Anion Transfer Reactions from Chiral Hypervalent Iodine Macrocycles
Abstract
1. Introduction
2. Materials and Methods
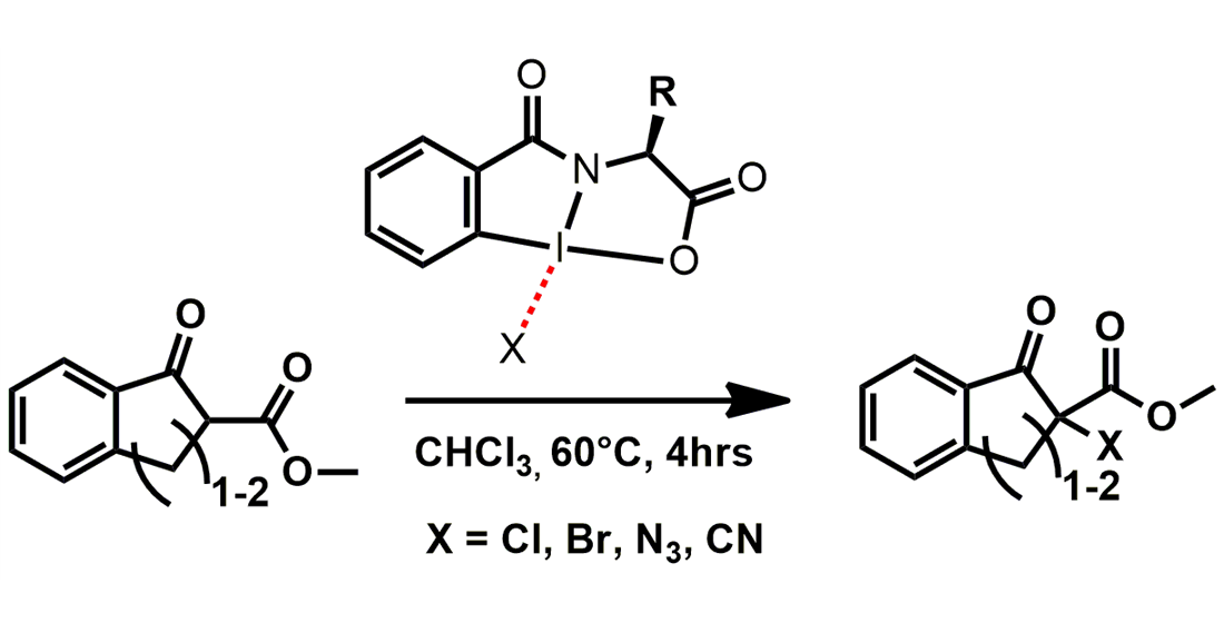
2.1. General Procedure for the Chlorination, Azidation and Bromination of 2-Acetyl-1-Tetralone
2.2. General Procedure for the Chlorination, Azidation and Bromination of the Methyl 1-Oxo-2,3-Dihydro-1H-Indene-2-Carboxylate
2.3. Chiral Column Separation
3. Results
4. Conclusions
Supplementary Materials
Author Contributions
Funding
Data Availability Statement
Conflicts of Interest
References
- Scotti, C.; Barlow, J.W. Natural Products Containing the Nitrile Functional Group and Their Biological Activities. Nat. Prod. Commun. 2022, 17, 1934578X221099973. [Google Scholar] [CrossRef]
- Bonatto, V.; Lameiro, R.F.; Rocho, F.R.; Lameira, J.; Leitão, A.; Montanari, C.A. Nitriles: An Attractive Approach to the Development of Covalent Inhibitors. RSC Med. Chem. 2023, 14, 201–217. [Google Scholar] [CrossRef] [PubMed]
- Wang, H.; Zhao, C.; Burešová, Z.; Bureš, F.; Liu, J. Cyano-Capped Molecules: Versatile Organic Materials. J. Mater. Chem. A 2023, 11, 3753–3770. [Google Scholar] [CrossRef]
- Bräse, S.; Gil, C.; Knepper, K.; Zimmermann, V. Organic Azides: An Exploding Diversity of a Unique Class of Compounds. Angew. Chem. Int. Ed. 2005, 44, 5188–5240. [Google Scholar] [CrossRef] [PubMed]
- Thirupathi, N.; Wei, F.; Tung, C.-H.; Xu, Z. Divergent Synthesis of Chiral Cyclic Azides via Asymmetric Cycloaddition Reactions of Vinyl Azides. Nat. Commun. 2019, 10, 3158. [Google Scholar] [CrossRef] [PubMed]
- Hernandes, M.Z.; Cavalcanti, S.M.; Moreira, D.R.; de Azevedo Junior, W.F.; Leite, A.C. Halogen Atoms in the Modern Medicinal Chemistry: Hints for the Drug Design. Curr. Drug Targets 2010, 11, 303–314. [Google Scholar] [CrossRef] [PubMed]
- Cantillo, D.; Kappe, C.O. Halogenation of Organic Compounds Using Continuous Flow and Microreactor Technology. React. Chem. Eng. 2017, 2, 7–19. [Google Scholar] [CrossRef]
- Barral, K.; Moorhouse, A.D.; Moses, J.E. Efficient Conversion of Aromatic Amines into Azides: A One-Pot Synthesis of Triazole Linkages. Org. Lett. 2007, 9, 1809–1811. [Google Scholar] [CrossRef] [PubMed]
