Sign in to use this feature.

Years

Between: -

Subjects

remove_circle_outline
remove_circle_outline
remove_circle_outline
remove_circle_outline
remove_circle_outline
remove_circle_outline
remove_circle_outline
remove_circle_outline
remove_circle_outline

Journals

Article Types

Countries / Regions

remove_circle_outline
remove_circle_outline
remove_circle_outline
remove_circle_outline

Search Results (281)

Search Parameters:
Keywords = CNT distribution

Order results
Result details
Results per page
Select all
Export citation of selected articles as:
27 pages, 7931 KB  
Review
Carbon Nanotube-Reinforced Titanium Matrix Composites for Additive Manufacturing: Progress in Fabrication Methods and Strengthening Mechanisms
by Xingna Cheng, Shihao Liu, Zhijun Zheng and Zhongchen Lu
Metals 2026, 16(4), 369; https://doi.org/10.3390/met16040369 - 27 Mar 2026
Viewed by 623
Abstract
Titanium matrix composites reinforced with carbon nanotubes (CNTs) have attracted significant attention due to their potential to overcome the inherent limitations of titanium alloys in hardness, wear resistance, and strength–toughness balance. With the rapid development of additive manufacturing (AM) technologies, the integration of [...] Read more.
Titanium matrix composites reinforced with carbon nanotubes (CNTs) have attracted significant attention due to their potential to overcome the inherent limitations of titanium alloys in hardness, wear resistance, and strength–toughness balance. With the rapid development of additive manufacturing (AM) technologies, the integration of CNT reinforcements into titanium matrices provides new opportunities for fabricating high-performance lightweight components. This review systematically summarizes recent progress in the preparation and application of CNT-reinforced titanium matrix composites for AM. Key powder preparation strategies, including mechanical mixing, chemical coating, and in situ growth methods, are critically compared in terms of CNT dispersion uniformity, structural integrity preservation, powder flowability, and process compatibility. The influence of CNT incorporation on AM behavior and final material performance is discussed, with particular emphasis on multiscale strengthening mechanisms such as enhanced laser absorption, load transfer effects, grain refinement, and dispersion strengthening induced by TiC formation. Current challenges mainly involve achieving homogeneous CNT distribution, controlling interfacial reactions, and balancing dispersion efficiency with structural damage. Future research directions are proposed, focusing on advanced powder engineering techniques, interface regulation strategies, and deeper understanding of the relationships between processing parameters, microstructure evolution, and mechanical properties. This work provides a comprehensive reference for the design and fabrication of next-generation CNT-reinforced titanium-based materials. Full article
(This article belongs to the Special Issue Recent Advances in Powder-Based Additive Manufacturing of Metals)
Show Figures

Figure 1

15 pages, 939 KB  
Review
Reproducibility in Carbon Nanotube-Based Hydrogels: The Role of CNT Material State and Reporting
by Elsa Gabriela Ordoñez-Casanova, Rosa Alicia Saucedo-Acuña, Karla Lizette Tovar-Carrillo and Hector Alejandro Trejo-Mandujano
Gels 2026, 12(4), 273; https://doi.org/10.3390/gels12040273 - 26 Mar 2026
Viewed by 432
Abstract
Carbon nanotube (CNT)-based hydrogels continue to present a persistent challenge of material comparability, as systems that appear equivalent frequently generate different mechanical, electrical, and biological responses. Although experimental variability is frequently cited as the primary explanation, many discrepancies arise from comparing systems whose [...] Read more.
Carbon nanotube (CNT)-based hydrogels continue to present a persistent challenge of material comparability, as systems that appear equivalent frequently generate different mechanical, electrical, and biological responses. Although experimental variability is frequently cited as the primary explanation, many discrepancies arise from comparing systems whose nanotubes differ structurally in ways that are rarely documented. Diameter distribution, defect density, residual catalyst content, and surface chemistry directly influence CNT dispersion, network integration, and interactions in hydrated polymer matrices. When these parameters are insufficiently reported, formulations that appear comparable may represent materially distinct systems. In this review, the CNT–hydrogel literature is reconsidered from the perspective of material comparability. Rather than focusing only on whether reported results agree across studies, this review evaluates whether sufficient structural and processing information is available to determine if the systems being compared are materially equivalent. Selected publications were analyzed using a reporting-based descriptor framework encompassing nanotube origin, structural characterization, dispersion, microstructure, transport behavior, and biological relationships. A consistent pattern emerges: reproducibility becomes more interpretable when nanotube identity and processing history are documented with sufficient resolution. This enables meaningful cross-study comparison without requiring strict protocol standardization. Full article
(This article belongs to the Special Issue Advanced Functional Gels: Design, Properties, and Applications)
Show Figures

