You are currently viewing a new version of our website. To view the old version click .
Organics
  • Article
  • Open Access

4 November 2025

Dichloro-Bis(1-Alkyl/Styryl-Benzimidazole)-Cobalt(II) Pre-Catalyst for Ethylene Dimerization

,
,
,
,
and
1
Synthèse Organométallique et Catalyse, UMR-CNRS 7177, Strasbourg University, 67008 Strasbourg, France
2
Department of Science Education, Faculty of Education, Cumhuriyet University, 58040 Sivas, Türkiye
3
Department of Engineering Basic Sciences, Faculty of Engineering and Natural Sciences, Malatya Turgut Özal University, 44900 Malatya, Türkiye
4
Drug Application and Research Center, İnönü University, 44280 Malatya, Türkiye

Abstract

A series of five cobalt(II) complexes, dichloro-bis(1-benzyl-benzimidazole)-cobalt(II) (1a), dichloro-bis[1-(4-fluorobenzyl)-benzimidazole]-cobalt(II) (1b), dichloro-bis((Z)-1-styryl-benzimidazole)-cobalt(II) (1c), dichloro-bis[(Z)-1-(2-fluorostyryl)-benzimidazole]-cobalt(II) (1d) and dichloro-bis(1-cinnamyl-benzimidazole)-cobalt(II) (1e), were evaluated in ethylene dimerization. Four of these complexes were described for the first time and fully characterized by IR, elemental analysis, mass and NMR spectroscopy. In the solid state, the cobalt atom exhibited a typical tetrahedral geometry and was found to be coordinated to two chlorine atoms and two benzimidazole rings. In the presence of 20 bar of ethylene and diethylaluminium chloride as a co-catalyst, the complex with styryl substituents on the benzimidazole rings, complex 1c, exhibited the highest activity with a turnover frequency of 3430 mol(ethylene)·mol(Co)−1·h−1.

1. Introduction

Benzimidazole is an aromatic heterocyclic compound that is formed from a benzene ring and an imidazole ring []. Consequently, the compound contains two nitrogen atoms. Subsequent to the grafting of a substituent onto one nitrogen atom, the second nitrogen atom can act as a coordinating atom with transition metals such as copper [], cobalt [,], gold [], iron [], palladium [], platinum [], ruthenium [] or zinc [,].
Following the concurrent discovery in 1998 by the groups of Brookhart and Gibson of [2,6-bis(arylimino)pyridyl]iron and cobalt dihalide complexes, which were found to be effective catalysts for the polymerization of ethylene into high-density polyethylene [,], a number of cobalt complexes containing nitrogen ligands have been developed for the oligomerization/polymerization of ethylene [].
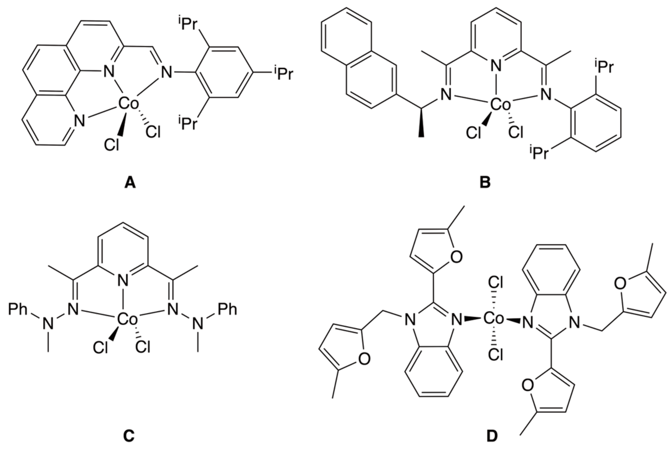
For instance, Solan and co-workers have described the synthesis of the dark green complex dichloro-[(E)-N-(2,4,6-triisopropylphenyl)-1-(1,10-phenanthrolin-2-yl)methan- imine]cobalt(II) (A) (Figure 1), in which the cobalt(II) atom adopted a distorted square pyramidal geometry. Subsequent to activation by methylaluminoxane (MAO), linear α-olefins (89% of formed olefins) were obtained with a Schulz–Flory distribution [], α = 0.85, and a turnover number (TOF) of 185 mol(ethylene)·mol(A)−1·h−1 []. Bianchini and co-workers examined the dichloro-2,6-diisopropyl-N-{(E)-1-[6-{[(1S)-1-(2-naphthyl)ethyl]-ethanimidoyl}-2-pyridinyl]ethylidene}aniline]cobalt(II) (B) (Figure 1) in ethylene oligomerization under a pressure of 4.1 bar at 25 °C. After activation of MAO, the complex exhibited an activity of 1 × 105 mol(ethylene)·mol(B)−1·h−1, which was approximately five times lower than that measured with the iron analogue complex [].
Figure 1. Selection of cobalt(II) complexes (AD) for oligomerization of ethylene.
Gibson and co-workers described the synthesis and characterization of dichloro-2,6-diacetylpyridinebis(N,N-dialkyl/aryl-methylhydrazone)cobalt(II) complexes (Figure 1). The pre-catalysts, when combined with the MAO as co-catalyst, resulted in active catalysts for ethylene oligomerization. The catalytic activities were found to be directly dependent on the substituents of the two nitrogen atoms. The most effective complex, complex C, facilitated the formation of α-olefins, following a Schulz–Flory distribution, α = 0.84, and with an activity of 850 mol(ethylene)·mol(C)−1·h−1 [].
Conversely, Sun and co-workers have demonstrated that complex dichloro-bis [1-((5-methyl-2-furyl)methylene)-2-(5-methyl-2-furyl)benzimidazole]cobalt(II) (D) (Figure 1) functions as an effective catalyst for ethylene oligomerization. Consequently, at ambient temperature and under 9 bar of ethylene with MAO as a co-catalyst (1000 equivalents per complex), the formation of butenes and hexenes occurred with a TOF of 1.5 × 104 mol(ethylene)·mol(D)−1·h−1 [].
In the present article, we will continue to develop new cobalt(II) complexes containing benzimidazole aromatic nuclei substituted with alkyl or styryl groups as ligands [].
The underlying motivation for this research stems from the fact that these complexes can be synthesized in two steps from benzimidazole, an inexpensive compound, with a cost of less than 0.5 EUR per gram. This price was equivalent to that of 2,6-diacetylpyridine or 2,6-dibromopyridine, which were the precursors used for the synthesis of the state-of-the-art Brookhart and Gibson-type complexes. Cobalt(II) chloride is a cost-effective solution, with a market price of less than 2 EUR per gram. In the presence of ethylene, it is hypothesized that the low steric hindrance around the metal center of these complexes will favor chain termination steps against chain propagation, thereby generating short oligomeric chains. To this end, five cobalt complexes (1a–e) will undergo evaluation in the dimerization of ethylene (Figure 2).
Figure 2. Cobalt(II) complexes (1a1e) studied.

