Study of a Polymer Composite with Carbon Nanotubes and a Mixed Filler Using a Composite Piezoelectric Oscillator at a Frequency of 100 kHz
Abstract
1. Introduction
- -
- To establish a correlation between the composite microstructure and its mechanical characteristics.
- -
- To implement and validate the CPO method for high-frequency characterization of these novel composite materials.
2. Materials and Methods
- -
- The forced oscillation frequency, which determines the material’s stiffness;
- -
- The logarithmic damping decrement, which characterizes its internal friction.
2.1. Materials
2.2. Sample Preparation
2.3. Composite Piezoelectric Oscillator Method
2.4. Temperature Measurement
2.5. Differential Scanning Calorimetry
2.6. Electrophysical Characteristics
2.7. Characterization of Samples
3. Results and Discussion
3.1. Morphological and Elemental Composition Analysis
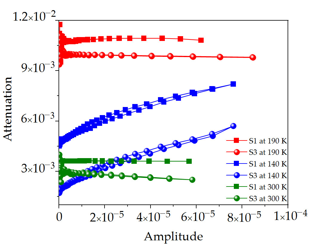
3.2. CPO Method
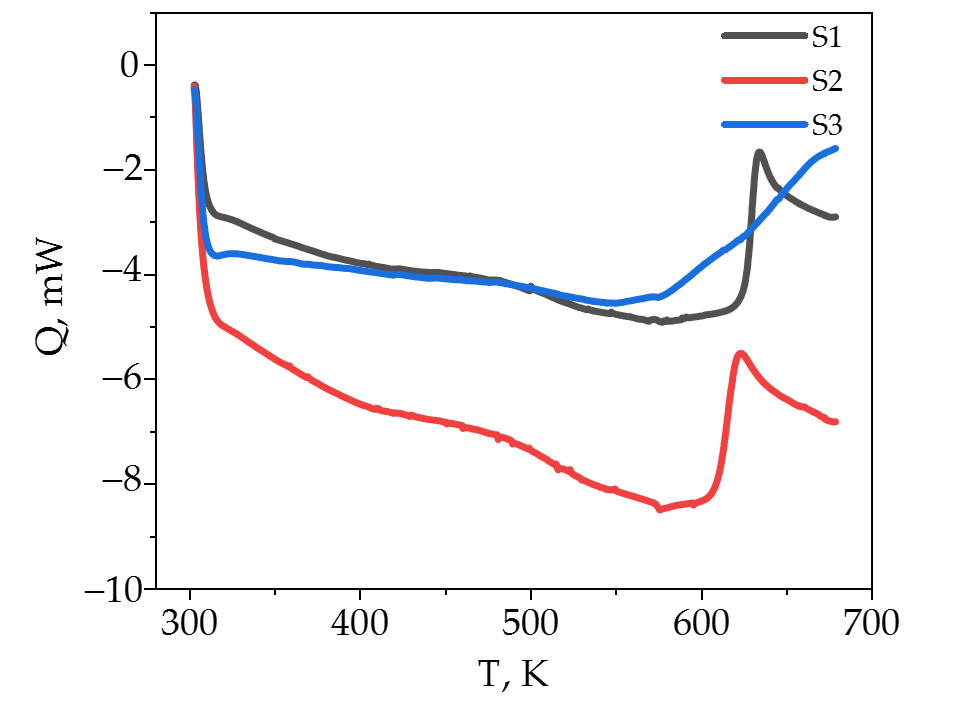
3.3. Thermal Behavior and Stability of Composites
3.4. Electrophysical Characteristics
4. Discussion
5. Perspectives and Future for the CPO Method in Polymer Composite Research
- (1)
- Low-frequency dynamic mechanical analysis (DMA), enabling the construction of master curves over an extended frequency range via time–temperature dependence.
- (2)
- Advanced structural and chemical analysis (e.g., SEM, TEM, micro-CT), which correlates the measured high-frequency response directly with specific microstructural and morphological features.