Graphical abstract

19 pages, 7779 KB  
Article
An Analytical Modeling Study on the Thermal Behavior of Copper–Carbon Nanotube Composite Through-Silicon Via (TSV)
by Kai Ying and Jie Liang
Nanomaterials 2026, 16(6), 377; https://doi.org/10.3390/nano16060377 - 21 Mar 2026
Viewed by 367
Abstract
In this study, the Monte Carlo (MC) method is employed to generate the diameter and relative positional distributions of carbon nanotubes (CNTs). Based on this, we develop a three-layer thermal model for a copper-carbon nanotube (Cu-CNT) through-silicon via (TSV). By integrating Gauss–Hermite quadrature [...] Read more.
In this study, the Monte Carlo (MC) method is employed to generate the diameter and relative positional distributions of carbon nanotubes (CNTs). Based on this, we develop a three-layer thermal model for a copper-carbon nanotube (Cu-CNT) through-silicon via (TSV). By integrating Gauss–Hermite quadrature with the Law of Large Numbers (LLN), an analytical expression for thermal conductivity is derived, enabling efficient and accurate estimation of the thermal conductivity of Cu-CNT-filled TSV. Contrary to expectations, the thermal conductivity of TSV does not increase significantly with CNT volume fraction, primarily due to the interfacial thermal resistance at Cu-CNT and CNT-CNT junctions. Through calibration against previously reported experimental data, the effective Cu-CNT interfacial thermal resistance is estimated to be on the order of 10−7 m2K/W. Comparison with previously reported effective thermal conductivity data of Cu-CNT composites shows that the model maintains an error below 2% when the CNT volume fraction is below 10%. The model is therefore most suitable for low CNT volume fractions, where the assumed spatial distribution and structural simplifications remain physically valid. Furthermore, this study investigates the influence of TSV length on thermal performance, predicts the variation in thermal conductivity of Cu-CNT composites under different volume fractions, and the extracted thermal conductivity values are further used as material inputs for device-level electro-thermal COMSOL 6.1 simulations. Full article
(This article belongs to the Section Nanocomposite Materials)
Show Figures

Figure 1

24 pages, 6198 KB  
Article
Structure–Property Relationships of CNT–Al2O3 Nano-Reinforced Al 6061 Matrix
by Beatriz Monteiro, Aida B. Moreira and Sónia Simões
Metals 2026, 16(3), 287; https://doi.org/10.3390/met16030287 - 3 Mar 2026
Viewed by 370
Abstract
Hybrid nanocomposites based on Aluminum 6061 (Al 6061) reinforced with carbon nanotubes (CNTs) and aluminum oxide (Al2O3) emerge as promising materials due to their ability to achieve simultaneous improvements in strength, thermal stability, and tribological performance. This study examines [...] Read more.
Hybrid nanocomposites based on Aluminum 6061 (Al 6061) reinforced with carbon nanotubes (CNTs) and aluminum oxide (Al2O3) emerge as promising materials due to their ability to achieve simultaneous improvements in strength, thermal stability, and tribological performance. This study examines the structure–property relationships of CNT–Al2O3 nano-reinforced hybrid Al 6061, with particular emphasis on microstructural evolution and mechanical properties. The nanocomposites are fabricated via a powder metallurgy route, which enables optimized dispersion and homogeneous distribution of CNTs and Al2O3 within the aluminum matrix. Microstructural characteristics, interfacial bonding, and grain refinement are systematically analyzed using scanning electron microscopy (SEM) and electron backscatter diffraction (EBSD). Mechanical characterization demonstrates a marked enhancement in mechanical properties compared to Al 6061. The observed property improvements are attributed to synergistic strengthening mechanisms, including effective load transfer from the matrix to Al2O3 particles, CNT-induced grain refinement, and increased resistance to dislocation motion. These results establish a direct correlation between microstructural features and mechanical performance, highlighting the potential of CNT–Al2O3 reinforced Al 6061 hybrid nanocomposites for lightweight, high-strength applications in aerospace, automotive, and structural engineering industries. Full article
(This article belongs to the Special Issue Microstructure and Characterization of Metal Matrix Composites)
Show Figures