2. Materials and Methods

2.1. General

The manipulations were carried out under dry argon with dried solvents. The acquisition of the 1H, 13C{1H} and 19F{1H} spectra was carried out through the utilization of AC 300 and 500 Bruker FT instruments in CDCl3. The spectra were subsequently referenced to the residual protonated solvent for 1H (δ = 7.26 ppm) and 13C{1H} (δ = 77.16 ppm) NMR or given relative to external CCl3F for 19F{1H} NMR. Chemical shifts are reported in ppm. Mass spectra were recorded on a Bruker MicroTOF spectrometer (ESI-TOF). UV–visible spectra were performed on an Agilent Technologies Cary 60 UV-Vis spectrometer. The infrared spectra were recorded on a Bruker ATR FT-IR Alpha-P spectrometer. 1-Benzyl-benzimidazole (2a) [], 1-(4-fluorobenzyl)-benzimidazole (2b) [], (Z)-1-styryl-benzimidazole (2c) [] and dichloro-bis(1-cinnamyl-benzimidazole)-cobalt(II) (1e) [] were prepared according to adapted published procedures.

2.2. Synthesis (Z)-1-(2-Fluorostyryl)-Benzimidazole (2d)

In a Schlenk tube under argon atmosphere, benzimidazole (5 mmol, 0.591 g) was dissolved in N-methyl-2-pyrrolidone (10 mL). Subsequently, potassium hydroxide (2.5 mmol, 0.140 g) was added to the solution, followed by the introduction of 2-fluorophenylacethylene (6 mmol, 0.68 mL). The reaction mixture was subjected to heating at 90 °C for a period of three days. After cooling to room temperature, an aqueous solution of sodium hydrogen carbonate (NaHCO3, 10 mL) was added and the resulting mixture was extracted with ethyl acetate (10 mL × 3). The combined organic solution was washed with brine (10 mL) and subsequently dried over MgSO4. The solvent was then removed under reduced pressure, leaving a solid residue. This crude product was purified by column chromatography on silica gel using a mixture of ethylacetate and petroleum ether (3:1 in volume). The target product 2d was obtained in a 22% yield as a white solid. FT-IR: ν(CN) 1486 cm−1; 1H NMR (300 MHz, CDCl3): δ = 7.84 − 7.79 (m, 1H, arom CH of C7H5N2), 7.81 (s, 1H, NCHN), 7.38 − 7.30 (m, 3H, arom CH of C7H5N2), 7.28 − 7.21 (m, 1H, arom CH of C6H4F), 7.10 − 6.92 (m, 3H, arom CH of C6H4F), 6.01 (d, 1H, NCH=CHAr, 3JHH = 9.0 Hz), 6.62 (d, 1H, NCH=CHAr, 3JHH = 9.0 Hz); 13C{1H} NMR (126 MHz, CDCl3): δ = 160.26 (d, CF, 1JCF = 250.1 Hz), 143.16, 133.03, 123.97, 123.21, 120.55, 110.30 (6 s, arom Cs), 141.68 (s, NCHN), 130.42 (d, arom CH of C6H4F, 3JCF = 8.4 Hz), 129.47 (d, arom CH of C6H4F, 4JCF = 2.8 Hz), 124.61 (d, arom CH of C6H4F, 3JCF = 3.6 Hz), 122.32 (d, NCH=CHAr, 3JCF = 1.6 Hz), 121.78 (d, arom Cquat of C6H4F, 2JCF = 14.0 Hz), 116.94 (d, NCH=CHAr, 4JCF = 3.5 Hz), 116.16 (d, arom CH of C6H4F, 2JCF = 21.7 Hz); 19F{1H} NMR (282 MHz, CDCl3): δ = −113.96 (s, CF arom) ppm. Elemental analysis (%): calcd for C15H11N2F (238.26): C: 75.62; H: 4.65; N: 11.76; found C: 75.55; H: 4.56; N: 11.68.

