Influence of Deep Eutectic Solvents and Polyphenolic Extracts on the Structure and Functional Properties of Sodium Alginate Films
Abstract
1. Introduction
2. Materials and Methods
2.1. Materials
2.2. Preparation of Extract
2.3. Selection of Optimal Films
2.4. Preparation of Optimal Films
2.5. Thickness of the Films
2.6. Mechanical Properties
2.7. Swelling Properties
2.8. Release Study
2.9. FTIR
2.10. Color Assay
2.11. Thermal Analysis
2.12. The Antibacterial Properties
3. Results
3.1. Selection of Optimal Films
3.2. Mechanical Properties
3.3. Thickness of the Films
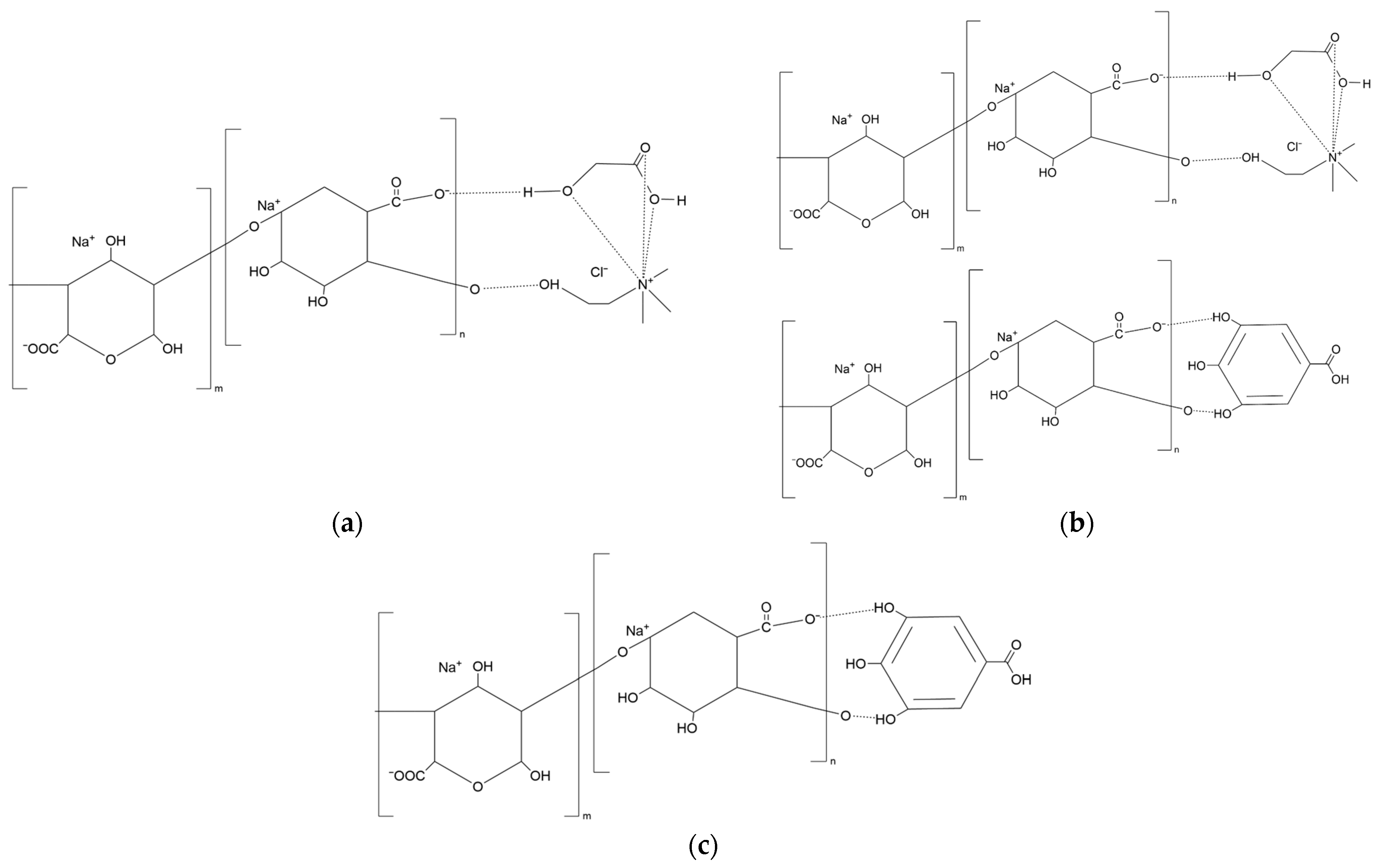
3.4. FTIR
3.5. TGA
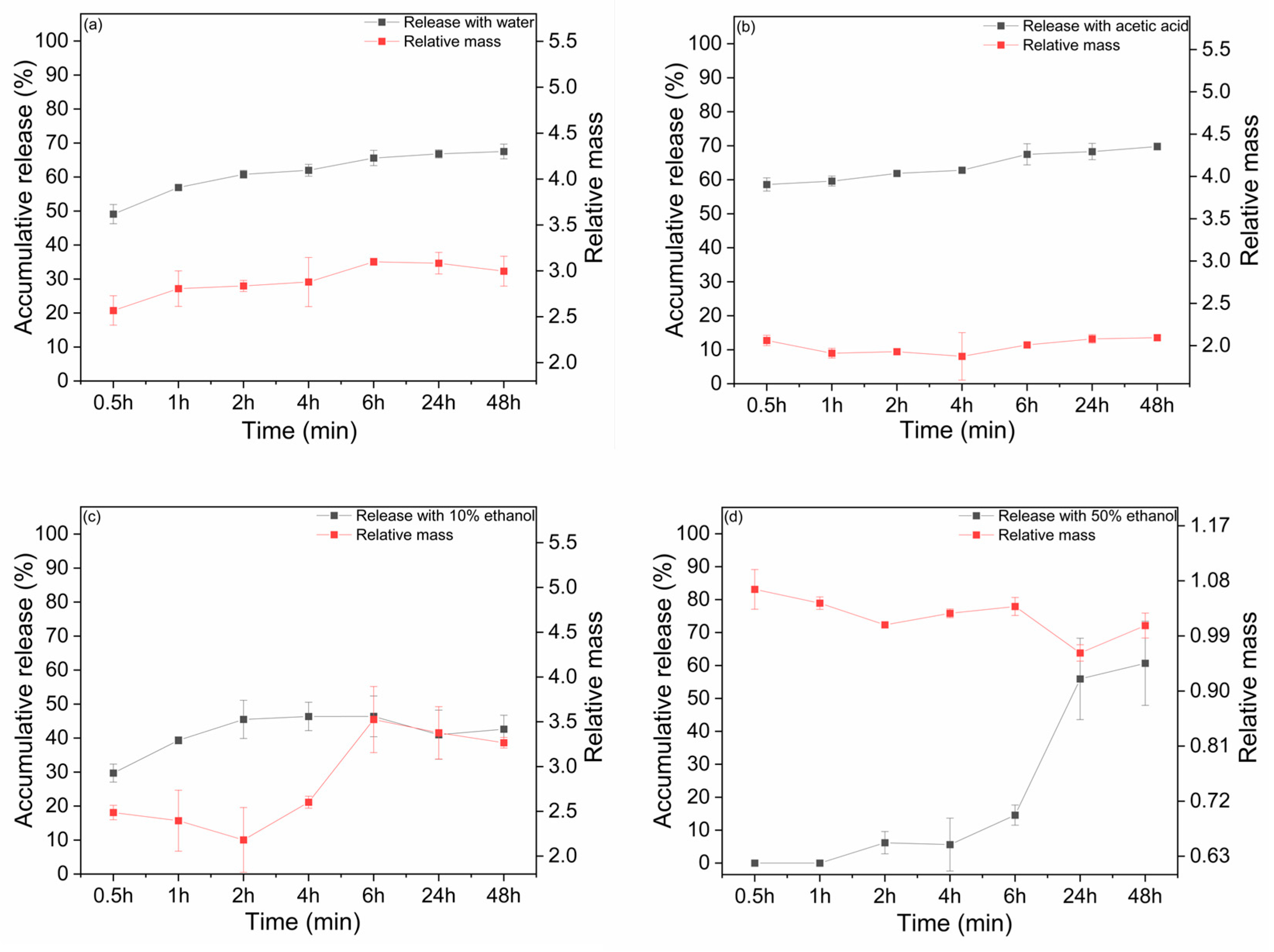
3.6. Release and Swelling Study
3.7. Color Assay
3.8. The Antibacterial Properties
4. Future Perspectives
5. Conclusions
Author Contributions
Funding
Institutional Review Board Statement
Data Availability Statement
Acknowledgments
Conflicts of Interest
Abbreviations
| A1, A2, A4 | Alginate concentrations (1%, 2%, 4%) |
| A4E2 | Film with 4% alginate and 2% extract concentration |
| ChCl | Choline chloride |
| Δa, Δb, ΔL | Color parameters in CIELAB color space (chromaticity and lightness differences) |