Figure 1

22 pages, 4131 KB  
Article
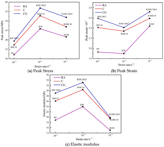
Uniaxial Dynamic Compressive Mechanical Properties of Alkali-Activated Recycled Aggregate Concrete Modified by Single and Combined Incorporation of CNTs/GO
by Chunyang Liu, Xinyue Yang, Yali Gu and Ya Ge
Buildings 2026, 16(5), 918; https://doi.org/10.3390/buildings16050918 - 26 Feb 2026
Cited by 1 | Viewed by 356
Abstract
To investigate the synergistic reinforcement mechanism of single and combined incorporation of carbon nanotubes (CNTs) and graphene oxide (GO) on the dynamic mechanical properties of alkali-activated recycled aggregate concrete (AARAC), 81 cylindrical specimens were designed with varying dimensions, recycled coarse aggregate (RCA) replacement [...] Read more.
To investigate the synergistic reinforcement mechanism of single and combined incorporation of carbon nanotubes (CNTs) and graphene oxide (GO) on the dynamic mechanical properties of alkali-activated recycled aggregate concrete (AARAC), 81 cylindrical specimens were designed with varying dimensions, recycled coarse aggregate (RCA) replacement ratios, and single/combined nanomaterial incorporation schemes. Uniaxial compression tests were conducted to obtain the stress–strain curves of AARAC under different strain rates (10−5 s−1, 10−3 s−1, and 10−1 s−1), and a dynamic constitutive model for AARAC was established. The results indicate that under static conditions (strain rates of 10−5 s−1 and 10−3 s−1), the coupling law between the RCA replacement ratio and nanomaterial dosage is determined by the balance between the defect degree of recycled aggregates and the improvement effect of nanomaterials. Specifically, at a 50% RCA replacement ratio, the single incorporation of 0.1% CNTs can enhance the mechanical properties of AARAC; at a 100% RCA replacement ratio, the synergistic effect of the combined incorporation of 0.1% CNTs and 0.05% GO can mitigate the defects of fully recycled aggregates. In contrast, under dynamic conditions (strain rate of 10−1 s−1), Nanomaterials (CNTs and GO) optimize load transfer efficiency and slow down the process of crack propagation, leading to a much greater improvement in the mechanical properties of AARAC compared to static conditions, with the combined incorporation achieving better performance at a 100% RCA replacement ratio. As the specimen size increases from 75 mm to 150 mm, the increase in static peak strain is relatively small, which is attributed to the more uniform deformation distribution and stronger deformation coordination capability of larger specimens under static loading. Under dynamic loading, the influence law of peak strain and elastic modulus is consistent with that of peak stress. Based on these findings, a dynamic constitutive model for AARAC modified by single and combined incorporation of CNTs/GO was established. The predicted curves of the model are in good agreement with the experimental curves, with an error range of 2.3–7.1%, which can well describe the constitutive relationship of the tested material. Full article
(This article belongs to the Section Building Materials, and Repair & Renovation)
Show Figures

