-
Comparison of Two- and Three-Phase Devices Generating a Rotating Magnetic Fieldfor Magnetic Hyperthermia Applications -
Magnetic Field Suppression of the Martensitic Transformation in Mn-Based MnNi(Fe)Sn Metamagnetic Shape Memory Heusler Alloys -
Landau Levels and Electronic States for Pseudospin-1 Lattices with a Bandgap: Application to a Lieb Lattice
Journal Description
Magnetism
Magnetism
is an international, peer-reviewed, open access journal on science and technology for all original researches on magnetism and related fields, published quarterly online by MDPI. The UK Magnetics Society (UKMagSoc) is affiliated with Magnetism and their members receive discounts on the article processing charges.
- Open Access— free for readers, with article processing charges (APC) paid by authors or their institutions.
- High Visibility: indexed within ESCI (Web of Science), Scopus and other databases.
- Rapid Publication: manuscripts are peer-reviewed and a first decision is provided to authors approximately 27.5 days after submission; acceptance to publication is undertaken in 4.8 days (median values for papers published in this journal in the second half of 2025).
- Recognition of Reviewers: APC discount vouchers, optional signed peer review, and reviewer names published annually in the journal.
- Magnetism is a companion journal of Electronics.
Latest Articles
Sextuple-Q Spin States in Centrosymmetric Hexagonal Magnets
Magnetism 2026, 6(1), 4; https://doi.org/10.3390/magnetism6010004 - 29 Dec 2025
Abstract
►
Show Figures
We theoretically investigate multiple-Q instabilities in centrosymmetric hexagonal magnets, formulated as superpositions of independent six ordering wave vectors related by sixfold rotational and mirror symmetries. By employing a spin model that incorporates biquadratic interactions and an external magnetic field, we establish a
[...] Read more.
We theoretically investigate multiple-Q instabilities in centrosymmetric hexagonal magnets, formulated as superpositions of independent six ordering wave vectors related by sixfold rotational and mirror symmetries. By employing a spin model that incorporates biquadratic interactions and an external magnetic field, we establish a comprehensive low-temperature phase diagram hosting single-Q, double-Q, triple-Q, and sextuple-Q states, as well as skyrmion crystals with topological charges of one and two. The field evolution of the magnetization, scalar spin chirality, and finite wave-vector magnetic amplitudes reveals a hierarchical buildup of multiple-Q order, accompanied by first-order transitions between topologically distinct and trivial phases. At large biquadratic coupling, all six symmetry-related ordering wave vectors coherently participate, giving rise to two sextuple-Q states under magnetic fields and to another spontaneous sextuple-Q state even at zero field. The latter zero-field sextuple-Q state represents a fully developed sixfold interference pattern stabilized solely by the biquadratic interaction, characterized by alternating skyrmion- and antiskyrmion-like cores with vanishing uniform scalar spin chirality. These findings establish a unified framework for understanding hierarchical multiple-Q ordering and demonstrate that the interplay between bilinear and biquadratic interactions under hexagonal symmetry provides a generic route to complex noncoplanar magnetism in centrosymmetric itinerant systems.
Full article
Open AccessReview
Recent Advances in Magnetooptics: Innovations in Materials, Techniques, and Applications
by
Conrad Rizal
Magnetism 2026, 6(1), 3; https://doi.org/10.3390/magnetism6010003 - 26 Dec 2025
Abstract
Magnetooptics (MO) explores light—matter interactions in magnetized media and has advanced rapidly with progress in materials science, spectroscopy, and integrated photonics. This review highlights recent developments in fundamental principles, experimental techniques, and emerging applications. We revisit the canonical MO effects: Faraday, MO Kerr
[...] Read more.
Magnetooptics (MO) explores light—matter interactions in magnetized media and has advanced rapidly with progress in materials science, spectroscopy, and integrated photonics. This review highlights recent developments in fundamental principles, experimental techniques, and emerging applications. We revisit the canonical MO effects: Faraday, MO Kerr effect (MOKE), Voigt, Cotton—Mouton, Zeeman, and Magnetic Circular Dichroism (MCD), which underpin technologies ranging from optical isolators and high-resolution sensors to advanced spectroscopic and imaging systems. Ultrafast spectroscopy, particularly time-resolved MOKE, enables femtosecond-scale studies of spin dynamics and nonequilibrium processes. Hybrid magnetoplasmonic platforms that couple plasmonic resonances with MO activity offer enhanced sensitivity for environmental and biomedical sensing, while all-dielectric magnetooptical metasurfaces provide low-loss, high-efficiency alternatives. Maxwell-based modeling with permittivity tensor ( ) and machine-learning approaches are accelerating materials discovery, inverse design, and performance optimization. Benchmark sensitivities and detection limits for surface plasmon resonance, SPR and MOSPR systems are summarized to provide quantitative context. Finally, we address key challenges in material quality, thermal stability, modeling, and fabrication. Overall, magnetooptics is evolving from fundamental science into diverse and expanding technologies with applications that extend far beyond current domains.
Full article
(This article belongs to the Special Issue Soft Magnetic Materials and Their Applications)
►▼
Show Figures

