Sign in to use this feature.

Years

Between: -

Subjects

remove_circle_outline
remove_circle_outline
remove_circle_outline
remove_circle_outline
remove_circle_outline
remove_circle_outline
remove_circle_outline
remove_circle_outline
remove_circle_outline

Journals

remove_circle_outline
remove_circle_outline
remove_circle_outline
remove_circle_outline
remove_circle_outline
remove_circle_outline
remove_circle_outline
remove_circle_outline
remove_circle_outline

Article Types

Countries / Regions

remove_circle_outline
remove_circle_outline
remove_circle_outline
remove_circle_outline
remove_circle_outline

Search Results (314)

Search Parameters:
Keywords = C–H chlorination

Order results
Result details
Results per page
Select all
Export citation of selected articles as:
16 pages, 5371 KB  
Article
2-Arylbenzofurans as Selective Cholinesterase Inhibitors: Design, Synthesis, and Evaluation as Alzheimer’s Disease Agents
by Giovanna Lucia Delogu, Michela Begala, Manuel Novás, Maria João Matos, Franca Piras, Sonia Floris, Francesca Pintus, Michele Mancinelli, Benedetta Era and Antonella Fais
Biomolecules 2026, 16(1), 178; https://doi.org/10.3390/biom16010178 - 22 Jan 2026
Abstract
New arylbenzofuran derivatives were designed, synthesized, and evaluated as potential inhibitors of acetylcholinesterase (AChE) and butyrylcholinesterase (BChE). Five hybrid compounds (3135) feature a 2-phenylbenzofuran core linked via a heptyloxy spacer to an N-methylbenzylamine moiety, to enhance interactions within [...] Read more.
New arylbenzofuran derivatives were designed, synthesized, and evaluated as potential inhibitors of acetylcholinesterase (AChE) and butyrylcholinesterase (BChE). Five hybrid compounds (3135) feature a 2-phenylbenzofuran core linked via a heptyloxy spacer to an N-methylbenzylamine moiety, to enhance interactions within the active site of BChE. Biological evaluation revealed that brominated derivatives 34 and 35 showed the highest cholinesterases (ChE) inhibition compared to their chlorinated analogs, with compound 34 showing the highest activity for both AChE (IC50 = 27.7 μM) and BChE (IC50 = 0.7 μM). These compounds proved to be non-cytotoxic and demonstrated significant antioxidant activity in SH-SY5Y cells exposed to hydrogen peroxide (H2O2), highlighting their potential to mitigate oxidative stress: a key pathological factor in Alzheimer’s disease. Structural activity analysis suggests that bromine substitution at position 7 and the presence of a seven-carbon linker are critical for dual ChE inhibition and selectivity towards BChE. ADMET prediction indicates favorable pharmacokinetic properties, including drug-likeness and oral bioavailability. Overall, these findings highlight the potential of the 2-arylbenzofuran as a promising scaffold for multitarget-directed ligands in Alzheimer’s disease therapy. Full article
(This article belongs to the Special Issue New Discoveries in the Field of Neuropharmacology)
Show Figures