Figure 1

19 pages, 3699 KB  
Article
Study of a Polymer Composite with Carbon Nanotubes and a Mixed Filler Using a Composite Piezoelectric Oscillator at a Frequency of 100 kHz
by Vladimir V. Kaminskii, Alexandr V. Shchegolkov, Dmitrii A. Kalganov, Dmitrii I. Panov, Maksim V. Dorogov and Aleksei V. Shchegolkov
J. Compos. Sci. 2026, 10(2), 87; https://doi.org/10.3390/jcs10020087 - 6 Feb 2026
Viewed by 493
Abstract
This article presents an investigation of the thermomechanical properties of silicone elastomer-based polymer composites modified with carbon nanotubes (CNTs) and mixed fillers (CNTs, bronze, graphite). The primary technique employed was the composite piezoelectric oscillator (CPO) method at approximately 100 kHz. This approach enabled [...] Read more.
This article presents an investigation of the thermomechanical properties of silicone elastomer-based polymer composites modified with carbon nanotubes (CNTs) and mixed fillers (CNTs, bronze, graphite). The primary technique employed was the composite piezoelectric oscillator (CPO) method at approximately 100 kHz. This approach enabled precise measurements of the polymers’ forced oscillation frequency and logarithmic damping decrement (internal friction) across a wide temperature range (80–300 K). The application of this method is novel for this specific class of materials. Scanning electron microscopy confirmed the uniform distribution of the fillers within the polymer matrix. Differential scanning calorimetry (DSC) showed that the fillers modify the thermal stability of the composite. The systematic decrease in the enthalpy of the endothermic decomposition peak suggests a retardation of degradation kinetics, most likely due to a barrier effect of the filler network. Electrical measurements revealed a distinct contrast: the hybrid composite exhibited a frequency-independent conductivity plateau (~1.8 × 10−1 S/m), confirming a robust percolating network, unlike the strong frequency dependence observed for the CNT-only composite. Research shows that the fillers effectively suppress relaxation processes linked to crystallization (205–215 K) and glass transition (165–170 K), as evidenced by a significant reduction in the amplitude of the corresponding internal friction peaks. The most pronounced effect was observed in the composite with mixed fillers, attributable to a synergistic effect between constituents. Furthermore, amplitude-dependent internal friction was found to occur predominantly below the glass transition temperature. The primary objective of the present study is to investigate the dynamic mechanical and damping behavior of CNT-filled silicone composites with mixed fillers under high-frequency loading, using the CPO method. These findings demonstrate the potential for tailoring the stiffness and damping characteristics of these composites for advanced applications in soft robotics and portable electronics. Full article
Show Figures

Figure 1

13 pages, 2867 KB  
Article
Facile Fabrication of Moderate Sensitivity SERS Substrate Using Cu-Plasma Polymer Fluorocarbon Nanocomposite Thin Film
by Sejin Cho, Sung Hyun Kim, Joowon Lee and Sang-Jin Lee
Coatings 2026, 16(1), 108; https://doi.org/10.3390/coatings16010108 - 13 Jan 2026
Viewed by 611
Abstract
Herein, we propose a simple and cost-effective method for fabricating moderate-sensitivity surface-enhanced Raman scattering (SERS) substrates using Cu-plasma polymer fluorocarbon (Cu-PPFC) nanocomposite films fabricated through RF sputtering. The use of a composite target composed of carbon nanotube (CNT), Cu, and polytetrafluoroethylene (PTFE) powders [...] Read more.
Herein, we propose a simple and cost-effective method for fabricating moderate-sensitivity surface-enhanced Raman scattering (SERS) substrates using Cu-plasma polymer fluorocarbon (Cu-PPFC) nanocomposite films fabricated through RF sputtering. The use of a composite target composed of carbon nanotube (CNT), Cu, and polytetrafluoroethylene (PTFE) powders (5:60–80:35–15 wt%) offers the advantage of the simple fabrication of moderate-sensitivity SERS substrates with a single cathode compared to co-sputtering. X-ray photoelectron spectroscopy (XPS) revealed that the film surface was partially composed of metallic Cu with Cu-F bonds and Cu–O bonds, confirming the coexistence of the conducting and plasmon-active domains. UV-VIS spectroscopy revealed a distinct absorption peak at approximately 680 nm, indicating the excitation of localized surface plasmon resonances in the Cu nanoclusters embedded in the plasma polymer fluorocarbon (PPFC) matrix. Atomic force microscopy and grazing incidence small-angle X-ray scattering analyses confirmed that the Cu nanoparticles were uniformly distributed with interparticle distances of 20–35 nm. The Cu-PPFC nanocomposite film with the highest Cu content (80 wt%) exhibited a Raman enhancement factor of 2.18 × 104 for rhodamine 6G, demonstrating its potential as a moderate-sensitivity SERS substrate. Finite-difference time-domain (FDTD) simulations confirmed the strong electromagnetic field localization at the Cu-Cu nanogaps separated by the PPFC matrix, corroborating the experimentally observed SERS enhancement. These results suggest that a Cu-PPFC nanocomposite film, easily fabricated using a composite target, provides an efficient and scalable route for fabricating reproducible, inexpensive, and moderate-sensitivity SERS substrates suitable for practical sensing applications. Full article
(This article belongs to the Special Issue Advanced Optical Film Coating)
Show Figures