| DSC | Differential scanning calorimetry |
| DTG | Derivative thermogravimetry |
| E0–E5 | Polyphenol extract concentrations (0–5%) |
| ELO | Elongation at break |
| F-ALG | Film prepared from pure sodium alginate |
| F-DES | Film modified with deep eutectic solvent |
| F-EXT | Film incorporated with acorn polyphenol extract |
| FTIR | Fourier transform infrared spectroscopy |
| ICP-OES | Inductively coupled plasma optical emission spectrometry |
| LA | Lactic acid |
| MS | Mass spectrometry |
| NADES | Natural deep eutectic solvent |
| NMR | Nuclear magnetic resonance |
| STR | Tensile strength |
| TGA | Thermogravimetric analysis |
| TPC | Total polyphenol content |
| XRD | X-ray diffraction |
| YM | Young’s modulus |
References
- Thapliyal, D.; Karale, M.; Diwan, V.; Kumra, S.; Arya, R.K.; Verros, G.D. Current Status of Sustainable Food Packaging Regulations: Global Perspective. Sustainability 2024, 16, 5554. [Google Scholar] [CrossRef]
- European Union. Directive-2019/904-EN-SUP Directive-EUR-Lex. Available online: https://eur-lex.europa.eu/eli/dir/2019/904/oj (accessed on 19 August 2025).