Graphical abstract
Open AccessEditorial
Mathematical Modelling and Physical Applications of Magnetic Systems
by
Roberto Zivieri, Israa Medlej and Giancarlo Consolo
Magnetism 2026, 6(1), 2; https://doi.org/10.3390/magnetism6010002 - 24 Dec 2025
Abstract
Recently, nanoscale magnetic materials have attracted widespread attention due to their intriguing properties in both theoretical and experimental contexts [...]
Full article
(This article belongs to the Special Issue Mathematical Modelling and Physical Applications of Magnetic Systems)
Open AccessArticle
Exploring the Potential of a Newly Discovered Rare-Earth-Free Fe2Ni2N Magnet Versus N35 Magnet in Permanent Magnet Synchronous Motors (PMSMs)
by
Sayem UI Alam, Shuhui Li, Yang-Ki Hong, Zhenghao Liu, Md Abdul Wahed, Chang-Dong Yeo, Jung-Kun Lee, Seungdeog Choi, Hayan Shin, Hyunkyung Lee and Haein Choi-Yim
Magnetism 2026, 6(1), 1; https://doi.org/10.3390/magnetism6010001 - 23 Dec 2025
Abstract
Permanent magnet synchronous machines (PMSMs) are the preferred choice for electric vehicles (EVs), hybrid EVs, and wind turbines because of their high torque density, efficiency, and wide constant-power speed range. Conventional PMSMs rely heavily on rare-earth (RE) permanent magnets like Nd-Fe-B, which offers
[...] Read more.
Permanent magnet synchronous machines (PMSMs) are the preferred choice for electric vehicles (EVs), hybrid EVs, and wind turbines because of their high torque density, efficiency, and wide constant-power speed range. Conventional PMSMs rely heavily on rare-earth (RE) permanent magnets like Nd-Fe-B, which offers high remanence and coercivity but comes with high costs, supply chain issues, and environmental concerns. To address these challenges, this paper explores the potential of tetragonal Fe2Ni2N, a newly developed RE-free permanent magnet, as a replacement for commercial Nd-Fe-B (N35) in high-performance PMSMs. Fe2Ni2N shows a remanent flux density of 1.2 T and coercivity of 0.957 MA/m, closely matching those of commercial N35 magnets. Finite element analysis (FEA) in Ansys Maxwell was performed on both surface-mounted (SPM) and interior-mounted (IPM) PMSMs under EV-representative operating conditions. Results demonstrate that Fe2Ni2N-based machines have similar demagnetization resistance, torque, and efficiency to those with N35 magnets, with slight performance advantages at low speeds and nearly identical performance at high speeds. Furthermore, system-level parameters such as DC bus voltage and stator current were analyzed, showing that increased voltage extends the constant torque region while higher current enhances torque output but can slightly reduce efficiency at elevated speeds. These findings confirm that Fe2Ni2N is a promising RE-free alternative to Nd-Fe-B for sustainable, high-performance PMSMs. Results show that Fe2Ni2N-based machines have similar demagnetization resistance, torque, and efficiency to those with N35 magnets, with slight performance benefits at low speeds and nearly identical results at high speeds. Furthermore, system-level parameters, such as DC bus voltage and stator current, were analyzed. The results show that increased voltage extends the constant-torque region, while higher current enhances torque output but can slightly reduce efficiency at elevated speeds. These findings confirm that Fe2Ni2N is a promising RE-free alternative to Nd-Fe-B for sustainable, high-performance PMSMs.
Full article
(This article belongs to the Special Issue Rare-Earth-Free Permanent Magnet Motors and Generators for Use in Electric Vehicles and Wind Turbines)
►▼
Show Figures