Figure 1

52 pages, 5391 KB  
Review
Graphene/CNT Nanocomposites: Processing, Properties, and Applications
by Sachin Kumar Sharma, Slavica Miladinović, Lokesh Kumar Sharma, Sandra Gajević, Yogesh Sharma, Mohit Sharma, Stefan Čukić and Blaža Stojanović
Nanomaterials 2026, 16(2), 100; https://doi.org/10.3390/nano16020100 - 12 Jan 2026
Cited by 4 | Viewed by 1829
Abstract
Carbon nanotube (CNT) and graphene-reinforced nanocomposites have become exceptional multifunctional materials because of their exceptional mechanical, thermal, and electrical properties. Recent developments in synthesis methods, dispersion strategies, and interfacial engineering have effectively overcome agglomeration-related limitations by significantly improving filler distribution, matrix compatibility, and [...] Read more.
Carbon nanotube (CNT) and graphene-reinforced nanocomposites have become exceptional multifunctional materials because of their exceptional mechanical, thermal, and electrical properties. Recent developments in synthesis methods, dispersion strategies, and interfacial engineering have effectively overcome agglomeration-related limitations by significantly improving filler distribution, matrix compatibility, and load-transfer efficiency. These nanocomposites have better wear durability, corrosion resistance, and surface properties like super-hydrophobicity. A comparative analysis of polymer, metal, and ceramic matrices finds benefits for applications in biomedical, construction, energy, defense, and aeronautics. Functionally graded architecture, energy-harvesting nanogenerators, and additive manufacturing are some of the new fabrication processes that enhance design flexibility and functional integration. In recent years, scalability, life-cycle evaluation, and environmentally friendly processing have all gained increased attention. The development of next-generation, high-performance graphene and carbon nanotube (CNT)-based nanocomposites is critically reviewed in this work, along with significant obstacles and potential next steps. Full article
(This article belongs to the Section 2D and Carbon Nanomaterials)
Show Figures

Figure 1

11 pages, 1792 KB  
Article
Theoretical Study of Ultra-Fast Laser Lift-Off of Carbon Nanotube-Integrated Polyimide Films
by Run Bai, Yachong Xu, Junwei Fu, Zhenzhen Sun, Yanbo Wang, Rui Yang, Zijuan Han, Fanfan Wang and Boyuan Cai
Nanomaterials 2026, 16(1), 1; https://doi.org/10.3390/nano16010001 - 19 Dec 2025
Cited by 1 | Viewed by 576
Abstract
In this paper, ultra-fast laser lift-off (LLO) of carbon nanotube (CNT)-integrated polyimide film (PI) was investigated by different laser burst mode and pulse intervals using the two-temperature model. By comparing the temperature field distributions of nanosecond, picosecond, and femtosecond lasers at different pulse [...] Read more.
In this paper, ultra-fast laser lift-off (LLO) of carbon nanotube (CNT)-integrated polyimide film (PI) was investigated by different laser burst mode and pulse intervals using the two-temperature model. By comparing the temperature field distributions of nanosecond, picosecond, and femtosecond lasers at different pulse intervals, it can be found that picosecond lasers cause a higher lattice temperature increase at the PI interface with specific pulse interval conditions. With the increase in the pulse interval, the lattice temperature of the three kinds of lasers decreased, indicating that the heat accumulation effect was weakened. In addition, under picosecond laser irradiation, the lattice temperature at the PI/glass interface of integrated CNTs could be significantly increased, which was significantly different from the system without integrated CNTs. The simulation results show that the picosecond laser is more suitable for LLO with an appropriate pulse interval, and the integration of CNTs at the PI/glass interface can effectively reduce the laser energy threshold required for the LLO process. Our work presents a new PI/CNT/glass model for ultra-fast laser low-threshold LLO and promotes the laser debonding technology in the fields of OLED and other optoelectronic chips. Full article
(This article belongs to the Special Issue Nano-Optics and Nanophotonics)
Show Figures

