2.12. Glucose Oxidation and Coenzyme Regeneration in a Batch Reactor
4. Conclusions
Author Contributions
Funding
Data Availability Statement
Conflicts of Interest
Appendix A
| Exp. | t (min) | A (%) | γ (mg/mL) | V.A. (U/mL) |
|---|---|---|---|---|
| 1 | 3 | 40 | 10 | 0.130 ± 0.007 |
| 2 | 3 | 60 | 10 | 0.180 ± 0.015 |
| 3 | 9 | 40 | 10 | 0.225 ± 0.018 |
| 4 | 9 | 60 | 10 | 0.118 ± 0.019 |
| 5 | 6 | 40 | 5 | 0.122 ± 0.013 |
| 6 | 6 | 60 | 5 | 0.091 ± 0.021 |
| 7 | 6 | 40 | 15 | 0.234 ± 0.097 |
| 8 | 6 | 60 | 15 | 0.144 ± 0.024 |
| 9 | 3 | 50 | 5 | 0.089 ± 0.024 |
| 10 | 9 | 50 | 5 | 0.148 ± 0.001 |
| 11 | 3 | 50 | 15 | 0.246 ± 0.079 |
| 12 | 9 | 50 | 15 | 0.300 ± 0.022 |
| 13 | 6 | 50 | 10 | 0.232 ± 0.017 |
| 14 | 6 | 50 | 10 | 0.275 ± 0.028 |
| 15 | 6 | 50 | 10 | 0.236 ± 0.001 |
| 16 | 6 | 50 | 10 | 0.250 ± 0.075 |
| 17 | 6 | 50 | 10 | 0.202 ± 0.020 |




| pH | Coenzyme | |
|---|---|---|
| NADH | NADPH | |
| k (1/min) | k (1/min) | |
| 4.25 | 0.0449 ± 0.0014 | 0.1268 ± 0.0060 |
| 4.60 | 0.0147 ± 0.0013 | 0.0390 ± 0.0025 |
| 5.00 | 0.0108 ± 0.0003 | 0.0200 ± 0.0020 |
| 6.00 | 0.0079 ± 0.0020 | 0.0119 ± 0.0005 |
| 7.00 | 0.0011 ± 0.0006 | 0.0049 ± 0.0004 |
References
- Leone, L.; Sgueglia, G.; La Gatta, S.; Chino, M.; Nastri, F.; Lombardi, A. Enzymatic and Bioinspired Systems for Hydrogen Production. Int. J. Mol. Sci. 2023, 24, 8605. [Google Scholar] [CrossRef]
- Boyd, E.S.; Colman, D.R.; Templeton, A.S. Perspective: Microbial hydrogen metabolism in rock-hosted ecosystems. Front. Energy. Res. 2024, 12, 1340410. [Google Scholar] [CrossRef]
- Schiffels, J.; Pinkenburg, O.; Schelden, M.; Aboulnaga, E.-H.A.A.; Baumann, M.E.M.; Selmer, T. An Innovative Cloning Platform Enables Large-Scale Production and Maturation of an Oxygen-Tolerant [NiFe]-Hydrogenase from Cupriavidus necator in Escherichia coli. PLoS ONE 2013, 8, e68812. [Google Scholar] [CrossRef]
- Al-Shameri, A.; Petrich, M.C.; Puring, K.J.; Apfel, U.P.; Nestl, B.M.; Lauterbach, L. Powering artificial enzymatic cascades with electrical energy. Angew. Chem. Int. Ed. 2020, 59, 10929–10933. [Google Scholar] [CrossRef] [PubMed]
- Al-Shameri, A.; Borlinghaus, N.; Weinmann, L.; Scheller, P.N.; Nestl, B.M.; Lauterbach, L. Synthesis of N-heterocycles from diamines via H2-driven NADPH recycling in the presence of O2. Green Chem. 2019, 21, 1463–9262. [Google Scholar] [CrossRef]
- Lauterbach, L.; Lenz, O. How to make the reducing power of H2 available for in vivo biosyntheses and biotransformations. Curr. Opin. Chem. Biol. 2019, 49, 91–96. [Google Scholar] [CrossRef] [PubMed]
- Al-Shameri, A.; Siebert, D.L.; Sutiono, S.; Lauterback, L.; Sieber, V. Hydrogenase-based oxidative biocatalysis without oxygen. Nat. Commun. 2023, 14, 2693. [Google Scholar] [CrossRef]
- Wulff, P.; Thomas, C.; Sargent, F.; Armstrong, F.A. How the oxygen tolerance of a [NiFe]-hydrogenase depends on quaternary structure. J. Biol. Inorg. Chem. 2016, 21, 121–134. [Google Scholar] [CrossRef]