- Wang, Y.-F.; Qiu, J.; Kong, D.; Gao, Y.; Lu, F.; Karmaker, P.G.; Chen, F.-X. The Direct Electrophilic Cyanation of β-Keto Esters and Amides with Cyano Benziodoxole. Org. Biomol. Chem. 2014, 13, 365–368. [Google Scholar] [CrossRef] [PubMed]
- Vita, M.V.; Waser, J. Azidation of β-Keto Esters and Silyl Enol Ethers with a Benziodoxole Reagent. Org. Lett. 2013, 15, 3246–3249. [Google Scholar] [CrossRef] [PubMed]
- Zhdankin, V.V.; Koposov, A.E.; Smart, J.T.; Tykwinski, R.R.; McDonald, R.; Morales-Izquierdo, A. Secondary Bonding-Directed Self-Assembly of Amino Acid Derived Benziodazoles: Synthesis and Structure of Novel Hypervalent Iodine Macrocycles. J. Am. Chem. Soc. 2001, 123, 4095–4096. [Google Scholar] [CrossRef] [PubMed]
- Pandey, K.; Arafin, S.; Jones, E.; Du, Y.; Kulkarni, G.C.; Uddin, A.; Woods, T.J.; Plunkett, K.N. Assembly and Disassembly of Supramolecular Hypervalent Iodine Macrocycles via Anion Coordination. J. Org. Chem. 2024, 89, 7437–7445. [Google Scholar] [CrossRef] [PubMed]
- Pandey, K.; Arafin, S.; Venus, G.; Jones, E.; Du, Y.; Pandey, M.D.; Awais, T.; Wang, L.; Plunkett, K.N. Pi-Extended Hypervalent Iodine Macrocycles and Their Supramolecular Assembly with Buckminsterfullerene. J. Mater. Chem. C 2025, 13, 842–848. [Google Scholar] [CrossRef]
- Pandey, K.; Orton, L.X.; Venus, G.; Hussain, W.A.; Woods, T.; Wang, L.; Plunkett, K.N. Supramolecular Assembly of Hypervalent Iodine Macrocycles and Alkali Metals. Beilstein J. Org. Chem. 2025, 21, 1095–1103. [Google Scholar] [CrossRef] [PubMed]






| Entry | HIM | Salt | Substrate | Adduct | Solvent | Time | Temp | Yield (%) |
|---|---|---|---|---|---|---|---|---|
| (Equivalent) | ||||||||
| 1 | none | TBA-Cl | 4 | none | Chloroform | 4 h | 60 °C | none |
| 2 | none | TBA-Cl | 5 | none | Chloroform | 4 h | 60 °C | none |
| 3 | 1b | TBA-Cl | 4 | 3a (1.3) | Chloroform | 4 h | RT | none |
| 4 | 1b | TBA-Cl | 4 | 3a (1.3) | Chloroform | 4 h | 60 °C | 56 |
| 5 | 1b | TBA-N3 | 4 | 3b (1.3) | Chloroform | 4 h | 60 °C | 60 |
| 6 | 1b | TBA-Br | 4 | 3c (1.3) | Chloroform | 4 h | 60 °C | 40 |
| 7 | 1a | TBA-Cl | 4 | 2a (2.6) | Chloroform | 48 h | 60 °C | 84 |
