Abstract
This review article examines the synthetic pathways for triazolothiadiazine derivatives, such as triazolo[3,4-b]thiadiazines, triazolo[5,1-b]thiadiazines, and triazolo[4,3-c]thiadiazines, originating from triazole derivatives, thiadiazine derivatives, or thiocarbohydrazide. The triazolothiadiazine derivatives exhibit several biological actions, including antibacterial, anticancer, antiviral, antiproliferative, analgesic, anti-inflammatory, and antioxidant properties. The review article aims to assist researchers in creating new biologically active compounds for designing target-oriented triazolothiadiazine-based medicines to treat multifunctional disorders.
1. Introduction
In recent years, nitrogen- and sulfur-containing scaffolds have become prominent in health, agriculture, and industry due to their extensive applications [1]. One nitrogen- and sulfur-containing heterocycle is triazolothiadiazine. This is a bicyclic molecule of nine members, consisting of four carbon atoms, four nitrogen atoms, and one sulfur atom. This heterocycle is generated by the combination of two active components, a five-membered triazole and a six-membered thiadiazine. As shown in Figure 1, triazolothiadiazine has nine types of isomers.
Figure 1.
Isomeric forms of triazolothiadiazine.
Triazolothiadiazine derivatives have a wide range of therapeutic activities such as antimicrobial [2,3], tubulin inhibition [4], anticancer [5,6,7,8], anti-candida [9], and antiviral activity against highly pathogenic avian influenza (HPAI H5N1) [10], antiviral [11], antiproliferative [12], aromatase inhibition [13], analgesic, anti-inflammatory, and antioxidant effects [14,15]. Figure 2 depicts the retrosynthetic analysis used to create the triazolothiadiazine derivatives, involving six main routes: I, II, III, IV, V, and VI. Route I consists of the reaction between 4-amino-5-mercaptotriazole and several α-halocarbonyl compounds. Route II entails alkylating the thiol group of triazole followed by cyclization using a carbonyl chemical. A one-pot Mannich reaction of 1,2,4-triazole-5-thiones, formaldehyde, and primary amines is present in Route III. Route IV consists of the reaction between triazole arylidene and α-halocarbonyl molecules. Route V entails the reaction of triazol-3-amine with ortho esters, followed by the reaction of the generated carboximidate with either carbon disulfide or sodium thiocyanate. Route VI consists of the reaction between 2-hydrazinyl-1,3,4-thiadiazine and α-halocarbonyl compounds. Aggarwal, R. et al. [16] conducted a review on the synthetic and medicinal aspects of 1,2,4-triazolo[3,4-b]1,3,4-thiadiazines. This study discusses the synthetic methods and biological activity of many triazolothiadiazine derivatives, specifically triazolo[3,4-b]thiadiazines, triazolo[5,1-b]thiadiazines, triazolo[4,3-c]thiadiazines, and triazolo[1,5-c]thiadiazines building upon our previous research [17,18,19,20,21,22].
Figure 2.
Synthetic methodologies involving triazolothiadiazines.
2. Synthesis of Triazolo[3,4-b]thiadiazines
2.1. From 4-Amino-5-substituted-4H-1,2,4-triazole-3-thiols
The reaction of 4-amino-5-substituted-4H-1,2,4-triazole-3-thiols 1 with hydrazonoyl chlorides 2 in refluxing ethanol or dioxane with Et3N afforded (7Z)-7-[2-(aryl)hydrazinylidene]-6-methyl-7H-[1,2,4]triazolo[3,4-b][1,3,4]thiadiazines 3 [6,9,10,11,12,13,14,15,16,17,18,19,20,21,22,23]. The produced compounds underwent in vitro testing against 11 candida species and were compared to the conventional medication ketoconazole. Triazolothiadiazines 3Aa, 3Ac, 3Ae, and 3Ag showed the highest potency against candida species. The potential cytotoxicity of all the produced compounds was also examined on a noncancer cell line (MCF-12) utilizing the WST-1 test. The compounds 3Aa, 3Ad, and 3Ah exhibited an equivalent IC50 value to the standard medicine ketoconazole against the noncancer cell line MCF-12 (IC50 ≥ 1.0 × 105 µg/mL) [9]. Furthermore, the synthesized compounds underwent a screening process to evaluate their effectiveness in inhibiting cancer growth. Compounds 3Ba and 3Bi showed the most significant effects against HEPG-2, indicating promising findings [6] (Scheme 1).