Figure 1

26 pages, 2220 KB  
Article
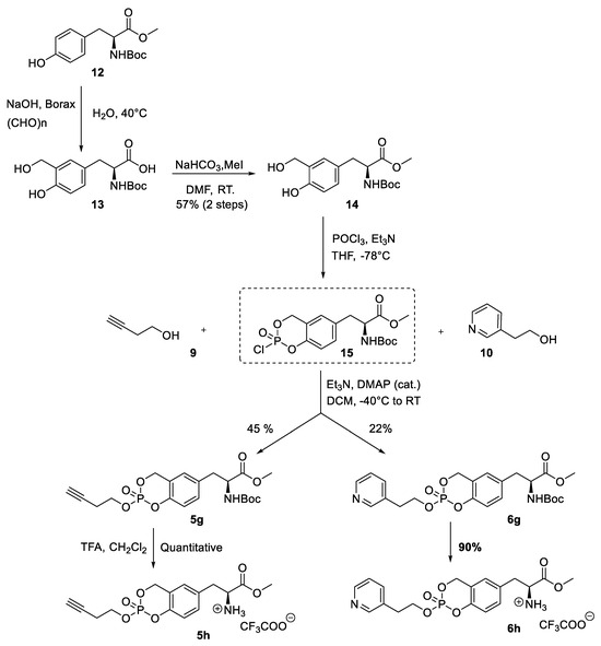
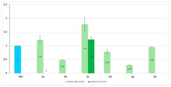
MEP Pathway: First-Synthesized IspH-Directed Prodrugs with Potent Antimycobacterial Activity
by Alizée Allamand, Ludovik Noël-Duchesneau, Cédric Ettelbruck, Edgar De Luna, Didier Lièvremont and Catherine Grosdemange-Billiard
Microorganisms 2026, 14(1), 215; https://doi.org/10.3390/microorganisms14010215 (registering DOI) - 17 Jan 2026
Viewed by 122
Abstract
We report the first synthesis of IspH-directed prodrugs targeting the terminal enzyme of the 2-C-methyl-D-erythritol 4-phosphate (MEP) pathway, (E)-4-hydroxy-3-methylbut-2-enyl diphosphate reductase (IspH or LytB). A series of alkyne and pyridine monophosphate cycloSaligenyl (cycloSal) prodrugs were prepared [...] Read more.
We report the first synthesis of IspH-directed prodrugs targeting the terminal enzyme of the 2-C-methyl-D-erythritol 4-phosphate (MEP) pathway, (E)-4-hydroxy-3-methylbut-2-enyl diphosphate reductase (IspH or LytB). A series of alkyne and pyridine monophosphate cycloSaligenyl (cycloSal) prodrugs were prepared to enhance membrane permeability by masking the phosphate group. The effects of electron-withdrawing (Cl, CF3) and electron-donating (OCH3, NH2) substituents were examined, together with amino acid-functionalized and mutual prodrug analogs. Among the synthesized compounds, chlorine-substituted derivatives 5c and 6c displayed the strongest antimycobacterial activity against Mycobacterium smegmatis, surpassing isoniazid in agar diffusion assays. These results indicate that electron-withdrawing substituents accelerate prodrug hydrolysis and facilitate intracellular release of the active inhibitor. This work provides the first experimental evidence of an IspH-targeted prodrug approach, highlighting the cycloSal strategy as a valuable tool for delivering phosphorylated inhibitors and developing novel antimycobacterial agents acting through the MEP pathway. Full article
(This article belongs to the Section Antimicrobial Agents and Resistance)
Show Figures

Figure 1

18 pages, 3996 KB  
Article
Combined Process of Chlorination Roasting and Acid Leaching of Lead and Silver from Lead Cake
by Biserka Lucheva, Peter Iliev and Nadezhda Kazakova
Materials 2026, 19(1), 170; https://doi.org/10.3390/ma19010170 - 2 Jan 2026
Viewed by 262
Abstract
This study evaluates an integrated approach for recovering lead and silver from lead cake through chlorination roasting followed by acid leaching. The lead cake originates from sulfuric acid leaching of zinc ferrite residues obtained during the hydrometallurgical processing of zinc calcine. The effects [...] Read more.
This study evaluates an integrated approach for recovering lead and silver from lead cake through chlorination roasting followed by acid leaching. The lead cake originates from sulfuric acid leaching of zinc ferrite residues obtained during the hydrometallurgical processing of zinc calcine. The effects of roasting temperature, lead cake-to-NaCl mass ratio, and roasting duration on metal recovery were systematically examined to determine optimal process conditions. Based on the experimental results, roasting at 550 °C for 1.5 h with a lead cake-to-NaCl mass ratio of 1:3, followed by leaching in 1 M HCl, was selected as a representative and sufficiently effective condition for the combined process. Under these conditions, nearly complete dissolution of Pb and Ag was achieved, reducing their contents in the final solid residue to 0.90% and 0.0027%, respectively. Compared to direct chloride leaching, the combined process provided higher extraction efficiencies (Pb 98.67%, Ag 98.09%) and a lower final residue mass (34% vs. 45%). The roasting step enables the solid-state conversion of PbSO4 into highly soluble chloride phases (PbCl2 and Pb(OH)Cl), while ZnFe2O4, Fe2O3 and SiO2 remain stable and form the inert matrix of the residue. Acid leaching at a lower solid-to-liquid ratio (1:10) ensures near-complete dissolution of Pb and Ag, whereas aqueous leaching at a high ratio (1:100) results in incomplete Pb removal. The compliance leaching test (EN 12457-2) confirmed that the residue produced after the optimized two-step treatment meets the EU criteria for inert waste. Overall, the proposed combined process enhances Pb and Ag recovery, minimizes environmental risk, and offers a technically robust and sustainable route for treating lead-containing industrial residues. Full article
(This article belongs to the Section Metals and Alloys)
Show Figures

