1-Butyl-3-methylimidazolium Mandelate: A Multifunctional Ionic Liquid with Enhanced Hydrogen Bonding, Thermal Stability, Antimicrobial Activity, and Extraction Capability
Abstract
1. Introduction
2. Results and Discussion
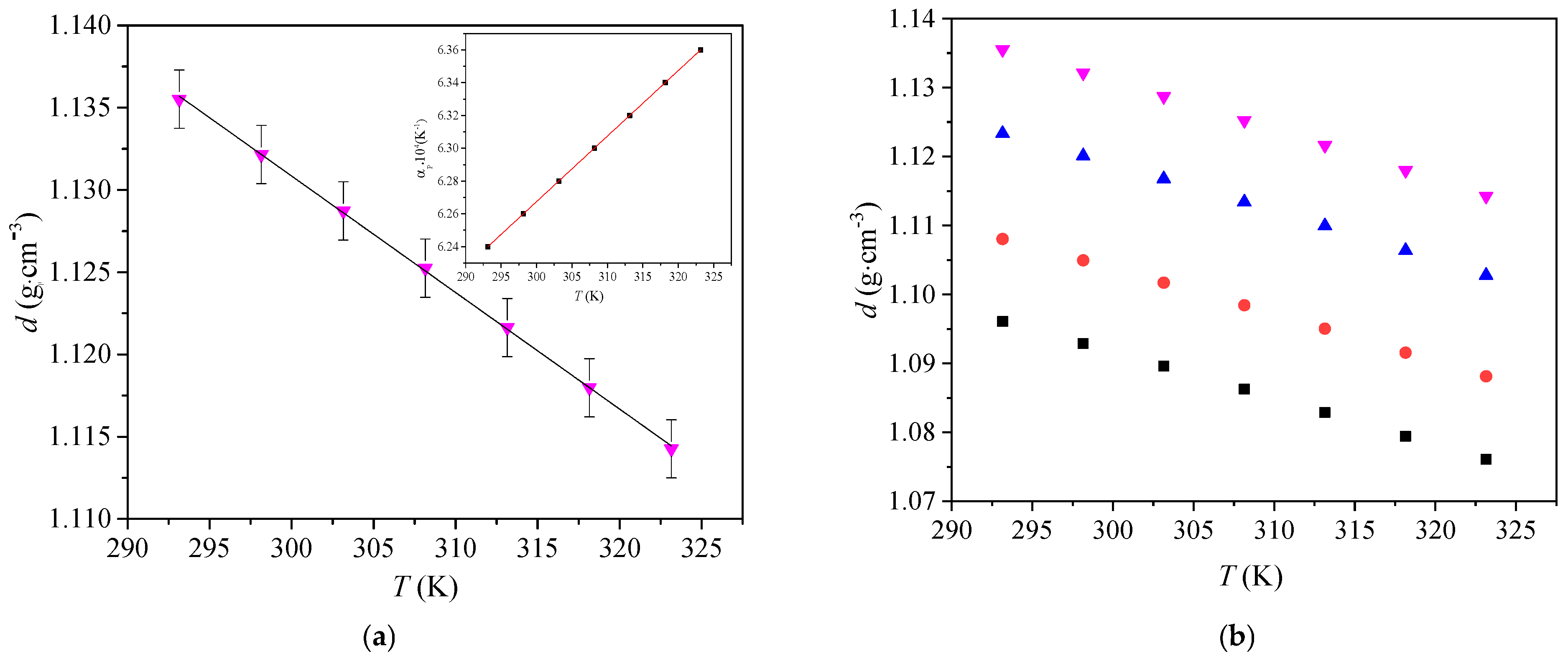
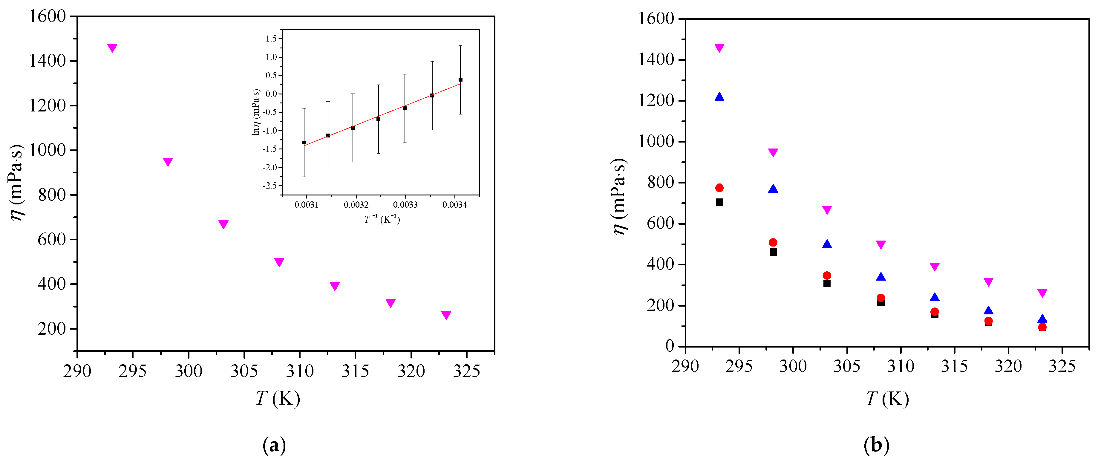
2.1. Experimental Density, Viscosity, and Conductivity of Pure Ionic Liquid
2.2. Antimicrobial Activity of [Bmim][Man]
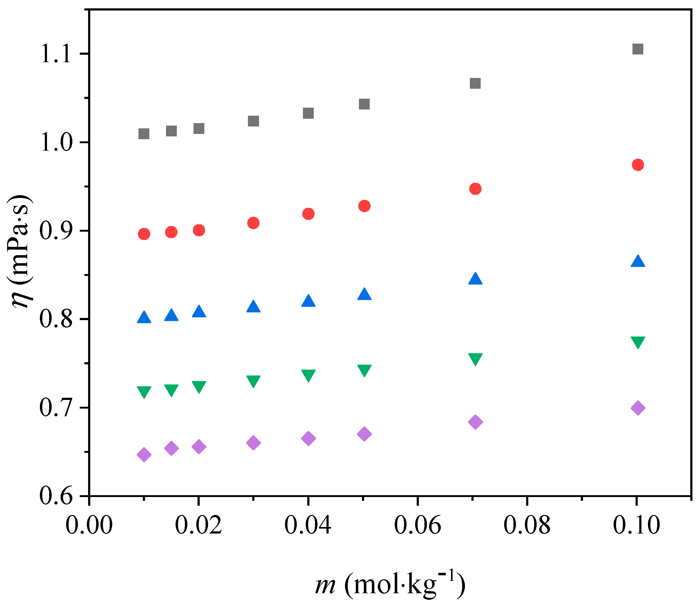
2.3. Viscosities of [Bmim][Man] Aqueous Solutions
2.4. Thermogravimetric Measurements
2.5. Extraction of the Studied Metal Ions Using ABS Based on [Bmim][Man]
3. Materials and Methods
3.1. Synthesis of 1-Butyl-3-methylimidazolium mandelate
3.2. Determination of the Physicochemical Properties of [Bmim][Man]
3.3. Viscosity Measurements of [Bmim][Man] Aqueous Solutions
3.4. Determination of the Antimicrobial Activity
3.5. ABS Preparation and Extraction Procedure
4. Conclusions
- The mandelate anion, with its aromatic ring, carboxylate, and hydroxyl group, imposes a profound influence on the IL’s properties. [Bmim][Man] exhibits the highest density and viscosity in its pure state among the compared ILs, a direct consequence of strong, directional hydrogen bonding leading to tight ion packing and restricted mobility. The high molar conductivity despite high viscosity suggests that these same H-bonding interactions may also promote a degree of ion dissociation, increasing the number of charge carriers.