- Sim, M.S.; Park, S.H.; Choi, J.I.; Kim, T.W. Development of a highly efficient microbial fermentation process of recombinant Escherichia coli for GABA production from glucose. J. Biotech. 2025, 399, 72–80. [Google Scholar] [CrossRef]
- Ojima, Y.; Saito, H.; Miyuki, S.; Fukunaga, K.; Tsuboi, T.; Azuma, M. Induction conditions that promote the effect of glycerol on recombinant protein production in Escherichia coli. Biotechnol. Rep. 2025, 46, e00898. [Google Scholar] [CrossRef]
- Kim, J.Y.H.; Jo, B.H.; Cha, H.J. Production of biohydrogen by recombinant expression of [NiFe]-hydrogenase 1 in Escherichia coli. Microb. Cell Fact. 2010, 9, 54. [Google Scholar] [CrossRef]
- Kim, J.Y.H.; Jo, B.H.; Cha, H.J. Production of biohydrogen by heterologous expression of oxygen-tolerant Hydrogenovibrio marinus [NiFe]-hydrogenase in Escherichia coli. J. Biotech. 2011, 155, 312–315. [Google Scholar] [CrossRef]
- Du, F.; Liu, Y.Q.; Xu, Y.S.; Li, Z.J.; Wang, Y.Z.; Zhang, Z.X.; Sun, X.M. Regulating the T7 RNA polymerase expression in E. coli BL21 (DE3) to provide more host options for recombinant protein production. Microb. Cell Factories 2021, 20, 189. [Google Scholar] [CrossRef] [PubMed]
- Fan, Q.; Neubauer, P.; Lenz, O.; Gimpel, M. Heterologous Hydrogenase Overproduction Systems for Biotechnology—An Overview. Int. J. Mol. Sci. 2020, 21, 5890. [Google Scholar] [CrossRef] [PubMed]
- Lacasse, M.J.; Zamble, D.B. [NiFe]-Hydrogenase Maturation. Biochemistry 2016, 55, 1689–1701. [Google Scholar] [CrossRef]
- Böck, A.; King, P.W.; Blokesch, M.; Posewitz, M.C. Maturation of Hydrogenases. Adv. Microb. Physiol. 2006, 51, 1–71. [Google Scholar] [CrossRef] [PubMed]
- Noor, N.D.M.; Nishikawa, K.; Nishihara, H.; Yoon, K.S.; Ogo, S.; Higuchi, Y. Improved purification, crystallization and crystallographic study of Hyd-2-type [NiFe]-hydrogenase from Citrobacter sp. S-77. Acta Crystallogr. Sect. F 2016, 72, 53–58. [Google Scholar] [CrossRef]
- Al-saari, N.; Amada, E.; Matsumura, Y.; Tanaka, M.; Mino, S.; Sawabe, T. Understanding the NaCl-dependent behavior of hydrogen production of a marine bacterium, Vibrio tritonius. PeerJ 2019, 7, e6769. [Google Scholar] [CrossRef]
- Tremblay, P.L.; Lovley, D.R. Role of the NiFe hydrogenase Hya in oxidative stress defense in Geobacter sulfurreducens. J. Bacteriol. 2012, 194, 2248–2253. [Google Scholar] [CrossRef]
- Romig, M.; Eberwein, M.; Deobald, D.; Schmid, A. Reactivation and long-term stabilization of the [NiFe] Hox hydrogenase of Synechocystis sp. PCC6803 by glutathione after oxygen exposure. J. Biol. Chem. 2025, 301, 108086. [Google Scholar] [CrossRef]
- Ruff, A.; Szczesny, J.; Zacarias, S.; Pereira, I.A.C.; Plumeré, N.; Schuhmann, W. Protection and Reactivation of the [NiFeSe] Hydrogenase from Desulfovibrio vulgaris Hildenborough under Oxidative Conditions. ACS Energy Lett. 2017, 2, 964–968. [Google Scholar] [CrossRef]