Graphical abstract

8 pages, 804 KB  
Article
Anion Transfer Reactions from Chiral Hypervalent Iodine Macrocycles
by Mina Dumre Pandey, Tahir Awais, Krishna Pandey, Samsul Arafin, Eli Jones and Kyle N. Plunkett
Organics 2025, 6(4), 52; https://doi.org/10.3390/org6040052 - 20 Nov 2025
Viewed by 916
Abstract
The direct chlorination, bromination and azidation of beta keto esters, 2-acetyl-1-tetralone and methyl 1-oxo-2,3-dihydro-1H-indene-2-carboxylate is achieved utilizing anion-coordinated hypervalent iodine benziodazoles derived from hypervalent iodine macrocycles. This reaction, which introduces the halogen, azido or cyano group at the alpha carbon atom of beta [...] Read more.
The direct chlorination, bromination and azidation of beta keto esters, 2-acetyl-1-tetralone and methyl 1-oxo-2,3-dihydro-1H-indene-2-carboxylate is achieved utilizing anion-coordinated hypervalent iodine benziodazoles derived from hypervalent iodine macrocycles. This reaction, which introduces the halogen, azido or cyano group at the alpha carbon atom of beta keto esters, is accomplished in chloroform at 60 °C and results in the formation of a chiral center. Depending on the structure of the benziodazole reagent, the reaction can have mild enantioselectivity. The reaction between 2-acetyl-1-tetralone and phenylalanine-derived hypervalent iodine benziodazoles results in the chlorinated product with 26% enantiomeric excess. Full article
Show Figures

Graphical abstract

24 pages, 2666 KB  
Article
Experimental and Theoretical Studies on the Kinetics and Mechanism of the C3H8/C3D8 + Cl Reaction
by Łukasz Fojcik, Grzegorz Mierzwa, Zdzisław Latajka and Dariusz Stanisław Sarzyński
Molecules 2025, 30(22), 4406; https://doi.org/10.3390/molecules30224406 - 14 Nov 2025
Viewed by 804
Abstract
An experimental and theoretical investigation of the reaction between chlorine atoms and propane/deuterated propane (C3H8/C3D8) was performed. The experimental work aimed to determine absolute and site-specific rate constants for hydrogen and deuterium abstraction in the [...] Read more.
An experimental and theoretical investigation of the reaction between chlorine atoms and propane/deuterated propane (C3H8/C3D8) was performed. The experimental work aimed to determine absolute and site-specific rate constants for hydrogen and deuterium abstraction in the Cl + C3H8/C3D8 system. Measurements were conducted using the relative rate method at three temperatures between 298 and 387 K. Total rate constants for H/D abstraction by chlorine, as well as individual rate constants for abstraction from primary and secondary carbon sites, were obtained. The kinetic data for H abstraction agree well with previously reported literature values, confirming the reliability of the experimental approach. Notably, rate constants for the C3D8 + Cl reaction were determined for the first time, and the consistency of these results supports the reliability of the newly derived kinetic parameters. In the theoretical part of the study, hydrogen/deuterium abstraction from propane by atomic chlorine was analyzed within an atmospheric-chemistry context to clarify temperature dependence and site selectivity. Stationary points (SC, TS, PC, reactants, products) were optimized at MP2/aug-cc-pVDZ and verified by harmonic frequencies and intrinsic reaction-coordinate analyses. Eyring transition-state theory yielded 298–550 K rate constants with activation free energies referenced to SC. Our calculations indicate entrance-channel complex formation and effectively barrierless progress for most pathways; a small barrier appears only for RD1′. L-parameter evaluation classifies TS2 as reactant-like, and branching ratios identify –CH2– abstraction (RX2) as dominant. These findings align with the experimental data. Full article
(This article belongs to the Section Physical Chemistry)
Show Figures