- [Bmim][Man] demonstrated the highest thermal stability (Tₒₙₛₑₜ = 232.2 °C) in the series. This is attributed to the stabilizing effect of the mandelate anion, likely through a combination of electron delocalization across the aromatic system and intramolecular hydrogen bonding, which enhances its resistance to decomposition.
- The IL exhibits a strong tendency to self-aggregate in aqueous solution, as evidenced by the lowest Critical Aggregation Concentration (CAC = 0.01982 mol·dm−3) among its peers. This behavior is driven by the synergistic effect of π-π stacking between the aromatic rings and extensive intermolecular hydrogen bonding involving the hydroxyl and carboxylate groups.
- [Bmim][Man] displays significantly enhanced antibacterial activity against E. coli and P. aeruginosa compared to its individual ionic components ([Bmim][Cl] and NaMan), indicating a synergistic effect. It also shows moderate, specific antifungal activity against A. parasiticus. This makes it a promising candidate for applications requiring dual functionality as a tunable solvent and a bioactive agent.
- The preliminary results on metal extraction using [Bmim][Man]-based ABS show a selective partitioning behavior for different transition metals, highlighting its potential as a designer solvent in separation processes, which is directly correlated to the complexation strength of these metals with the mandelate anion.
Supplementary Materials
Author Contributions
Funding
Institutional Review Board Statement
Informed Consent Statement
Data Availability Statement
Conflicts of Interest
References
- Ahmed, M.; Rao, S.S.; Filippov, A.; Johansson, P.; Shah, F.U. Aromatic heterocyclic anion-based ionic liquids and electrolytes. Phys. Chem. Chem. Phys. 2023, 25, 3502–3512. [Google Scholar] [CrossRef]
- Hu, Y.; Xing, Y.; Yue, H.; Chen, T.; Diao, Y.; Wei, W.; Zhang, S. Ionic liquids revolutionizing biomedicine: Recent advances and emerging opportunities. Chem. Soc. Rev. 2023, 52, 7262–7293. [Google Scholar] [CrossRef] [PubMed]
- Sharma, P.; Sharma, S.; Kumar, H. Introduction to ionic liquids, applications and micellization behaviour in the presence of different additives. J. Mol. Liq. 2024, 393, 123447. [Google Scholar] [CrossRef]
- Kaur, G.; Kumar, H.; Singla, M. Diverse Applications of Ionic Liquids: A Comprehensive Review. J. Mol. Liq. 2022, 351, 118556. [Google Scholar] [CrossRef]
- Silva, W.; Zanatta, M.; Ferreira, A.S.; Corvo, M.C.; Cabrita, E. Revisiting ionic liquid structure–property relationship: A critical analysis. Int. J. Mol. Sci. 2020, 21, 7745. [Google Scholar] [CrossRef]
- Yang, Y.; Zhu, M. Poly(ionic liquid)s: An emerging platform for green chemistry. Green Chem. 2024, 26, 5022–5102. [Google Scholar] [CrossRef]
- Wojcieszak, M.; Syguda, A.; Lewandowska, A.; Marcinkowska, A.; Siwińska-Ciesielczyk, K.; Wilkowska, M.; Kozak, M.; Materna, K. Synthesis and Surface Properties of Piperidinium-Based Herbicidal Ionic Liquids as a Potential Tool for Weed Control. J. Agric. Food Chem. 2023, 71, 4550–4560. [Google Scholar] [CrossRef]