6. Conclusions
- The introduction of fillers, particularly the hybrid system, effectively suppresses molecular relaxation processes associated with crystallization (~205–215 K) and glass transition (~165–170 K), as evidenced by a significant reduction in the corresponding internal friction peaks.
- A synergistic effect was observed in the hybrid composite (S3), where the combination of fillers creates a multifunctional network that enhances both the mechanical reinforcement and the damping characteristics.
- The onset of amplitude-dependent internal friction was identified below the glass transition temperature, a phenomenon more pronounced in filled composites due to additional stress concentration centers.
- DSC conducted within the investigated temperature range (303–673 K) provided complementary thermodynamic data. The observed progressive reduction in the enthalpy of the matrix thermal decomposition peak, most pronounced for the composite S3, indicates an alteration in thermal stability and degradation kinetics due to the fillers. This trend qualitatively agrees with the conclusion drawn from the CPO method regarding the restricted mobility of polymer chains and enhanced interaction at the interface in the system with a mixed filler.
- Electrical characterization demonstrates a fundamental contrast: S3 exhibits a frequency-independent conductivity plateau (~1.8 × 10−1 S/m), two orders of magnitude higher than the frequency-dependent conductivity of S2 (~2.5 × 10−3 S/m). This confirms the formation of a robust percolating network in S3, where bronze and graphite particles act as conductive bridges, demonstrating clear electrical synergy.
Author Contributions
Funding
Data Availability Statement
Acknowledgments
Conflicts of Interest
Abbreviations
| DMA | dynamic mechanical analysis |
| EDS | energy-dispersive X-ray spectroscopy |
| CCB | carbon black |
| CNM | carbon nanomaterials |
| CNT | carbon nanotubes |
| CPO | composite piezoelectric oscillator |
| DSC | differential scanning calorimetry |
| GF | gauge factor |
| MWCNT | multi-walled carbon nanotubes |
| NPB | needle bronze powder |
| RTV | room temperature vulcanizing |
| SEM | scanning electron microscopy |
| TG | thermally expandable graphite |
References
- Shchegolkov, A.V.; Shchegolkov, A.V.; Kaminskii, V.V.; Iturralde, P.; Chumak, M.A. Advances in Electrically and Thermally Conductive Functional Nanocomposites Based on Carbon Nanotubes. Polymers 2024, 17, 71. [Google Scholar] [CrossRef]
- Kumar, A.; Sharma, K.; Dixit, A.R. A review on the mechanical properties of polymer composites reinforced by carbon nanotubes and graphene. Carbon Lett. 2020, 31, 149–165. [Google Scholar] [CrossRef]
- Arana, G.; Gamboa, F.; Avilés, F. Piezoresistive and thermoresistive responses of carbon nanotube-based strain gauges with different grid geometric parameters. Sens. Actuators A Phys. 2023, 359, 114477. [Google Scholar] [CrossRef]
- Shchegolkov, A.V.; Shchegolkov, A.V.; Kaminskii, V.V.; Chumak, M.A. Polymer Composites with Nanomaterials for Strain Gauging: A Review. J. Compos. Sci. 2025, 9, 8. [Google Scholar] [CrossRef]
