Landau Levels and Electronic States for Pseudospin-1 Lattices with a Bandgap: Application to a Lieb Lattice
Abstract
1. Introduction
2. General Formalism for Landau Quantization
3. Magneto-Energy Levels of Gapped Graphene
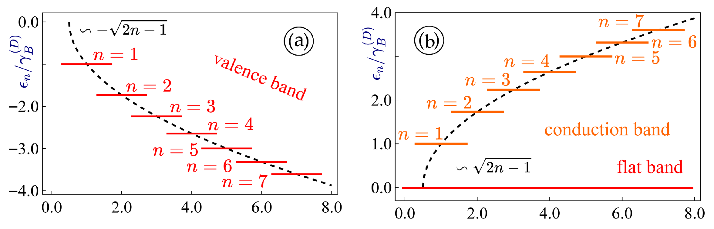
4. Dice Lattice with Zero Bandgap
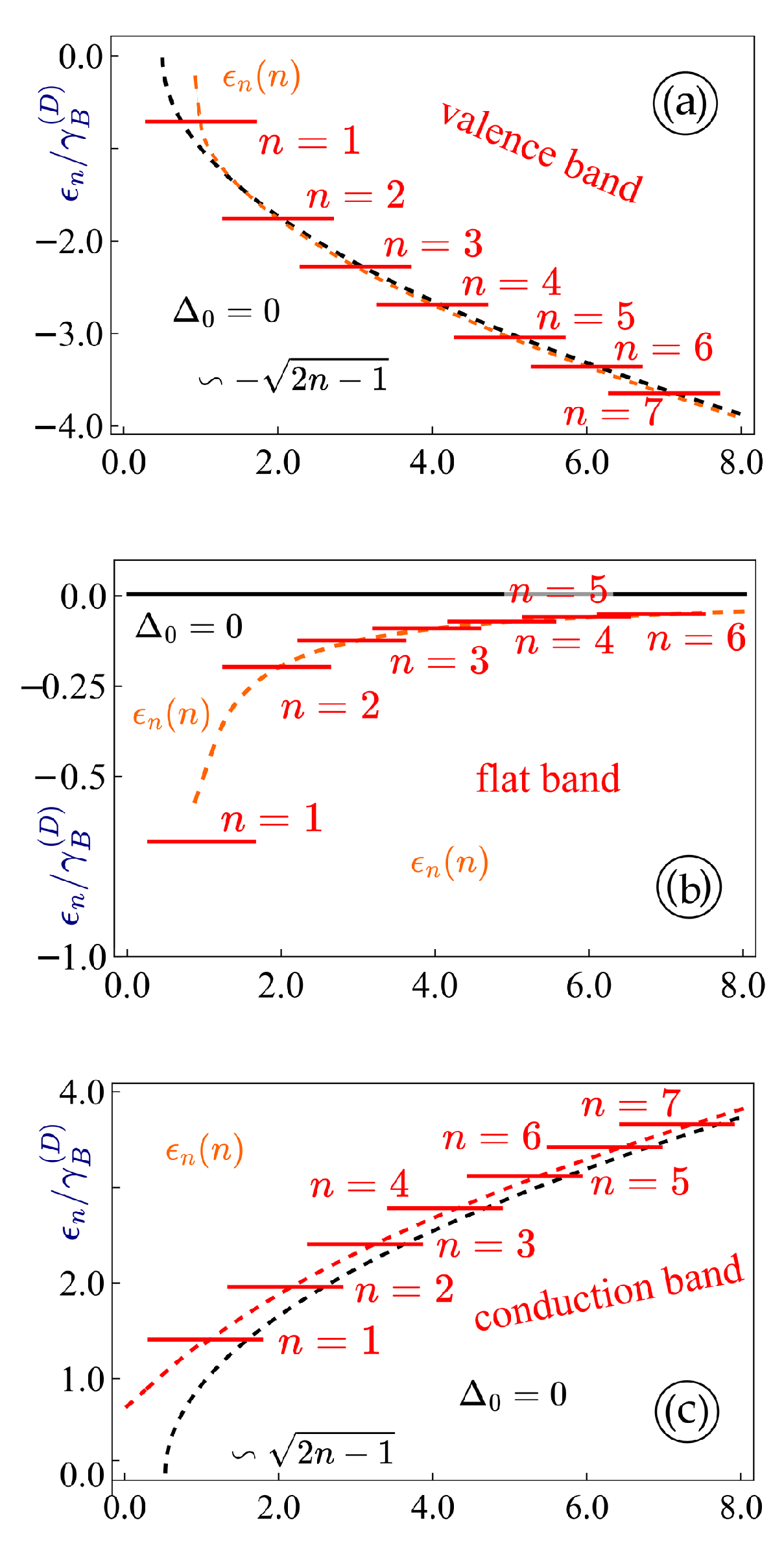
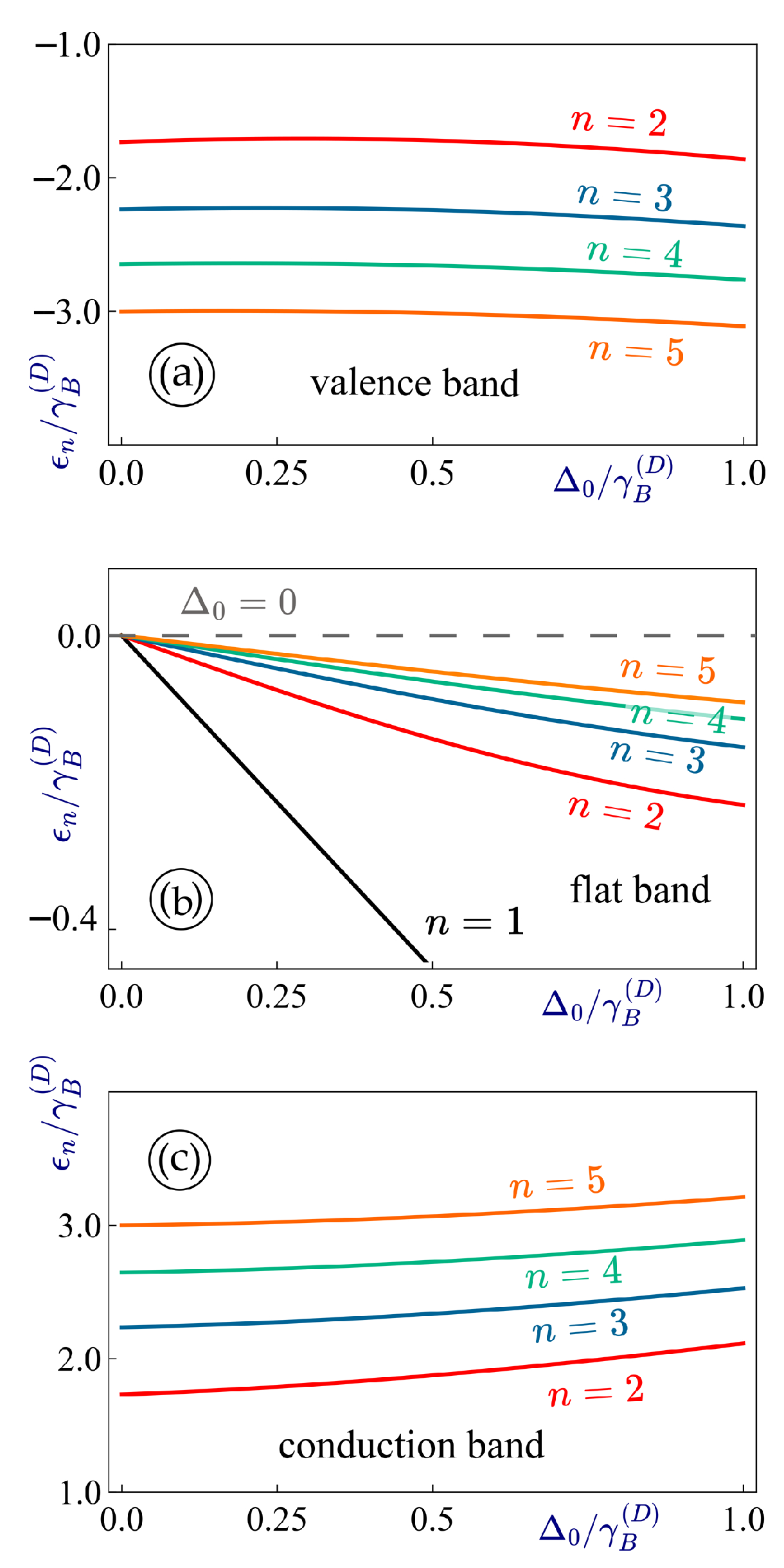
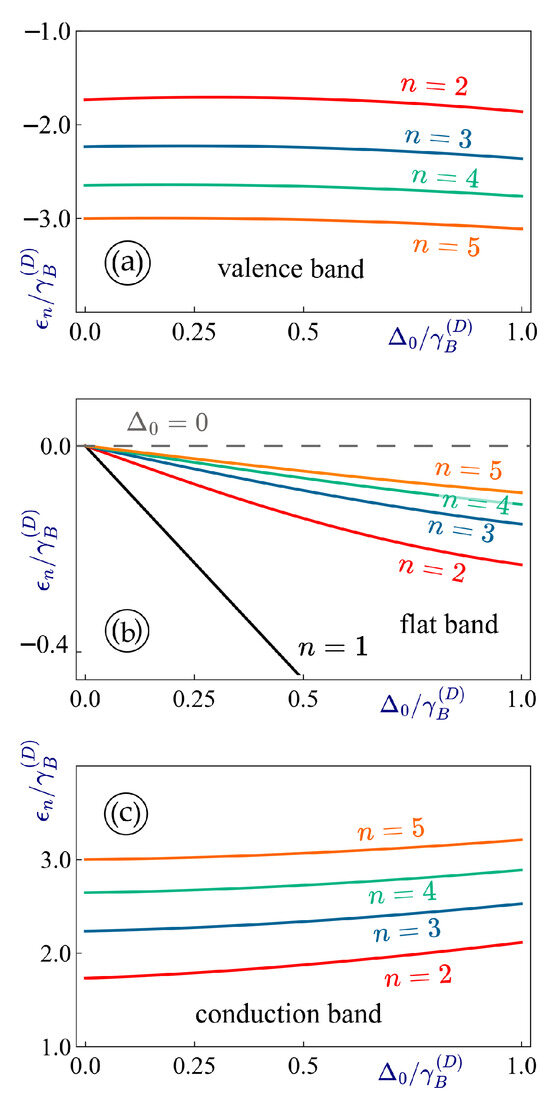
5. Gapped Dice Lattice
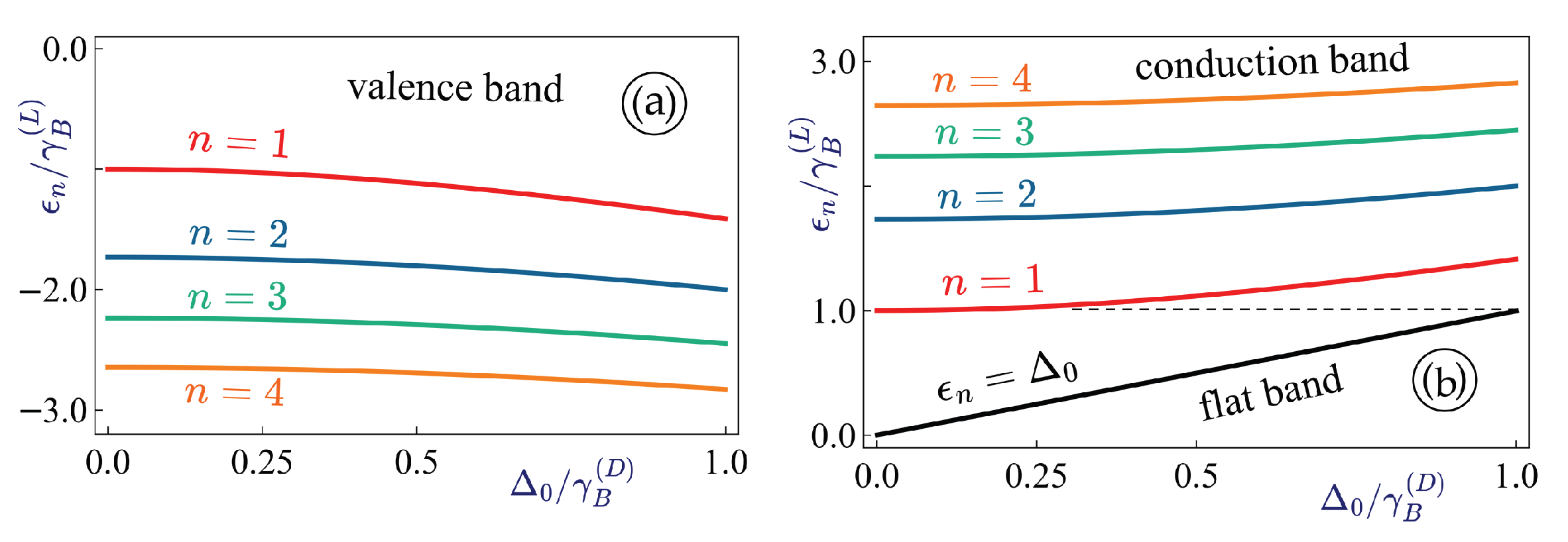
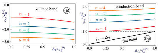
6. Modeling Lieb Lattice with Elevated Flat Band
7. Summary and Remarks
Author Contributions
Funding
Institutional Review Board Statement
Informed Consent Statement
Data Availability Statement
Conflicts of Interest
References
- Geim, A.K.; Novoselov, K.S. The rise of graphene. Nat. Mater. 2007, 6, 183–191. [Google Scholar] [CrossRef]
- Tabert, C.J.; Nicol, E.J. Valley-spin polarization in the magneto-optical response of silicene and other similar 2D crystals. Phys. Rev. Lett. 2013, 110, 197402. [Google Scholar] [CrossRef]
- Malcolm, J.; Nicol, E. Frequency-dependent polarizability, plasmons, and screening in the two-dimensional pseudospin-1 dice lattice. Phys. Rev. B 2016, 93, 165433. [Google Scholar] [CrossRef]
- Iurov, A.; Zhemchuzhna, L.; Gumbs, G.; Huang, D.; Fekete, P.; Anwar, F.; Dahal, D.; Weekes, N. Tailoring plasmon excitations in α-T3 armchair nanoribbons. Sci. Rep. 2021, 11, 20577. [Google Scholar] [CrossRef] [PubMed]
- Apalkov, V.; Wang, X.F.; Chakraborty, T. Collective excitations of Dirac electrons in graphene. Int. J. Mod. Phys. B 2007, 21, 1165–1179. [Google Scholar] [CrossRef]
- Gumbs, G.; Balassis, A.; Iurov, A.; Fekete, P. Strongly localized image states of spherical graphitic particles. Sci. World J. 2014, 2014, 726303. [Google Scholar] [CrossRef]
- Guinea, F.; Le Doussal, P.; Wiese, K.J. Collective excitations in a large-d model for graphene. Phys. Rev. B 2014, 89, 125428. [Google Scholar] [CrossRef]
- Rodin, A.; Trushin, M.; Carvalho, A.; Castro Neto, A. Collective excitations in 2D materials. Nat. Rev. Phys. 2020, 2, 524–537. [Google Scholar] [CrossRef]
- Mojarro, M.; Carrillo-Bastos, R.; Maytorena, J.A. Hyperbolic plasmons in massive tilted two-dimensional Dirac materials. Phys. Rev. B 2022, 105, L201408. [Google Scholar] [CrossRef]