Figure 1
Open AccessArticle
Improving Designs of Halbach Cylinder-Based Magnetic Assembly with High- and Low-Field Regions for a Rotating Magnetic Refrigerator
by
Chaimae El Mortajine, Mohamed Amine Dabachi, Soufian Lakrit, Hasnaa Oubnaki, Amine Faid and Mostafa Bouzi
Magnetism 2025, 5(4), 31; https://doi.org/10.3390/magnetism5040031 - 2 Dec 2025
Abstract
The present paper investigates the generation of the alternating almost zero and strong homogeneous magnetic fields for rotary magnetic refrigeration. In order to achieve an alternating magnetic field with eight regions, a soft magnetic rod is inserted in the bore. Four high-flux-density regions
[...] Read more.
The present paper investigates the generation of the alternating almost zero and strong homogeneous magnetic fields for rotary magnetic refrigeration. In order to achieve an alternating magnetic field with eight regions, a soft magnetic rod is inserted in the bore. Four high-flux-density regions (FDRs) for magnetization and four low-flux-density regions for demagnetization of magnetocaloric materials are obtained by the proposed design. The design procedure for the four-pole structure and its implementation using 3D finite-element simulation are presented. To meet the predefined requirements, some magnet segments are replaced with high-permeability soft magnetic material. The proposed magnetic design for the rotary refrigerator allows good field distribution in the air gap, a high ratio of high-field-to-permanent-magnet volume, a minimized low-field volume, reduced magnet usage to the permanent-magnet volume, reduction of the amount of magnet material used, and increased flux density between the low- and high-field regions.
Full article
(This article belongs to the Topic Advanced Electromagnetic Modeling and Simulation for Multidisciplinary Engineering Systems)
►▼
Show Figures

Figure 1
Open AccessArticle
Thickness Effect on Microwave Permeability of CoFeB Films on Flexible Substrate
by
Nikita A. Buznikov, Pavel A. Ivanov, Ilya V. Komarov, Andrey N. Lagarkov, Sergey A. Maklakov, Sergey S. Maklakov, Alexey V. Osipov, Konstantin N. Rozanov, Artem O. Shiryaev and Polina A. Zezyulina
Magnetism 2025, 5(4), 30; https://doi.org/10.3390/magnetism5040030 - 28 Nov 2025
Abstract
►▼
Show Figures
Microwave permeability of amorphous Co67Fe7B26 films deposited on a flexible substrate was studied in a wide range of film thicknesses up to 1.40 μm. Microwave permeability measurements were carried out using the coaxial technique in the frequency range
[...] Read more.
Microwave permeability of amorphous Co67Fe7B26 films deposited on a flexible substrate was studied in a wide range of film thicknesses up to 1.40 μm. Microwave permeability measurements were carried out using the coaxial technique in the frequency range from 0.1 to 10 GHz. It was found that both the static permeability and the ferromagnetic resonance frequency depend weakly on the film thickness. Analysis of the microwave data showed that the studied films possess in-plane magnetic anisotropy. The influence of the skin effect on the frequency dependence of the microwave permeability was modeled using an analytical approach. It was demonstrated that the decrease in the peak of the imaginary part of the microwave permeability with film thickness growth is related to the skin effect. The results obtained may be useful for microwave applications of soft magnetic CoFeB films.
Full article

Figure 1
Open AccessArticle
Interpretation of Magnetism and Gravitation as Relational Residual Effects of the Electric Force
by
Steffen Kühn
Magnetism 2025, 5(4), 29; https://doi.org/10.3390/magnetism5040029 - 27 Nov 2025
Abstract
This article demonstrates that magnetic force and Newton’s law of universal gravitation can be derived from the solution of Maxwell’s equations for moving point charges. For this purpose, a plasma droplet model is postulated, consisting of an aggregation of point charges undergoing Brownian
[...] Read more.
This article demonstrates that magnetic force and Newton’s law of universal gravitation can be derived from the solution of Maxwell’s equations for moving point charges. For this purpose, a plasma droplet model is postulated, consisting of an aggregation of point charges undergoing Brownian motion within a very small three-dimensional volume. As the velocity of the charges is random due to the Brownian motion, it is described by a probability distribution. It is shown that a non-zero velocity standard deviation leads to the magnetic force, while Newton’s law of universal gravitation can be derived from a non-zero velocity variance. This suggests that magnetism and gravitation might be closely related.
Full article
(This article belongs to the Topic Advanced Electromagnetic Modeling and Simulation for Multidisciplinary Engineering Systems)
►▼
Show Figures