Scheme 1.
Synthesis of -[1,2,4]triazolo[3,4-b][1,3,4]thiadiazines 3A [6], 3B [9], and 3C [23].
4-Amino-5-substituted-4H-1,2,4-triazole-3-thiols 1 were treated with ethyl 3-bromo-2-oxopropanoate 4 in ethanol at reflux to afford ethyl triazolothiadiazine-6-carboxylate 5A,B. Hydrolyzing the latter esters using lithium hydroxide in MeOH/H2O gave the corresponding carboxylic acids 6A,B. The amides 7A,B were synthsized, in good yields, by reacting 6A,B with substituted amines and T3P® in DCM with N,N-diisopropylethylamine (Scheme 2). The synthesized compounds underwent screening to evaluate their cytotoxic, anti-inflammatory, and analgesic properties. The compound 7Ag, (R = 4-(methoxybenzyl)piperazine) has the greatest potential IC50 = 9.1 µg/mL in MCF-7 cells. Compounds 7Af, 7Ag, and 7Ak had remarkable anti-inflammatory effects at a dosage of 50 mg/kg, which were nearly equivalent to those of the conventional medication. In addition, the latter compounds exhibited greater and more consistent analgesic effectiveness at doses of 100 and 200 mg/kg/po, while posing a lower risk of causing ulcers [24].
Scheme 2.
Synthesis of [1,2,4]triazolo[3,4-b][1,3,4]thiadiazines 7A and 7B.
Reaction of 4-amino-3-(3,4,5-trimethoxyphenyl)-1H-1,2,4-triazole-5(4H)-thione 1 with 2-chloroacetamides in phosphorous oxychloride under refluxing gave N-aryl-1,8a-dihydro-7H-[1,2,4]triazolo[3,4-b][1,3,4]thiadiazin-6-amines 8, while reaction between 1 and α-bromoketones in anhydrous EtOH under reflux afforded 6-aryl-1,8a-dihydro-7H-[1,2,4]triazolo[3,4-b][1,3,4]thiadiazines 9 (Scheme 3) [25]. Among synthesized compounds, the most potent compound was 9b (R = 4-Me-Ph). High selectivity over normal human embryonic kidney HEK-293 cells was observed, with an IC50 value over 64.5 μg/mL. Further investigation demonstrated that 9b prevented tubulin polymerization and disrupted the A549 microtubule network. 9b changed p-cdc2 and cyclin B1 levels to terminate the G2/M cell cycle. It increased cleaved PARP and caspase-3 and decreased Bcl-2, killing cells. No harm was observed in a xenograft mice model where 9b inhibited A549 lung cancer growth, demonstrating its potential as a cancer therapy [25].
Scheme 3.
Synthesis of -[1,2,4]triazolo[3,4-b][1,3,4]thiadiazines 8 and 9.
Reaction of bis(2-bromoacetyl)phenoxy)acetamides 10 with compound 1 in DMF/ethanol (4:1) at reflux with piperidine furnished bis(1,2,4-triazolo[3,4-b][1,3,4]thiadiazine) derivatives 11a–l, in good yields (Scheme 4). Compounds 11a–l were tested for cytotoxicity and apoptosis via PARP-1 and EGFR. Three compounds, 11d, 11i, and 11l, outperformed Erlotinib in MDA-MB-231 cytotoxicity. Compound 11i increased P53, Bax, caspase-3, caspase-8, and caspase-9 gene levels and decreased Bcl2 levels in MDA-MB-231 cells, causing 38-fold apoptosis compared to the control. Compound 11i showed promising dual enzyme inhibition of PARP-1 (IC50 = 0.88 μg/mL) and EGFR (IC50 = 64.65 μM) compared to Erlotinib (IC50 = 51.6 μg/mL). Thus, compound 11i may fight breast cancer [7].

Scheme 4.