- Lamont, C.M.; Sargent, F. Design and characterisation of synthetic operons for biohydrogen technology. Arch. Microbiol. 2017, 199, 495–503. [Google Scholar] [CrossRef] [PubMed]
- Šalić, A.; Zelić, B. A Game Changer: Microfluidic Technology for Enhancing Biohydrogen Production—Small Size for Great Performance. Energies 2022, 15, 7065. [Google Scholar] [CrossRef]
- Martínez, A.T.; Ruiz-Dueñas, F.J.; Camarero, S.; Serrano, A.; Linde, D.; Lund, H.; Vind, J.; Tovborg, M.; Herold-Majumdar, O.M.; Hofrichter, M.; et al. Oxidoreductases on their way to industrial biotransformations. Biotechnol. Adv. 2017, 35, 815–831. [Google Scholar] [CrossRef]
- Nowak, C.; Beer, B.; Pick, A.; Roth, T.; Lommes, P.; Sieber, V.A. water-forming NADH oxidase from Lactobacillus pentosus suitable for the regeneration of synthetic biomimetic cofactors. Front. Microbiol. 2015, 6, 957. [Google Scholar] [CrossRef]
- Kumar, P.; Pai, K.; Pandey, H.P.; Sundar, S. NADH-oxidase, NADPH-oxidase and myeloperoxidase activity of visceral leishmaniasis patients. J. Med. Microbiol. 2002, 51, 832–836. [Google Scholar] [CrossRef]
- Riebel, B.R.; Gibbs, P.R.; Wellborn, W.B.; Bommarius, A.S. Cofactor regeneration of NAD+ from NADH: Novel water-forming NADH oxidases. Adv. Synth. Catal. 2002, 344, 1156–1168. [Google Scholar] [CrossRef]
- Al-Shameri, A.; Schmermund, L.; Sieber, V. Engineering approaches for O2-dependent enzymes. Curr. Opin. Green Sustain. Chem. 2023, 40, 100733. [Google Scholar] [CrossRef]
- Xing, W.; Xing, W.; Yin, M.; Lv, Q.; Hu, Y.; Liu, C.; Zhang, J. Oxygen solubility, diffusion coefficient, and solution viscosity. In Rotating Electrodemethods and Oxygen Reduction Electrocatalysts; Xing, W., Yin, G., Zhang, J., Eds.; Elsevier: Amsterdam, The Netherlands, 2014; pp. 1–33. [Google Scholar] [CrossRef]
- Ratzka, J.; Lauterbach, L.; Lenz, O.; Ansorge-Schumacher, M.B. Systematic evaluation of the dihydrogen-oxidising and NAD+-reducing soluble [Nife]-hydrogenase from Ralstonia Eutropha H16 as a cofactor regeneration catalyst. Biocatal. Biotransform. 2011, 29, 246–252. [Google Scholar] [CrossRef]
- Al-Shameri, A.; Willot, S.J.P.; Paul, C.E.; Hollmann, F.; Lauterbach, L. H2 as a fuel for flavin- and H2O2-dependent biocatalytic reactions. Chem. Commun. 2020, 56, 9667–9670. [Google Scholar] [CrossRef]
- Lauterbach, L.; Lenz, O. Catalytic production of hydrogen peroxide and water by oxygen-tolerant [NiFe]-hydrogenase during H2 cycling in the presence of O2. J. Am. Chem. Soc. 2013, 135, 17897–17905. [Google Scholar] [CrossRef]
- Vincent, K.A.; Parkin, A.; Armstrong, F.A. Investigating and Exploiting the Electrocatalytic Properties of Hydrogenases. Chem. Rev. 2007, 107, 4366–4413. [Google Scholar] [CrossRef]
- Sokolova, D.; Vincent, K.A. Exploiting hydrogenases for biocatalytic hydrogenations. Chem. Commun. 2024, 60, 13667–13677. [Google Scholar] [CrossRef] [PubMed]