- Andrade, E.; Carrillo-Bastos, R.; Naumis, G.G. Valley engineering by strain in Kekulé-distorted graphene. Phys. Rev. B 2019, 99, 035411. [Google Scholar] [CrossRef]
- Andrade, E.; Carrillo-Bastos, R.; Naumis, G.G. Topical Review: Electronic and optical properties of Kekulé and other short wavelength spatialmodulated textures of graphene. J. Phys. Condens. Matter 2025, 37, 193003. [Google Scholar] [CrossRef]
- Herrera, S.A.; Naumis, G.G. Electronic and optical conductivity of kekulé-patterned graphene: Intravalley and intervalley transport. Phys. Rev. B 2020, 101, 205413. [Google Scholar] [CrossRef]
- Iurov, A.; Zhemchuzhna, L.; Gumbs, G.; Huang, D. Application of the WKB theory to investigate electron tunneling in Kek-Y graphene. Appl. Sci. 2023, 13, 6095. [Google Scholar] [CrossRef]
- Carbotte, J.; Bryenton, K.; Nicol, E. Optical properties of a semi-Dirac material. Phys. Rev. B 2019, 99, 115406. [Google Scholar] [CrossRef]
- Mojarro, M.; Carrillo-Bastos, R.; Maytorena, J.A. Optical properties of massive anisotropic tilted Dirac systems. Phys. Rev. B 2021, 103, 165415. [Google Scholar] [CrossRef]
- Mondal, S.; Ganguly, S.; Basu, S. Topology and applications of 2D Dirac and semi-Dirac materials. Phys. Sci. Rev. 2022, 9, 497–527. [Google Scholar] [CrossRef]
- Xiong, Q.Y.; Ba, J.Y.; Duan, H.J.; Deng, M.X.; Wang, Y.M.; Wang, R.Q. Optical conductivity and polarization rotation of type-II semi-Dirac materials. Phys. Rev. B 2023, 107, 155150. [Google Scholar] [CrossRef]
- Stauber, T.; San-Jose, P.; Brey, L. Optical conductivity, Drude weight and plasmons in twisted graphene bilayers. New J. Phys. 2013, 15, 113050. [Google Scholar] [CrossRef]
- Dey, B.; Ghosh, T.K. Dynamical polarization, optical conductivity and plasmon mode of a linear triple component fermionic system. J. Phys. Condens. Matter 2022, 34, 255701. [Google Scholar] [CrossRef]
- Mojarro, M.; Carrillo-Bastos, R.; Maytorena, J.A. Thermal difference reflectivity of tilted two-dimensional Dirac materials. Phys. Rev. B 2023, 108, L161401. [Google Scholar] [CrossRef]
- Tan, C.Y.; Yan, C.X.; Zhao, Y.H.; Guo, H.; Chang, H.R. Anisotropic longitudinal optical conductivities of tilted Dirac bands in 1T′-MoS2. Phys. Rev. B 2021, 103, 125425. [Google Scholar] [CrossRef]