Figure 1

11 pages, 2292 KB  
Proceeding Paper
Development and Application of Self-Sensing Materials for Structural Health Monitoring of Civil Engineering Infrastructures
by Rosa Penna, Annavirginia Lambiase, Gerarda Landi, Giuseppe Lovisi and Luciano Feo
Eng. Proc. 2025, 112(1), 16; https://doi.org/10.3390/engproc2025112016 - 14 Oct 2025
Cited by 1 | Viewed by 1350
Abstract
This study examines advanced cementitious composites incorporating Multi-Walled Carbon Nanotubes (MWCNTs), combining experimental investigations and analytical modeling for enhanced Structural Health Monitoring (SHM) applications. The experimental phase assessed the electrical properties of specimens with varying MWCNT contents, identifying a percolation zone between 0.05 [...] Read more.
This study examines advanced cementitious composites incorporating Multi-Walled Carbon Nanotubes (MWCNTs), combining experimental investigations and analytical modeling for enhanced Structural Health Monitoring (SHM) applications. The experimental phase assessed the electrical properties of specimens with varying MWCNT contents, identifying a percolation zone between 0.05 wt% and 0.5 wt%. A dispersion protocol using ultrasonic agitation and a surfactant ensured the uniform distribution of CNTs. Furthermore, a novel micromechanical model, based on established polymer matrix approaches, was used to predict electrical conductivity behavior, accounting for nanotube geometry, concentration, waviness, and tunneling effects. Model predictions confirmed its effectiveness in analyzing structure–property relationships in CNT-based cementitious materials. Full article
Show Figures

Figure 1

18 pages, 5271 KB  
Article
Enhancement of Photocatalytic and Anticancer Properties in Y2O3 Nanocomposites Embedded in Reduced Graphene Oxide and Carbon Nanotubes
by ZabnAllah M. Alaizeri, Syed Mansoor Ali and Hisham A. Alhadlaq
Catalysts 2025, 15(10), 960; https://doi.org/10.3390/catal15100960 - 6 Oct 2025
Cited by 1 | Viewed by 1257
Abstract
Due to their excellent physicochemical properties, the nanoparticles (NPs) have been utilized in various potential applications, including environmental remediation, energy storage, and nanomedicine. In this work, the ultrasonic and manual stirring approaches were used to integrate yttrium oxide (Y2O3) [...] Read more.
Due to their excellent physicochemical properties, the nanoparticles (NPs) have been utilized in various potential applications, including environmental remediation, energy storage, and nanomedicine. In this work, the ultrasonic and manual stirring approaches were used to integrate yttrium oxide (Y2O3) nanoparticles (NPs) into reduced graphene oxide (RGO) and carbon nanotubes (CNTs) to enhance their photocatalytic and anticancer properties. Pure Y2O3NPs, Y2O3/RGO NCs, and Y2O3/CNTs NCs were characterized using different analytical techniques, such as XRD, SEM, EDX with Elemental Mapping, FTIR, UV-Vis, PL, and DLS to investigate their improved structural, surface morphological, chemical bonding, optical, and surface charge properties. XRD data confirmed the successful integration of Y2O3into RGO and CNTs, with minor changes in crystallite sizes. SEM images with EDX analysis revealed that Y2O3NPs were uniformly distributed on RGO and CNTs, reducing aggregation. Chemical bonding and interactions between Y2O3and carbon materials were investigated using Fourier Transform Infrared (FTIR) analysis. UV and PL results suggest that the optical studies showed a shift in absorption peaks upon integration with RGO and CNTs. This indicates enhanced light absorption and modifications to the band gap between (3.79–4.40 eV) for the obtained samples. In the photocatalytic experiment, the degradation efficiency of bromophenol blue (BPB) dye for Y2O3RGO NCs was up to 87.3%, outperforming pure Y2O3NPs (45.83%) and Y2O3/CNTs NCs (66.78%) after 120 min of UV irradiation. Additionally, the MTT assay demonstrated that Y2O3/RGO NCs exhibited the highest anticancer activity against MG-63 bone cancer cells with an IC50 value of 45.7 µg/mL compared to Y2O3CNTs NCs and pure Y2O3NPs. This work highlights that Y2O3/RGO NCs could be used in significant applications, including environmental remediation and in vivo cancer therapy studies. Full article
Show Figures