- Cakó Bagány, N.; Čapelja, E.; Kovačević, S.; Karaman, M.; Podunavac-Kuzmanović, S.; Gadžurić, S.; Belić, S. Experimental and In Silico Comparative Study of Physicochemical Properties and Antimicrobial Activity of Carboxylate Ionic Liquids. Molecules 2024, 29, 3668. [Google Scholar] [CrossRef]
- Panja, S.K.; Kumar, S.; Haddad, B.; Patel, A.R.; Villemin, D.; Amine, H.-M.; Bera, S.; Debdab, M. Role of Multiple Intermolecular H-Bonding Interactions in Molecular Cluster of Hydroxyl-Functionalized Imidazolium Ionic Liquid: An Experimental, Topological, and Molecular Dynamics Study. Phys. Chem. 2024, 4, 369–388. [Google Scholar] [CrossRef]
- Pei, H.-W.; Li, B.; Laaksonen, A.; Wang, Y.-L. How Molecular Chiralities of Bis(mandelato)borate Anions Affect Their Binding Structures with Alkali Metal Ions and Microstructural Properties in Tetraalkylphosphonium Ionic Liquids. Front. Chem. 2020, 8, 65. [Google Scholar] [CrossRef]
- Świsłocka, R.; Świderski, G.; Nasiłowska, J.; Sokołowska, B.; Wojtczak, A.; Lewandowski, W. Research on the Electron Structure and Antimicrobial Properties of Mandelic Acid and Its Alkali Metal Salts. Int. J. Mol. Sci. 2023, 24, 3078. [Google Scholar] [CrossRef]
- Prydderch, H.; Haiß, A.; Spulak, M.; Quilty, B.; Kümmerer, K.; Heise, A.; Gathergood, N. Mandelic acid derived ionic liquids: Synthesis, toxicity and biodegradability. RSC Adv. 2017, 7, 2115–2126. [Google Scholar] [CrossRef]
- Gong, J.; Liang, C.; Majeed, Z.; Tian, M.; Zhao, C.; Luo, M.; Li, C. Advances of Imidazolium Ionic Liquids for the Extraction of Phytochemicals from Plants. Separations 2023, 10, 151. [Google Scholar] [CrossRef]
- Vicente, F.A.; Urbančič, V.; Likozar, B.; Simões, P.N.; Pereira, J.F.B. Aqueous biphasic systems as a key tool for food processing. Curr. Opin. Food Sci. 2023, 50, 100991. [Google Scholar] [CrossRef]
- Carreira, A.R.F.; Passos, H.; Schaeffer, N.; Svecova, L.; Papaiconomou, N.; Billard, I.; Coutinho, J.A.P. Factors driving metal partition in ionic liquid-based acidic aqueous biphasic systems. Sep. Pur. Technol. 2022, 299, 121720. [Google Scholar] [CrossRef]
- Trtić-Petrović, T.; Dimitrijević, A.; Zdolšek, N.; Đorđević, J.; Tot, A.; Vraneš, M.; Gadžurić, S. New sample preparation method based on task-specific ionic liquids for the extraction and determination of copper in urine and wastewater. Anal. Bioanal. Chem. 2018, 410, 155. [Google Scholar] [CrossRef]
- Pirkwieser, P.; López-López, J.A.; Kandioller, W.; Keppler, B.K.; Moreno, C.; Jirsa, F. Novel 3-Hydroxy-2-Naphthoate-Based Task-Specific Ionic Liquids for an Efficient Extraction of Heavy Metals. Front. Chem. 2018, 6, 172. [Google Scholar] [CrossRef]
- Wong, L.W.-Y.; Kan, J.W.-H.; Chan, T.H. Bis(mandelato)borate: An effective, inexpensive spiroborate anion for chiral resolution. Chem. Commun. 2015, 51, 15760–15763. [Google Scholar] [CrossRef][Green Version]
- Cakó Bagány, N.; Šarac, B.; Belić, S.; Cerc-Korošec, R.; Bešter-Rogač, M.; Gadžurić, S. Influence of aromatic anions on the viscosity of aqueous solutions and the thermal stability of 1-butyl-3-methylimidazolium-based ionic liquids. J. Mol. Liq. 2025, 437, 128424–128442. [Google Scholar] [CrossRef]