Figure 1
Open AccessArticle
Design of a Rat Transcranial Magnetic Stimulation Coil Based on the Inverse Boundary Element Method
by
Chenyu Zhao, Yun Xu, Lixin Jiao, Linhai Hu, Haoran Lv and Peng Yang
Magnetism 2025, 5(4), 28; https://doi.org/10.3390/magnetism5040028 - 12 Nov 2025
Abstract
►▼
Show Figures
Transcranial magnetic stimulation (TMS) is a non-invasive neuromodulation technique extensively utilized in neuroscience and clinical medicine; however, its underlying mechanisms require further elucidation. Due to ethical safety considerations, low cost, and physiological similarities to humans, rodent models have become the primary subjects for
[...] Read more.
Transcranial magnetic stimulation (TMS) is a non-invasive neuromodulation technique extensively utilized in neuroscience and clinical medicine; however, its underlying mechanisms require further elucidation. Due to ethical safety considerations, low cost, and physiological similarities to humans, rodent models have become the primary subjects for TMS animal studies. Nevertheless, existing TMS coils designed for rodents face several limitations, including size constraints that complicate coil fabrication, insufficient stimulation intensity, suboptimal focality, and difficulty in adapting coils to practical experimental scenarios. Currently, many studies have attempted to address these issues through various methods, such as adding magnetic nanoparticles, constraining current distribution, and incorporating electric field shielding devices. Integrating the above methods, this study designs a small arc-shaped TMS coil for the frontoparietal region of rats using the inverse boundary element method, which reduces the coil’s interference with experimental observations. Compared with traditional geometrically scaled-down human coil circular and figure-of-eight coils, this coil achieves a 79.78% and 57.14% reduction in half-value volume, respectively, thus significantly improving the focusing of stimulation. Meanwhile, by adding current density constraints while minimizing the impact on the stimulation effect, the minimum wire spacing was increased from 0.39 mm to 1.02 mm, ensuring the feasibility of the coil winding. Finally, coil winding was completed using 0.05 mm × 120 Litz wire with a 3D-printed housing, which proves the practicality of the proposed design method.
Full article

Figure 1
Open AccessArticle
Research on Finite Permeability Semi-Analytical Harmonic Modeling Method for Maglev Planar Motors
by
Yang Zhang, Chunguang Fan and Chenglong Yu
Magnetism 2025, 5(4), 27; https://doi.org/10.3390/magnetism5040027 - 21 Oct 2025
Abstract
►▼
Show Figures
This study proposes a semi-analytic harmonic modeling method that significantly improves the accuracy and efficiency of complex magnetic field modeling by integrating numerical and analytical approaches. Compared to traditional methods such as the equivalent charge method and finite element method, this approach optimizes
[...] Read more.
This study proposes a semi-analytic harmonic modeling method that significantly improves the accuracy and efficiency of complex magnetic field modeling by integrating numerical and analytical approaches. Compared to traditional methods such as the equivalent charge method and finite element method, this approach optimizes the distribution of surface and body charges in the magnetic dipole model and introduces a finite and variable permeability model to accommodate material non-uniformity. Through harmonic expansion and analytical optimization, the method more accurately reflects the characteristics of real magnets, providing an efficient and precise solution for complex magnetic field problems, particularly in the design of high-performance magnets such as Halbach arrays. In this study, the effectiveness of the new modeling method is verified through the combination of simulation and experiment: the magnetic field distribution of the new Halbach array is accurately simulated, and the applicability of the model in the description of complex magnetic fields is analyzed. The dynamic response ability of the optimized model is verified by modeling and simulating the variation of the permeability under actual conditions. The distribution of scalar potential energy with permeability was simulated to evaluate the adaptability of the model to the real physical field. Through the comparative analysis of simulation and experimental results, the advantages of the new method in modeling accuracy and efficiency are clearly pointed out, and the effectiveness of the semi-analytic harmonic modeling method and its wide application potential in the design of new magnetic fields are proved. In this study, a semi-analytic harmonic modeling method is proposed by combining numerical and analytical methods, which breaks through the efficiency bottleneck of traditional modeling methods, and achieves the unity of high precision and high efficiency in the magnetic field modeling of the new Halbach array, providing a new solution for the study of complex magnetic field problems.
Full article

Figure 1
Open AccessArticle
Analysis and Design of a Brushless WRSM with Harmonic Excitation Based on Electromagnetic Induction Power Transfer Optimization
by
Arsalan Arif, Farhan Arif, Zuhair Abbas, Ghulam Jawad Sirewal, Muhammad Saleem, Qasim Ali and Mukhtar Ullah
Magnetism 2025, 5(4), 26; https://doi.org/10.3390/magnetism5040026 - 18 Oct 2025
Abstract
This paper proposes a method to analyze the effect of the rotor’s harmonic winding design and the output of a brushless wound rotor synchronous machine (WRSM) for optimal excitation power transfer. In particular, the machine analyzed by the finite-element method was a 48-slot
[...] Read more.
This paper proposes a method to analyze the effect of the rotor’s harmonic winding design and the output of a brushless wound rotor synchronous machine (WRSM) for optimal excitation power transfer. In particular, the machine analyzed by the finite-element method was a 48-slot eight-pole 2D model. The subharmonic magnetomotive force was additionally created in the air gap flux, which induces voltage in the harmonic winding of the rotor. This voltage is rectified and fed to the field winding through a full bridge rectifier. Eventually, a direct current (DC) flows to the field winding, removing the need for external excitation through brushes and sliprings. The effect of the number of harmonic winding turns is analyzed and the field winding turns were varied with respect to the available rotor slot space. Optimization of the harmonic excitation part of the machine will maximize the rotor excitation for regulation purposes and optimize the torque production at the same time. Two-dimensional finite-element analysis has been performed in ANSYS Maxwell 19 to obtain the basic results for the design of the machine.
Full article
(This article belongs to the Special Issue Rare-Earth-Free Permanent Magnet Motors and Generators for Use in Electric Vehicles and Wind Turbines)
►▼
Show Figures

