Sign in to use this feature.

Years

Between: -

Subjects

remove_circle_outline
remove_circle_outline
remove_circle_outline
remove_circle_outline
remove_circle_outline

Journals

Article Types

Countries / Regions

Search Results (27)

Search Parameters:
Keywords = AQbD

Order results
Result details
Results per page
Select all
Export citation of selected articles as:
17 pages, 1294 KB  
Article
ICH Q14-Based Development of a Chaotropic Chromatography Method for the Determination of Olanzapine and Its Two Oxidative Degradation Products in Tablets
by Milena Rmandić, Marija Rašević, Kostas Gkountanas, Ana Protić, Anđelija Malenović and Yannis Dotsikas
Analytica 2026, 7(1), 24; https://doi.org/10.3390/analytica7010024 - 12 Mar 2026
Viewed by 336
Abstract
Impurity profiling is of significant analytical and regulatory importance, particularly in the context of lifecycle quality management. A robust chaotropic chromatography method was developed for the determination of olanzapine and its two oxidative degradation products in tablets, in accordance with the ICH Q14 [...] Read more.
Impurity profiling is of significant analytical and regulatory importance, particularly in the context of lifecycle quality management. A robust chaotropic chromatography method was developed for the determination of olanzapine and its two oxidative degradation products in tablets, in accordance with the ICH Q14 guideline and the principles of Analytical Quality by Design (AQbD). Risk assessment was performed using a combination of the Ishikawa diagram, CNX (Control, Noise and eXperimental) classification, and Failure Mode and Effect Analysis (FMEA). This multistep evaluation identified the critical analytical procedure parameters (APPs) as the acetonitrile content in the mobile phase, the concentration of perchloric acid in the aqueous phase, and the pH of the aqueous phase. These APPs were studied using an experimental design approach to model their effects on key analytical procedure attributes and to compute a multidimensional design space. Robust optimization supported by Monte Carlo simulations ensured compliance with predefined acceptance criteria with a probability of at least 95%. Method validation demonstrated adequate selectivity, limits of quantification of 0.75 µg/mL and 0.5 µg/mL for impurities B and D, linearity with correlation coefficients ≥0.990, accuracy of 98–102% for olanzapine and 70–130% for impurities, and repeatability with RSD ≤2% for the assay and ≤10% for impurities. The method was successfully applied to commercial tablet analysis. Full article
(This article belongs to the Section Chromatography)
Show Figures

Figure 1

14 pages, 2192 KB  
Article
AQbD Approach Applied to NIR in a Complex Topical Formulation: Bifonazole as Case Study
by Lucas Chiarentin, Vera Moura, Alberto A. C. C. Pais and Carla Vitorino
Pharmaceutics 2025, 17(7), 835; https://doi.org/10.3390/pharmaceutics17070835 - 26 Jun 2025
Cited by 1 | Viewed by 1052
Abstract
Background: A key challenge in modern pharmaceutical research is developing predictive models for drug formulation behavior. Since permeability is closely linked to molecular properties, considering a broad of characteristics is essential for building reliable predictive tools. Near-infrared spectroscopy (NIR), a non-destructive, non-invasive, and [...] Read more.
Background: A key challenge in modern pharmaceutical research is developing predictive models for drug formulation behavior. Since permeability is closely linked to molecular properties, considering a broad of characteristics is essential for building reliable predictive tools. Near-infrared spectroscopy (NIR), a non-destructive, non-invasive, and chemically specific method, offers a powerful alternative to current gold-standard methods approved by regulatory agencies. Objectives: This study aims to apply a partial analytical quality by design (AQbD) approach to enhance the understanding and development of NIR and RP-HPLC methodologies. Methods: The employment of NIR with multivariate data analysis enabled the establishment of chemometric models for the classification and quantification of bifonazole (BFZ) in cream formulations. Results: An analytical target profile (ATP) was defined to guide the selection of critical method variables and support method design and development activities. Risk assessment was carried out using an Ishikawa diagram. For the RP-HPLC method, key performance parameters such as peak area, theoretical plates, tailing factor, and assay were evaluated, while NIR spectra and BFZ concentration were considered for method performance. The quantification models enabled the accurate determination of BFZ content, yielding results of 8.48 mg via NIR and 8.34 mg via RP-HPLC, with an RSD of 1.25%. Conclusions: These findings demonstrate the robustness and reliability of the models, making them suitable for routine quality control of BFZ formulations. Future research should aim to explore its use for monitoring permeation dynamics in real time and integrating it into regulatory frameworks to standardize its application in pharmaceutical quality control and formulation development. Full article
(This article belongs to the Section Pharmaceutical Technology, Manufacturing and Devices)
Show Figures