- Wild, A.; Mariani, E.; Portnoi, M.E. Optical absorption in two-dimensional materials with tilted Dirac cones. Phys. Rev. B 2022, 105, 205306. [Google Scholar] [CrossRef]
- Iurov, A.; Zhemchuzhna, L.; Gumbs, G.; Huang, D. Optical conductivity of gapped α-T3 materials with a deformed flat band. Phys. Rev. B 2023, 107, 195137. [Google Scholar] [CrossRef]
- Oriekhov, D.; Gusynin, V. Optical conductivity of semi-Dirac and pseudospin-1 models: Zitterbewegung approach. Phys. Rev. B 2022, 106, 115143. [Google Scholar] [CrossRef]
- Regnault, N.; Xu, Y.; Li, M.R.; Ma, D.S.; Jovanovic, M.; Yazdani, A.; Parkin, S.S.; Felser, C.; Schoop, L.M.; Ong, N.P.; et al. Catalogue of flat-band stoichiometric materials. Nature 2022, 603, 824–828. [Google Scholar] [CrossRef] [PubMed]
- Hase, I.; Yanagisawa, T.; Kawashima, K. Computational design of flat-band material. Nanoscale Res. Lett. 2018, 13, 63. [Google Scholar] [CrossRef]
- Checkelsky, J.G.; Bernevig, B.A.; Coleman, P.; Si, Q.; Paschen, S. Flat bands, strange metals and the Kondo effect. Nat. Rev. Mater. 2024, 9, 509–526. [Google Scholar] [CrossRef]
- Slot, M.R.; Gardenier, T.S.; Jacobse, P.H.; Van Miert, G.C.; Kempkes, S.N.; Zevenhuizen, S.J.; Smith, C.M.; Vanmaekelbergh, D.; Swart, I. Experimental realization and characterization of an electronic Lieb lattice. Nat. Phys. 2017, 13, 672–676. [Google Scholar] [CrossRef]
- Mukherjee, S.; Spracklen, A.; Choudhury, D.; Goldman, N.; Ohberg, P.; Andersson, E.; Thomson, R.R. Observation of a localized flat-band state in a photonic Lieb lattice. Phys. Rev. Lett. 2015, 114, 245504. [Google Scholar] [CrossRef]
- Qiu, W.X.; Li, S.; Gao, J.H.; Zhou, Y.; Zhang, F.C. Designing an artificial Lieb lattice on a metal surface. Phys. Rev. B 2016, 94, 241409. [Google Scholar] [CrossRef]
- Lee, J.H.; Kim, G.W.; Song, I.; Kim, Y.; Lee, Y.; Yoo, S.J.; Cho, D.Y.; Rhim, J.W.; Jung, J.; Kim, G.; et al. Atomically Thin Two-Dimensional Kagome Flat Band on the Silicon Surface. ACS Nano 2024, 18, 25535–25541. [Google Scholar] [CrossRef]
- Guo, H.M.; Franz, M. Topological insulator on the kagome lattice. Phys. Rev. B Condens. Matter Mater. Phys. 2009, 80, 113102. [Google Scholar] [CrossRef]
- Wang, Q.; Lei, H.; Qi, Y.; Felser, C. Topological quantum materials with kagome lattice. Accounts Mater. Res. 2024, 5, 786–796. [Google Scholar] [CrossRef]