2.3. Synthesis of Cobalt Complexes

In a Schlenk tube under an inert atmosphere of argon, a solution of cobalt(II) chloride (CoCl2; 0.065 g, 0.50 mmol) and (1-alkyl/vinyl-benzimidazole (1.00 mmol) in ethanol (15 mL) was stirred at room temperature. Following a period of four hours, the blue precipitate that had been formed was filtered, washed with diethylether (3 × 10 mL), and dried under vacuum. This process resulted in the isolation of complexes 1a–e as blue solids.
Dichloro-bis(1-benzyl-benzimidazole)-cobalt(II) (1a): 84% yield (0.230 g); UV–visible (CH2Cl2) λmax = 582, 617, 634 and 660 nm; FT-IR: ν(C=N) 1510 cm−1; 1H NMR (300 MHz, CDCl3): δ = 27.68 (s br, 2H), 14.89 (s, 4H), 8.51 (s, 2H), 7.91 (s, 2H), 7.59 (s, 2H), 5.43 (s, 2H), 3.41 (s, 2H), 1.50 (s, 4H), 0.85 (s, 2H), −1.88 (s br, 2H) ppm. MS (ESI-TOF): m/z = 510.10 [M − Cl]+ (expected isotopic profiles). Elemental analysis (%): calcd for C28H24N4CoCl2 (546.36): C: 61.55; H: 4.43; N: 10.25; found C: 61.47; H: 4.32 N: 10.19.
Dichloro-bis[1-(4-fluorobenzyl)-benzimidazole]-cobalt(II) (1b): 59% yield (0.171 g); UV–visible (CH2Cl2) λmax = 580, 614, 635 and 656 nm; FT-IR: ν(C=N) 1509 cm−1; 1H NMR (300 MHz, CDCl3): δ = 82.24 (s br, 2H), 26.98 (s, 2H), 15.27 (s, 4H), 8.41 (s, 4H), 7.55 (s, 4H), 5.32 (s, 2H), 3.04 (s, 2H), 1.47 (s, 2H), −2.34 (s br, 2H); 19F{1H} NMR (282 MHz, CDCl3): δ = −111.46 (s, C6H4F) ppm. MS (ESI-TOF): m/z = 546.08 [M − Cl]+ and 604.04 [M + Na]+ (expected isotopic profiles). Elemental analysis (%): calcd for C28H22N4CoCl2F2 (582.34): C: 57.75; H: 3.81; N: 9.62; found C: 57.66; H: 3.69 N: 9.54.
Dichloro-bis((Z)-1-styryl-benzimidazole)-cobalt(II) (1c): 88% yield (0.251 g); UV–visible (CH2Cl2) λmax = 581, 618, 632 and 659 nm; FT-IR: ν(C=N) 1499 cm−1; 1H NMR (300 MHz, CDCl3): δ = 80.77 (s br, 2H), 26.50 (s, 2H), 20.00 (s, 2H), 9.26 (s, 2H), 7.35 (s, 4H), 7.19 (s, 6H), 5.77 (s, 2H), 3.21 (s, 2H), 1.41 (s, 2H) ppm. MS (ESI-TOF): m/z = 534.10 [M − Cl]+ (expected isotopic profiles). Elemental analysis (%): calcd for C30H24N4CoCl2 (570.38): C: 63.17; H: 4.24; N: 9.82; found C: 63.22; H: 4.19 N: 9.75.
Dichloro-bis[(Z)-1-(2-fluorostyryl)-benzimidazole]-cobalt(II) (1d): 59% yield (0.179 g); UV–visible (CH2Cl2) λmax = 582, 614, 635 and 657 nm; FT-IR: ν(C=N) 1503 cm−1; 1H NMR (300 MHz, CDCl3): δ = 81.47 (s br, 2H), 26.40 (s, 2H), 20.05 (s, 2H), 9.10 (s, 2H), 7.82 (s, 2H), 7.53 (s, 2H), 7.36 (s, 2H), 6.99 (s, 2H), 5.69 (s, 2H), 3.13 (s, 2H), 1.48 (s, 2H); 19F{1H} NMR (282 MHz, CDCl3): δ = −111.48 (s, C6H4F) ppm. MS (ESI-TOF): m/z = 570.08 [M − Cl]+, 611.11 [M − Cl + CH3CN]+ and 628.04 [M + Na]+ (expected isotopic profiles). Elemental analysis (%): calcd for C30H22N4CoCl2F2 (606.36): C: 59.42; H: 3.66; N: 9.24; found C: 59.58; H: 3.75 N: 9.36.
Dichloro-bis(1-cinnamyl-benzimidazole)-cobalt(II) (1e): 96% yield (0.184 g).); UV–visible (CH2Cl2) λmax = 583, 617, 638 and 660 nm; FT-IR: ν(C=N) 1511 cm−1; 1H NMR (300 MHz, CDCl3): δ = 27.28 (s, 2H), 14.99 (s, 4H), 8.93 (s, 2H), 7.81 − 7.39 (m, 12H), 5.37 (s, 2H), 3.16 (s, 2H), 1.42 (s, 2H), −2.67 (s br, 2H) ppm. MS (ESI-TOF): m/z = 562.14 [M − Cl]+ and 620.10 [M + Na]+ (expected isotopic profiles). Elemental analysis (%): calcd for C32H28N4CoCl2 (598.43): C: 64.23; H: 4.72; N: 9.36; found C: 64.03; H: 4.66 N: 9.23.