- Alamusi; Hu, N.; Fukunaga, H.; Atobe, S.; Liu, Y.; Li, J. Piezoresistive Strain Sensors Made from Carbon Nanotubes Based Polymer Nanocomposites. Sensors 2011, 11, 10691–10723. [Google Scholar] [CrossRef] [PubMed]
- Arana, G.; Mora, A.; Pérez, I.; Avilés, F. Design and analysis of a carbon nanotube-based strain gauge via multiscale model-ing. Meccanica 2023, 58, 1717–1732. [Google Scholar] [CrossRef]
- Kyrylyuk, A.V.; van der Schoot, P. Continuum percolation of carbon nanotubes in polymeric and colloidal media. Proc. Natl. Acad. Sci. USA 2008, 105, 8221–8226. [Google Scholar] [CrossRef] [PubMed]
- Bauhofer, W.; Kovacs, J.Z. A review and analysis of electrical percolation in carbon nanotube polymer composites. Compos. Sci. Technol. 2009, 69, 1486–1498. [Google Scholar] [CrossRef]
- Cui, C.-H.; Pang, H.; Yan, D.-X.; Jia, L.-C.; Jiang, X.; Lei, J.; Li, Z.-M. Percolation and resistivity-temperature behaviours of carbon nanotube-carbon black hybrid loaded ultrahigh molecular weight polyethylene composites with segregated struc-tures. RSC Adv. 2015, 5, 61318–61323. [Google Scholar] [CrossRef]
- Mamunya, E.; Davidenko, V.; Lebedev, E. Effect of polymer-filler interface interactions on percolation conductivity of ther-moplastics filled with carbon black. Compos. Interfaces 1996, 4, 169–176. [Google Scholar] [CrossRef]
- Choi, J.H.; Noh, J.H.; Choi, C. Highly elastically deformable coiled CNT/Polymer fibers for wearable strain sensors and stretchable supercapacitors. Sensors 2023, 23, 2359. [Google Scholar] [CrossRef]
- Coppola, B.; Di Maio, L.; Incarnato, L.; Tulliani, J.-M. Preparation and Characterization of Polypropylene/Carbon Nanotubes (PP/CNTs) Nanocomposites as Potential Strain Gauges for Structural Health Monitoring. Nanomaterials 2020, 10, 814. [Google Scholar] [CrossRef]
- Schintke, S.; Mujovi, B.; Loiko, D.; del Rossi, S. Graphite- and Graphene-Based Polymer Nanocomposites for Flexible Sensors and Actuators in Health Care and Soft Robotics Applications. Mater. Sci. Forum 2023, 1107, 15–20. [Google Scholar] [CrossRef]
- Shukla, P.; Saxena, P. Polymer Nanocomposites in Sensor Applications: A Review on Present Trends and Future Scope. Chin. J. Polym. Sci. 2021, 39, 665–691. [Google Scholar] [CrossRef]
- Zeng, G.; Yi, N.; Guo, Q.; Han, F.; Weng, M. Poly(Vinyl Alcohol)–Carbon nanotube Self−Adhesive hydrogels for wearable strain sensors. Polymers 2025, 17, 2249. [Google Scholar] [CrossRef]
- Yuan, Z.; Li, H.; Duan, Z.; Huang, Q.; Zhang, M.; Zhang, H.; Guo, J.; Jiang, Y.; Tai, H. High sensitivity, wide range and waterproof strain sensor with inner surface sensing layer for motion detection and gesture reconstruction. Sens. Actuators A Phys. 2024, 369, 115202. [Google Scholar] [CrossRef]
- Bommegowda, K.B.; Renukappa, N.M.; Rajan, J.S. Role of Fillers in Controlling the Properties of Polymer Compo-Sites: A Review; Springer: Berlin/Heidelberg, Germany, 2021; pp. 637–648. [Google Scholar] [CrossRef]
- Ilyas, R.A.; Sapuan, S.M.; Asyraf, M.R.M.; Dayana, D.A.Z.N.; Amelia, J.J.N.; Rani, M.S.A.; Norrrahim, M.N.F.; Nurazzi, N.M.; Aisyah, H.A.; Sharma, S.; et al. Polymer Composites Filled with Metal Derivatives: A Review of Flame Retard-ants. Polymers 2021, 13, 1701. [Google Scholar] [CrossRef] [PubMed]