Synthesis of bis(1,2,4-triazolo[3,4-b][1,3,4]thiadiazine) derivatives 11.
Compound 1 is treated with oxalyl chloride in refluxing benzene for 6 h to produce 78% [1,2,4]triazolo[3,4-b][1,3,4]thiadiazine-6,7-dione 12. Microwave irradiation (MWI) for 2 min increased the isolated yield to 90%. Moreover, Compound 1 was carboxymethylated with ethyl bromoacetate using Et3N or NaOEt in ethanol under conventional heating for 8–10 h or MWI for 3 min to create 6-ethoxy-7H-[1,2,4]triazolo[3,4-b][1,3,4]thiadiazine 13. When microwave irradiation (MWI) was used, the yield was 91–94%, but conventional heating only resulted in a yield of 79–83%. Condensation of 1 with bromoacetyl bromide or chloroacetic acid in MeOH containing Et3N or AcONa under conventional heating for 6 h or MWI for 2–3 min yielded 3-(3-fluorophenyl)-5,7-dihydro-1,2,4-triazolo[3,4-b][1,3,4]thiadiazin-6-one 14 in 85% and 95% or 78%, and 89% yields, respectively [26] (Scheme 5).
Scheme 5.
Synthesis triazolothiadiazine derivatives 12–14.
Compound 1 interacted with various α-halocarbonyl compounds in DMF with sodium ethoxide or microwave irradiation for 8 h and 10 min, respectively, to generate triazolo[3,4-b]thiadiazines 15 and 16a–j (Scheme 6). The latter compounds have significant antimicrobial activity [27].
Scheme 6.
Synthesis of triazolo[3,4-b]thiadiazines derivatives 15 and 16.
Compound 1 was subjected to benzoin treatment, resulting in the formation of 6,7-diphenyl-5H-[1,2,4]triazolo[3,4-b][1,3,4]thiadiazine derivatives 18a,b [8,10] (Scheme 7). The produced compounds were assessed for their anticancer and antibacterial properties. Several of the investigated compounds exhibited encouraging actions [8]. Moreover, the compounds were assessed for their antiviral activity against highly pathogenic avian influenza (HPAI H5N1) [10].
Scheme 7.
Synthesis of 6,7-diphenyl-5H-[1,2,4]triazolo[3,4-b][1,3,4]thiadiazine derivatives 18a,b.
Triazolo[3,4-b][1,3,4]thiadiazine derivatives 19–22 were produced by reacting compound 1 with 2,3-dichloroquinoxaline, chloroacetonitrile, bromomalononitrile, 3-chloropentane-2,5-dione, and ethyl 2-chloro-3-oxobutanoate in boiling DMF/TEA, respectively (Scheme 8). The acquired compounds were assessed for their antibacterial efficacy, displaying varying levels of inhibitory activity against the tested pathogens [28].
Scheme 8.
Synthesis of triazolo[3,4-b][1,3,4]thiadiazine derivatives 19, 20, 21, and 22.