Graphical abstract

11 pages, 1022 KB  
Article
Assessment of Cobalt Recovery from Copper Tailings by Leaching with a Choline Chloride–Citric Acid Deep Eutectic Solvent: Effects of Pretreatment and Oxidant Use
by Yahaira Barrueto, Juan Patricio Ibáñez, Miguel Veliz, Matias Santana, José Ojeda and Carlos Carlesi
Minerals 2025, 15(11), 1187; https://doi.org/10.3390/min15111187 - 12 Nov 2025
Viewed by 756
Abstract
The accelerating global demand for cobalt, driven primarily by lithium-ion batteries, has intensified the search for alternative sources of supply. Mine tailings represent a promising secondary resource, particularly in regions with extensive mining histories such as Chile. This study evaluates cobalt leaching from [...] Read more.
The accelerating global demand for cobalt, driven primarily by lithium-ion batteries, has intensified the search for alternative sources of supply. Mine tailings represent a promising secondary resource, particularly in regions with extensive mining histories such as Chile. This study evaluates cobalt leaching from copper tailings using a deep eutectic solvent (DES), choline chloride–citric acid (ChCl–CA), with controlled addition of hydrogen peroxide. The tailings were subjected to pretreatments (froth flotation, chlorination, and thermal roasting) and then leached with choline chloride–citric acid-based DES or H2SO4. Temperature, leaching time, and solid–liquid ratio were evaluated. Results show that roasting significantly enhanced cobalt recovery when followed by citric acid or DES leaching, reaching up to 100% Co recovery. Under optimized conditions, DES-based leaching was effective and selective in a polymetallic matrix and achieved recoveries comparable to or better than acid leaching without generating toxic emissions. Although flotation and chlorination had limited effects on overall recovery, the results demonstrate the viability of integrated and cleaner technologies for valorizing tailings that contain critical metals such as cobalt. Full article
Show Figures

Figure 1

20 pages, 18211 KB  
Article
Dechlorination Through Torrefaction: A Pretreatment for Co-Pyrolysis of PVC-Biomass Blends
by Zhen Zhao, Meng Chen and Lei Wang
Processes 2025, 13(11), 3543; https://doi.org/10.3390/pr13113543 - 4 Nov 2025
Viewed by 617
Abstract
This study investigates the torrefaction of polyvinyl chloride (PVC) and cellulose, two major constituents of agricultural waste, with the aim of improving chlorine removal and enhancing the energy quality of the resulting solid products. Thermodynamic simulations using HSC Chemistry 9.0 were first conducted [...] Read more.
This study investigates the torrefaction of polyvinyl chloride (PVC) and cellulose, two major constituents of agricultural waste, with the aim of improving chlorine removal and enhancing the energy quality of the resulting solid products. Thermodynamic simulations using HSC Chemistry 9.0 were first conducted to predict equilibrium compositions, particularly chlorine-containing species. Thermogravimetric analysis (TGA) and coupled TGA-FTIR were employed to monitor mass loss and identify gaseous chlorine compounds. Based on these preliminary results, torrefaction experiments were carried out at temperatures of 250–300 °C and durations of 30–90 min. The results demonstrate a significant synergistic effect between cellulose and PVC during co-torrefaction, achieving 97% chlorine removal under optimal conditions (9:1 cellulose-to-PVC ratio, 250 °C, 30 min). This effective dechlorination helps mitigate Cl-induced corrosion and reduces the risk of dioxin formation in industrial applications, enabling the sustainable upcycling of PVC-contaminated biomass into clean solid fuels. Torrefaction temperature exerted a stronger influence than time on mass loss, yielding approximately 40% solid residue at 300 °C. While both solid and energy yields decreased with increasing temperature and time, the O/C and H/C atomic ratios decreased by 56% and 48%, respectively, indicating a substantial improvement in fuel properties. The observed synergy is attributed to cellulose-derived hydroxyl radicals promoting PVC dehydrochlorination. This process offers a scalable and economically viable pretreatment route for PVC-containing biomass, potentially reducing boiler corrosion and hazardous emissions. Full article
(This article belongs to the Section Environmental and Green Processes)
Show Figures