- Tang, L.; Song, D.; Xia, S.; Xia, S.; Ma, J.; Yan, W.; Hu, Y.; Xu, J.; Leykam, D.; Chen, Z. Photonic flat-band lattices and unconventional light localization. Nanophotonics 2020, 9, 1161–1176. [Google Scholar] [CrossRef]
- Nishino, S.; Goda, M. Three-dimensional flat-band models. J. Phys. Soc. Jpn. 2005, 74, 393–400. [Google Scholar] [CrossRef]
- Sharma, M.; Chhetri, S.K.; Acharya, G.; Graf, D.; Upreti, D.; Dahal, S.; Nabi, M.R.U.; Rahman, S.; Sakon, J.; Churchill, H.O.; et al. Quantum oscillation studies of the nodal line semimetal Ni3In2S2-xSex. Acta Mater. 2025, 289, 120884. [Google Scholar] [CrossRef]
- Kumar, K.; Sharma, M.; Awana, V. Weak antilocalization and ferromagnetism in magnetic Weyl semimetal Co3Sn2S2. J. Appl. Phys. 2023, 133, 023901. [Google Scholar] [CrossRef]
- Raoux, A.; Morigi, M.; Fuchs, J.N.; Piéchon, F.; Montambaux, G. From dia-to paramagnetic orbital susceptibility of massless fermions. Phys. Rev. Lett. 2014, 112, 026402. [Google Scholar] [CrossRef]
- Illes, E. Properties of the α-T3 Model. Ph.D. Thesis, University of Guelph, Guelph, ON, Canada, 2017. [Google Scholar]
- Iurov, A.; Gumbs, G.; Huang, D. Peculiar electronic states, symmetries, and berry phases in irradiated α-T3 materials. Phys. Rev. B 2019, 99, 205135. [Google Scholar] [CrossRef]
- Tamang, L.; Biswas, T. Probing topological signatures in an optically driven α-T3 lattice. Phys. Rev. B 2023, 107, 085408. [Google Scholar] [CrossRef]
- Dey, B.; Ghosh, T.K. Floquet topological phase transition in the α-T3 lattice. Phys. Rev. B 2019, 99, 205429. [Google Scholar] [CrossRef]
- Urban, D.F.; Bercioux, D.; Wimmer, M.; Häusler, W. Barrier transmission of Dirac-like pseudospin-one particles. Phys. Rev. B Condens. Matter Mater. Phys. 2011, 84, 115136. [Google Scholar] [CrossRef]
- Illes, E.; Nicol, E. Klein tunneling in the α-T3 model. Phys. Rev. B 2017, 95, 235432. [Google Scholar] [CrossRef]
- Ding, Z.; Wang, D.; Li, M.; Tao, Y.; Wang, J. Spin-resolved and charge Josephson diode effects in α-T3 lattice junctions. Phys. Rev. B 2024, 110, 155405. [Google Scholar] [CrossRef]
- Illes, E.; Nicol, E. Magnetic properties of the α-T3 model: Magneto-optical conductivity and the Hofstadter butterfly. Phys. Rev. B 2016, 94, 125435. [Google Scholar] [CrossRef]