Figure 1
Open AccessArticle
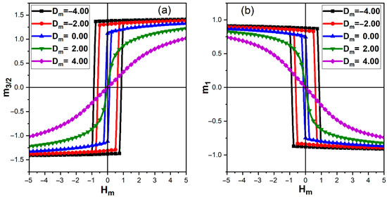
Magnetic Field Suppression of the Martensitic Transformation in Mn-Based MnNi(Fe)Sn Metamagnetic Shape Memory Heusler Alloys
by
Patricia Lázpita, Natalia Ahiova Río-López, David Mérida, Emily (Leonie Quinlyn Nowalaja) Ammerlaan, Uli Zeitler, Volodymyr Chernenko and Jon Gutiérrez
Magnetism 2025, 5(4), 25; https://doi.org/10.3390/magnetism5040025 - 16 Oct 2025
Abstract
►▼
Show Figures
Heusler-type metamagnetic shape memory alloys (MMSMAs) exhibit a large functional response associated with a first-order martensitic transformation (MT). The strong magneto-structural coupling combined with the presence of mixed magnetic interactions enables controlling this MT by means of a magnetic field, resulting in different
[...] Read more.
Heusler-type metamagnetic shape memory alloys (MMSMAs) exhibit a large functional response associated with a first-order martensitic transformation (MT). The strong magneto-structural coupling combined with the presence of mixed magnetic interactions enables controlling this MT by means of a magnetic field, resulting in different multifunctional properties, among them giant magnetoresistance, metamagnetic shape memory effect (MMSM), or inverse magnetocaloric effect (MCE). Not only the shift rate of MT as a function of the magnetic field but also its eventual suppression are key parameters in order to develop these effects. Here we present our findings concerning a detailed study of the magnetic field-induced MT and its suppression in MnNi(Fe)Sn MMSMAs, by applying strong steady magnetic fields up to 33 T. These measurements will lead to the creation of the T-μ0H phase diagrams of the MT. Moreover, we will also give light to the effect of Fe—content and, as a direct consequence, the magnetic coupling on the suppression of the magnetostructural transformation.
Full article

Figure 1
Open AccessArticle
Locally Odd-Parity Hybridization Induced by Spiral Magnetic Textures
by
Satoru Hayami
Magnetism 2025, 5(4), 24; https://doi.org/10.3390/magnetism5040024 - 2 Oct 2025
Abstract
►▼
Show Figures
We study unconventional multipole moments arising from noncollinear magnetic structures within an augmented framework encompassing electric, magnetic, magnetic toroidal, and electric toroidal multipoles. Employing a tight-binding model for an s-p hybridized orbital system, we analyze two spiral magnetic textures and classify
[...] Read more.
We study unconventional multipole moments arising from noncollinear magnetic structures within an augmented framework encompassing electric, magnetic, magnetic toroidal, and electric toroidal multipoles. Employing a tight-binding model for an s-p hybridized orbital system, we analyze two spiral magnetic textures and classify the resulting multipoles according to magnetic point group symmetry. Different spiral wave types, such as cycloidal and proper-screw forms, activate distinct multipole components, with odd-parity multipoles emerging from local s-p parity mixing induced by magnetically driven inversion-symmetry breaking. Calculated multipole structure factors reveal finite-q peaks originating from higher-order magnetic-dipole-scattering processes and their characteristic couplings between Fourier components of the magnetic dipole texture. Our results demonstrate that magnetic ordering can generate parity-mixed states without intrinsic structural inversion asymmetry, offering new pathways to realize cross-correlation phenomena in functional magnetic materials.
Full article