Figure 1

19 pages, 5735 KB  
Article
AQbD-Based UPLC-ELSD Method for Quantifying Medium Chain Triglycerides in Labrafac™ WL 1349 for Nanoemulsion Applications
by Alessio Gaggero, Viktoria Marko, Dalibor Jeremic, Carolin Tetyczka, Philippe Caisse and Jesús Alberto Afonso Urich
Molecules 2025, 30(3), 486; https://doi.org/10.3390/molecules30030486 - 22 Jan 2025
Cited by 5 | Viewed by 3653
Abstract
In response to recent regulatory guidelines, including ICH (International Council for Harmonisation) Q2 (R2) and Q14, we developed a UPLC-ELSD method to quantify Medium-Chain Triglycerides (MCTs) in Labrafac™ WL 1349 for nanoemulsion applications. This procedure, crafted using Analytical Quality by Design (AQbD) principles, [...] Read more.
In response to recent regulatory guidelines, including ICH (International Council for Harmonisation) Q2 (R2) and Q14, we developed a UPLC-ELSD method to quantify Medium-Chain Triglycerides (MCTs) in Labrafac™ WL 1349 for nanoemulsion applications. This procedure, crafted using Analytical Quality by Design (AQbD) principles, addresses not only the validation of the methodology but also the lifecycle management challenges associated with the analysis of lipid-based excipients. Key parameters such as mobile phase composition, organic modifier, column type, flow rate, diluent, and column temperature were optimized to meet regulatory standards and ensure robustness in MCT quantification. Optimal conditions were achieved with a Waters Acquity HSS T3 (100 × 2.1 mm i.d., 1.8 μm) column at 33 °C, using a mixture of methanol (97.5%) and water (2.5%) containing 0.4% of formic acid at a flow rate of 0.41 mL/min. The method demonstrated an excellent fit on a cubic modelization for MCTs over a broad range of concentrations. Forced degradation studies, including hydrolytic (acidic and basic), oxidative, and thermal stress, confirmed the method’s suitability for possible stability scenarios. This validated UPLC method was successfully applied to quantitative analyses of bulk and formulation prototype samples containing MCTs. This AQbD-driven method enhances not only knowledge but also regulatory-compliant and cost-effective excipient control. Full article
(This article belongs to the Special Issue Applied Analytical Chemistry: Second Edition)
Show Figures

Graphical abstract

25 pages, 6923 KB  
Article
Important Aspects of the Design of Experiments and Data Treatment in the Analytical Quality by Design Framework for Chromatographic Method Development
by Bianca F. G. Passerine and Márcia C. Breitkreitz
Molecules 2024, 29(24), 6057; https://doi.org/10.3390/molecules29246057 - 23 Dec 2024
Cited by 10 | Viewed by 3859
Abstract
In the analytical quality by design (AQbD) framework, the design of experiments (DOE) plays a very important role, as it provides information about how experimental input variables influence critical method attributes. Based on the information obtained from the DOE, mathematical models are generated [...] Read more.
In the analytical quality by design (AQbD) framework, the design of experiments (DOE) plays a very important role, as it provides information about how experimental input variables influence critical method attributes. Based on the information obtained from the DOE, mathematical models are generated and used to build the method operable design region (MODR), which is a robust region of operability. Data treatment steps are usually carried out in software such as Fusion QbD, Minitab, or StaEase 360, among others. Although there are many studies in the literature that use the DOE, none of them address important aspects of data treatment for optimization and MODR generation and compare different software calculations. The purpose of this study is to contribute to a better understanding of data treatment aspects that are frequently misread or not fully understood, such as model selection, ANOVA results, and residual analysis. The discussion will be guided by the separation of curcuminoids, using ultra-high performance liquid chromatography and eight quality attributes as responses. This study highlights the importance of carefully selecting and evaluating models, as they significantly influence the generation of the MODR. Moreover, the findings emphasize that it is essential to incorporate uncertainties into the contour plots to accurately determine the MODR in compliance with the ICH Q14 guidelines and USP General Chapter <1220>. Full article
(This article belongs to the Section Analytical Chemistry)
Show Figures