Figure 1

19 pages, 4701 KB  
Article
Finite Element Analysis and Experimental Investigation on the Machinability of PMMA/CNT Composites via Nanosectioning
by Guoyu Fu, Jia Ge, Hao Li, Fengzhen Sun and Weizhou Wu
Polymers 2025, 17(18), 2441; https://doi.org/10.3390/polym17182441 - 9 Sep 2025
Viewed by 1046
Abstract
In this study, an innovative modeling approach has been proposed to demonstrate the removal mechanisms of Polymethyl Methacrylate (PMMA) reinforced with randomly distributed carbon nanotubes (CNTs) during nanosectioning. The viscoplastic behavior of the matrix polymer was described using the Mulliken–Boyce model and the [...] Read more.
In this study, an innovative modeling approach has been proposed to demonstrate the removal mechanisms of Polymethyl Methacrylate (PMMA) reinforced with randomly distributed carbon nanotubes (CNTs) during nanosectioning. The viscoplastic behavior of the matrix polymer was described using the Mulliken–Boyce model and the distribution of the CNTs in the matrix was modeled using the random sequential adsorption (RSA) method. The effects of cutting thickness and CNT loading on the machinability of the nanocomposites are explored. Subsequent experiments were conducted to validate the modeling. It reveals that the addition of CNT increases the resistance to cutting, compared to the malleable matrix. Although the primary strain distribution for both plain PMMA and PMMA/CNT composites aligns closely, discernible disparities between the two materials emerge. A force augmentation is anticipated whenever a nanotube interacts with the cutting tool, which causes surface protrusions and sub-surface damage. The addition of CNT with a loading lower than 1.0 wt% does not change the mechanisms of chip formation, but the addition of 1.0 wt% CNTs increases cutting force by approximately 32%. This work provides a feasible approach and framework to numerically model the nanosectioning of CNT-reinforced thermoplastics. Full article
(This article belongs to the Section Polymer Processing and Engineering)
Show Figures

Figure 1

14 pages, 2674 KB  
Article
Thermal and Electrical Properties of Cement-Based Materials Reinforced with Nano-Inclusions
by Spyridoula G. Farmaki, Panagiota T. Dalla, Dimitrios A. Exarchos, Konstantinos G. Dassios and Theodore E. Matikas
Nanomanufacturing 2025, 5(3), 13; https://doi.org/10.3390/nanomanufacturing5030013 - 1 Sep 2025
Cited by 3 | Viewed by 1315
Abstract
This study explores the influence of various nano-inclusions on the electrical and thermal properties of cement-based materials. Specifically, it investigates the incorporation of Multi-Walled Carbon Nanotubes (MWCNTs) and Graphene Nanoplatelets (GNPs) as reinforcement materials in cement composites. These advanced nanomaterials enhance the mechanical [...] Read more.
This study explores the influence of various nano-inclusions on the electrical and thermal properties of cement-based materials. Specifically, it investigates the incorporation of Multi-Walled Carbon Nanotubes (MWCNTs) and Graphene Nanoplatelets (GNPs) as reinforcement materials in cement composites. These advanced nanomaterials enhance the mechanical strength, durability, and functional properties of cementitious matrices. A series of experimental tests was conducted to evaluate the thermal and electrical behavior of nano-reinforced concrete, employing nondestructive evaluation techniques, such as Infrared Thermography (IRT) and Electrical Resistivity measurements. The results indicate that increasing the concentration of nanomaterials significantly improves both the thermal and electrical conductivity of the composites. Optimum performance was observed at a CNT dosage of 0.6% and a GNP dosage of 1.2% by weight of cement in cement paste, while in concrete, both nanomaterials showed a significant decrease in resistivity beginning at 1.0%, with optimal performance at 1.2%. The study also emphasizes the critical role of proper dispersion techniques, such as ultrasonication, in achieving a homogeneous distribution of nanomaterials within the cement matrix. These findings highlight the potential of carbon nanotubes (CNTs) and GNPs to enhance the multifunctional properties of cement-based materials, paving the way for their application in smart and energy-efficient construction applications. Full article
Show Figures