Figure 1
Open AccessArticle
Enhancement of Heat Transfer Accompanied by a Decrease in Kinetic Energy Due to Magnetic Field Imposition in Liquid Metal Natural Convection
by
Shu Kondo, Takuya Masuda, Masaki Sakaguchi, Yasutaka Hayamizu, M. M. A. Alam and Toshio Tagawa
Magnetism 2025, 5(3), 23; https://doi.org/10.3390/magnetism5030023 - 22 Sep 2025
Abstract
►▼
Show Figures
Natural convection of liquid metals under magnetic fields is a phenomenon of interest in various industrial and scientific applications, including fusion reactor blankets and magnetohydrodynamic (MHD) power systems. While the application of a magnetic field generally suppresses convection and reduces the heat transfer
[...] Read more.
Natural convection of liquid metals under magnetic fields is a phenomenon of interest in various industrial and scientific applications, including fusion reactor blankets and magnetohydrodynamic (MHD) power systems. While the application of a magnetic field generally suppresses convection and reduces the heat transfer rate, recent studies have reported cases where the Nusselt number increases under certain magnetic field conditions. In this study, we conduct numerical simulations of natural convection in an annular container filled with a liquid metal, subject to a circumferential static magnetic field. The governing equations, incorporating both temperature and electromagnetic fields, are solved using a high-order finite difference scheme. The results show that, within a specific range of parameters, the Nusselt number increases at moderate Hartmann numbers, even under low Rayleigh number conditions. Notably, this enhancement in heat transfer occurs alongside a reduction in kinetic energy, indicating that convective strength is not necessarily the dominant factor. Further analysis confirms that this phenomenon weakens and eventually vanishes as the Rayleigh number approaches 106. These findings provide evidence that magnetic field-induced heat transfer enhancement can occur without a corresponding increase in convective motion, thereby challenging conventional assumptions in magnetoconvection theory.
Full article

Figure 1
Open AccessArticle
Landau Levels and Electronic States for Pseudospin-1 Lattices with a Bandgap: Application to a Lieb Lattice
by
Liubov Zhemchuzhna, Lovely Joseph, Andrii Iurov, Godfrey Gumbs and Danhong Huang
Magnetism 2025, 5(3), 22; https://doi.org/10.3390/magnetism5030022 - 16 Sep 2025
Abstract
►▼
Show Figures
We have carried out detailed theoretical and numerical calculations and developed a physics-based model for quantitatively describing the Landau levels of several pseudospin-1 structures with a flat band and a finite bandgap in their electronic-energy spectrum under a strong and uniform magnetic field.
[...] Read more.
We have carried out detailed theoretical and numerical calculations and developed a physics-based model for quantitatively describing the Landau levels of several pseudospin-1 structures with a flat band and a finite bandgap in their electronic-energy spectrum under a strong and uniform magnetic field. We have investigated the Landau-level-based dynamics, as well as the corresponding eigenstates, for gapped graphene, a dice lattice with both a zero and finite bandgap and, eventually, for the Lieb lattice, which represents a separate type of square lattice with a very special non-symmetric (elevated) location of the flat band which intersects the conduction band at its lowest point. Exact analytical consideration of Landau-level states has been performed and explained when dealing with all types of considered lattices. Our model could be further generalized for treating cases with an arbitrary position for the flat band between the valence and conduction bands. Our current results have direct implications for a deep-level investigation of the quantum Hall effect, as well as other magnetic and topological properties of these novel materials.
Full article

Figure 1
Open AccessArticle
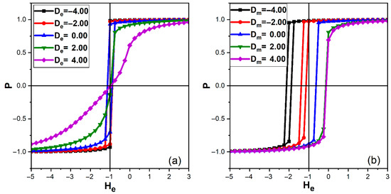
Comparison of Two- and Three-Phase Devices Generating a Rotating Magnetic Fieldfor Magnetic Hyperthermia Applications
by
Andrzej Skumiel
Magnetism 2025, 5(3), 21; https://doi.org/10.3390/magnetism5030021 - 10 Sep 2025
Abstract
►▼
Show Figures
This article describes systems generating high-frequency rotating magnetic fields for magnetic hyperthermia treatments. It covers two- and three-phase device systems powered by rectangular signals. A passive bandpass filter tuned to a specific frequency (100 kHz) is placed between the magnetic circuits and the
[...] Read more.
This article describes systems generating high-frequency rotating magnetic fields for magnetic hyperthermia treatments. It covers two- and three-phase device systems powered by rectangular signals. A passive bandpass filter tuned to a specific frequency (100 kHz) is placed between the magnetic circuits and the DC power source powering the device. The paper compares the electrical parameters of both solutions, including the supply voltage, magnetic field strength amplitude H, and magnetizing current IL as a function of the supply voltage (Udc). At a fixed supply voltage Udc, the magnetizing current IL and the rotating magnetic field strength amplitude H are approximately twice as large for the three-phase system as for the two-phase system. The relationships between the magnetizing currents IL and the magnetic field strength amplitude H as a function of the supply voltage Udc are linear.
Full article