Graphical abstract

16 pages, 1893 KB  
Article
Development of a QAMS Analysis Method for Industrial Lanolin Alcohol Based on the Concept of Analytical Quality by Design
by Kaidierya Abudureheman, Qinglin Wang, Hao Zhang and Xingchu Gong
Separations 2024, 11(9), 276; https://doi.org/10.3390/separations11090276 - 22 Sep 2024
Cited by 3 | Viewed by 2725
Abstract
The Analytical Quality by Design (AQbD) concept was adopted to establish a quantitative analysis of multi-components with a single marker (QAMS) method for industrial lanolin alcohol, targeting cholesterol, lanosterol, and 24,25-dihydrolanosterol. The potential critical method parameters (CMPs) were identified as column temperature, flow [...] Read more.
The Analytical Quality by Design (AQbD) concept was adopted to establish a quantitative analysis of multi-components with a single marker (QAMS) method for industrial lanolin alcohol, targeting cholesterol, lanosterol, and 24,25-dihydrolanosterol. The potential critical method parameters (CMPs) were identified as column temperature, flow rate, and gradient. Definitive screening design and statistical modeling were employed to optimize the gradient conditions of the mobile phase, column temperature, and flow rate. The Method Operable Design Region (MODR) was determined using a risk-based quantification approach. The robustness was assessed using a Plackett–Burman experimental design, followed by methodological validation. Optimal analytical conditions were as follows: acetonitrile (B)—water (A) mobile phase system; flow rate of 1.58 mL/min; detection wavelength of 205 nm; injection volume of 10 µL; and column temperature of 37 °C. A gradient elution program was implemented as follows: 0–19.0 min, 90.5% B; 19.0–25.0 min, 90.5–100% B; and 25.0–55.0 min, 100% B. Cholesterol served as an internal standard for quantifying lanosterol and 24,25-dihydrolanosterol, with relative correction factors of 0.4227 and 0.8228, respectively. This analytical method utilized only the cholesterol reference substance as an internal standard to quantify the content of cholesterol, lanosterol, and 24,25-dihydrolanosterol in industrial lanolin alcohol. It reduced the testing costs and enhanced efficiency, making it potentially suitable for widespread adoption in lanolin alcohol processing industries. Full article
Show Figures

Figure 1

18 pages, 4310 KB  
Article
Integrated Application of Risk Management Techniques in Developing an Analysis Method for Traditional Chinese Medicine: A Case Study of a Percolation Solution for Xiaochaihu Capsules
by Mintong Zhao, Yanni Tai, Gelin Wu, Feng Ding, Haibin Qu and Xingchu Gong
Chemosensors 2024, 12(8), 161; https://doi.org/10.3390/chemosensors12080161 - 12 Aug 2024
Cited by 4 | Viewed by 2292
Abstract
Risk management should run through the entire process of method development, utilization, and maintenance. Based on the analytical quality by design (AQbD) concept, various integrated risk management techniques were used in this study to develop an analysis method for the percolation solution of [...] Read more.
Risk management should run through the entire process of method development, utilization, and maintenance. Based on the analytical quality by design (AQbD) concept, various integrated risk management techniques were used in this study to develop an analysis method for the percolation solution of Xiaochaihu capsules. During the development of the analysis method, risk assessment was conducted using an Ishikawa diagram and failure mode effects analysis, followed by method optimization using experimental design. The probability of nonconformance calculated via an exhaustive Monte Carlo method quantitatively characterized the risk magnitude of method parameter failures, leading to the establishment of a operable design region method based on risk magnitude. Validation experiments and robustness tests of the data were utilized for model refinement and initial risk review. Methodological validation of the developed method was performed, and control strategies for the analysis method were presented through a decision tree. Stability experiments demonstrated that the samples remained stable at 4 °C for 24 h. The average recovery rate fell between 98.8% and 105%, with relative standard deviations ranging from 2.73% to 4.48%. The results showed that the established analysis method exhibited robustness. This analysis method can simultaneously determine the contents of uridine, adenine, 5-hydroxymethylfurfural, and guanosine. This method can also be employed for process control during percolation. This study integrated various risk management techniques to develop and maintain the analysis method, and this approach can potentially be extended to other analytical methods. Full article
(This article belongs to the Section Analytical Methods, Instrumentation and Miniaturization)
Show Figures