- Greening, C.; Kropp, A.; Vincent, K.; Grinter, R. Developing high-affinity, oxygen-insensitive [NiFe]-hydrogenases as biocatalysts for energy conversion. Biochem. Soc. Trans. 2023, 51, 1921–1933. [Google Scholar] [CrossRef] [PubMed]
- Evans, R.M.; Beaton, S.E.; Rodriguez Macia, P.; Pang, Y.; Long Wong, K.; Kertess, L.; Myers, W.K.; Bjornsson, R.; Ash, P.A.; Vincent, K.A.; et al. Comprehensive structural, infrared spectroscopic and kinetic investigations of the roles of the active-site arginine in bidirectional hydrogen activation by the [NiFe]-hydrogenase ‘Hyd-2’ from Escherichia coli. Chem. Sci. 2023, 14, 8531–8551. [Google Scholar] [CrossRef]
- Reeve, H.A.; Nicholson, J.; Altaf, F.; Lonsdale, T.H.; Preissler, J.; Lauterbach, L.; Lenz, O.; Leimkühler, S.; Hollmann, F.; Paul, C.E.; et al. A hydrogen-driven biocatalytic approach to recycling synthetic analogues of NAD(P)H. Chem. Commun. 2022, 58, 10540–10543. [Google Scholar] [CrossRef] [PubMed]
- Ludwig, M.; Cracknell, J.A.; Vincent, K.A.; Armstrong, F.A.; Lenz, O. Oxygen-tolerant H2 oxidation by membrane-bound [NiFe] hydrogenases of ralstonia species. Coping with low level H2 in air. J. Biol. Chem. 2009, 284, 465–477. [Google Scholar] [CrossRef]
- Feliu, J.X.; Cubarsi, R.; Villaverde, A. Optimized release of recombinant proteins by ultrasonication of E. coli cells. Biotechnol. Bioeng. 1998, 58, 536–540. [Google Scholar] [CrossRef]
- Fan, Q.; Caserta, G.; Lorent, C.; Zebger, I.; Neubauer, P.; Lenz, O.; Gimpel, M. High-Yield Production of Catalytically Active Regulatory [NiFe]-Hydrogenase from Cupriavidus necator in Escherichia coli. Front. Microbiol. 2022, 13, 894375. [Google Scholar] [CrossRef]
- Alfano, M.; Cavazza, C. Structure, function, and biosynthesis of nickel-dependent enzymes. Protein. Sci. 2020, 29, 1071–1089. [Google Scholar] [CrossRef]
- Claire, M. Investigating the Impact of Temperature and pH on Enzyme Activity: A Kinetic Analysis. Biochem. Physiol. 2025, 14, 508. [Google Scholar]
- Gu, Y. The effect of buffer pH on enzyme activity. TNS 2024, 33, 137–147. [Google Scholar] [CrossRef]
- Peterson, M.E.; Daniel, R.M.; Danson, M.J.; Eisental, R. The dependence of enzyme activity on temperature: Determination and validation of parameters. Biochem. J. 2007, 402, 331–337. [Google Scholar] [CrossRef]
- Wojcik, M.; Milek, J. A new method to determine optimum temperature and activation energies for enzymatic reactions. Bioprocess. Biosyst. Eng. 2016, 39, 1319–1323. [Google Scholar] [CrossRef]
- Yagi, T.; Higuchi, Y. Studies on hydrogenase. Proc. Jpn. QAQcad Ser. B Phys. Biol. Sci. 2013, 89, 16–33. [Google Scholar] [CrossRef] [PubMed]
- Hardt, S.; Stapf, S.; Filmon, D.; Birrel, J.A.; Rudiger, O.; Fourmond, V.; Leger, C.; Plumere, N. Reversible H2 Oxidation and Evolution by Hydrogenase Embedded in a Redox Polymer Film. Nat. Catal. 2021, 4, 251–258. [Google Scholar] [CrossRef] [PubMed]