Figure 1
Open AccessArticle
Magnetic Field Analysis of Unconventional High Surge Impedance Loading (HSIL) Transmission Lines with Different Subconductor Configurations: Numerical Comparisons and Performance Evaluation
by
Easir Arafat, Babak Porkar and Mona Ghassemi
Magnetism 2025, 5(3), 20; https://doi.org/10.3390/magnetism5030020 - 5 Sep 2025
Abstract
►▼
Show Figures
High-voltage transmission lines are the backbone of modern power systems, facilitating the delivery of electricity from diverse generation sources, including conventional power plants and renewable energy systems, to consumers. As the electricity demand grows, the expansion of transmission infrastructure becomes essential to connecting
[...] Read more.
High-voltage transmission lines are the backbone of modern power systems, facilitating the delivery of electricity from diverse generation sources, including conventional power plants and renewable energy systems, to consumers. As the electricity demand grows, the expansion of transmission infrastructure becomes essential to connecting new consumers with power suppliers. However, traditional transmission lines require significant right-of-way, posing challenges related to land use and environmental impact, as well as limited loadability. To address this issue, compact unconventional High Surge Impedance Loading (HSIL) transmission lines offer a viable solution by reducing right-of-way requirements while enhancing line natural power, mainly leading to less voltage drop. Before the implementation of the new unconventional HSIL lines, it is crucial to assess key parameters, such as magnetic field distribution under the lines, to ensure compliance with environmental and safety standards. This paper presents a numerical analysis of the magnetic field characteristics of compact unconventional HSIL transmission lines with different subconductor configurations. The results show that the proposed HSIL designs can reduce the magnetic field at ground level by up to 71.74% compared to a conventional 500 kV line near the center, as well as by up to 74% at the right-of-way edge, while maintaining magnetic field levels well below the limits set by ICNIRP and state-specific regulations. This study evaluates the magnetic field distribution within the right-of-way, providing insights into the electromagnetic performance and potential implications for transmission line design.
Full article

Figure 1
Open AccessArticle
Effect of the Non-Magnetic Ion Doping on the Magnetic Behavior of MgCr2O4
by
Fuxi Zhou, Zheng He, Donger Cheng, Han Ge, Wenjing Zhang, Xiao Wang, Pengfei Zhou, Wanju Luo, Zhengdong Fu, Xinzhi Liu, Liusuo Wu, Lunhua He, Yanchun Zhao and Erxi Feng
Magnetism 2025, 5(3), 19; https://doi.org/10.3390/magnetism5030019 - 25 Aug 2025
Abstract
Geometrically frustrated magnets exhibit exotic excitations due to competing interactions between spins. The spinel compound MgCr2O4, a three-dimensional Heisenberg antiferromagnet, hosts both spin-wave and spin-resonance modes, but the origin of its resonant excitations remains debated. Suppressing magnetic order via
[...] Read more.
Geometrically frustrated magnets exhibit exotic excitations due to competing interactions between spins. The spinel compound MgCr2O4, a three-dimensional Heisenberg antiferromagnet, hosts both spin-wave and spin-resonance modes, but the origin of its resonant excitations remains debated. Suppressing magnetic order via non-magnetic doping can help isolate these modes in neutron scattering studies. We synthesized Ga3+ and Cd2+-doped MgCr2O4 via solid-state reaction and analyzed their structure and magnetism. Ga3+ doping (0–20%) causes anomalous lattice shrinkage due to site disorder from Ga3+ occupying both Mg2+ and Cr3+ sites. Magnetically, Ga3+ doping drives the system from the antiferromagnetic order to a spin-glass state, fully suppressing magnetic ordering at 20% doping. In contrast, Cd2+ replaces only Mg2+, expanding the lattice and meantime inducing strong spin-glass behavior. At 10% Cd2+, long-range antiferromagnetic order is entirely suppressed. Thus, 10% Cd-doped MgCr2O4 offers an ideal platform to study the resonant magnetic excitations without any spin-wave interference.
Full article
(This article belongs to the Special Issue Research on the Magnetism of Heavy-Fermion Systems)
►▼
Show Figures

Figure 1
Open AccessArticle
Components for an Inexpensive CW-ODMR NV-Based Magnetometer
by
André Bülau, Daniela Walter and Karl-Peter Fritz
Magnetism 2025, 5(3), 18; https://doi.org/10.3390/magnetism5030018 - 1 Aug 2025
Cited by 1
Abstract
►▼
Show Figures
Quantum sensing based on NV-centers in diamonds has been demonstrated many times in multiple publications. The majority of publications use lasers in free space or lasers with fiber optics, expensive optical components such as dichroic mirrors, or beam splitters with dichroic filters and
[...] Read more.
Quantum sensing based on NV-centers in diamonds has been demonstrated many times in multiple publications. The majority of publications use lasers in free space or lasers with fiber optics, expensive optical components such as dichroic mirrors, or beam splitters with dichroic filters and expensive detectors, such as Avalanche photodiodes or single photon detectors, overall, leading to custom and expensive setups. In order to provide an inexpensive NV-based magnetometer setup for educational use in schools, to teach the three topics, fluorescence, optically detected magnetic resonance, and Zeeman splitting, inexpensive, miniaturized, off-the-shelf components with high reliability have to be used. The cheaper such a setup, the more setups a school can afford. Hence, in this work, we investigated LEDs as light sources, considered different diamonds for our setup, tested different color filters, proposed an inexpensive microwave resonator, and used a cheap photodiode with an appropriate transimpedance amplifier as the basis for our quantum magnetometer. As a result, we identified cheap and functional components and present a setup and show that it can demonstrate the three topics mentioned at a hardware cost <EUR 100.
Full article