Figure 1

22 pages, 6185 KB  
Article
Stability-Indicating UPLC-PDA-QDa Methodology for Carvedilol and Felodipine in Fixed-Dose Combinations Using AQbD Principles
by Jesús Alberto Afonso Urich, Viktoria Marko, Katharina Boehm, Raymar Andreina Lara Garcia, Anna Fedorko, Sharareh Salar-Behzadi and Dalibor Jeremic
Sci. Pharm. 2024, 92(2), 22; https://doi.org/10.3390/scipharm92020022 - 25 Apr 2024
Cited by 9 | Viewed by 4160
Abstract
The development of analytical procedures, in line with the recent regulatory requirements ICH Q2 (R2) and ICH Q14, is progressing, and it must be able to manage the entire life cycle of the methodology. This is also applicable to and especially challenging for [...] Read more.
The development of analytical procedures, in line with the recent regulatory requirements ICH Q2 (R2) and ICH Q14, is progressing, and it must be able to manage the entire life cycle of the methodology. This is also applicable to and especially challenging for combinations of drug substances and dosage form. A reliable and efficient, stability-indicating, MS-compatible, reverse-phase ultra-performance liquid chromatographic (UPLC®) method was developed for the determination of carvedilol and felodipine in a combination oral dosage form. The development of the method, performed using analytical quality by design (AQbD) principles, was in line with the future regulatory requirements. Furthermore, the fixed-dose combination dosage forms are a clear solution to the polypharmacy phenomenon in the elderly population. The main factors evaluated were the mobile phase buffer, organic modifier, column, flow, and column temperature. The optimum conditions were achieved with a Waters Acquity HSS T3 (100 × 2.1 mm i.d., 1.8 µm) column at 38 °C, using ammonium acetate buffer (5 mM, pH 4.5) (Solution A) and MeOH (Solution B) as mobile phases in gradient elution (t = 0 min, 10% B; t = 1.5 min, 10% B; t = 12.0 min, 90% B; t = 13.0 min, 10% B; t = 15.5 min, 10% B) at a flow rate of 0.2 mL/min and UV Detection of 240 and 362 nm for carvedilol (CAV) and felodipine (FLP), respectively. The linearity was demonstrated over concentration ranges of 30–650 µg/mL (R2 = 0.9984) (CAV) and 32–260 µg/mL (R2 = 0.9996) (FLP). Forced degradation studies were performed by subjecting the samples to hydrolytic (acid and base), oxidative, and thermal stress conditions. Standard solution stability was also performed. The proposed validated method was successfully used for the quantitative analysis of bulk, stability, and fixed-dose combination dosage form samples of the desired drug product. Using the AQbD principles, it is possible to generate methodologies with improved knowledge, leading to high-quality data, lower operation costs, and minimum regulatory risk. Furthermore, this work paves the way for providing a platform of robust analytical methods for the simultaneous quantification of innovative on-demand new dose combinations. Full article
(This article belongs to the Special Issue Feature Papers in Scientia Pharmaceutica)
Show Figures