- Islam, M.; Biswas, T.; Basu, S. Effect of magnetic field on the electronic properties of an α-T3 ring. Phys. Rev. B 2023, 108, 085423. [Google Scholar] [CrossRef]
- Islam, M.; Basu, S. Spin and charge persistent currents in a Kane Mele α-T3 quantum ring. J. Phys. Condens. Matter 2023, 36, 135301. [Google Scholar] [CrossRef]
- Leykam, D.; Andreanov, A.; Flach, S. Artificial flat band systems: From lattice models to experiments. Adv. Phys. X 2018, 3, 1473052. [Google Scholar] [CrossRef]
- Morina, S.; Kibis, O.; Pervishko, A.; Shelykh, I. Transport properties of a two-dimensional electron gas dressed by light. Phys. Rev. B 2015, 91, 155312. [Google Scholar] [CrossRef]
- Kibis, O.; Dini, K.; Iorsh, I.; Shelykh, I. All-optical band engineering of gapped Dirac materials. Phys. Rev. B 2017, 95, 125401. [Google Scholar] [CrossRef]
- Iurov, A.; Zhemchuzhna, L.; Gumbs, G.; Huang, D.; Tse, W.K.; Blaise, K.; Ejiogu, C. Floquet engineering of tilted and gapped Dirac bandstructure in 1T′-MoS2. Sci. Rep. 2022, 12, 21348. [Google Scholar] [CrossRef]
- Kibis, O. Metal-insulator transition in graphene induced by circularly polarized photons. Phys. Rev. B 2010, 81, 165433. [Google Scholar] [CrossRef]
- Iurov, A.; Mattis, M.; Zhemchuzhna, L.; Gumbs, G.; Huang, D. Floquet Modification of the Bandgaps and Energy Spectrum in Flat-Band Pseudospin-1 Dirac Materials. Appl. Sci. 2024, 14, 6027. [Google Scholar] [CrossRef]
- Kristinsson, K.; Kibis, O.V.; Morina, S.; Shelykh, I.A. Control of electronic transport in graphene by electromagnetic dressing. Sci. Rep. 2016, 6, 20082. [Google Scholar] [CrossRef]
- Iurov, A.; Gumbs, G.; Huang, D. Exchange and correlation energies in silicene illuminated by circularly polarized light. J. Mod. Opt. 2017, 64, 913–920. [Google Scholar] [CrossRef]
- Ho, J.; Lai, Y.; Chiu, Y.H.; Lin, M.F. Landau levels in graphene. Phys. E Low Dimens. Syst. Nanostruct. 2008, 40, 1722–1725. [Google Scholar] [CrossRef]
- Guinea, F.; Castro Neto, A.; Peres, N. Electronic states and Landau levels in graphene stacks. Phys. Rev. B Condens. Matter Mater. Phys. 2006, 73, 245426. [Google Scholar] [CrossRef]
- Gumbs, G.; Iurov, A.; Huang, D.; Zhemchuzhna, L. Revealing Hofstadter spectrum for graphene in a periodic potential. Phys. Rev. B 2014, 89, 241407. [Google Scholar] [CrossRef]