- EN 13432:2000; Packaging – Requirements for Packaging Recoverable Through Composting and Biodegradation – Test Scheme and Evaluation Criteria for the Final Acceptance of Packaging. CEN: Brussels, Belgium, 2000.
- ASTM D5338-15R21; Standard Test Method for Determining Aerobic Biodegradation of Plastic Materials Under Controlled Composting Conditions, Incorporating Thermophilic Temperatures. ASTM International: West Conshohocken, PA, USA, 2021.
- Ruggero, F.; Onderwater, R.C.A.; Carretti, E.; Roosa, S.; Benali, S.; Raquez, J.M.; Gori, R.; Lubello, C.; Wattiez, R. Degradation of Film and Rigid Bioplastics During the Thermophilic Phase and the Maturation Phase of Simulated Composting. J. Polym. Environ. 2021, 29, 3015–3028. [Google Scholar] [CrossRef]
- Amin, U.; Khan, M.K.I.; Maan, A.A.; Nazir, A.; Riaz, S.; Khan, M.U.; Sultan, M.; Munekata, P.E.S.; Lorenzo, J.M. Biodegradable Active, Intelligent, and Smart Packaging Materials for Food Applications. Food Packag. Shelf Life 2022, 33, 100903. [Google Scholar] [CrossRef]
- European Union. Regulation-1935/2004-EN-EUR-Lex. Available online: https://eur-lex.europa.eu/eli/reg/2004/1935/oj/eng (accessed on 19 August 2025).
- Metha, C.; Pawar, S.; Suvarna, V. Recent Advancements in Alginate-Based Films for Active Food Packaging Applications. Sustain. Food Technol. 2024, 2, 1246–1265. [Google Scholar] [CrossRef]
- Dou, L.; Li, B.; Zhang, K.; Chu, X.; Hou, H. Physical Properties and Antioxidant Activity of Gelatin-Sodium Alginate Edible Films with Tea Polyphenols. Int. J. Biol. Macromol. 2018, 118, 1377–1383. [Google Scholar] [CrossRef]
- Mikula, K.; Izydorczyk, G.; Mironiuk, M.; Szopa, D.; Chojnacka, K.; Witek-Krowiak, A. Selection of Matrix Material for Hydrogel Carriers of Plant Micronutrients. J. Mater. Sci. 2024, 59, 3031–3048. [Google Scholar] [CrossRef]
- Pandey, V.K.; Shafi, Z.; Choudhary, P.; Pathak, A.; Rustagi, S. Navigating the Functional and Bioactive Landscape of Sodium Alginate-Based Edible Coatings for Modernized Fruit Preservation. J. Food Saf. 2025, 45, e70020. [Google Scholar] [CrossRef]
- Cheikh, D.; Martín-Sampedro, R.; Majdoub, H.; Darder, M. Alginate Bionanocomposite Films Containing Sepiolite Modified with Polyphenols from Myrtle Berries Extract. Int. J. Biol. Macromol. 2020, 165, 2079–2088. [Google Scholar] [CrossRef] [PubMed]
- Lv, Y.; Yue, H.; Tan, C.; Liao, H. Characterization of a Novel Biodegradable Active Film with Rose Polyphenol Extract and Its Application in Edible Oil Packaging. Food Biosci. 2025, 63, 105784. [Google Scholar] [CrossRef]
- Santos, L.G.; Martins, V.G. Multifunctional Alginate Films Blended with Polyphenol-Rich Extract from Unconventional Edible Sources: Bioactive Properties, UV-Light Protection, and Food Freshness Monitoring. Int. J. Biol. Macromol. 2024, 262, 130001. [Google Scholar] [CrossRef] [PubMed]
- Singh, A.K.; Kim, J.Y.; Lee, Y.S. Phenolic Compounds in Active Packaging and Edible Films/Coatings: Natural Bioactive Molecules and Novel Packaging Ingredients. Molecules 2022, 27, 7513. [Google Scholar] [CrossRef]
- Szopa, D.; Wróbel, P.; Witek-Krowiak, A. Enhancing Polyphenol Extraction Efficiency: A Systematic Review on the Optimization Strategies with Natural Deep Eutectic Solvents. J. Mol. Liq. 2024, 404, 124902. [Google Scholar] [CrossRef]
- Ozuna-Valencia, K.H.; Rodríguez-Félix, F.; Márquez-Ríos, E.; Moreno-Vásquez, M.J.; Graciano-Verdugo, A.Z.; Robles-García, M.Á.; Aubourg-Martínez, S.P.; Quintero-Reyes, I.E.; López-Corona, B.E.; Tapia-Hernández, J.A. Improving the Properties of Polysaccharide-Based Films by Incorporation of Polyphenols Through Free Radical Grafting: A Review. Polysaccharides 2024, 5, 672–697. [Google Scholar] [CrossRef]
- Bezerra, F.d.S.; Koblitz, M.G.B. Extraction of Phenolic Compounds from Agro-Industrial By-Products Using Natural Deep Eutectic Solvents: A Review of Green and Advanced Techniques. Separations 2025, 12, 150. [Google Scholar] [CrossRef]