- Alberty, R.A. Changes in binding of hydrogen ions in enzyme-catalyzed reactions. Biophys. Chem. 2007, 125, 328–333. [Google Scholar] [CrossRef]
- Wolfe, K.D.; Alahuhta, M.; Himmel, M.E.; Bomble, Y.J.; Jennings, G.K.; Cliffel, D.E. Long-Term Stability of Nicotinamide Cofactors in Common Aqueous Buffers: Implications for Cell-Free Biocatalysis. Molecules 2024, 29, 5453. [Google Scholar] [CrossRef] [PubMed]
- Tsygankov, A.A.; Minakov, E.A.; Zorin, N.A.; Karyakin, A.A. Measuring the pH dependence of hydrogenase activities. Biochemistry 2007, 72, 968–973. [Google Scholar] [CrossRef]
- Schmitz, O.; Boison, G.; Salzmann, H.; Bothe, H.; Schütz, K.; Wang, S.; Happe, T. HoxE—A subunit specific for the pentameric bidirectional hydrogenase complex (HoxEFUYH) of cyanobacteria. Biochim. Biophys. Acta (BBA) - Bioenerg. 2002, 1554, 66–74. [Google Scholar] [CrossRef]
- Ma, K.; Schicho, R.N.; Kelly, R.M.; Adams, M.W. Hydrogenase of the hyperthermophile Pyrococcus furiosus is an elemental sulfur reductase or sulfhydrogenase: Evidence for a sulfur-reducing hydrogenase ancestor. Proc. Natl. Acad. Sci. USA 1993, 90, 5341–5344. [Google Scholar] [CrossRef]
- Flanagan, L.A.; Wright, J.J.; Roessler, M.M.; Moir, J.W.; Parkin, A. Re-engineering a NiFe hydrogenase to increase the H2 production bias while maintaining native levels of O2 tolerance. Chem. Commun. 2016, 52, 9133–9136. [Google Scholar] [CrossRef]
- Lu, Y.; Koo, J. O2 sensitivity and H2 production activity of hydrogenases—A review. Biotechnol. Bioeng. 2019, 116, 3124–3135. [Google Scholar] [CrossRef] [PubMed]
- Preissler, J.; Wahlefeld, S.; Lorent, C.; Teutloff, C.; Horch, M.; Lauterbach, L.; Cramer, S.P.; Zebger, I.; Lenz, O. Enzymatic and spectroscopic properties of a thermostable [NiFe]-hydrogenase performing H2-driven NAD+-reduction in the presence of O2. Biochim. Biophys. Acta Bioenerg. 2018, 1859, 8–18. [Google Scholar] [CrossRef]
- Yonemoto, I.T.; Matteri, C.W.; Nguyen, T.A.; Smith, H.O.; Weyman, P.D. Dual organism design cycle reveals small subunit substitutions that improve [NiFe] hydrogenase hydrogen evolution. J. Biol. Eng. 2013, 7, 17. [Google Scholar] [CrossRef]
- Arcus, V.L.; Prentice, E.J.; Hobbs, J.K.; Mulholland, A.J.; Van der Kamp, M.W.; Pudney, C.R.; Parker, E.J.; Schipper, L.A. On the Temperature Dependence of Enzyme-Catalyzed Rates. Biochemistry 2016, 55, 1681–1688. [Google Scholar] [CrossRef] [PubMed]
- Chowdhury, S.P.; Conrad, R. Thermal deactivation of high-affinity H2 uptake activity in soils. Soil. Biol. Biochem. 2010, 42, 1574–1580. [Google Scholar] [CrossRef]
- Keefe, R.G.; Axley, M.J.; Harabin, A.L. Kinetic Mechanism Studies of the Soluble Hydrogenase from Alcaligenes eutrophus H16. Arch. Biochem. Biophys. 1995, 317, 449–456. [Google Scholar] [CrossRef] [PubMed]
- Robinson, P.K. Enzymes: Principles and biotechnological applications. Essays Biochem. 2015, 59, 1–41. [Google Scholar] [CrossRef]