2.4. X-Ray Crystal Structure Analysis

Single crystals of dichloro-bis[1-(4-fluorobenzyl)-benzimidazole]-cobalt(II) (1b), suitable for X-ray analysis, were obtained through the slow diffusion of Et2O into a CH2Cl2 solution of the complex. The crystal structure was determined using a Bruker PHOTON-III CPAD with Mo-Kα radiation (λ = 0.71073 Å) at 120(2) K. The final structure was solved with SHELXT-2018/2 [], which revealed the non-hydrogen atoms of the molecule. Following anisotropic refinement, the location of all hydrogen atoms was ascertained through the use of a Fourier difference map. The structure was refined with SHELXL-2019/3 [] using the full-matrix least-square technique (use of F square magnitude; x, y, z, and βij for C, Cl, Co, F and N atoms; x, y, and z in a riding mode for H atoms) (Table 1). The Cambridge Crystallographic Data Centre (CCDC) contains the supplementary crystallographic data for the structures. The data can be obtained free of charge via Available online: www.ccdc.cam.ac.uk/structures (accessed on 20 October 2025).
Table 1. Selected crystallographic data for complex 1b.

2.5. Dimerization of Ethylene

The dimerization of ethyne was carried out in a glass-lined stainless-steel autoclave (100 mL), under argon, containing a magnetic stirrer bar. Thereafter, a solution of the cobalt complex (5 μmol) in toluene (9.75 mL) and a solution of Et2AlCl (0.25 mL; 0.9 M in toluene) were added. The autoclave was subjected to three cycles of flushing with ethylene, followed by pressurization to 20 bar. After stirring at 25 °C for one hour, the autoclave was cooled to 5 °C and depressurized over a period of 10 min. The flask containing the reaction mixture was weighed as quickly as possible to minimize the potential evolution of the butene products. The reaction yield was determined by comparing the final mass of the reaction mixture with the mass of the control reaction solution. The mass of the control reaction solution (i.e., the reaction mixture with no catalyst and no co-catalyst) was determined by adding toluene (10 mL) to the autoclave and stirring it under 20 bar of ethylene at 25 °C for one hour []. The reactor was cooled to 5 °C, vented to ambient pressure over a period of 10 min, and the flask containing the reaction mixture was weighed. Each catalytic test was repeated three times.

3. Results and Discussion

In the present article the potential of five cobalt(II) complexes, namely of dichloro-bis(1-benzyl-benzimidazole)-cobalt(II) (1a), dichloro-bis[1-(4-fluorobenzyl)-benzimidazole]-cobalt(II) (1b), dichloro-bis((Z)-1-styryl-benzimidazole)-cobalt(II) (1c), dichloro-bis[(Z)-1-(2-fluorostyryl)-benzimidazole]-cobalt(II) (1d) and dichloro-bis(1-cinnamyl-benzimidazole)-cobalt(II) (1e), as pre-catalysts for ethylene dimerization was investigated. First, the synthesis and characterization of the four new complexes 1a–d were described.

3.1. Synthesis of Cobalt(II) Complexes

The four novel cobalt(II) complexes 1a–d were synthesized using the same procedure developed for the synthesis of dichloro-bis(1-cinnamyl-benzimidazole)-cobalt(II) (1e) []. The dichloro-bis(1-alkyl/styryl-benzimidazole)-cobalt (II) complexes (1a–d) were obtained in a single step from 1-alkyl/styryl-benzimidazole (2a–d) and the precursor [CoCl2] with a stoichiometry of 2:1 in ethanol at room temperature for a period of 4 h. The blue precipitates formed are then filtered and washed with diethyl ether and dried, yielding cobalt complexes 1a–d with isolated yields of 59–88% (Scheme 1).
Scheme 1. Synthesis of cobalt(II) complexes (1a1d).
The characterization of these complexes, which exhibited stability in both the solid state and in solution when exposed to air and moisture, involved a combination of analytical techniques. The techniques employed included Fourier-transform infrared spectroscopy (FT-IR) and nuclear magnetic resonance (NMR) spectroscopic analyses, as well as microanalysis and mass spectrometry (see Supplementary Materials).
The formation of cobalt(II) complexes is demonstrated by infrared spectroscopy. An analysis of the infrared spectra of the complexes indicated a shift in the carbon-nitrogen double bond vibration bands, suggesting a modification in the molecular structure. For instance, the ν(C=N) band underwent a shift from 1492 cm−1 for the free 1-benzyl-benzimidazole (2a) to 1510 cm−1 after coordination (complex 1a) (Figure 3).
Figure 3. Infrared spectra of 1-benzyl-benzimidazole (2a; left) and the corresponding complex (1a; right).
The 3D configuration of the cobalt(II) cation determined the paramagnetic properties [] of the blue-formed complexes 1a–d. The 1H NMR spectra of the high-spin cobalt(II) displayed large signals within the range of −2.5 to 82.2 ppm (Figure 4) []. The 19F{1H} NMR spectra provided further insight into the coordination of the benzimidazole ligand, exhibiting a slight shift in the signal between the ligands, as observed for the (Z)-1-(2-fluorostyryl)-benzimidazole (2d) at −113.96 ppm, and the corresponding complex 1d at −111.48 ppm.
Figure 4. 1H NMR spectra of cobalt(II) complex (1d).
The presence of two 1-alkyl/styryl-benzimidazole ligands 2a–d in the metal coordination sphere was confirmed by elemental analysis of the complexes. Furthermore, mass spectroscopy revealed the presence of intense peaks at m/z = 510.10, 546.08, 534.10, and 570.08, corresponding to the cations [M − Cl]+, with the expected isotopic profiles, for complexes 1a, 1b, 1c and 1d, respectively. A secondary peak at m/z = 604.04 and 628.04, corresponding to [M + Na]+, with the expected isotopic profiles, is also discerned for complexes 1b and 1d, respectively.