- Ezawa, M. Quantum Hall effects in silicene. J. Phys. Soc. Jpn. 2012, 81, 064705. [Google Scholar] [CrossRef]
- Tabert, C.J.; Nicol, E.J. Magneto-optical conductivity of silicene and other buckled honeycomb lattices. Phys. Rev. B Condens. Matter Mater. Phys. 2013, 88, 085434. [Google Scholar] [CrossRef]
- Kuc, A.; Heine, T. The electronic structure calculations of two-dimensional transition-metal dichalcogenides in the presence of external electric and magnetic fields. Chem. Soc. Rev. 2015, 44, 2603–2614. [Google Scholar] [CrossRef]
- He, W.Y.; Zhou, B.T.; He, J.J.; Yuan, N.F.; Zhang, T.; Law, K.T. Magnetic field driven nodal topological superconductivity in monolayer transition metal dichalcogenides. Commun. Phys. 2018, 1, 40. [Google Scholar] [CrossRef]
- Malcolm, J.D.; Nicol, E.J. Magneto-optics of massless Kane fermions: Role of the flat band and unusual Berry phase. Phys. Rev. B 2015, 92, 035118. [Google Scholar] [CrossRef]
- Tabert, C.; Carbotte, J.; Nicol, E. Optical and transport properties in three-dimensional Dirac and Weyl semimetals. Phys. Rev. B 2016, 93, 085426. [Google Scholar] [CrossRef]
- Rappoport, T.G.; Uchoa, B.; Castro Neto, A. Magnetism and magnetotransport in disordered graphene. Phys. Rev. B Condensed Matter Mater. Phys. 2009, 80, 245408. [Google Scholar] [CrossRef]
- Shakouri, K.; Vasilopoulos, P.; Vargiamidis, V.; Peeters, F. Spin-and valley-dependent magnetotransport in periodically modulated silicene. Phys. Rev. B 2014, 90, 125444. [Google Scholar] [CrossRef]
- Islam, S.F. Magnetotransport properties of 8-Pmmn borophene: Effects of Hall field and strain. J. Phys. Condens. Matter 2018, 30, 275301. [Google Scholar] [CrossRef]
- Islam, S.F.; Dutta, P. Valley-polarized magnetoconductivity and particle-hole symmetry breaking in a periodically modulated α-T3 lattice. Phys. Rev. B 2017, 96, 045418. [Google Scholar] [CrossRef]
- Nguyen, H.T.; Dinh, L.; Vu, T.V.; Hoa, L.T.; Hieu, N.N.; Nguyen, C.V.; Nguyen, H.V.; Kubakaddi, S.; Phuc, H.V. Quantum magnetotransport properties of silicene: Influence of the acoustic phonon correction. Phys. Rev. B 2021, 104, 075445. [Google Scholar] [CrossRef]
- Tymchenko, M.; Nikitin, A.Y.; Martin-Moreno, L. Faraday rotation due to excitation of magnetoplasmons in graphene microribbons. ACS Nano 2013, 7, 9780–9787. [Google Scholar] [CrossRef]