Graphical abstract

19 pages, 5431 KB  
Article
Increasing Analytical Quality by Designing a Thin-Layer Chromatography Scanner Method for the Determination of the Radiochemical Purity of Radiopharmaceutical Sodium Iodide 131I Oral Solution
by Miguel Vasquez-Huaman, Américo Castro-Luna, Norma Julia Ramos-Cevallos, Donald Ramos-Perfecto, Mario Alcarraz-Curi, Jacqueline Segura-Vasquez and Danny Cáceres-Antaurco
Molecules 2024, 29(8), 1883; https://doi.org/10.3390/molecules29081883 - 20 Apr 2024
Cited by 2 | Viewed by 3101
Abstract
The goal of this study was to apply the principles of analytical quality by design (AQbD) to the analytical method for determining the radiochemical purity (PQR) of the radiopharmaceutical sodium iodide 131I oral solution, utilizing thin-layer chromatography (TLC) with a radio–TLC scanner, [...] Read more.
The goal of this study was to apply the principles of analytical quality by design (AQbD) to the analytical method for determining the radiochemical purity (PQR) of the radiopharmaceutical sodium iodide 131I oral solution, utilizing thin-layer chromatography (TLC) with a radio–TLC scanner, which also enables the evaluation of product quality. For AQbD, the analytical target profile (ATP), critical quality attributes (CQA), risk management, and the method operable design region (MODR) were defined through response surface methodology to optimize the method using MINITAB® 19 software. This study encompassed the establishment of a control strategy and the validation of the method, including the assessment of selectivity, linearity, precision, robustness, detection limit, quantification limit, range, and the stability of the sample solution. Under the experimental conditions, the method parameters of the TLC scanner were experimentally demonstrated and optimized with an injection volume of 3 µL, a radioactive concentration of 10 mCi/mL, and a carrier volume of 40 µL. Statistical analysis confirmed the method’s selectivity for the 131I iodide band Rf of 0.8, a radiochemical impurity IO3 Rf of 0.6, a linearity from 6.0 to 22.0 mCi/mL, and an intermediate precision with a global relative standard deviation (RSD) of 0.624%. The method also exhibited robustness, with a global RSD of 0.101%, a detection limit of 0.09 mCi/mL, and a quantification limit of 0.53 Ci/mL, meeting the prescribed range and displaying stability over time (at 0, 2, and 20 h) with a global RSD of 0.362%, resulting in consistent outcomes. The development of a method based on AQbD facilitated the creation of a design space and an operational space, with comprehensive knowledge of the method’s characteristics and limitations. Additionally, throughout all operations, compliance with the acceptance criteria was verified. The method’s validity was confirmed under the established conditions, making it suitable for use in the manufacturing process of sodium iodide 131I and application in nuclear medicine services. Full article
(This article belongs to the Special Issue New Advances in Radiopharmaceutical Sciences)
Show Figures

Figure 1

17 pages, 2683 KB  
Article
The Applicability of Chromatographic Retention Modeling on Chiral Stationary Phases in Reverse-Phase Mode: A Case Study for Ezetimibe and Its Impurities
by Elek Ferencz, Éva-Katalin Kelemen, Mona Obreja, Gergő Tóth, Melinda Urkon, Arnold Zöldhegyi, Emese Sipos and Zoltán-István Szabó
Int. J. Mol. Sci. 2023, 24(22), 16097; https://doi.org/10.3390/ijms242216097 - 8 Nov 2023
Cited by 6 | Viewed by 2305
Abstract
Mechanistic modeling is useful for predicting and modulating selectivity even in early chromatographic method development. This approach is also in accordance with current analytical quality using design principles and is highly welcomed by the authorities. The aim of this study was to investigate [...] Read more.
Mechanistic modeling is useful for predicting and modulating selectivity even in early chromatographic method development. This approach is also in accordance with current analytical quality using design principles and is highly welcomed by the authorities. The aim of this study was to investigate the separation behavior of two different types of chiral stationary phases (CSPs) for the separation of ezetimibe and its related substances using the mechanistic retention modeling approach offered by the Drylab software (version 4.5) package. Based on the obtained results, both CSPs presented with chemoselectivity towards the impurities of ezetimibe. The cyclodextrin-based CSP displayed a higher separation capacity and was able to separate seven related substances from the active pharmaceutical ingredient, while the cellulose-based column enabled the baseline resolution of six impurities from ezetimibe. Generally, the accuracy of predicted retention times was lower for the polysaccharide CSP, which could indicate the presence of additional secondary interactions between the analytes and the CSP. It was also demonstrated that the combination of mechanistic modeling and an experimental design approach can be applied to method development on CSPs in reverse-phase mode. The applicability of the methods was tested on spiked artificial placebo samples, while intraday and long-term (2 years) method repeatability was also challenged through comparing the obtained retention times and resolution values. The results indicated the excellent robustness of the selected setpoints. Overall, our findings indicate that the chiral columns could offer orthogonal selectivity to traditional reverse-phase columns for the separation of structurally similar compounds. Full article
(This article belongs to the Special Issue Current Uses and Applications of Cyclodextrins)
Show Figures