Figure 1

12 pages, 1990 KB  
Article
Dichloro-Bis(1-Alkyl/Styryl-Benzimidazole)-Cobalt(II) Pre-Catalyst for Ethylene Dimerization
by Shaima Hkiri, Neslihan Şahin, Romain Sabourin, Rémi Brandt, İsmail Özdemir and David Sémeril
Organics 2025, 6(4), 49; https://doi.org/10.3390/org6040049 - 4 Nov 2025
Viewed by 404
Abstract
A series of five cobalt(II) complexes, dichloro-bis(1-benzyl-benzimidazole)-cobalt(II) (1a), dichloro-bis[1-(4-fluorobenzyl)-benzimidazole]-cobalt(II) (1b), dichloro-bis((Z)-1-styryl-benzimidazole)-cobalt(II) (1c), dichloro-bis[(Z)-1-(2-fluorostyryl)-benzimidazole]-cobalt(II) (1d) and dichloro-bis(1-cinnamyl-benzimidazole)-cobalt(II) (1e), were evaluated in ethylene dimerization. Four of these complexes were described for [...] Read more.
A series of five cobalt(II) complexes, dichloro-bis(1-benzyl-benzimidazole)-cobalt(II) (1a), dichloro-bis[1-(4-fluorobenzyl)-benzimidazole]-cobalt(II) (1b), dichloro-bis((Z)-1-styryl-benzimidazole)-cobalt(II) (1c), dichloro-bis[(Z)-1-(2-fluorostyryl)-benzimidazole]-cobalt(II) (1d) and dichloro-bis(1-cinnamyl-benzimidazole)-cobalt(II) (1e), were evaluated in ethylene dimerization. Four of these complexes were described for the first time and fully characterized by IR, elemental analysis, mass and NMR spectroscopy. In the solid state, the cobalt atom exhibited a typical tetrahedral geometry and was found to be coordinated to two chlorine atoms and two benzimidazole rings. In the presence of 20 bar of ethylene and diethylaluminium chloride as a co-catalyst, the complex with styryl substituents on the benzimidazole rings, complex 1c, exhibited the highest activity with a turnover frequency of 3430 mol(ethylene)·mol(Co)−1·h−1. Full article
Show Figures

Graphical abstract

14 pages, 1186 KB  
Article
Optimizing Iron Dosage in Photo-Fenton Treatment of 2,6-Dichlorobenzoquinone for Sustainable Wastewater Remediation
by Unai Duoandicoechea and Natalia Villota
Separations 2025, 12(11), 297; https://doi.org/10.3390/separations12110297 - 29 Oct 2025
Viewed by 1264
Abstract
Chlorinated benzoquinones, such as 2,6-dichlorobenzoquinone (DCBQ), are toxic disinfection byproducts of growing concern in aquatic environments. Advanced oxidation processes, particularly photo-Fenton treatment, provide sustainable alternatives for their degradation. However, optimization is required to ensure not only the removal of the parent compound but [...] Read more.
Chlorinated benzoquinones, such as 2,6-dichlorobenzoquinone (DCBQ), are toxic disinfection byproducts of growing concern in aquatic environments. Advanced oxidation processes, particularly photo-Fenton treatment, provide sustainable alternatives for their degradation. However, optimization is required to ensure not only the removal of the parent compound but also the reduction in harmful intermediates. This study evaluated the degradation of DCBQ (1.0 mM H2O2, 150 W UV, pH 3.0, 25 °C) with ferrous ion between 0 and 1.0 mg/L. DCBQ removal followed a second-order kinetic model, reaching complete degradation. Aromaticity-loss and water color degradation adjusted to kinetics of second-order, reflecting the sequential reduction in chlorinated hydroquinones and chlorophenols type intermediates, with marked decreases after 120 min at 0.8 mg/L. Results showed that increasing iron dosage enhanced both the rate of DCBQ disappearance and the removal of aromaticity, with complete pollutant degradation. Importantly, optimal ferrous ion dosages (20 mol DCBQ: 70 mol H2O2: 1 mol Fe2+) effectively limited the persistence of intermediates, as evidenced by significant decreases in color and aromaticity, while avoiding excessive turbidity. These findings demonstrate that fine-tuning iron dosage in photo-Fenton systems can maximize contaminant elimination and minimize secondary byproducts, reinforcing their role as sustainable solutions for wastewater remediation. Full article
Show Figures