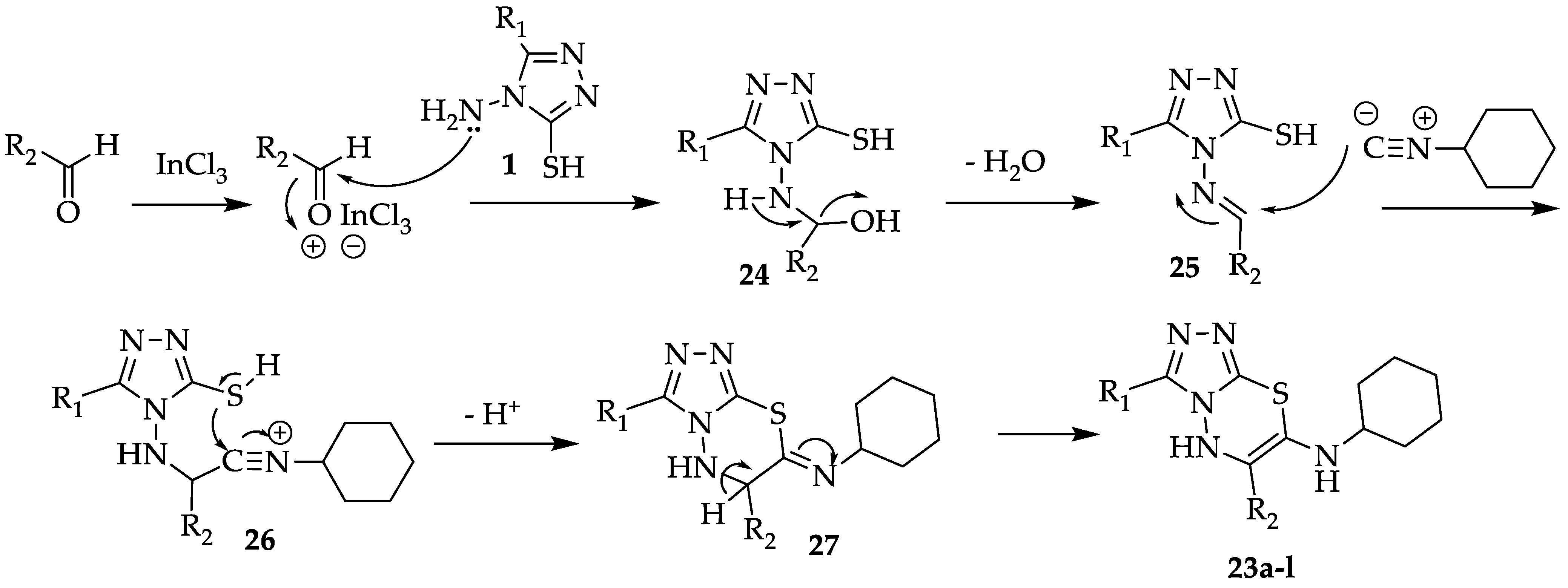
In an alcoholic solution containing InCl3 as a recyclable catalyst, compound 1, aromatic aldehyde, and isocyanocyclohexane were stirred at 60 °C or subjected to MWI to afford triazolothiadiazines 23a–l [29] (Scheme 9).
Scheme 9.
Synthesis of triazolothiadiazines 23a–l.
Synthesis of triazolothiadiazine 23 involved a chemoselective sequential double addition reaction. This included an InCl3-catalyzed dehydrative nucleophilic addition of an amino group to an aromatic aldehyde, followed by the addition of the resulting Schiff’s base 25 to cyclohexyl isocyanide. Adduct 26 undergoes intramolecular cyclization to produce the required molecules [29] (Scheme 10).
Scheme 10.
Mechanism of formation of triazolothiadiazines 23a–l.
Triazolo[3,4-b][1,3,4]thiadiazines 31 were produced with high efficiency by a catalyst-free one-pot reaction between compound 1 and dibenzoylacetylene 28. Single crystal X-ray diffraction was used to determine the structures of the generated molecules [30] (Scheme 11).
Scheme 11.
Synthesis of triazolo[3,4-b][1,3,4]thiadiazines 31.
3-Phenylpropiolaldehyde 32 was reacted with 1 in i-PrOH containing p-TsOH to give 4-((3-phenylprop-2-yn-1-ylidene)amino)-4H-1,2,4-triazole-3-thiol 33 then hydrogenation using sodium borohydride in methanol to afford 34. Intramolecular cyclization of the latter compound in DMF with KOH as a catalyst at 100 °C afforded 3-substituted (Z)-7-benzylidene-6,7-dihydro-5H-[1,2,4]triazolo[3,4-b][1,3,4]thiadiazines 35. Oxidation of 35 in acetonitrile using MnO2 gave [1,2,4]triazolo[3,4-b][1,3,4]thiadiazines 36. However, hydrogenation 36 with sodium borohydride afforded 35 [11,31] (Scheme 12).
Scheme 12.
Synthesis of [1,2,4]triazolo[3,4-b][1,3,4]thiadiazines 36.
A one-pot reaction is performed utilizing visible-light photoredox catalysis to react 1,3-diketones 37 with NBS and compound 1. The reaction can be catalyzed by either p-TsOH or CFL (27 W) in a mixture of ethanol and water (4:1). The synthesis of 7-aroyl-6-methyl-[1,2,4]triazolo[3,4-b][1,3,4]thiadiazines 38 was achieved [32] (Scheme 13).