Figure 1

14 pages, 4932 KB  
Article
Development of Analytical Quality by Design Compliant Chaotropic Chromatography Method for Ziprasidone and Its Five Impurities Determination
by Milena Rmandić, Đorđe Vasilić, Marija Rašević, Mira Zečević, Biljana Otašević, Ana Protić and Anđelija Malenović
Pharmaceuticals 2023, 16(9), 1296; https://doi.org/10.3390/ph16091296 - 14 Sep 2023
Cited by 2 | Viewed by 1985
Abstract
In this study, an AQbD-compliant chaotropic chromatography method for ziprasidone and the determination of its five impurities was developed. The influence of critical method parameters (initial and final methanol fraction in the mobile phase, gradient duration) on the set of selected critical method [...] Read more.
In this study, an AQbD-compliant chaotropic chromatography method for ziprasidone and the determination of its five impurities was developed. The influence of critical method parameters (initial and final methanol fraction in the mobile phase, gradient duration) on the set of selected critical method attributes (t_imp. V, t_imp. V − t_imp. I, S and <WUSP>) was studied by Box–Behnken design. The errors resulting from the calculation of the model coefficients were propagated to the selected responses by Monte Carlo simulations, and their predictive distribution was obtained. The design space was computed (π ≥ 80%), and a working point was selected: initial methanol fraction 38.5%, final methanol fraction 77.5%, and gradient duration 16.25 min. Furthermore, the quantitative robustness of the developed method was tested using the Plackett–Burman design. P_imp II and P_imp V were found to be significantly affected, the first by mobile phase flow rate and the second by gradient duration. Finally, the method was validated, and its reliability for routine quality control in capsules was confirmed. Full article
Show Figures

Figure 1

15 pages, 3238 KB  
Article
Application of a Quality by Design Approach to Develop a Simple, Fast, and Sensitive UPLC-MS/MS Method for Quantification of Safinamide, an Antiparkinson’s Drug, in Plasma
by Essam A. Ali, Mohamed A. Ibrahim, Muzaffar Iqbal, Rashad Alsalahi, Gamal A. Mostafa and Suliman Al Jarboua
Separations 2023, 10(9), 474; https://doi.org/10.3390/separations10090474 - 28 Aug 2023
Cited by 5 | Viewed by 2119
Abstract
Safinamide is an orally active, selective monoamine oxidase-B inhibitor with dopaminergic and non-dopaminergic properties approved by the European Medicine Agency and US Food and Drug Administration for the treatment of mid- to late-stage fluctuating Parkinson’s disease (PD) used in combination with other PD [...] Read more.
Safinamide is an orally active, selective monoamine oxidase-B inhibitor with dopaminergic and non-dopaminergic properties approved by the European Medicine Agency and US Food and Drug Administration for the treatment of mid- to late-stage fluctuating Parkinson’s disease (PD) used in combination with other PD medications such as levodopa. In this study, an analytical quality by design (AQbD) approach was applied to optimize an LC-MS/MS bioanalytical method to determine safinamide in human plasma. A full 33 factorial design was used to optimize safinamide separation conditions, with a method first screened and optimized using chromatographic responses, including peak area and retention time. The results showed that temperature had a significant indirect effect on retention time and peak area (p < 0.05), while ammonium acetate concentration had an insignificant indirect impact on peak area or retention time. However, the temperature was significantly agonistic to the effect of buffer concentration (p < 0.05). The resultant optimized chromatography conditions utilized 9.0 mM ammonium acetate buffer and acetonitrile (22.0:78.0) as mobile phases at a column temperature of 23.2 °C. The assay was linear from 0.1–1000 ng/mL, met acceptance criteria for inter- and intra-assay precision and accuracies across three quality controls, and was successfully applied to in vitro microsomal metabolic stability. The UPLC/MS/MS method was found to be adequately sensitive and suitable for routine safinamide pharmacokinetic studies. Full article
(This article belongs to the Section Chromatographic Separations)
Show Figures