Figure 1

15 pages, 3223 KB  
Article
A Novel CaCl2 Chlorination Roasting Process for High-Efficiency Purification of Quartz Sand
by Tianle Gao, Guangshi Li, Xin Sheng, Chali Wang, Chenteng Sun, Zhongya Pang, Weifan Gao, Ronghua Zhang, Helin Xiao, Qian Xu, Xingli Zou and Xionggang Lu
Minerals 2025, 15(11), 1127; https://doi.org/10.3390/min15111127 - 28 Oct 2025
Viewed by 735
Abstract
To address the challenges of high impurity content and low whiteness in quartz sand, this study proposes a combined process of solid-state chlorination roasting followed by acid leaching. By using calcium chloride (CaCl2), a safe and low-cost solid chlorinating agent, mixed [...] Read more.
To address the challenges of high impurity content and low whiteness in quartz sand, this study proposes a combined process of solid-state chlorination roasting followed by acid leaching. By using calcium chloride (CaCl2), a safe and low-cost solid chlorinating agent, mixed with quartz sand for chlorination rofasting, the process effectively removes key impurity elements such as aluminum (Al) and iron (Fe), thereby enhancing the whiteness of the quartz sand. The quartz sand used in the experiment had an aluminum content of 4519 ppm and an iron content of 496.3 ppm. Under optimized conditions—a mass ratio of quartz sand to CaCl2 of 1:0.1, a roasting time of 2 h, and a roasting temperature of 1100 °C—the contents of aluminum and iron impurities were reduced to 422.62 ppm and 124.43 ppm, respectively, although the calcium content increased significantly. Subsequent acid leaching further reduced the residual impurities and the introduced calcium elements. The results demonstrate that the combined process achieved removal rates of 91.1% for aluminum, 90.7% for iron, and 50.2% for calcium, while increasing the whiteness to 85.2 Wb. This approach exhibits significant advantages compared to standalone acid leaching or chlorination roasting. This approach exhibits significant advantages compared to standalone acid leaching or chlorination roasting, thus offering a viable technical route for the production of high-quality panel-grade quartz sand. Full article
(This article belongs to the Special Issue Mineralogical Characteristics and Purification Process of Quartz)
Show Figures

Figure 1

20 pages, 6015 KB  
Article
Selective Lithium Extraction via Chlorination Roasting and Subsequent Valuable Metal Leaching from Spent Lithium-Ion Batteries
by Minji Kim, Seungyun Han, Yong Hwan Kim, Young-Min Kim and Eunmi Park
Metals 2025, 15(10), 1085; https://doi.org/10.3390/met15101085 - 29 Sep 2025
Viewed by 916
Abstract
The rapid growth of the electric vehicle (EV) market has highlighted the critical importance of securing a stable supply chain for lithium-ion battery (LIB) resources, thereby increasing the need for efficient recycling technologies. Among these, lithium recovery remains a major challenge due to [...] Read more.
The rapid growth of the electric vehicle (EV) market has highlighted the critical importance of securing a stable supply chain for lithium-ion battery (LIB) resources, thereby increasing the need for efficient recycling technologies. Among these, lithium recovery remains a major challenge due to significant losses during conventional processes. In this study, a chlorination roasting process was introduced to convert Li2O in spent LIBs into LiCl, which was subsequently evaporated for selective lithium extraction and recovery. Roasting experiments were conducted under air, vacuum, and N2 conditions at 800–1000 °C for 1–5 h, with Cl/Li molar ratios ranging from 0.5 to 8. The optimal condition for lithium evaporation, achieving 100% recovery, was identified as 1000 °C for 5 h, with a Cl/Li molar ratio of 6 under vacuum. Following lithium removal, residual valuable metals were extracted through H2SO4 leaching, and the effects of acid concentration and H2O2 addition on leaching efficiency were examined. The air-roasted samples exhibited the highest leaching performance, while the vacuum- and N2-roasted samples showed relatively lower efficiency; however, the addition of H2O2 significantly enhanced leaching yields in these cases. Full article
(This article belongs to the Section Extractive Metallurgy)
Show Figures