- Scopes, R.K. Protein Purification; Springer: New York, NY, USA, 2013. [Google Scholar]
- Watthanasakphuban, N.; Srila, P.; Pinmanee, P.; Pinmanee, P.; Punvittayagul, C.; Petchyam, N.; Ninchan, B. Production, purification, characterization, and safety evaluation of constructed recombinant D-psicose 3-epimerase. Microb. Cell Factories 2024, 23, 216. [Google Scholar] [CrossRef]
- Smith, B.J. SDS Polyacrylamide Gel Electrophoresis of Proteins. Methods Mol. Biol. 1984, 1, 41–55. [Google Scholar] [CrossRef] [PubMed]
- da Costa Silva, M.; Bezzera Costa, R.; Oliveira dos Santos Gomes, M.M.; Santos do Nascimento, J.; da Silva Gonçalves, A.H.; Alves Nunes, J.; Angelo dos Santos, M.; Soares Gomes, F.; Rodrigues da Luz, J.M.; Meireles Grillo, L.A. Purification and Functional Characterization of a New Endoglucanase from Pleurotus djamor PLO13 Produced by Solid-State Fermentation of Agro-Industrial Waste. Fermentation 2025, 11, 182. [Google Scholar] [CrossRef]
- Burgdorf, T.; van der Linden, E.; Bernhard, M.; Yin, Q.Y.; Back, J.W.; Hartog, A.F.; Muijsers, A.O.; de Koster, C.G.; Albracht, S.P.; Friedrich, B. The soluble NAD+-Reducing [NiFe]-hydrogenase from Ralstonia eutropha H16 consists of six subunits and can be specifically activated by NADPH. J. Bacteriol. 2005, 187, 3122–3132. [Google Scholar] [CrossRef] [PubMed]
- Burgdorf, T.; Lenz, O.; Buhrke, T.; Linden, E.; Jones, A.; Albracht, S.; Friedrich, B. [NiFe]-Hydrogenases of Ralstonia eutropha H16: Modular Enzymes for Oxygen-Tolerant Biological Hydrogen Oxidation. J. Mol. Microbiol. Biotechnol. 2005, 10, 181–196. [Google Scholar] [CrossRef] [PubMed]
- Lauterbach, L.; Idris, Z.; Vincent, K.A.; Lenz, O. Catalytic Properties of the Isolated Diaphorase Fragment of the NAD+-Reducing [NiFe]-Hydrogenase from Ralstonia eutropha. PLoS ONE 2011, 6, e25939. [Google Scholar] [CrossRef]
- Hummel, W.; Riebel, B. Isolation and biochemical characterization of a new NADH oxidase from Lactobacillus brevis. Biotechnol. Lett. 2003, 25, 51–54. [Google Scholar] [CrossRef]
- Nishiyama, Y.; Massey, V.; Takeda, K.; Kawasaki, S.; Sato, J.; Watanabe, T.; Niimura, Y. Hydrogen peroxide-forming NADH oxidase belonging to the peroxiredoxin oxidoreductase family: Existence and physiological role in bacteria. J. Bacteriol. 2001, 183, 2431–2438. [Google Scholar] [CrossRef]
- Piszkiewicz, S.; Pielak, G.J. Protecting Enzymes from Stress-Induced Inactivation. Biochem. 2019, 58, 3825–3833. [Google Scholar] [CrossRef]
- Dako, E.; Bernier, A.; Dadie, A.T.; Jankowski, C.K. The Problems Associated with Enzyme Purification, 1st ed.; Ekinci, D., Ed.; InTech: London, UK, 2012. [Google Scholar] [CrossRef]
- Woodward, J.; Orr, M. Enzymatic conversion of sucrose to hydrogen. Biotechnol. Prog. 1998, 14, 897–902. [Google Scholar] [CrossRef]
- Zhao, X.; Jiang, H.; Wang, S.; Yuan, X.; Feng, Y.; Yang, J.; Li, Y.; Zhu, N.; Zhao, S.; He, W.; et al. Microreactors in chemical process intensification: Chemical reactions, crystallizations, extractions and emulsifications. Chem. Eng. J. 2025, 519, 165223. [Google Scholar] [CrossRef]