- Gómez-Urios, C.; Viñas-Ospino, A.; Puchades-Colera, P.; López-Malo, D.; Frígola, A.; Esteve, M.J.; Blesa, J. Sustainable Development and Storage Stability of Orange By-Products Extract Using Natural Deep Eutectic Solvents. Foods 2022, 11, 2457. [Google Scholar] [CrossRef]
- Chanioti, S.; Tzia, C. Extraction of Phenolic Compounds from Olive Pomace by Using Natural Deep Eutectic Solvents and Innovative Extraction Techniques. Innov. Food Sci. Emerg. Technol. 2018, 48, 228–239. [Google Scholar] [CrossRef]
- Várfalvyová, A.; Kalyniukova, A.; Tomášková, I.; Pešková, V.; Pastierovič, F.; Jirošová, A.; Resnerová, K.; Popelková, D.; Andruch, V. Sugar-Based Natural Deep Eutectic Solvent Ultrasound-Assisted Extraction for the Determination of Polyphenolic Compounds from Various Botanical Sources. Microchem. J. 2023, 194, 109249. [Google Scholar] [CrossRef]
- Tapia-Quirós, P.; Granados, M.; Sentellas, S.; Saurina, J. Microwave-Assisted Extraction with Natural Deep Eutectic Solvents for Polyphenol Recovery from Agrifood Waste: Mature for Scaling-Up? Sci. Total Environ. 2024, 912, 168716. [Google Scholar] [CrossRef]
- Ibsen, K.N.; Ma, H.; Banerjee, A.; Tanner, E.E.L.; Nangia, S.; Mitragotri, S. Mechanism of Antibacterial Activity of Choline-Based Ionic Liquids (CAGE). ACS Biomater. Sci. Eng. 2018, 4, 2370–2379. [Google Scholar] [CrossRef] [PubMed]
- Bucak, C.D. Porous Alginate Hydrogel Beads Cross-Linked with Citric Acid Containing Tannic Acid: Structural Analysis, Antimicrobial Properties and Release Behavior. Cellulose 2023, 30, 1117–1132. [Google Scholar] [CrossRef]
- Alves, T.F.P.; Teixeira, N.; Vieira, J.; Vicente, A.A.; Mateus, N.; de Freitas, V.; Souza, H.K.S. Sustainable Chitosan Packaging Films: Green Tea Polyphenolic Extraction Strategies Using Deep Eutectic Solvents. J. Clean. Prod. 2022, 372, 133589. [Google Scholar] [CrossRef]
- Shafie, M.H.; Yusof, R.; Naharudin, I.; Wong, T.W.; Zafarina, Z.; Gan, C.Y. Effect of Different Molar Ratios of Choline Chloride–Citric Acid Monohydrate in Deep Eutectic Solvents as Plasticizers for Averrhoa Bilimbi Pectin Films. J. Food Meas. Charact. 2022, 16, 3832–3843. [Google Scholar] [CrossRef]
- Górnaś, P.; Rudzińska, M.; Grygier, A.; Ying, Q.; Mišina, I.; Urvaka, E.; Rungis, D. Sustainable Valorization of Oak Acorns as a Potential Source of Oil Rich in Bioactive Compounds. Process Saf. Environ. Prot. 2019, 128, 244–250. [Google Scholar] [CrossRef]
- Szabłowska, E.; Tańska, M. Acorns as a Source of Valuable Compounds for Food and Medical Applications: A Review of Quercus Species Diversity and Laboratory Studies. Appl. Sci. 2024, 14, 2799. [Google Scholar] [CrossRef]
- Vinha, A.F.; Costa, A.S.G.; Barreira, J.C.M.; Pacheco, R.; Oliveira, M.B.P.P. Chemical and Antioxidant Profiles of Acorn Tissues from Quercus Spp.: Potential as New Industrial Raw Materials. Ind. Crops Prod. 2016, 94, 143–151. [Google Scholar] [CrossRef]
- Ferreira, V.C.S.; Morcuende, D.; Hérnandez-López, S.H.; Madruga, M.S.; Silva, F.A.P.; Estévez, M. Antioxidant Extracts from Acorns (Quercus ilex L.) Effectively Protect Ready-to-Eat (RTE) Chicken Patties Irrespective of Packaging Atmosphere. J. Food Sci. 2017, 82, 622–631. [Google Scholar] [CrossRef] [PubMed]
- Grob, K. The Future of Simulants in Compliance Testing Regarding the Migration from Food Contact Materials into Food. Food Control 2008, 19, 263–268. [Google Scholar] [CrossRef]
- Dóka, O.; Ficzek, G.; Simon, G.; Zsófi, Z.; Villangó, S.; Végvári, G. Quantification of Total Polyphenol Content in Wine Lees by Conventional Optical and Photoacoustic Spectroscopy. Oeno One 2023, 57, 257–264. [Google Scholar] [CrossRef]