Graphical abstract

20 pages, 4745 KB  
Article
Water-Soaking Pretreatment for Enhanced Performance and Heavy Metal Immobilization in Alkali-Activated Pyrolysis MSWIFA Materials
by Shengyu Zhong, Liang Shen, Wanlan Xu, Yi Fang and Yunfeng Pan
Materials 2025, 18(19), 4520; https://doi.org/10.3390/ma18194520 - 28 Sep 2025
Viewed by 741
Abstract
This study demonstrates that synergistic pyrolysis and water-soaking pretreatment transforms municipal solid waste incineration fly ash (MSWI FA) into high-performance alkali-activated materials when combined with ground granulated blast furnace slag (GGBS). Pyrolysis reduced chlorine content by 94.3% and increased reactive components by 44.4%, [...] Read more.
This study demonstrates that synergistic pyrolysis and water-soaking pretreatment transforms municipal solid waste incineration fly ash (MSWI FA) into high-performance alkali-activated materials when combined with ground granulated blast furnace slag (GGBS). Pyrolysis reduced chlorine content by 94.3% and increased reactive components by 44.4%, thereby shifting hydration products from Friedel’s salt to ettringite (AFt). Subsequent water-soaking eliminated expansion-causing elemental aluminum, liberating activators for enhanced reaction completeness (29% higher cumulative heat release) and enabling a denser matrix with 71.5% harmless pores (<20 nm). The dual-treated FA (T-PFA) achieved exceptional mechanical performance—295.6% higher 56-day compressive strength versus untreated FA at a 1:1 ratio—while reducing porosity by 29.1% relative to pyrolyzed-only FA. Despite 22–38% increased total heavy metal content post-pyrolysis, matrix densification and enhanced C-A-S-H/AFt formation reduced Cr/Cd/Cu/Pb leaching by 11.3–66.7% through strengthened physical encapsulation and chemisorption, with all leachates meeting stringent HJ 1134-2020 thresholds. This integrated approach provides an efficient, environmentally compliant pathway for MSWI FA valorization in low-carbon construction materials. Full article
(This article belongs to the Topic Green Construction Materials and Construction Innovation)
Show Figures

Graphical abstract

17 pages, 2008 KB  
Article
Biochar Surface Chemistry Modification by Blending Hardwood, Softwood, and Refuse-Derived Fuel: Insights from XPS, FTIR, and Zeta Potential Analysis
by Paul C. Ani, Hasan J. Al-Abedi, Joseph D. Smith and Zeyad Zeitoun
Fuels 2025, 6(3), 71; https://doi.org/10.3390/fuels6030071 - 22 Sep 2025
Cited by 4 | Viewed by 1919
Abstract
This study investigates how the inclusion of refuse-derived fuel (RDF) alters the surface chemistry and electrostatic behavior of oak-based biochar. Biochars were produced using downdraft gasification at 850 °C from 100% oak (HW) and a ternary blend comprising 50% oak, 30% pine, and [...] Read more.
This study investigates how the inclusion of refuse-derived fuel (RDF) alters the surface chemistry and electrostatic behavior of oak-based biochar. Biochars were produced using downdraft gasification at 850 °C from 100% oak (HW) and a ternary blend comprising 50% oak, 30% pine, and 20% RDF (HW/SW/RDF). Characterization using Fourier transform infrared spectroscopy (FTIR), X-ray photoelectron spectroscopy (XPS), zeta potential, pH, and electrophoretic mobility was conducted to assess surface functionality and colloidal behavior. The RDF-containing biochar exhibited a 43.3% increase in surface nitrogen content (from 0.24% to 0.90%) and a 6.6% rise in calcium content (from 2.07% to 2.27%) alongside the introduction of chlorine (0.20%) and elevated silicon levels (0.69%) compared to RDF-free counterparts. A concurrent reduction in oxygen-containing functional groups was observed, as O1s decreased from 15.75% in HW to 13.37% in HW/SW/RDF. Electrokinetic measurements revealed a notable decrease in zeta potential magnitude from −31.5 mV in HW to −24.2 mV in HW/SW/RDF, indicating diminished surface charge and colloidal stability. Moreover, the pH declined from 10.25 to 7.76, suggesting a loss of alkalinity and buffering capacity. These compositional and electrostatic shifts demonstrate that RDF inclusion significantly modifies the surface reactivity of biochar, influencing its performance in catalysis, ion exchange, and nutrient retention. The findings underscore the need for tailored post-treatment strategies to enhance the functionality of RDF-modified biochars in environmental applications. Full article
Show Figures