- Do, T.N.; Gumbs, G.; Shih, P.H.; Huang, D.; Chiu, C.W.; Chen, C.Y.; Lin, M.F. Peculiar optical properties of bilayer silicene under the influence of external electric and magnetic fields. Sci. Rep. 2019, 9, 624. [Google Scholar] [CrossRef]
- Tahir, M.; Vasilopoulos, P. Electrically tunable magnetoplasmons in a monolayer of silicene or germanene. J. Phys. Condens. Matter 2015, 27, 075303. [Google Scholar] [CrossRef][Green Version]
- Balassis, A.; Dahal, D.; Gumbs, G.; Iurov, A.; Huang, D.; Roslyak, O. Magnetoplasmons for the α-T3 model with filled Landau levels. J. Phys. Condens. Matter 2020, 32, 485301. [Google Scholar] [CrossRef] [PubMed]
- Illes, E.; Carbotte, J.; Nicol, E. Hall quantization and optical conductivity evolution with variable Berry phase in the α-T3 model. Phys. Rev. B 2015, 92, 245410. [Google Scholar] [CrossRef]
- Bercioux, D.; Urban, D.; Grabert, H.; Häusler, W. Massless Dirac-Weyl fermions in a T3 optical lattice. Phys. Rev. A At. Mol. Opt. Phys. 2009, 80, 063603. [Google Scholar] [CrossRef]
- Bercioux, D.; Goldman, N.; Urban, D. Topology-induced phase transitions in quantum spin Hall lattices. Phys. Rev. A At. Mol. Opt. Phys. 2011, 83, 023609. [Google Scholar] [CrossRef]
- Goldman, N.; Urban, D.; Bercioux, D. Topological phases for fermionic cold atoms on the Lieb lattice. Phys. Rev. A At. Mol. Opt. Phys. 2011, 83, 063601. [Google Scholar] [CrossRef]
- Zuev, Y.M.; Chang, W.; Kim, P. Thermoelectric and magnetothermoelectric transport measurements of graphene. Phys. Rev. Lett. 2009, 102, 096807. [Google Scholar] [CrossRef]
- Crassee, I.; Orlita, M.; Potemski, M.; Walter, A.L.; Ostler, M.; Seyller, T.; Gaponenko, I.; Chen, J.; Kuzmenko, A. Intrinsic terahertz plasmons and magnetoplasmons in large scale monolayer graphene. Nano Lett. 2012, 12, 2470–2474. [Google Scholar] [CrossRef]
- Yan, H.; Li, Z.; Li, X.; Zhu, W.; Avouris, P.; Xia, F. Infrared spectroscopy of tunable Dirac terahertz magneto-plasmons in graphene. Nano Lett. 2012, 12, 3766–3771. [Google Scholar] [CrossRef]
- Giesbers, A.; Zeitler, U.; Ponomarenko, L.; Yang, R.; Novoselov, K.; Geim, A.; Maan, J. Scaling of the quantum Hall plateau-plateau transition in graphene. Phys. Rev. B Condens. Matter Mater. Phys. 2009, 80, 241411. [Google Scholar] [CrossRef]