3.2. Solid-State Structures

X-ray diffraction analyses of single crystals of dichloro-bis[1-(4-fluorobenzyl)-benzimidazole]-cobalt(II) (1b) (Figure 5) and dichloro-bis((Z)-1-styryl-benzimidazole)-cobalt(II) (1c) (Figure S17) complexes definitively confirmed the coordination of two N-alkyl/aryl benzimidazole units at the metal center. Crystals suitable for solid-state analysis were obtained by slow diffusion of diethyl ether into a dichloromethane solution of the cobalt(II) complex. The complexes were found to crystalize in the triclinic space group P 1 ¯ .
Figure 5. ORTEP drawing of the cobalt(II) complex (1b) (50% probability thermal ellipsoids). Important bond lengths (Å) and angles (◦): Co1-N1 2.0111(17), Co1-N3 2.0151(19), Co1-Cl1 2.2461(6), Co1-Cl2 2.2429(6), N1-C1 1.323(3), C1-N2 1.353(3), N2-C2 1.386(3), C2-C7 1.401(3), C7-N1 1.399(3), N3-C15 1.327(3), C15-N4 1.342(3), N4-C16 1.390(3), C16-C21 1.392(3), C21-N3 1.398(3), N1-Co1-N3 107.68(7), Cl1-Co1-Cl2 111.70(2), Cl1-Co1-N1 110.37(5), N1-Co1-Cl2 111.72(5), Cl2-Co1-N3 108.83(5), N3-Co1-Cl1 106.29(6), C1-N1-Co1 125.00(15), C7-N1-Co1 128.93(13), C15-N3-Co1 122.58(15), C21-N3-Co1 131.71(14).
As observed in the case of complexes with the general formula [CoCl2L2] (L = substituted benzimidazole), such as dichloro-bis(1-allylbenzimidazole)cobalt(II) [] and dichloro-bis(1-benzylbenzimidazole)cobalt(II) [], the cobalt atom adopted a slightly distorted tetrahedral geometry in complexes 1b and 1c with N1-Co1-N3 and Cl1-Co1-Cl2 angles of 107.68(7) and 111.70(2)°, respectively in complex 1b and N1-Co1-N3 and Cl1-Co1-Cl2 angles of 109.99(17) and 119.23(7)°, respectively in complex 1c. The metal center was linked to two chlorine atoms with bond lengths of 2.2461(6)/2.2429(6) and 2.2312(17)/2.2301(17) Å for complexes 1b and 1c, respectively, and two benzimidazole fragments with cobalt-azote bond lengths of 2.0111(17)/2.0151(19) and 2.027(4)/2.009(4) Å for complexes 1b and 1c, respectively. The aforementioned values were in close agreement with those previously reported for this type of cobalt(II) complexes [,,]. The two benzimidazole rings adopt dihedral angles of 82.14 and 64.97° for complexes 1b and 1c, respectively.