Scheme 13.
Synthesis of 7-aroyl-6-methyl-[1,2,4]triazolo[3,4-b][1,3,4]thiadiazines 38.
The plausible mechanism for the regioselective production of 38 was detailed in Scheme 14. The C-Br bond of α-bromodiketone 37A and the S-H bond of compound 1 underwent homolytic fission when exposed to visible light. This resulted in the formation of free radicals 37AA and 39. The radicals were combined to create an S-alkylated open chain intermediate 40. After the N-H bond is broken homolytically with the help of a Br radical and the carbonyl carbon is cleaved with the assistance of a hydrogen free radical, there is a promotion of intramolecular free radical combination between the amine and the carbonyl carbon near the methyl group. Removing water led to the successful production of the desired product [32] (Scheme 14).
Scheme 14.
Mechanism of formation of triazolothiadiazines 38.
A very effective synthesis of triazolothiadiazinols 44 was produced using a catalyst-free method. The synthesis involves the reaction of compound 1 with substituted nitroepoxide 43 in methanol at an ambient temperature, resulting in excellent regio- and diastereoselectivity. The dehydration of compound 44 using p-TsOH in EtOH at 70 °C resulted in the formation of the corresponding [1,2,4]triazolo[3,4-b][1,3,4]thiadiazines [33] (Scheme 15).
Scheme 15.
Synthesis of [1,2,4]triazolo[3,4-b][1,3,4]thiadiazines 45.
Compound 45′s synthesis process is depicted in Scheme 16. The thiol group opens the nitroepoxide ring, leading to the creation of intermediate 46 by eliminating nitric acid. The amino group then reacts via a nucleophilic attack on the carbonyl, leading to the creation of triazolothiadiazinol 44. The stereochemistry of the compounds is explained using two Newman projections (46a and 46b). The reaction proceeded through conformer 46a due to the unfavorable contact between the methyl and aryl groups in 46b, resulting in the products with the observed stereochemistry [33].
Scheme 16.
The mechanism of formation [1,2,4]triazolo[3,4-b][1,3,4]thiadiazines 45.
The molecule 1 was alkylated with 2-bromo-1-(3,4,5-trimethoxyphenyl)ethan-1-one 47 in dry acetone with K2CO3 to produce S-phenacyl derivatives 48. When the subsequent reaction was carried out in refluxing ethanol, it produced the cyclized analogs 49. In addition, the annulation of 48 was achieved by subjecting it to reflux in absolute ethanol, resulting in the formation of 49 (Scheme 17). The produced compounds exhibited remarkable selectivity towards cancer cells compared to normal cells, since they did not demonstrate any notable cytotoxicity against L929 cells. Furthermore, compound 49a has the ability to hinder the process of tubulin polymerization at micro-molar concentrations [12].
Scheme 17.
Synthesis of triazolothiadiazines 49a–g.
Similarly, triazolothiadiazines 50 were achieved by condensing 1 with phenacyl bromides in refluxing ethanol, as reported [34]. Triazolothiadiazines 51 were produced by reacting 1 with α-bromoacetophenone in the presence of K2CO3 and p-TsOH [35] (Scheme 18). The synthesized compounds were assessed as very effective and specific inhibitors of electric eel acetylcholinesterase (EeAChE) and horse serum butyrylcholinesterase (hBChE) using Ellman’s method, with neostigmine and donepezil serving as standard inhibitors.
Scheme 18.
Synthesis of triazolothiadiazines 50 and 51.
In the same manner, substituted phenacyl bromide was reacted with compound 1 to give benzimidazole-triazolothiadiazine derivatives 52 (Scheme 19). The synthesized compounds exhibited anticancer efficacy against the MCF-7 human breast cancer cell lines. Compounds 52c, 52e, 52k, and 52m, which showed the highest activity on the MCF-7 cell line, were selected for additional in vitro experiments to investigate the potential mechanisms responsible for their activity. These assays focused on determining their ability to inhibit the aromatase enzyme [13].
Scheme 19.