- Dysjaland, H.; Sone, I.; Noriega Fernández, E.; Sivertsvik, M.; Sharmin, N. Mechanical, Barrier, Antioxidant and Antimicrobial Properties of Alginate Films: Effect of Seaweed Powder and Plasma-Activated Water. Molecules 2022, 27, 8356. [Google Scholar] [CrossRef]
- Moura-Alves, M.; Souza, V.G.L.; Silva, J.A.; Esteves, A.; Pastrana, L.M.; Saraiva, C.; Cerqueira, M.A. Characterization of Sodium Alginate-Based Films Blended with Olive Leaf and Laurel Leaf Extracts Obtained by Ultrasound-Assisted Technology. Foods 2023, 12, 4076. [Google Scholar] [CrossRef]
- Aloui, H.; Deshmukh, A.R.; Khomlaem, C.; Kim, B.S. Novel Composite Films Based on Sodium Alginate and Gallnut Extract with Enhanced Antioxidant, Antimicrobial, Barrier and Mechanical Properties. Food Hydrocoll. 2021, 113, 106508. [Google Scholar] [CrossRef]
- Benlloch-Tinoco, M.; Gentile, P.; Taylor, L.; Girón-Hernández, J. Alginate Edible Films as Delivery Systems for Green Tea Polyphenols. Food Hydrocoll. 2025, 158, 110518. [Google Scholar] [CrossRef]
- Janik, W.; Nowotarski, M.; Ledniowska, K.; Shyntum, D.Y.; Krukiewicz, K.; Turczyn, R.; Sabura, E.; Furgoł, S.; Kudła, S.; Dudek, G. Modulation of Physicochemical Properties and Antimicrobial Activity of Sodium Alginate Films through the Use of Chestnut Extract and Plasticizers. Sci. Rep. 2023, 13, 11530. [Google Scholar] [CrossRef]
- Jing, Z.; Dai, X.; Xian, X.; Du, X.; Liao, M.; Hong, P.; Li, Y. Tough, Stretchable and Compressive Alginate-Based Hydrogels Achieved by Non-Covalent Interactions. RSC Adv. 2020, 10, 23592–23606. [Google Scholar] [CrossRef]
- Eslami, Z.; Elkoun, S.; Mirzapour, M.; Robert, M. Development of a Continuous Extrusion Process for Alginate Biopolymer Films for Sustainable Applications. Polymers 2025, 17, 1818. [Google Scholar] [CrossRef] [PubMed]
- Li, Q.; Xie, Q.; Yu, S.; Gao, Q. Application of Digital Image Analysis Method to Study the Gelatinization Process of Starch/Sodium Chloride Solution Systems. Food Hydrocoll. 2014, 35, 392–402. [Google Scholar] [CrossRef]
- Zhang, Z.; Xu, Y.; Hu, Y. Enhancing the Water Resistance and Functional Properties of Chitosan-Based Films Using a Hydrophobic Deep Eutectic Solvent. Int. J. Biol. Macromol. 2025, 318, 144776. [Google Scholar] [CrossRef] [PubMed]
- Adamus, J.; Spychaj, T.; Zdanowicz, M.; Jędrzejewski, R. Thermoplastic Starch with Deep Eutectic Solvents and Montmorillonite as a Base for Composite Materials. Ind. Crops Prod. 2018, 123, 278–284. [Google Scholar] [CrossRef]
- Feng, M.; Yu, L.; Zhu, P.; Zhou, X.; Liu, H.; Yang, Y.; Zhou, J.; Gao, C.; Bao, X.; Chen, P. Development and Preparation of Active Starch Films Carrying Tea Polyphenol. Carbohydr. Polym. 2018, 196, 162–167. [Google Scholar] [CrossRef] [PubMed]
- Zhai, X.; Li, M.; Zhang, R.; Wang, W.; Hou, H. Extrusion-Blown Starch/PBAT Biodegradable Active Films Incorporated with High Retentions of Tea Polyphenols and the Release Kinetics into Food Simulants. Int. J. Biol. Macromol. 2023, 227, 851–862. [Google Scholar] [CrossRef]
- Jamróz, E.; Kulawik, P.; Krzyściak, P.; Talaga-Ćwiertnia, K.; Juszczak, L. Intelligent and Active Furcellaran-Gelatin Films Containing Green or Pu-Erh Tea Extracts: Characterization, Antioxidant and Antimicrobial Potential. Int. J. Biol. Macromol. 2019, 122, 745–757. [Google Scholar] [CrossRef]
- Wang, X.; Huang, X.; Zhang, F.; Hou, F.; Yi, F.; Sun, X.; Yang, Q.; Han, X.; Liu, Z. Characterization of Chitosan/Zein Composite Film Combined with Tea Polyphenol and Its Application on Postharvest Quality Improvement of Mushroom (Lyophyllum decastes Sing.). Food Packag. Shelf Life 2022, 33, 100869. [Google Scholar] [CrossRef]
- Wen, H.; Hsu, Y.I.; Asoh, T.A.; Uyama, H. Antioxidant Activity and Physical Properties of PH-Sensitive Biocomposite Using Poly(Vinyl Alcohol) Incorporated with Green Tea Extract. Polym. Degrad. Stab. 2020, 178, 109215. [Google Scholar] [CrossRef]