3.3. Ethylene Dimerization

The five cobalt(II) complexes 1a–e were evaluated in ethylene dimerization with di-ethylaluminium chloride (AlEt2Cl) serving as a co-catalyst (Co/Al ratio of 1/45). The reactions were carried out in toluene under 20 bars of ethylene at room temperature for one hour. All pre-catalysts demonstrated activity under these conditions, with TOFs ranging from 2500 to 3430 mol(ethylene)·mol(Co)−1·h−1 (Table 2). Interestingly, complexes with a benzyl substituent on the benzimidazole ring exhibited the lowest level of activity, with TOFs of 2500 and 2285 mol(ethylene)·mol(Co)−1·h−1 for pre-catalyst 1a and 1b, respectively (Table 2, entries 1 and 2). Similarly, the presence of fluorine atoms on the benzimidazole ligands has been shown to reduce the reactivity of the catalyst. For instance, substituting a hydrogen atom with a fluorine atom on the styryl ligand resulted in a reduction in the TOF from 3430 to 3285 mol(ethylene)·mol(Co)−1·h−1, complexes 1c and 1d, respectively (Table 2, entries 3 and 4). This phenomenon can be attributed to the inductive attraction effect of the fluorine atom, which resulted in a reduction in the σ-donation capacity of the fluorinated ligand. This phenomenon is substantiated by the solid-state structures of complexes 1a and 1b, wherein the Co-N bond lengths were found to be slightly extended in complexes with fluorine atoms (2.007(5)/1.997(5) Å in 1a [] versus 2.0111(17)/20151(19) Å in 1b). A higher electron density in the metal has been demonstrated to facilitate the elementary step of β-elimination, otherwise known as a termination reaction. This phenomenon can be seen in the slightly lower activity that has been measured with fluorinated complexes.
Table 2. Cobalt-catalyzed dimerization of ethylene 1.
A notable observation was the correlation between the distance between the styryl substituent and the benzimidazole ring and the observed activity. Indeed, when the styryl moieties were grafted to the benzimidazole by a methylene, cinnamyl function, a decrease in activity was observed compared to a direct positioning of the styryl on the nitrogen atom, TOFs of 3320 versus 3430 mol(ethylene)·mol(Co)−1·h−1 for pre-catalysts 1e and 1c, respectively (Table 2, entries 3 and 5). This phenomenon can be attributed to the cis conformation of the styryl substituent, which facilitated proximity between the aromatic ring and the metal, thereby offering partial steric protection to the catalytic site.
The 1H NMR analysis of a dimerization test performed with pre-catalyst 1c in C6D6 instead of toluene shows only the formation of 1-butene; no isomerization products (cis- and trans-2-butene) are visible (Figure 6).
Figure 6. 1H NMR spectrum of a catalytic reaction realized in C6D6. The presence of toluene is observable, and it originated from the commercially available solution of the co-catalyst (Et2AlCl 0.9 M in toluene).

4. Conclusions

In the present article, we reported the synthesis of five dichloro-bis[1-alkyl/styryl-benzimidazole]-cobalt(II) complexes in which the benzimidazole ligand was substituted by a benzyl, 4-fluorobenzyl, styryl, 2-fluorostyryl or cinnamyl function and the ability of these complexes to dimerize ethylene. In the presence of Et2AlCl as co-catalyst, the maximum activity, TOF of 3430 mol(ethylene)·mol(Co)−1·h−1 was observed with the pre-catalyst bearing styryl substituents on the benzimidazole rings. The rigidity of the substituents should, in part, provide steric protection to the reactive center, thereby increasing its lifetime.
Future work will focus on exploiting the selective formation of 1-butene during orthogonal or one-pot polymerization with metallocene complexes to form linear low-density polyethylene [].

Supplementary Materials

The following supporting information can be downloaded at: https://www.mdpi.com/article/10.3390/org6040049/s1, characterizing data of (Z)-1-(2-fluorostyryl)-benzimidazole (2d) with Figure S1: FT-IR spectrum, Figure S2: 1H NMR spectrum, Figure S3: 13C{1H} NMR spectrum and Figure S4: 19F{1H} NMR spectrum; characterizing data of dichloro-bis(1-benzyl-benzimidazole)-cobalt(II) (1a) with Figure S5: FT-IR spectrum, Figure S6: Mass spectrum (ESI-TOF) and Figure S7: 1H NMR spectrum; characterizing data of dichloro-bis [1-(4-fluorobenzyl)-benzimidazole]-cobalt(II) (1b) with Figure S8: FT-IR spectrum, Figure S9: Mass spectrum (ESI-TOF), Figure S10: Mass spectrum (ESI-TOF), Figure S11: 1H NMR spectrum, Figure S12: 19F{1H} NMR spectrum, Figure S13: ORTEP drawing of the cobalt(II) complex 1b, Table S1: Bond lengths (Å) for the cobalt complex 1b and Table S2: Angles (°) for the cobalt complex 1b; characterizing data of dichloro-bis((Z)-1-styryl-benzimidazole)-cobalt(II) (1c) with Figure S14: FT-IR spectrum, Figure S15: Mass spectrum (ESI-TOF), Figure S16: 1H NMR spectrum, Table S3: Selected crystallographic data for complex 1c, Figure S17: ORTEP drawing of the cobalt(II) complex 1c, Table S4: Bond lengths (Å) for the cobalt complex 1c and Table S5: Angles (°) for the cobalt complex 1c; characterizing data of dichloro-bis[(Z)-1-(2-fluorostyryl)-benzimidazole]-cobalt(II) (1d) with Figure S18: FT-IR spectrum, Figure S19: Mass spectrum (ESI-TOF), Figure S20: 1H NMR spectrum and Figure S21: 19F{1H} NMR spectrum; characterizing data of dichloro-bis(1-cinnamyl-benzimidazole)-cobalt(II) complex (1e) with Figure S22: FT-IR spectrum, Figure S23: Mass spectrum (ESI-TOF), Figure S24: Mass spectrum (ESI-TOF) and Figure S25: 1H NMR spectrum.

Author Contributions

Conceptualization, N.Ş., İ.Ö. and D.S.; methodology, N.Ş. and D.S.; validation, S.H., N.Ş., İ.Ö. and D.S.; formal analysis, S.H., N.Ş. and D.S.; investigation, S.H., N.Ş., R.S., R.B. and D.S.; resources, D.S.; data curation, N.Ş. and D.S.; writing—original draft preparation, S.H.; writing—review and editing, D.S.; supervision, S.H., N.Ş., İ.Ö. and D.S. All authors have read and agreed to the published version of the manuscript.