- Khun, N.W.; Loong, P.Y.; Liu, E.; Li, L. Enhancing electrical and tribological properties of poly(methyl methacrylate) matrix nanocomposite films by co-incorporation of multiwalled carbon nanotubes and silicon dioxide microparticles. J. Polym. Eng. 2015, 36, 23–30. [Google Scholar] [CrossRef]
- Ekrem, M.; Koyunbakan, M.; Ünal, B. Investigation of the mechanical and thermal properties of epoxy adhesives reinforced by carbon nanotubes and silicon dioxide nanoparticles in single-lap joints. J. Adhes. Sci. Technol. 2024, 38, 3860–3875. [Google Scholar] [CrossRef]
- Luo, X.; Yang, G.; Schubert, D.W. Electrically conductive polymer composite containing hybrid graphene nanoplatelets and carbon nanotubes: Synergistic effect and tunable conductivity anisotropy. Adv. Compos. Hybrid Mater. 2021, 5, 250–262. [Google Scholar] [CrossRef]
- Shchegolkov, A.V.; Shchegolkov, A.V.; Parfimovich, I.D.; Komarov, F.F.; Novikov, L.S.; Chernik, V.N. Functional Characteristics of Conductive Polymer Composites with Built-In Carbon Nanotubes and Metallic Particles. J. Compos. Sci. 2025, 9, 429. [Google Scholar] [CrossRef]
- Naresh, K.; Khan, K.A.; Umer, R.; Vasudevan, A. Temperature-Frequency–Dependent viscoelastic properties of neat epoxy and fiber reinforced polymer composites: Experimental characterization and theoretical predictions. Polymers 2020, 12, 1700. [Google Scholar] [CrossRef]
- Xie, M.; Li, F. A modified piezoelectric ultrasonic composite oscillator technique for simultaneous measurement of elastic moduli and internal frictions at varied temperature. Rev. Sci. Instrum. 2020, 91, 015110. [Google Scholar] [CrossRef] [PubMed]
- Ali, Z.; Yaqoob, S.; Yu, J.; D’Amore, A. Critical review on the characterization, preparation, and enhanced mechanical, thermal, and electrical properties of carbon nanotubes and their hybrid filler polymer composites for various applications. Compos. Part C Open Access 2024, 13, 100434. [Google Scholar] [CrossRef]
- Quirós-Solano, W.F.; Gaio, N.; Silvestri, C.; Pandraud, G.; Dekker, R.; Sarro, P.M. Metal and Polymeric Strain Gauges for Si-Based, Monolithically Fabricated Organs-on-Chips. Micromachines 2019, 10, 536. [Google Scholar] [CrossRef]
- Seghir, R.; Pierron, F. A Novel Image-based Ultrasonic Test to Map Material Mechanical Properties at High Strain-rates. Exp. Mech. 2017, 58, 183–206. [Google Scholar] [CrossRef]
- Kondratov, A.P.; Lozitskaya, A.V.; Samokhin, V.N.; Volinsky, A.A. Mullins effect in polymer large deformation strain gauges. J. Polym. Res. 2022, 30, 36. [Google Scholar] [CrossRef]
- Liu, X.; Zhang, Z.; Wang, J.; Wang, M.; Lin, T.; Liu, Y.; Tan, Q.; Qi, R.; Liu, Z.; Tian, B. Future development directions of high-temperature strain gauges: A comprehensive review of structure and performance characteristics. Nanoscale Adv. 2025, 7, 4232–4251. [Google Scholar] [CrossRef]
- Neilson, J.; Cataldi, P.; Derby, B. Graphene-Based Transparent Flexible Strain Gauges with Tunable Sensitivity and Strain Range. ACS Appl. Nano Mater. 2023, 6, 21763–21774. [Google Scholar] [CrossRef]
- Mishra, S.; Mishra, P.; Mohapatra, D.K.; Mishra, D.K.; Shadangi, K.P. Study of frequency dependence properties of CCTO-BT/polymer composites. Proc. Inst. Mech. Eng. Part C: J. Mech. Eng. Sci. 2023, 238, 2140–2149. [Google Scholar] [CrossRef]
