- Review
Limonene: A Resource or a Danger
- Ivan Notardonato,
- Mario Lovrić and
- Pasquale Avino
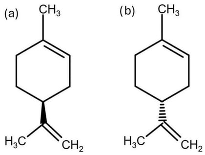
Limonene is one of the most abundant, natural, bio-based monoterpenes. In recent years, it has attracted growing attention in both industrial and scientific communities due to its versatile physicochemical properties and wide spectrum of biological activities, including antimicrobial, antioxidant, and anti-inflammatory effects. Its renewable origin and biodegradability make limonene an ideal candidate for sustainable development and as a key building block in green chemistry. The industrial relevance of limonene spans multiple sectors, ranging from its use as a solvent and flavoring agent to its application in pharmaceuticals, cosmetics, polymers, and renewable fuels. Nevertheless, despite its numerous advantages, certain limitations and safety concerns have emerged. Prolonged or high-level exposure may result in sensitization, irritant reactions, or secondary oxidation products that pose potential health risks. Moreover, its oxidative instability can lead to the formation of reactive compounds under specific environmental conditions that influence indoor air quality and may contribute to secondary organic aerosol formation. Current research focuses on several key challenges: improving extraction and purification yields through biotechnological and enzymatic pathways; enhancing oxidative stability via encapsulation or chemical modification; and standardizing toxicological assessment protocols for both occupational and clinical settings. In this review, we analyze and discuss studies published predominantly in the last five years that explore the dual nature of limonene, its valuable industrial applications and its potential environmental and health-related challenges.
4 February 2026