Funding

This research received no external funding.

Data Availability Statement

The data presented in this study are available upon request from the corresponding authors.

Conflicts of Interest

The authors declare no conflicts of interest.

References

  1. Faheem, M.; Rathaur, A.; Pandey, A.; Singh, V.K.; Tiwari, A.K. A Review on the modern synthetic approach of benzimidazole candidate. ChemistrySelect 2020, 5, 3981–3994. [Google Scholar] [CrossRef]
  2. Pashchevskaya, N.V.; Nazarenko, M.A.; Bolotin, S.N.; Oflidi, A.I.; Panyushkin, V.T. Effect of the condition of synthesis on the composition and structure of copper(II) complexes with benzimidazole. Russ. J. Inorg. Chem. 2010, 55, 1425–1432. [Google Scholar] [CrossRef]
  3. López-Sandoval, H.; Londoño-Lemos, M.E.; Garza-Velasco, R.; Poblano-Meléndez, I.; Granada-Macías, P.; Gracia-Mora, I.; Barba-Behrens, N. Synthesis, structure and biological activities of cobalt(II) and zinc(II) coordination compounds with 2-benzimidazole derivatives. J. Inorg. Biochem. 2008, 102, 1267–1276. [Google Scholar] [CrossRef]
  4. Şahin, N.; Üstün, N.; Özdemir, İ.; Günal, S.; Özdemir, N.; Bülbül, H.; Gürbüz, N.; Özdemir, İ.; Sémeril, D. Antimicrobial activities of bis-(N-alkylbenzimidazole)-cobalt(II) and zinc (II) complexes. Inorg. Chem. Commun. 2023, 157, 111396. [Google Scholar] [CrossRef]
  5. Mota, V.Z.; Gonçalves de Carvalho, G.S.; Silva, A.D.; Costa, L.A.S.; de Almeida Machado, P.; Coimbra, E.S.; Ferreira, C.V.; Shishido, S.M.; Cuin, A. Gold complexes with benzimidazole derivatives: Synthesis, characterization and biological studies. Biometals 2014, 27, 183–194. [Google Scholar] [CrossRef]
  6. Hernández-Toledo, H.C.; Flores-Alamo, M.; Castillo, I. Bis(benzimidazole)amino thio- and selenoether iron(II) complexes as proton reduction electrocatalysts. J. Inorg. Biochem. 2023, 241, 112128. [Google Scholar] [CrossRef] [PubMed]
  7. Şeker, S.; Dogan, Ö.; Gürbüz, N.; Özdemir, N.; Özdemir, İ.; Bülbül, H. Synthesis of palladium complexes containing benzimidazole core and their catalytic activities in direct arylation of heteroaromatic species. J. Coord. Chem. 2024, 77, 434–447. [Google Scholar] [CrossRef]
  8. Dogan, U.; Özcan, Ö.; Alaca, G.; Arı, A.; Günnaz, S.; Yalçın, H.T.; Şahin, O.; İrisli, S. Novel benzimidazole-platinum(II) complexes: Synthesis, characterization, antimicrobial and anticancer activity. J. Mol. Struct. 2021, 1229, 129785. [Google Scholar] [CrossRef]
  9. Karabekmez, F.D.; Karaca, E.Ö.; Gürbüz, N.; Özdemir, N.; Özdemir, İ. Structural investigation and application of ruthenium(II)-benzimidazole complexes for N-alkylation. J. Organomet. Chem. 2025, 1028, 123530. [Google Scholar] [CrossRef]
  10. Small, B.L.; Brookhart, M.; Bennett, A.M.A. Highly active iron and cobalt catalysts for the polymerization of ethylene. J. Am. Chem. Soc. 1998, 120, 4049–4050. [Google Scholar] [CrossRef]
  11. Britovsek, G.J.P.; Gibson, V.C.; McTavish, S.J.; Solan, G.A.; White, A.J.P.; Williams, D.J.; Britovsek, G.J.P.; Kimberley, B.S.; Maddox, P.J. Novel olefin polymerization catalysts based on iron and cobalt. Chem. Commun. 1998, 849–850. [Google Scholar] [CrossRef]
  12. Bianchini, C.; Giambastiani, G.; Rios, I.G.; Mantovani, G.; Meli, A.; Segarra, A.M. Ethylene oligomerization, homopolymerization and copolymerization by iron and cobalt catalysts with 2,6-(bis-organylimino)pyridyl ligands. Coord. Chem. Rev. 2006, 250, 1391–1418. [Google Scholar] [CrossRef]
  13. Flory, P.J. Molecular size distribution in ethylene oxide polymers. J. Am. Chem. Soc. 1940, 62, 1561–1565. [Google Scholar] [CrossRef]
  14. Pelletier, J.D.A.; Champouret, Y.D.M.; Cadarso, J.; Clowes, L.; Gaañete, M.; Singh, K.; Thanarajasingham, V.; Solan, G.A. Electronically variable imino-phenanthrolinyl-cobalt complexes; synthesis, structures and ethylene oligomerisation studies. J. Organomet. Chem. 2006, 691, 4114–4123. [Google Scholar] [CrossRef]