Figure 1

20 pages, 4688 KB  
Article
Synthesis of Novel Tricyclic N-Acylhydrazones as Tubulin Polymerization Inhibitors
by Paola Corona, Michele Lai, Battistina Asproni, Giulia Sciandrone, Ilenia Lupinu, Roberta Ibba, Sandra Piras, Antonio Carta and Gabriele Murineddu
Int. J. Mol. Sci. 2025, 26(18), 9212; https://doi.org/10.3390/ijms26189212 - 20 Sep 2025
Viewed by 574
Abstract
A series of N-acylhydrazones bearing a 1,4-dihydroindeno[1,2-b]pyrrole ring, along with benzene and thiophene rings substituted with chlorine or methyl groups, was synthesized and evaluated for their antiproliferative and cytotoxic activity against the melanoma A375 cell line and to measure the [...] Read more.
A series of N-acylhydrazones bearing a 1,4-dihydroindeno[1,2-b]pyrrole ring, along with benzene and thiophene rings substituted with chlorine or methyl groups, was synthesized and evaluated for their antiproliferative and cytotoxic activity against the melanoma A375 cell line and to measure the inhibition of tubulin polymerization. Four compounds elicited interesting activity: derivatives, 1g and 1h showed a 25% slowdown of tubulin polymerization, whereas compounds 2c and 2d caused a slowdown of 40% and 60%, respectively. Molecular modelling results have confirmed that the most active N-acylhydrazones (1g, 1h, 2c, and 2d) may act as tubulin polymerization inhibitors. Full article
Show Figures

Figure 1

18 pages, 716 KB  
Perspective
Do Soil Methanotrophs Really Remove About 5% of Atmospheric Methane?
by Xiaokun Yao, Tao Tao, Wei Li, Tingzhen Ming and Renaud de Richter
Land 2025, 14(9), 1864; https://doi.org/10.3390/land14091864 - 12 Sep 2025
Viewed by 1311
Abstract
It has been experimentally proved that microorganisms in soils are able to remove atmospheric methane (CH4), particularly through experiments with radioelements such as 14CH4. However, a curious question arises: are these microorganisms the only responsible sink for all [...] Read more.
It has been experimentally proved that microorganisms in soils are able to remove atmospheric methane (CH4), particularly through experiments with radioelements such as 14CH4. However, a curious question arises: are these microorganisms the only responsible sink for all atmospheric CH4 uptake attributed to soils, or do non-microbial (e.g., chemical) processes also contribute part of it? In this perspective article, we propose that atmospheric methane removal (AMR) in soils may result from a combination of microbial and non-microbial processes. In addition to oxidation by MOB, we analyzed the potential roles of photocatalytic reactions on soil minerals, Fenton-like chemistry in water droplets, chlorine radical pathways in chloride-rich soils and ozone/VOCs-driven •OH generation. These chemical mechanisms may act independently or intertwined with microbial activity under specific environmental conditions. We suggest that future studies use experimental approaches to explore and quantify the relative contributions of these pathways and to help refine our understanding of the soil CH4 sink in the global methane budget. Full article
(This article belongs to the Section Land, Soil and Water)
Show Figures

Figure 1

Back to TopTop