- Zhang, D.; Chen, L.; Cai, J.; Dong, Q.; Din, Z.-u.; Hu, Z.-Z.; Wang, G.-Z.; Ding, W.-P.; He, J.-R.; Cheng, S.-Y. Starch/Tea Polyphenols Nanofibrous Films for Food Packaging Application: From Facile Construction to Enhance Mechanical, Antioxidant and Hydrophobic Properties. Food Chem. 2021, 360, 129922. [Google Scholar] [CrossRef] [PubMed]
- Bitencourt, C.M.; Fávaro-Trindade, C.S.; Sobral, P.J.A.; Carvalho, R.A. Gelatin-Based Films Additivated with Curcuma Ethanol Extract: Antioxidant Activity and Physical Properties of Films. Food Hydrocoll. 2014, 40, 145–152. [Google Scholar] [CrossRef]
- Hoque, M.S.; Benjakul, S.; Prodpran, T. Properties of Film from Cuttlefish (Sepia pharaonis) Skin Gelatin Incorporated with Cinnamon, Clove and Star Anise Extracts. Food Hydrocoll. 2011, 25, 1085–1097. [Google Scholar] [CrossRef]
- Jha, P. Effect of Grapefruit Seed Extract Ratios on Functional Properties of Corn Starch-Chitosan Bionanocomposite Films for Active Packaging. Int. J. Biol. Macromol. 2020, 163, 1546–1556. [Google Scholar] [CrossRef]
- Smith, E.L.; Abbott, A.P.; Ryder, K.S. Deep Eutectic Solvents (DESs) and Their Applications. Chem. Rev. 2014, 114, 11060–11082. [Google Scholar] [CrossRef]
- Coleman, R.J.; Lawrie, G.; Lambert, L.K.; Whittaker, M.; Jack, K.S.; Grndahl, L. Phosphorylation of Alginate: Synthesis, Characterization, and Evaluation of in Vitro Mineralization Capacity. Biomacromolecules 2011, 12, 889–897. [Google Scholar] [CrossRef]
- Dupuy, B.; Arien, A.; Minnot, A.P. FT-IR of Membranes Made with Alginate/Polylysine Complexes. Variations with the Mannuronic or Guluronic Content of the Polysaccharides. Artif. Cells Blood Substit. Biotechnol. 1994, 22, 71–82. [Google Scholar] [CrossRef]
- Zamanileha, E.F.; Mitantsoa, J.T.; Frienduc Vaonalamihanta, P.; Razafintsalama, A.R.; Andrianony, F.A.; Hervé, R.P.; Tantely, J.; Ravelonandro, P.H. Various Approaches to Fourier-Transform Infrared Spectroscopy (FTIR) for Bioanalytical and Biotechnological Applications in Marine Algae. In Recent Advances in Infrared Spectroscopy and Its Applications in Biotechnology; IntechOpen: London, UK, 2024. [Google Scholar] [CrossRef]
- Azeez, S.; Shenbagaraman, R. Fourier Transform Infrared Spectroscopy in Characterization of Bionanocomposites. In Characterization Techniques in Bionanocomposites: Advances, Challenges, and Applications; Woodhead Publishing: Cambridge, UK, 2025; pp. 209–227. [Google Scholar] [CrossRef]
- Pandey, A.; Bhawna; Dhingra, D.; Pandey, S. Hydrogen Bond Donor/Acceptor Cosolvent-Modified Choline Chloride-Based Deep Eutectic Solvents. J. Phys. Chem. B 2017, 121, 4202–4212. [Google Scholar] [CrossRef]
- Al-Akayleh, F.; Ali Agha, A.S.A.; Olaimat, A.R.; Qinna, N.A. Rationalizing Polysaccharide Extraction with Deep Eutectic Solvents: From Supramolecular Architecture to Emerging AI-Guided Solvent Design. Polysaccharides 2025, 6, 82. [Google Scholar] [CrossRef]
- Mikhaylova, Y.; Adam, G.; Häussler, L.; Eichhorn, K.J.; Voit, B. Temperature-Dependent FTIR Spectroscopic and Thermoanalytic Studies of Hydrogen Bonding of Hydroxyl (Phenolic Group) Terminated Hyperbranched Aromatic Polyesters. J. Mol. Struct. 2006, 788, 80–88. [Google Scholar] [CrossRef]
- Ţucureanu, V.; Matei, A.; Avram, A.M. FTIR Spectroscopy for Carbon Family Study. Crit. Rev. Anal. Chem. 2016, 46, 502–520. [Google Scholar] [CrossRef]
- Giridhar Reddy, S.; Thakur, A. Thermal Stability and Kinetics of Sodium Alginate and Lignosulphonic Acid Blends. Iran. J. Mater. Sci. Eng. 2018, 15, 53–59. [Google Scholar] [CrossRef]
- Soares, J.d.P.; Santos, J.E.; Chierice, G.O.; Cavalheiro, É.T.G. Thermal Behavior of Alginic Acid and Its Sodium Salt. Eclética Química 2004, 29, 57–63. [Google Scholar] [CrossRef]
- Flores-Hernández, C.G.; Cornejo-Villegas, M.d.l.A.; Moreno-Martell, A.; Del Real, A. Synthesis of a Biodegradable Polymer of Poly (Sodium Alginate/Ethyl Acrylate). Polymers 2021, 13, 504. [Google Scholar] [CrossRef]