Figure 1

17 pages, 8763 KB  
Article
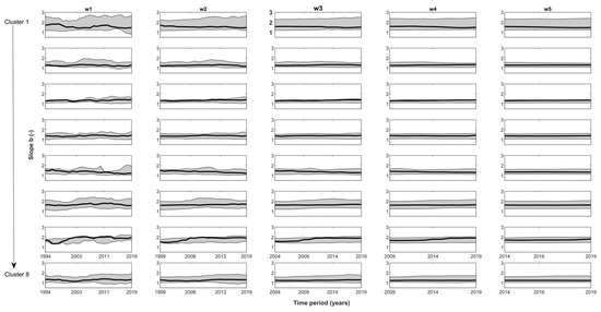
Analysis of the Behavior of Groundwater Storage Systems at Different Time Scales in Basins of South Central Chile: A Study Based on Flow Recession Records
by Víctor Parra, Enrique Muñoz, José Luis Arumí and Yelena Medina
Water 2023, 15(14), 2503; https://doi.org/10.3390/w15142503 - 8 Jul 2023
Cited by 6 | Viewed by 2613
Abstract
Understanding the groundwater storage and release (S-Q) process and its contribution to river flows is essential for different hydrological applications, especially in periods of water scarcity. The S-Q process can be characterized based on recession parameter b, which is the slope of [...] Read more.
Understanding the groundwater storage and release (S-Q) process and its contribution to river flows is essential for different hydrological applications, especially in periods of water scarcity. The S-Q process can be characterized based on recession parameter b, which is the slope of the power–law relationship −dQ/dt = aQb of the recession flow analysis, where recession parameter b represents the linearity of the S-Q process. In various studies, it has been found that this parameter can present high variability, which has been associated with the approach or spatial variability of basin characteristics. However, the variability of parameter b and its relationship with geology and the behavior of groundwater storage over time (evolution over time) have not been sufficiently studied. The objective of this study is to analyze the variability of recession parameter b and its relationship with geological and morphological characteristics and climate variability at different time scales. To this end, 72 drainage basins located in south central Chile were examined via recession flow analysis, considering five different time scales (5 years, 10 years, 15 years, 20 years, and 25 years). In addition, to analyze spatial variability patterns and generate groups of basins with similar characteristics, a cluster analysis was carried out. Clusters were obtained using the principal component analysis (PCA) and K-means methods. The results show that in wet periods, the slope of recession parameter b tends to increase (fast drainage process), while in dry periods, the recession slope tends to decrease (slow drainage processes). In general, the results suggest that the variability of recession coefficient b indicates changes in S-Q behavior; therefore, it could be used as an indicator of the sensitivity of a basin to climate variability. Full article
(This article belongs to the Section Hydrogeology)
Show Figures

Figure 1

17 pages, 2508 KB  
Article
Application of the Analytical Procedure Lifecycle Concept to a Quantitative 1H NMR Method for Total Dammarane-Type Saponins
by Wenzhu Li, Jiayu Yang, Fang Zhao, Xinyuan Xie, Jianyang Pan and Haibin Qu
Pharmaceuticals 2023, 16(7), 947; https://doi.org/10.3390/ph16070947 - 29 Jun 2023
Cited by 3 | Viewed by 2689
Abstract
Dammarane-type saponins (DTSs) exist in various medicinal plants, which are a class of active ingredients with effects on improving myocardial ischemia and immunomodulation. In this study, a quantitative 1H NMR method of total DTSs in herbal medicines was developed based on the [...] Read more.
Dammarane-type saponins (DTSs) exist in various medicinal plants, which are a class of active ingredients with effects on improving myocardial ischemia and immunomodulation. In this study, a quantitative 1H NMR method of total DTSs in herbal medicines was developed based on the analytical procedure lifecycle. In the first stage (analytical procedure design), the Ishikawa diagram and failure mode effects and criticality analysis were used to conduct risk identification and risk ranking. Plackett–Burman design and central composite design were used to screen and optimize critical analytical procedure parameter. Then, the method operable design region was obtained through modeling. In the second stage (analytical procedure performance qualification), the performance of methodological indexes was investigated based on analytical quality by design. As examples of continued procedure performance verification, the method was successfully applied to determine the total DTSs in herbal pharmaceutical preparations and botanical extracts. As a general analytical method to quantify total DTSs in medicinal plants or pharmaceutical preparations, the developed method provides a new quality control strategy for various products containing dammarane-type saponin. Full article
(This article belongs to the Special Issue Analytical Techniques in the Pharmaceutical Sciences 2023)
Show Figures