| 8 | 1a | TBA-N3 | 4 | 2b (2.6) | Chloroform | 48 h | 60 °C | 62 |
| 9 | 1a | TBA-Br | 4 | 2c (2.6) | Chloroform | 48 h | 60 °C | 50 |
| 10 | 1a | TBA-CN | 4 | 2d (2.6) | Chloroform | 48 h | 60 °C | 30 |
| 11 | 1b | TBA-Cl | 5 | 3a (2.6) | Chloroform | 22 h | 50 °C | 76 |
| 12 | 1b | TBA-N3 | 5 | 3b (2.6) | Chloroform | 22 h | 50 °C | 90 |
| 13 | 1b | TBA-Br | 5 | 3c (2.6) | Chloroform | 22 h | 50 °C | 33 |
| 14 | 1b | TBA-CN | 5 | 3d (2.6) | Chloroform | 22 h | 50 °C | 0 |
| 15 | 1a | NaCl | 4 | 2a (2.6) | DMSO/H2O | 22 h | 50 °C | 65 |
| 16 | 1a | NaBr | 4 | 2c (2.6) | DMSO/H2O | 48 h | 60 °C | 16 |
| 17 | 1a | NaN3 | 4 | 2b (2.6) | DMSO/H2O | 48 h | 60 °C | 20 |
Disclaimer/Publisher’s Note: The statements, opinions and data contained in all publications are solely those of the individual author(s) and contributor(s) and not of MDPI and/or the editor(s). MDPI and/or the editor(s) disclaim responsibility for any injury to people or property resulting from any ideas, methods, instructions or products referred to in the content. |
© 2025 by the authors. Licensee MDPI, Basel, Switzerland. This article is an open access article distributed under the terms and conditions of the Creative Commons Attribution (CC BY) license (https://creativecommons.org/licenses/by/4.0/).
Share and Cite
Pandey, M.D.; Awais, T.; Pandey, K.; Arafin, S.; Jones, E.; Plunkett, K.N. Anion Transfer Reactions from Chiral Hypervalent Iodine Macrocycles. Organics 2025, 6, 52. https://doi.org/10.3390/org6040052
Pandey MD, Awais T, Pandey K, Arafin S, Jones E, Plunkett KN. Anion Transfer Reactions from Chiral Hypervalent Iodine Macrocycles. Organics. 2025; 6(4):52. https://doi.org/10.3390/org6040052
Chicago/Turabian StylePandey, Mina Dumre, Tahir Awais, Krishna Pandey, Samsul Arafin, Eli Jones, and Kyle N. Plunkett. 2025. "Anion Transfer Reactions from Chiral Hypervalent Iodine Macrocycles" Organics 6, no. 4: 52. https://doi.org/10.3390/org6040052
APA StylePandey, M. D., Awais, T., Pandey, K., Arafin, S., Jones, E., & Plunkett, K. N. (2025). Anion Transfer Reactions from Chiral Hypervalent Iodine Macrocycles. Organics, 6(4), 52. https://doi.org/10.3390/org6040052