- Rajmohan, T.; Vijayan, D.; Mohan, K.; Vijayabhaskar, S.; Palanikumar, K. Dynamic Mechanical Analysis (DMA) of Natural Fibre Reinforced Polymer Matrix Composites (NFRPMC)-Review. In Composites Science and Technology; Springer: Berlin/Heidelberg, Germany, 2022; pp. 301–318. [Google Scholar] [CrossRef]
- Kucher, M.; Dannemann, M.; Böhm, R.; Modler, N. An Experimental Approach for the Determination of the Mechanical Properties of Base-Excited Polymeric Specimens at Higher Frequency Modes. Vibration 2022, 5, 429–441. [Google Scholar] [CrossRef]
- Klimm, W.J.; Kwok, K. Relaxation of Electrical Resistance in Carbon Nanotube Polymer Composites. In Proceedings of the AIAA SCITECH 2022 Forum, San Diego, CA, USA, 3–7 January 2022. [Google Scholar]
- Alqaderi, A.I.; Ramakrishnan, N. Carbon-based flexible strain sensors: Recent advances and performance insights in human motion detection. Chem. Eng. J. 2025, 513, 162609. [Google Scholar] [CrossRef]
- Afolabi, O.A.; Ndou, N. Synergy of Hybrid Fillers for Emerging Composite and Nanocomposite Materials—A Review. Polymers 2024, 16, 1907. [Google Scholar] [CrossRef]
- Yun, G.; Tang, S.; Lu, H.; Zhang, S.; Dickey, M.D.; Li, W. Hybrid-Filler stretchable conductive composites: From fabrication to application. Small Sci. 2021, 1, 2000080. [Google Scholar] [CrossRef]
- Available online: https://silagerm.com/products/25832550# (accessed on 23 July 2024).
- Robinson, W.; Edgar, A. The Piezoelectric Method of Determining Mechanical Damping at Frequencies of 30 to 200 KHz. IEEE Trans. Sonics Ultrason. 1974, 21, 98–105. [Google Scholar] [CrossRef]
- Tyapunina, N.A.; Zinenkova, G.M.; Shtrom, E.V. Dislocation multiplication in alkali halide crystals exposed to ultrasonic waves. The original stage. Phys. Status Solidi A 1978, 46, 327–336. [Google Scholar] [CrossRef]
- Koltunowicz, T.N. Test Station for Frequency-Domain Dielectric Spectroscopy of Nanocomposites and Semiconductors. J. Appl. Spectrosc. 2015, 82, 653–658. [Google Scholar] [CrossRef]
- Wu, T.; Chen, B. Autonomous self-healing multiwalled carbon nanotube nanocomposites with piezoresistive effect. RSC Adv. 2017, 7, 20422–20429. [Google Scholar] [CrossRef]
- Evgin, T.; Mičušík, M.; Machata, P.; Peidayesh, H.; Preťo, J.; Omastová, M. Morphological, Mechanical and Gas Penetration Properties of Elastomer Composites with Hybrid Fillers. Polymers 2022, 14, 4043. [Google Scholar] [CrossRef] [PubMed]
- Tariq, M.; Utkarsh Syed, N.A.; Behravesh, A.H.; Pop-Iliev, R.; Rizvi, G. Optimization of filler compositions of electrically conductive polypropylene composites for the manufacturing of bipolar plates. Polymers 2023, 15, 3076. [Google Scholar] [CrossRef]
- Parente, J.M.; Nunes-Pereira, J.; Silva, A.P.; Reis, P.N.B. Synergistic effects of graphene and carbon nanotubes on the piezoresistive strain sensing of epoxy composite laminates under bending loads. Compos. Part A Appl. Sci. Manuf. 2025, 198, 109136. [Google Scholar] [CrossRef]
- Banks, J.D.; Emami, A. Carbon-Based Piezoresistive Polymer Nanocomposites by Extrusion Additive Manufacturing. 3D Print. Addit. Manuf. 2024, 11, e548–e571. [Google Scholar] [CrossRef]