Figure 1

34 pages, 3631 KB  
Article
Rheology of Complex Topical Formulations: An Analytical Quality by Design Approach to Method Optimization and Validation
by Lucas Chiarentin, Catarina Cardoso, Margarida Miranda and Carla Vitorino
Pharmaceutics 2023, 15(7), 1810; https://doi.org/10.3390/pharmaceutics15071810 - 24 Jun 2023
Cited by 32 | Viewed by 10634
Abstract
Analytical method validation ensures that a method provides trustworthy information about a particular sample when applied in accordance with the predefined protocol. According to regulatory standards, the rheological characteristics of topically applied semisolid formulations are one of the key elements involved in microstructure [...] Read more.
Analytical method validation ensures that a method provides trustworthy information about a particular sample when applied in accordance with the predefined protocol. According to regulatory standards, the rheological characteristics of topically applied semisolid formulations are one of the key elements involved in microstructure equivalence documentation. Therefore, for generic drug product manufacturers, it is a dire need to take a step forward in rheology method development and validation procedures. This paper aims to apply Analytical Quality by Design (AQbD) principles towards the development and validation of rheology methods for topical creams, as complex semisolid formulations. Risk assessment was carried out through an Ishikawa diagram and an estimate failure mode, effects, and criticality analysis (FMECA). Sample application, peltier temperature control, and sample rest time were identified as critical method variables (CMVs), and a 23 full factorial design was applied to understand their impact on rotational, creep recovery and, oscillatory measurements. The development of the method was carried out as per the ICH Q8-Q10, and Q14 guidelines and validated according to ICH Q2 (R2) guideline. The method demonstrated adequate precision (RSD < 15%), as well as selectivity. AQbD provided a comprehensive framework for developing a reliable and effective rheology method for this type of formulation. Full article
(This article belongs to the Special Issue Semisolid Dosage (Volume III))
Show Figures

Figure 1

24 pages, 3473 KB  
Article
Quality by Design (QbD) Based Method for Estimation of Xanthohumol in Bulk and Solid Lipid Nanoparticles and Validation
by Vancha Harish, Waleed Hassan Almalki, Ahmed Alshehri, Abdulaziz Alzahrani, Madan Mohan Gupta, Sami I. Alzarea, Imran Kazmi, Monica Gulati, Devesh Tewari, Gaurav Gupta, Kamal Dua and Sachin Kumar Singh
Molecules 2023, 28(2), 472; https://doi.org/10.3390/molecules28020472 - 4 Jan 2023
Cited by 21 | Viewed by 4285
Abstract
The analytical quality by design (AQbD) approach is utilized for developing and validating the simple, sensitive, cost-effective reverse-phase high performance liquid chromatographic method for the estimation of xanthohumol (XH) in bulk and nanoformulations. The Box–Behnken design (BBD) is applied for method optimization. The [...] Read more.
The analytical quality by design (AQbD) approach is utilized for developing and validating the simple, sensitive, cost-effective reverse-phase high performance liquid chromatographic method for the estimation of xanthohumol (XH) in bulk and nanoformulations. The Box–Behnken design (BBD) is applied for method optimization. The mobile phase ratio, pH and flow rate were selected as independent variables, whereas retention time, peak area, peak height, tailing factor, and theoretical plates were selected as dependent variables. The chromatogram of XH obtained under optimized conditions has given optimum conditions such as retention time (5.392 min), peak area (1,226,737 mAU), peak height (90,121 AU), tailing factor (0.991) and theoretical plates (4446.667), which are contoured in the predicted values shown by BBD. Validation of the method has been performed according to ICH Q2(R1) recommendations, using optimized conditions for linearity, limit of detection (LOD) and limit of quantification (LOQ), accuracy, precision, robustness and system suitability. All the values of validation parameters lie within the acceptable limits prescribed by ICH. Therefore, the developed and validated method of XH by the AQbD approach can be applied for the estimation of XH in bulk and various nanoformulations. Full article
Show Figures

Figure 1

Back to TopTop