- Yang, Y.; Qian, J.; Fang, G.; Guan, Z.; Han, H.; Liu, Q.; Liu, H.; Wang, Y.; Li, W. Research progress on the process analysis technology for microreactors. Microchem. J. 2025, 212, 113373. [Google Scholar] [CrossRef]
- Lane, T.G.; Revankar, S.T. Advances in technology, design and deployment of microreactors—A review. Prog. Nucl. Energy 2025, 178, 105520. [Google Scholar] [CrossRef]
- da Silva, J.L., Jr.; Santana, H.S.; Hodapp, M.J. Microreactor technology applied to catalytic processing of Hydrogen: A review. J. Ind. Eng. Chem. 2025, 143, 65–84. [Google Scholar] [CrossRef]
- Shaker, G.; Swift, C.J. Peroxidase-Coupled Glucose Method; StatPearls Publishing: Treasure Island, FL, USA, 2023. [Google Scholar] [PubMed]
- Erst, O.; Zor, T. Linearization of the Bradford Assay. J. Vis. Exp. 2010, 38, 1918. [Google Scholar] [CrossRef]
- Rover, L.J.; Fernandes, J.C.; de Oliviera Neto, G.; Kubota, L.T.; Katekawa, E.; Serrano, S.H. Study of NADH stability using ultraviolet-visible spectrophotometric analysis and factorial design. Anal. Biochem. 1998, 260, 50–55. [Google Scholar] [CrossRef] [PubMed]
- Laemmli, U.K. Cleavage of structural proteins during the assembly of the head of bacteriophage T4. Nature 1970, 227, 680–695. [Google Scholar] [CrossRef]







Disclaimer/Publisher’s Note: The statements, opinions and data contained in all publications are solely those of the individual author(s) and contributor(s) and not of MDPI and/or the editor(s). MDPI and/or the editor(s) disclaim responsibility for any injury to people or property resulting from any ideas, methods, instructions or products referred to in the content. |
© 2025 by the authors. Licensee MDPI, Basel, Switzerland. This article is an open access article distributed under the terms and conditions of the Creative Commons Attribution (CC BY) license.
Share and Cite
Vičević, R.; Karačić, Z.; Milunić, M.; Šalić, A.; Tušek, A.J.; Zelić, B. Application of Recombinant [NiFe]-Hydrogenase for Sustainable Coenzyme Regeneration. Catalysts 2026, 16, 10. https://doi.org/10.3390/catal16010010
Vičević R, Karačić Z, Milunić M, Šalić A, Tušek AJ, Zelić B. Application of Recombinant [NiFe]-Hydrogenase for Sustainable Coenzyme Regeneration. Catalysts. 2026; 16(1):10. https://doi.org/10.3390/catal16010010
Chicago/Turabian StyleVičević, Renata, Zrinka Karačić, Maja Milunić, Anita Šalić, Ana Jurinjak Tušek, and Bruno Zelić. 2026. "Application of Recombinant [NiFe]-Hydrogenase for Sustainable Coenzyme Regeneration" Catalysts 16, no. 1: 10. https://doi.org/10.3390/catal16010010
APA StyleVičević, R., Karačić, Z., Milunić, M., Šalić, A., Tušek, A. J., & Zelić, B. (2026). Application of Recombinant [NiFe]-Hydrogenase for Sustainable Coenzyme Regeneration. Catalysts, 16(1), 10. https://doi.org/10.3390/catal16010010