- dos Santos Araújo, P.; Belini, G.B.; Mambrini, G.P.; Yamaji, F.M.; Waldman, W.R. Thermal Degradation of Calcium and Sodium Alginate: A Greener Synthesis towards Calcium Oxide Micro/Nanoparticles. Int. J. Biol. Macromol. 2019, 140, 749–760. [Google Scholar] [CrossRef] [PubMed]
- Said, A.A.; Abd El-Wahab, M.M.M.; Hassan, R.M. Thermal and Electrical Studies on Some Metal Alginate Compounds. Thermochim. Acta 1994, 233, 13–24. [Google Scholar] [CrossRef]
- Kim, J.W.; Lee, H.G. Thermal and Carbothermic Decomposition of Na2CO3 and Li2CO3. Metall. Mater. Trans. B 2001, 32, 17–24. [Google Scholar] [CrossRef]
- Cheng, J.; Wang, H.; Kang, S.; Xia, L.; Jiang, S.; Chen, M.; Jiang, S. An Active Packaging Film Based on Yam Starch with Eugenol and Its Application for Pork Preservation. Food Hydrocoll. 2019, 96, 546–554. [Google Scholar] [CrossRef]
- Zhai, X.; Han, J.; Chang, L.; Zhao, F.; Zhang, R.; Wang, W.; Hou, H. Effects of Starch Filling on Physicochemical Properties, Functional Activities, and Release Characteristics of PBAT-Based Biodegradable Active Films Loaded with Tea Polyphenols. Int. J. Biol. Macromol. 2024, 277, 134505. [Google Scholar] [CrossRef]
- Malektaj, H.; Drozdov, A.D.; deClaville Christiansen, J. Swelling of Homogeneous Alginate Gels with Multi-Stimuli Sensitivity. Int. J. Mol. Sci. 2023, 24, 5064. [Google Scholar] [CrossRef]
- Ayazi, D.; Zandi, M.; Ganjloo, A.; Dardmeh, N. Bilayer Bioactive Film Based on Sage Seed Gum-Pea Protein Isolate/Electrospun Zein Loaded with Cumin Essential Oil: Characterization, Biodegradability and Release Study. J. Food Meas. Charact. 2025, 19, 1482–1496. [Google Scholar] [CrossRef]
- Moe, S.T.; Skjåk-Bræk, G.; Elgsaeter, A.; Smidsrød, O. Swelling of Covalently Crosslinked Alginate Gels: Influence of Ionic Solutes and Nonpolar Solvents. Macromolecules 2002, 26, 3589–3597. [Google Scholar] [CrossRef]
- López De Dicastillo, C.; Nerín, C.; Alfaro, P.; Catalá, R.; Gavara, R.; Hernández-Muñoz, P. Development of New Antioxidant Active Packaging Films Based on Ethylene Vinyl Alcohol Copolymer (EVOH) and Green Tea Extract. J. Agric. Food Chem. 2011, 59, 7832–7840. [Google Scholar] [CrossRef]
- Silva, S.; Machado, M.; Coelho, M.; Costa, E.M.; Pintado, M. Insights into the Antimicrobial Potential of Acorn Extracts (Quercus ilex and Quercus suber). Appl. Sci. 2023, 13, 6820. [Google Scholar] [CrossRef]
- Gao, J.; Yang, Z.; Zhao, C.; Tang, X.; Jiang, Q.; Yin, Y. A Comprehensive Review on Natural Phenolic Compounds as Alternatives to In-Feed Antibiotics. Sci. China Life Sci. 2023, 66, 1518–1534. [Google Scholar] [CrossRef]
- Aydin, G.; Zorlu, E.B. Characterisation and Antibacterial Properties of Novel Biodegradable Films Based on Alginate and Roselle (Hibiscus sabdariffa L.) Extract. Waste Biomass Valorization 2022, 13, 2991–3002. [Google Scholar] [CrossRef]
- Kowalonek, J.; Hamieau, M.; Szydłowska-Czerniak, A. Influence of Different Deep Eutectic Solvents and Plant Extracts on Antioxidant, Mechanical, and Color Properties of Alginate Film. Polymers 2024, 16, 2084. [Google Scholar] [CrossRef] [PubMed]
- Bergonzi, C.; Bianchera, A.; Remaggi, G.; Ossiprandi, M.C.; Bettini, R.; Elviri, L. 3D Printed Chitosan/Alginate Hydrogels for the Controlled Release of Silver Sulfadiazine in Wound Healing Applications: Design, Characterization and Antimicrobial Activity. Micromachines 2023, 14, 137. [Google Scholar] [CrossRef] [PubMed]
- Pitterou, I.; Kalogeropoulou, F.; Tzani, A.; Tsiantas, K.; Gatou, M.A.; Pavlatou, E.; Batrinou, A.; Fountzoula, C.; Kriebardis, A.; Zoumpoulakis, P.; et al. Development of Alginate Hydrogels Incorporating Essential Oils Loaded in Chitosan Nanoparticles for Biomedical Applications. Molecules 2024, 29, 5318. [Google Scholar] [CrossRef] [PubMed]