- Jiang, Z.; Henriksen, E.A.; Tung, L.; Wang, Y.J.; Schwartz, M.; Han, M.Y.; Kim, P.; Stormer, H.L. Infrared spectroscopy of Landau levels of graphene. Phys. Rev. Lett. 2007, 98, 197403. [Google Scholar] [CrossRef]
- Ponomarenko, L.; Yang, R.; Gorbachev, R.; Blake, P.; Mayorov, A.; Novoselov, K.; Katsnelson, F.M.; Geim, A. Density of states and zero Landau level probed through capacitance of graphene. Phys. Rev. Lett. 2010, 105, 136801. [Google Scholar] [CrossRef]
- Luican, A.; Li, G.; Andrei, E.Y. Quantized Landau level spectrum and its density dependence in graphene. Phys. Rev. B Condens. Matter Mater. Phys. 2011, 83, 041405. [Google Scholar] [CrossRef]






Disclaimer/Publisher’s Note: The statements, opinions and data contained in all publications are solely those of the individual author(s) and contributor(s) and not of MDPI and/or the editor(s). MDPI and/or the editor(s) disclaim responsibility for any injury to people or property resulting from any ideas, methods, instructions or products referred to in the content. |
© 2025 by the authors. Licensee MDPI, Basel, Switzerland. This article is an open access article distributed under the terms and conditions of the Creative Commons Attribution (CC BY) license (https://creativecommons.org/licenses/by/4.0/).
Share and Cite
Zhemchuzhna, L.; Joseph, L.; Iurov, A.; Gumbs, G.; Huang, D. Landau Levels and Electronic States for Pseudospin-1 Lattices with a Bandgap: Application to a Lieb Lattice. Magnetism 2025, 5, 22. https://doi.org/10.3390/magnetism5030022
Zhemchuzhna L, Joseph L, Iurov A, Gumbs G, Huang D. Landau Levels and Electronic States for Pseudospin-1 Lattices with a Bandgap: Application to a Lieb Lattice. Magnetism. 2025; 5(3):22. https://doi.org/10.3390/magnetism5030022
Chicago/Turabian StyleZhemchuzhna, Liubov, Lovely Joseph, Andrii Iurov, Godfrey Gumbs, and Danhong Huang. 2025. "Landau Levels and Electronic States for Pseudospin-1 Lattices with a Bandgap: Application to a Lieb Lattice" Magnetism 5, no. 3: 22. https://doi.org/10.3390/magnetism5030022
APA StyleZhemchuzhna, L., Joseph, L., Iurov, A., Gumbs, G., & Huang, D. (2025). Landau Levels and Electronic States for Pseudospin-1 Lattices with a Bandgap: Application to a Lieb Lattice. Magnetism, 5(3), 22. https://doi.org/10.3390/magnetism5030022