- Promsung, R.; Georgopoulou, A.; Nakaramontri, Y.; Kalkornsurapranee, E.; Clemens, F. Piezoresistive properties for soft structures using hybrid CCB/CNT-based natural rubber latex composites. Appl. Mater. Today 2024, 39, 102302. [Google Scholar] [CrossRef]
- Kim, D.; Chhetry, A.; Zahed, M.A.; Sharma, S.; Jeong, S.; Song, H.; Park, J.Y. Highly sensitive and reliable piezoresistive strain sensor based on Cobalt nanoporous Carbon-Incorporated Laser-Induced graphene for smart healthcare wearables. ACS Appl. Mater. Interfaces 2022, 15, 1475–1485. [Google Scholar] [CrossRef]
- Ming, Y.; Zhou, Z.; Hao, T.; Nie, Y. Polymer Nanocomposites: Role of modified filler content and interfacial interaction on crystallization. Eur. Polym. J. 2022, 162, 110894. [Google Scholar] [CrossRef]
- Bashir, M.A. Use of Dynamic Mechanical Analysis (DMA) for Characterizing Interfacial Interactions in Filled Poly-mers. Solids 2021, 2, 108–120. [Google Scholar] [CrossRef]
- Mir, I.A.; Kumar, D. Carbon nanotube-filled conductive adhesives for electronic applications. Nanosci. Methods 2012, 1, 183–193. [Google Scholar] [CrossRef]
- Verma, P.; Schiffer, A.; Kumar, S. Thermo-resistive and thermo-piezoresistive sensitivity of carbon nanostructure engineered thermoplastic composites processed via additive manufacturing. Polym. Test. 2020, 93, 106961. [Google Scholar] [CrossRef]
- Jang, S.; Li, L. Self-Sensing carbon nanotube composites exposed to glass transition temperature. Materials 2020, 13, 259. [Google Scholar] [CrossRef] [PubMed]
- Roland, C.M.; Aronson, C.A. Crystallization of polydimethylsiloxane end-linked networks. Polym. Bull. 2000, 45, 439–445. [Google Scholar] [CrossRef]
- Clarson, S.; Dodgson, K.; Semlyen, J. Studies of cyclic and linear poly(dimethylsiloxanes): 19. Glass transition temperatures and crystallization behaviour. Polymer 1985, 26, 930–934. [Google Scholar] [CrossRef]
- Riekeberg, S.; Büttner, J.; Müller, J. A carbon nanotube based temperature independent strain sensor on a flexible polymer. In Proceedings of the 2010 Ninth IEEE Sensors Conference (SENSORS 2010), Waikoloa, HI, USA, 1–4 November 2010; pp. 647–651. [Google Scholar]
- Bru, T.; Hellström, P.; Gutkin, R.; Ramantani, D.; Peterson, G. Characterisation of the mechanical and fracture properties of a uni-weave carbon fibre/epoxy non-crimp fabric composite. Data Brief. 2016, 6, 680–695. [Google Scholar] [CrossRef]
- Tan, W.; Falzon, B.G. Modelling the crush behaviour of thermoplastic composites. Compos. Sci. Technol. 2016, 134, 57–71. [Google Scholar] [CrossRef]
- Dean, G.; Turner, P. The elastic properties of carbon fibres and their composites. Composites 1973, 4, 174–180. [Google Scholar] [CrossRef]
- Peppas, N.A.; Hilt, J.Z.; Khademhosseini, A.; Langer, R. Hydrogels in Biology and Medicine: From Molecular Principles to Bionanotechnology. Adv. Mater. 2006, 18, 1345–1360. [Google Scholar] [CrossRef]
- Ding, W.; Calabri, L.; Kohlhaas, K.M.; Chen, X.; Dikin, D.A.; Ruoff, R.S. Modulus, Fracture Strength, and Brittle vs. Plastic Response of the Outer Shell of Arc-grown Multi-walled Carbon Nanotubes. Exp. Mech. 2006, 47, 25–36. [Google Scholar] [CrossRef]