Synthesis of benzimidazole-triazolothiadiazine derivatives 52a–p.
In addition, 4-amino-3-[1-[4-(substituted phenyl]ethyl]-1,2,4-triazole-5-thiones 1I–3I were condensed with phenacyl halides in reflux ethanol or under microwave irradiation (350 Watt) to give 1,2,4-triazolo[3,4-b]-1,3,4-thiadiazines 53a–j (Scheme 20). The produced compounds were screened for their bioactivity against epithelial cancer cells and this demonstrated that those derivatives are promising drug candidates for epithelial cancers, especially liver cancer [36].
Scheme 20.
Synthesis of 1,2,4-triazolo[3,4-b]-1,3,4-thiadiazines 53a–j.
The heterocyclic derivatives of 1 were subjected to treatment with substituted phenacyl bromides in pure ethanol. This resulted in the formation of 1,2,4-triazolo[3,4-b][1,3,4]thiadiazine derivatives 54 [37,38,39,40,41,42,43,44,45,46,47,48,49] (Scheme 21). The produced compounds underwent screening to assess their inhibitory effects on acetyl- and butyryl-cholinesterases, as well as alkaline phosphatase. The majority of compounds exhibited superior efficacy against acetylcholinesterase compared to the reference medicines [37]. In addition, their antiviral efficacy against the reproduction of both HIV-1 and HIV-2 in MT-4 cells was assessed using an MTT assay [38]. The prepared compounds were assessed for their effects on alkaline phosphatase (ALP), tested against Leishmania major, and their anticancer activity was determined using kidney fibroblast (BHK-21) and lung carcinoma (H-157) cancer cell lines [39]. Additionally, the inhibitory potential against both tissue-nonspecific alkaline phosphatase (h-TNAP) and intestinal alkaline phosphatase (h-IAP) were investigated, with the aim of establishing a connection between their alkaline phosphatase inhibitory properties and potential anti-proliferative and pro-apoptotic effects. The examined compounds had significant inhibitory effects on h-TNAP and h-IAP enzymes, surpassing the inhibitory activity of conventional medicines [40]. Additionally, their antibacterial activity against four human pathogenic bacteria were evaluated: 6-(4-Methoxyphenyl)-3-(5-methyl-1-phenyl-1H-pyrazol-4-yl)-7H-[1,2,4]triazolo[3,4-b][1,3,4]thiadiazine demonstrates significant efficacy against all bacteria [41]. The synthesized compounds were assessed for their in vitro antiproliferative properties against MCF-7 and MDA-MB-231 breast cancer cell lines using the MTT test [47]. Furthermore, the synthesized compounds were assessed for their in vitro antibacterial activity. The majority of compounds showed a satisfactory level of antibacterial activity and are notably more potent than ampicillin [49].

Scheme 21.
Synthesis of 1,2,4-triazolo[3,4-b]-1,3,4-thiadiazines 54 [37,38,39,40,41,42,43,44,45,46,47,48,49].
Long chain alkenyl-6-phenyl-7H-1,2,4-triazolo[3,4-b]-1,3,4-thiadiazines 55a–d, were synthesized from the reaction of compound 1 and phenacyl bromide via a ring closure reaction (Scheme 22). The prepared compounds are promising anticancer agents [50].
Scheme 22.
Synthesis of long chain triazolothiadiazines 55a–d.
In the same fashion, triazolothiadiazine derivatives 56 were synthesized through the reaction of 1 with phenacyl halides in EtOH at reflux conditions [14,15,51] (Scheme 23). The synthesized compounds were tested for their ability to relieve pain and reduce inflammation. Also, all compounds were tested for their ability to harm the digestive system and their antioxidant activity. Most of the substances worked well in both the carrageenan-induced oedema and acetic acid-induced writhing tests, with only minor effects on the digestive system. Most successful results were seen with molecules that added a chlorine or fluorine atom to the sixth position of the fused phenyl ring [15]. The effects of triazolothiadiazines on hepatocellular carcinoma (HCC) cells were described. Compound 56t had the highest efficacy in halting the cell cycle specifically in the G2/M phase and inducing cell death in HCC cells. Oxidative stress induced activation of the JNK protein, resulting in a reconfiguration of the roles of ASK1, MKK7, and c-Jun proteins. In addition, nude mice treated with 56t had reduced growth tissue and experienced an extended lifespan without succumbing to illness. Additionally, 56t hindered the movement of HCC cells and the accumulation of liver cancer stem cells (LCSCs), both individually and when used in conjunction with sorafenib. Compound 56t has the potential to impact the proliferation, stemness, and migration of HCC cells, making it a possible treatment option for this increasingly prevalent disease, which is seeing an annual growth rate of approximately 3% [51].