- Pozharitskaya, O.N.; Obluchinskaya, E.D.; Shikova, V.A.; Flisyuk, E.V.; Vishnyakov, E.V.; Makarevich, E.V.; Shikov, A.N. Physicochemical and Antimicrobial Properties of Lactic Acid-Based Natural Deep Eutectic Solvents as a Function of Water Content. Appl. Sci. 2024, 14, 10409. [Google Scholar] [CrossRef]
- Bedair, H.M.; Samir, T.M.; Mansour, F.R. Antibacterial and Antifungal Activities of Natural Deep Eutectic Solvents. Applied Microbiol. Biotechnol. 2024, 108, 198. [Google Scholar] [CrossRef]







| Band [cm−1] | Group | Observation |
|---|---|---|
| 3600–3000 (max ~3300) | O-H stretching | Hydroxyl groups of alginate, NADES and polyphenols; hydrogen bonding |
| ~2920 (weak, shoulder) | C-H stretching | Aliphatic C–H vibrations of the alginate backbone |
| ~2850 (weak, shoulder) | C-H stretching | Symmetric C–H stretching |
| ~1600 | COO− asymmetric stretching | Asymmetric carboxylate stretching of alginate |
| ~1415 | COO− symmetric stretching | Symmetric carboxylate stretching of alginate |
| 1400–1200 | C-O/C-C vibrations | Alginate backbone vibrations |
| 1100–900 | C-O-C/C-O stretching | Glycosidic region of alginate |
| Medium | M∞ [%] | τ [h] | β | k = 1/τ [h−1] | t50 [h] | t90 [h] | R2 |
|---|---|---|---|---|---|---|---|
| 3% acetic acid | 69.77 | 0.029 | 0.195 | 34.094 | 0.004 | 2.094 | 0.915 |
| Water | 67.51 | 0.220 | 0.364 | 4.545 | 0.080 | 2.180 | 0.976 |
| 50% ethanol | 60.67 | 13.587 | 1.627 | 0.074 | 10.846 | 22.688 | 0.996 |
| 10% ethanol | 46.39 | 0.491 | 0.916 | 2.037 | 0.329 | 1.220 | 0.999 |
| Organisms | Diameter of Inhibition Zone (mm) | |||||
|---|---|---|---|---|---|---|
| Control | NADES | Extract | F-ALG | F-DES | F-EXT | |
| E. coli | 0.0 ± 0.0![]() | 17.37 ± 1.51![]() | 17.04 ± 0.67![]() | 0.0 ± 0.0![]() | 27.52± 2.87![]() | 24.16 ± 1.56![]() |
| P. aeruginosa | 0.0 ± 0.0![]() | 18.51 ± 0.93![]() | 19.44 ± 0.88![]() | 0.0 ± 0.0![]() | 29.43 ± 1.14![]() | 27.68 ± 1.14![]() |
| S. aureus | 0.0 ± 0.0![]() | 13.91 ± 0.97![]() | 14.54 ± 1.78![]() | 0.0 ± 0.0![]() | 25.68 ± 1.52![]() | 25.30 ± 0.53![]() |
Disclaimer/Publisher’s Note: The statements, opinions and data contained in all publications are solely those of the individual author(s) and contributor(s) and not of MDPI and/or the editor(s). MDPI and/or the editor(s) disclaim responsibility for any injury to people or property resulting from any ideas, methods, instructions or products referred to in the content. |
© 2026 by the authors. Licensee MDPI, Basel, Switzerland. This article is an open access article distributed under the terms and conditions of the Creative Commons Attribution (CC BY) license.
Share and Cite
Szopa, D.; Wróbel, P.; Zwolińska, J.; Anwar, H.; Kaniewski, M.; Witek-Krowiak, A. Influence of Deep Eutectic Solvents and Polyphenolic Extracts on the Structure and Functional Properties of Sodium Alginate Films. Polymers 2026, 18, 186. https://doi.org/10.3390/polym18020186
Szopa D, Wróbel P, Zwolińska J, Anwar H, Kaniewski M, Witek-Krowiak A. Influence of Deep Eutectic Solvents and Polyphenolic Extracts on the Structure and Functional Properties of Sodium Alginate Films. Polymers. 2026; 18(2):186. https://doi.org/10.3390/polym18020186
Chicago/Turabian StyleSzopa, Daniel, Paulina Wróbel, Julia Zwolińska, Hira Anwar, Maciej Kaniewski, and Anna Witek-Krowiak. 2026. "Influence of Deep Eutectic Solvents and Polyphenolic Extracts on the Structure and Functional Properties of Sodium Alginate Films" Polymers 18, no. 2: 186. https://doi.org/10.3390/polym18020186
APA StyleSzopa, D., Wróbel, P., Zwolińska, J., Anwar, H., Kaniewski, M., & Witek-Krowiak, A. (2026). Influence of Deep Eutectic Solvents and Polyphenolic Extracts on the Structure and Functional Properties of Sodium Alginate Films. Polymers, 18(2), 186. https://doi.org/10.3390/polym18020186



