- Cakó Bagány, N.; Karadžić Banjac, M.; Podunavac-Kuzmanović, S.; Belić, S.; Gadžurić, S. Decoding carboxylate-based ionic liquids: Investigating solvation, aggregation, and lipophilicity in aqueous solutions. J. Mol. Liq. 2025, 437, 128545–128573. [Google Scholar] [CrossRef]
- Freire, M.G.; Cláudio, A.F.M.; Araújo, J.M.M.; Coutinho, J.A.P.; Marrucho, I.M.; Canongia Lopes, J.N.; Rebelo, L.P.N. Aqueous biphasic systems: A boost brought about by using ionic liquids. Chem. Soc. Rev. 2012, 41, 4966–4995. [Google Scholar] [CrossRef]











| Bacteria | Fungi | |||||||||
|---|---|---|---|---|---|---|---|---|---|---|
| E. coli | P. aeruginosa | P. verrucosum | A. flavus | A. parasiticus | ||||||
| c (mmol·L−1) | MIC | MBC | MIC | MBC | MIC | MFC | MIC | MFC | MIC | MFC |
| [Bmim][Cl] | 56.3 | 112.6 | 112.6 | 450.4 | 900 | 900 | >900 | 900 | >900 | 900 |
| NaMan | 450.4 | 450.4 | 450.4 | 450.4 | 900 | 900 | >900 | >900 | >900 | >900 |
| [Bmim][Man] | 28.1 | 112.6 | 14.1 | 56.3 | 900 | hell900 | >900 | >900 | 450.4 | 450.4 |
Disclaimer/Publisher’s Note: The statements, opinions and data contained in all publications are solely those of the individual author(s) and contributor(s) and not of MDPI and/or the editor(s). MDPI and/or the editor(s) disclaim responsibility for any injury to people or property resulting from any ideas, methods, instructions or products referred to in the content. |
© 2025 by the authors. Licensee MDPI, Basel, Switzerland. This article is an open access article distributed under the terms and conditions of the Creative Commons Attribution (CC BY) license (https://creativecommons.org/licenses/by/4.0/).
Share and Cite
Cakó Bagány, N.; Čapelja, E.; Belić, S.; Lazarević, D.; Jovanović, J.; Trtić-Petrović, T.; Gadžurić, S. 1-Butyl-3-methylimidazolium Mandelate: A Multifunctional Ionic Liquid with Enhanced Hydrogen Bonding, Thermal Stability, Antimicrobial Activity, and Extraction Capability. Molecules 2025, 30, 4824. https://doi.org/10.3390/molecules30244824
Cakó Bagány N, Čapelja E, Belić S, Lazarević D, Jovanović J, Trtić-Petrović T, Gadžurić S. 1-Butyl-3-methylimidazolium Mandelate: A Multifunctional Ionic Liquid with Enhanced Hydrogen Bonding, Thermal Stability, Antimicrobial Activity, and Extraction Capability. Molecules. 2025; 30(24):4824. https://doi.org/10.3390/molecules30244824
Chicago/Turabian StyleCakó Bagány, Nikolett, Eleonora Čapelja, Sanja Belić, Dajana Lazarević, Jelena Jovanović, Tatjana Trtić-Petrović, and Slobodan Gadžurić. 2025. "1-Butyl-3-methylimidazolium Mandelate: A Multifunctional Ionic Liquid with Enhanced Hydrogen Bonding, Thermal Stability, Antimicrobial Activity, and Extraction Capability" Molecules 30, no. 24: 4824. https://doi.org/10.3390/molecules30244824
APA StyleCakó Bagány, N., Čapelja, E., Belić, S., Lazarević, D., Jovanović, J., Trtić-Petrović, T., & Gadžurić, S. (2025). 1-Butyl-3-methylimidazolium Mandelate: A Multifunctional Ionic Liquid with Enhanced Hydrogen Bonding, Thermal Stability, Antimicrobial Activity, and Extraction Capability. Molecules, 30(24), 4824. https://doi.org/10.3390/molecules30244824