Scheme 23.
Synthesis of triazolothiadiazine derivatives 56.
1-Aryl-2-((6-aryl-7H-[1,2,4]triazolo[3,4-b][1,3,4]thiadiazin-3-yl)thio)ethan-1-one derivatives 57a–p were produced from a reaction between 1 and variously substituted phenacyl bromides in ethanol containing Et3N (Scheme 24). The compounds underwent screening to evaluate their in vitro anticancer efficacy against a panel of 60 cancer cell lines. Compound 57d, 57f, and 57l showed substantial efficacy in inhibiting the growth of the kidney cancer OU-31 cell line, with growth percentages of 47.42%, 46.76%, and 48.14% respectively. Compound 57l demonstrated noteworthy efficacy against the leukemia MOLT-4 cell line, resulting in a reduction of 49.82% [52].
Scheme 24.
Synthesis of 1-Aryl-2-((6-aryl-7H-[1,2,4]triazolo[3,4-b][1,3,4]thiadiazin-3-yl)thio)ethan-1-ones 57a–p.
Triazolo[3,4-b]thiadiazines 58 and 59 were produced from the reaction of 1 with 3-(2-bromoacetyl)-2H-chromen-2-one and 2-(2-bromoacetyl)-3H-benzo[f]chromen-3-one under either the conventional or microwave conditions. The most favorable outcome was achieved by utilizing microwave conditions [27] (Scheme 25).
Scheme 25.
Synthesis of triazolo[3,4-b]thiadiazines 58 and 59.
When 1 was treated with 1-phenylbutane-1,3-dione and aromatic ketones in glacial acetic acid with drops of conc. sulfuric acid as a catalyst, it produced 7-benzoyl-3,6-dimethyl-s-triazolo[3,4-b]1,3,4-thiadiazine 60 and 3-methyl-7H-s-triazolo[3,4-b]-1,3,4-thiadiazines 61, respectively (Scheme 26). The synthesized compounds show significant potential for eliminating heavy metal ions and inorganic anions from water-based systems. The metal ion removal efficiency achieved a high level of 76.29%, whereas the removal efficiency for inorganic anions reached a perfect 100%. These findings indicate that the synthesized compounds possess significant potential as adsorbents for the purpose of water filtration [53].
Scheme 26.
Synthesis of triazolothiadiazines 60 and 61.
The proposed mechanisms for the formation of compounds 60 and 61 are summarized in Scheme 27. The s-triazole is initially oxidized to form the disulfide intermediate A, which is followed by the nucleophilic attack of the enolate form of the ketone to give the S-alkylation intermediate B. This formed intermediate then undergoes intramolecular cyclization to yield the desired products.
Scheme 27.
Mechanism of formation of triazolothiadiazines 60 and 61.