- Kang, I.; Schulz, M.J.; Kim, J.H.; Shanov, V.; Shi, D. A carbon nanotube strain sensor for structural health monitoring. Smart Mater. Struct. 2006, 15, 737–748. [Google Scholar] [CrossRef]
- Kang, B.; Jeong, I.; Park, S. Design of a Smart Conducting Nanocomposite with an Extended Strain Sensing Range by Conjugating Hybrid Structures. Polymers 2022, 14, 2551. [Google Scholar] [CrossRef]
- Sam-Daliri, O.; Kelly, C.; Walls, M.; Flanagan, T.; Finnegan, W.; Harrison, N.M.; Ghabezi, P. Carbon nanotubes–Elium nanocomposite sensor for structural health monitoring of unidirectional glass fibre reinforced epoxy composite. Compos. Commun. 2025, 58, 102503. [Google Scholar] [CrossRef]
- Bibi, M.; Hassan, G.; Asif, A.; Shuja, A.; Ahmad, H.; Mushtaq, B.; Sajid, M. Strain Sensing Technologies: Recent developments in materials, performance, and applications. ICCK Trans. Sens. Commun. Control. 2025, 2, 168. [Google Scholar] [CrossRef]









| № | Powder | Elemental Composition, wt.% | ||||
|---|---|---|---|---|---|---|
| Al | Fe | Cu | Pb | C | ||
| 1 | TG | - | - | - | - | 95 |
| 2 | NBP | 2.5 | 0.049 | 79 | 0.049 | - |
| № | Designation | Sample Composition |
|---|---|---|
| 1 | S1 | unfilled polymer |
| 2 | S2 | 3 vol. % CNTs |
| 3 | S3 | 3 vol. % CNTs, 3 vol. % NBP, 3 vol. % TG |
Disclaimer/Publisher’s Note: The statements, opinions and data contained in all publications are solely those of the individual author(s) and contributor(s) and not of MDPI and/or the editor(s). MDPI and/or the editor(s) disclaim responsibility for any injury to people or property resulting from any ideas, methods, instructions or products referred to in the content. |
© 2026 by the authors. Licensee MDPI, Basel, Switzerland. This article is an open access article distributed under the terms and conditions of the Creative Commons Attribution (CC BY) license.
Share and Cite
Kaminskii, V.V.; Shchegolkov, A.V.; Kalganov, D.A.; Panov, D.I.; Dorogov, M.V.; Shchegolkov, A.V. Study of a Polymer Composite with Carbon Nanotubes and a Mixed Filler Using a Composite Piezoelectric Oscillator at a Frequency of 100 kHz. J. Compos. Sci. 2026, 10, 87. https://doi.org/10.3390/jcs10020087
Kaminskii VV, Shchegolkov AV, Kalganov DA, Panov DI, Dorogov MV, Shchegolkov AV. Study of a Polymer Composite with Carbon Nanotubes and a Mixed Filler Using a Composite Piezoelectric Oscillator at a Frequency of 100 kHz. Journal of Composites Science. 2026; 10(2):87. https://doi.org/10.3390/jcs10020087
Chicago/Turabian StyleKaminskii, Vladimir V., Alexandr V. Shchegolkov, Dmitrii A. Kalganov, Dmitrii I. Panov, Maksim V. Dorogov, and Aleksei V. Shchegolkov. 2026. "Study of a Polymer Composite with Carbon Nanotubes and a Mixed Filler Using a Composite Piezoelectric Oscillator at a Frequency of 100 kHz" Journal of Composites Science 10, no. 2: 87. https://doi.org/10.3390/jcs10020087
APA StyleKaminskii, V. V., Shchegolkov, A. V., Kalganov, D. A., Panov, D. I., Dorogov, M. V., & Shchegolkov, A. V. (2026). Study of a Polymer Composite with Carbon Nanotubes and a Mixed Filler Using a Composite Piezoelectric Oscillator at a Frequency of 100 kHz. Journal of Composites Science, 10(2), 87. https://doi.org/10.3390/jcs10020087