  15. Bianchini, C.; Mantovani, G.; Meli, A.; Migliacci, F.; Zanobini, F.; Laschi, F.; Sommazzi, A. Oligomerisation of ethylene to linear α-olefins by new Cs- and C1-symmetric [2,6-bis(imino)pyridyl]iron and -cobalt dichloride complexes. Eur. J. Inorg. Chem. 2003, 2003, 1620–1631. [Google Scholar] [CrossRef]
  16. Britovsek, G.J.P.; Gibson, V.C.; Kimberley, B.S.; Mastroianni, S.; Redshaw, C.; Solan, G.A.; White, A.J.P.; Williams, D.J. Bis(imino)pyridyl iron and cobalt complexes: The effect of nitrogen substituents on ethylene oligomerisation and polymerization. J. Chem. Soc. Dalton Trans. 2001, 1639–1644. [Google Scholar] [CrossRef]
  17. Sun, W.-H.; Shao, C.; Chen, Y.; Hu, H.; Sheldon, R.A.; Wang, H.; Leng, X.; Jin, X. Controllable supramolecular assembly by π-π interactions: Cobalt(II) and copper(II) complexes with benzimidazole derivatives. Organometallics 2002, 21, 4350–4355. [Google Scholar] [CrossRef]
  18. Şahin, N.; Özdemir, İ.; Sémeril, D. Dichloro-bis(1-cinnamyl-benzimidazole)-Cobalt(II). Molbank 2024, 2024, M1911. [Google Scholar] [CrossRef]
  19. Chakraborty, A.; Debnath, S.; Ghosh, T.; Maiti, D.K.; Majumdar, S. An efficient strategy for N-alkylation of benzimidazoles/imidazoles in SDS-aqueous basic medium and N-alkylation induced ring opening of benzimidazoles. Tetrahedron 2018, 74, 5932–5941. [Google Scholar] [CrossRef]
  20. Sudakow, A.; Jones, P.G.; Lindel, T. Photochemical arylation of Brønsted acids with 2-azidobenzimidazole. Eur. J. Org. Chem. 2012, 2012, 681–684. [Google Scholar] [CrossRef]
  21. Reddy, V.P.; Iwasaki, T.; Kambe, N. Synthesis of imidazo and benzimidazo [2,1-a]-isoquinolines by rhodium-catalyzed intramolecular double C-H bond activation. Org. Biomol. Chem. 2013, 11, 2249–2253. [Google Scholar] [CrossRef]
  22. Sheldrick, G.M. SHELXT—Integrated space-group and crystal-structure determination. Acta Crystallogr. Sect. A 2015, 71, 3–8. [Google Scholar] [CrossRef] [PubMed]
  23. Sheldrick, G.M. Crystal structure refinement with SHELXL. Acta Crystallogr. Sect. C 2015, 71, 3–8. [Google Scholar] [CrossRef] [PubMed]
  24. Natarajan, N.; Chavagnan, T.; Sémeril, D.; Brenner, E.; Matt, D.; Ramesh, R.; Toupet, L. Cavitand chemistry: Nickel half-sandwich complexes with imidazolylidene ligands bearing one or two resorcinarenyl substituents. Eur. J. Inorg. Chem. 2018, 2018, 890–896. [Google Scholar] [CrossRef]
  25. Schmidt, J.G.; Brey, W.S.; Stoufer, C. Complexes of cobalt(II). IV. On the electron paramagnetic resonance spectra of some magnetically anomalous complexes of cobalt(II). Inorg. Chem. 1967, 6, 268–271. [Google Scholar] [CrossRef]
  26. Pankratova, Y.A.; Nelyubina, Y.V.; Novikov, V.V.; Pavlov, A.A. High-Spin cobalt(II) complex with record-breaking anisotropy of the magnetic susceptibility according to paramagnetic NMR spectroscopy data. Russ. J. Coord. Chem. 2021, 47, 10–16. [Google Scholar] [CrossRef]
  27. Şahin, N.; Yıldırım, İ.; Özdemir, N.; Gürbüz, N.; Özdemir, İ. First used of alkylbenzimidazole-cobalt(II) complexes as a catalyst for the N-alkylation of amines with alcohols under solvent-free medium. J. Organomet. Chem. 2020, 918, 121285. [Google Scholar] [CrossRef]
  28. Jian, F.; Wang, H.; Xiao, H. Synthesis, structures, and spectroscopic characterizations of the α and β forms of bis(N-phenmethyl-benzimidazole-N)dichloro cobalt(II) complex: CoCl2(C7H5N2CH2Ph)2. Struct. Chem. 2004, 15, 277–283. [Google Scholar] [CrossRef]
  29. Sémeril, D.; Lejeune, M.; Matt, D. Calix[4]arene-derived nickel diphosphine complexes for LLDPE synthesis via orthogonal tandem and one-pot catalysis. New J. Chem. 2007, 31, 502–505. [Google Scholar] [CrossRef]
Disclaimer/Publisher’s Note: The statements, opinions and data contained in all publications are solely those of the individual author(s) and contributor(s) and not of MDPI and/or the editor(s). MDPI and/or the editor(s) disclaim responsibility for any injury to people or property resulting from any ideas, methods, instructions or products referred to in the content.

Article Metrics

Citations

Article Access Statistics

Multiple requests from the same IP address are counted as one view.