Figure 1

20 pages, 1818 KB  
Article
Aeroelastic Oscillations of Cantilever Beams Reinforced by Carbon Nanotubes Based on a Modified Third-Order Piston Theory
by Mehdi Alimoradzadeh, Francesco Tornabene and Rossana Dimitri
Appl. Sci. 2025, 15(15), 8700; https://doi.org/10.3390/app15158700 - 6 Aug 2025
Cited by 1 | Viewed by 733
Abstract
This work analyzes the aero-elastic oscillations of cantilever beams reinforced by carbon nanotubes (CNTs). Four different distributions of single-walled CNTs are assumed as the reinforcing phase, in the thickness direction of the polymeric matrix. A modified third-order piston theory is used as an [...] Read more.
This work analyzes the aero-elastic oscillations of cantilever beams reinforced by carbon nanotubes (CNTs). Four different distributions of single-walled CNTs are assumed as the reinforcing phase, in the thickness direction of the polymeric matrix. A modified third-order piston theory is used as an accurate tool to model the supersonic air flow, rather than a first-order piston theory. The nonlinear dynamic equation governing the problem accounts for Von Kármán-type nonlinearities, and it is derived from Hamilton’s principle. Then, the Galerkin decomposition technique is adopted to discretize the nonlinear partial differential equation into a nonlinear ordinary differential equation. This is solved analytically according to a multiple time scale method. A comprehensive parametric analysis was conducted to assess the influence of CNT volume fraction, beam slenderness, Mach number, and thickness ratio on the fundamental frequency and lateral dynamic deflection. Results indicate that FG-X reinforcement yields the highest frequency response and lateral deflection, followed by UD and FG-A patterns, whereas FG-O consistently exhibits the lowest performance metrics. An increase in CNT volume fraction and a reduction in slenderness ratio enhance the system’s stiffness and frequency response up to a critical threshold, beyond which a damped beating phenomenon emerges. Moreover, higher Mach numbers and greater thickness ratios significantly amplify both frequency response and lateral deflections, although damping rates tend to decrease. These findings provide valuable insights into the optimization of CNTR composite structures for advanced aeroelastic applications under supersonic conditions, as useful for many engineering applications. Full article
Show Figures

Figure 1

20 pages, 51475 KB  
Article
Mechanism-Driven Strength–Conductivity Synergy in Hypereutectic Al-Si Alloys Reinforced with Interface-Engineered Ni-Coated CNTs
by Xuexuan Yang, Yulong Ren, Peng Tang and Jun Tan
Materials 2025, 18(15), 3647; https://doi.org/10.3390/ma18153647 - 3 Aug 2025
Viewed by 1128
Abstract
Secondary hypereutectic Al-Si alloys are attractive for sustainable manufacturing, yet their application is often limited by low strength and electrical conductivity due to impurity-induced microstructural defects. Achieving a balance between mechanical and conductive performance remains a significant challenge. In this work, nickel-coated carbon [...] Read more.
Secondary hypereutectic Al-Si alloys are attractive for sustainable manufacturing, yet their application is often limited by low strength and electrical conductivity due to impurity-induced microstructural defects. Achieving a balance between mechanical and conductive performance remains a significant challenge. In this work, nickel-coated carbon nanotubes (Ni-CNTs) were introduced into secondary Al-20Si alloys to tailor the microstructure and enhance properties through interfacial engineering. Composites containing 0 to 0.4 wt.% Ni-CNTs were fabricated by conventional casting and systematically characterized. The addition of 0.1 wt.% Ni-CNTs resulted in the best combination of properties, with a tensile strength of 170.13 MPa and electrical conductivity of 27.60% IACS. These improvements stem from refined α-Al dendrites, uniform eutectic Si distribution, and strong interfacial bonding. Strengthening was achieved through grain refinement, Orowan looping, dislocation generation from thermal mismatch, and the formation of reinforcing interfacial phases such as AlNi3C0.9 and Al4SiC4. At higher Ni-CNT contents, property degradation occurred due to agglomeration and phase coarsening. This study presents an effective and scalable strategy for achieving strength–conductivity synergy in secondary aluminum alloys via nanoscale interfacial design, offering guidance for the development of multifunctional lightweight materials. Full article
Show Figures

Graphical abstract

Back to TopTop