Figure 1
Open AccessReview
Altermagnetism and Altermagnets: A Brief Review
by
Rupam Tamang, Shivraj Gurung, Dibya Prakash Rai, Samy Brahimi and Samir Lounis
Magnetism 2025, 5(3), 17; https://doi.org/10.3390/magnetism5030017 - 23 Jul 2025
Cited by 5
Abstract
►▼
Show Figures
Recently, a new class of magnetic material, termed altermagnets, has caught the attention of the magnetism and spintronics community. The magnetic phenomenon arising from these materials differs from traditional ferromagnetism and antiferromagnetism. It generally lacks net magnetization and is characterized by unusual non-relativistic
[...] Read more.
Recently, a new class of magnetic material, termed altermagnets, has caught the attention of the magnetism and spintronics community. The magnetic phenomenon arising from these materials differs from traditional ferromagnetism and antiferromagnetism. It generally lacks net magnetization and is characterized by unusual non-relativistic spin-splitting and broken time-reversal symmetry. This leads to novel transport properties, such as the anomalous Hall effect, the crystal Nernst effect, and spin-dependent phenomena. Spin-dependent phenomena such as spin currents, spin-splitter torques, and high-frequency dynamics emerge as key characteristics in altermagnets. This paper reviews the main aspects pertaining to altermagnets by providing an overview of theoretical investigations and experimental realizations. We discuss the most recent developments in altermagnetism and prospects for exploiting its unique properties in next-generation devices.
Full article

Figure 1
Open AccessArticle
Large Angular Momentum
by
Kenichi Konishi and Roberto Menta
Magnetism 2025, 5(3), 16; https://doi.org/10.3390/magnetism5030016 - 9 Jul 2025
Abstract
►▼
Show Figures
The quantum states of a spin (a qubit) are parametrized by the space , the Bloch sphere. A spin j for a generic j (a -state system) is represented instead by a
[...] Read more.
The quantum states of a spin (a qubit) are parametrized by the space , the Bloch sphere. A spin j for a generic j (a -state system) is represented instead by a point in a larger space, . Here we study the state of a single angular momentum/spin in the limit . A special class of states, , with spin oriented towards definite spatial directions, , i.e., , are found to behave as classical angular momenta, , in this limit. Vice versa, general spin states in do not become classical, even at a large j. We study these questions by analyzing the Stern–Gerlach processes, the angular momentum composition rule, and the rotation matrix. Our observations help to better clarify how classical mechanics emerges from quantum mechanics in this context (e.g., with the unique trajectories of a particle carrying a large spin in an inhomogeneous magnetic field) and to make the widespread idea that large spins somehow become classical more precise.
Full article

Figure 1
Highly Accessed Articles
Latest Books
E-Mail Alert
News
Topics
Topic in
Electronics, Magnetism, Physics, Plasma, Symmetry, Energies, Sensors
Advanced Electromagnetic Modeling and Simulation for Multidisciplinary Engineering Systems
Topic Editors: Jinru Sun, Ya'nan Wang, Lujia WangDeadline: 31 December 2026
Special Issues
Special Issue in
Magnetism
Bio-Magnetic Field Sensors Operated at Room Temperature
Guest Editors: Mikihiko Oogane, Takahide KubotaDeadline: 31 May 2026
Special Issue in
Magnetism
Rare-Earth-Free Permanent Magnet Motors and Generators for Use in Electric Vehicles and Wind Turbines
Guest Editors: Yang-Ki Hong, Shuhui Li, Vandana RallabandiDeadline: 30 June 2026
Special Issue in
Magnetism
Soft Magnetic Materials and Their Applications
Guest Editor: Qifan LiDeadline: 30 June 2026
Special Issue in
Magnetism
New Horizons in Antiferromagnetic Spintronics: Exotic Ground States and Device Prospects
Guest Editors: Pingfan Gu, Yuxuan Peng, Shiqi YangDeadline: 31 July 2026