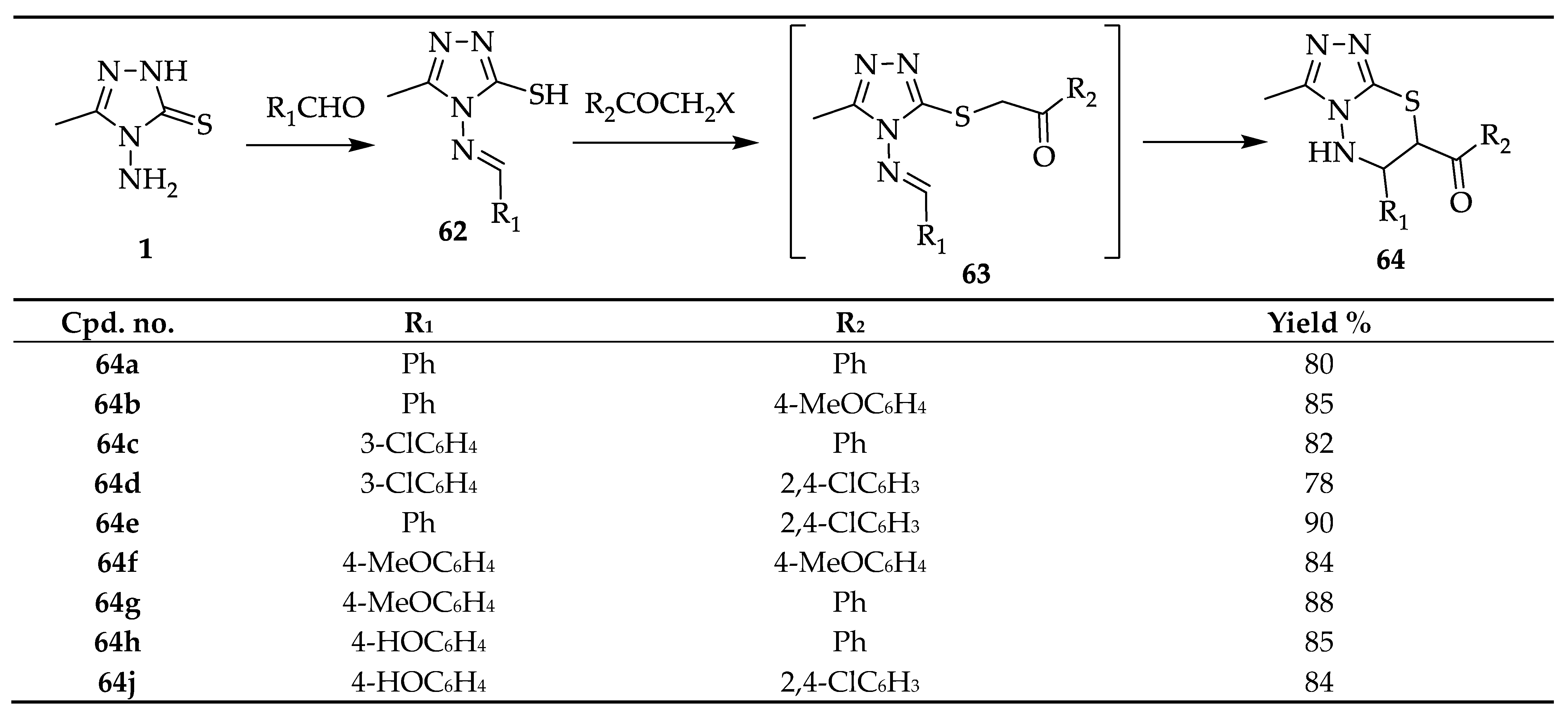
(E)-4-(Arylideneamino)-5-methyl-4H-1,2,4-triazole-3-thiol 62 was treated with appropriate substituted ω-bromoacetophenone in EtOH containing Et3N at room temperature to give (3-methyl-6-aryl-6,7-dihydro-5H-[1,2,4]triazolo[3,4-b][1,3,4]thiadiazin-7-yl)(aryl)methanones 64 via intermediate 63 (Scheme 28). The synthesized compounds were assessed for their antiproliferative activity against HepG2 cell lines in vitro. Additionally, their effects on plant growth regulation were evaluated on wheat and radish. The results revealed that all of the synthesized compounds showed a remarkably low antiproliferative activity against HepG2 cell lines in vitro, contrary to expectations. However, they demonstrated significant plant growth-regulating effects on both wheat and radish [54].
Scheme 28.
Synthesis of triazolo[3,4-b][1,3,4]thiadiazinyl methanones 64.
Aminotriazolethione 1 was reacted with thiophene-2-carbaldehyde to afford the corresponding Schiff’s base 65. The latter compound was then treated with phenacyl bromides leading to fused heterocycle triazolothiadiazines 66. Moreover, compounds 67 were obtained directly by the reaction of 1 with phenacyl bromides [55] (Scheme 29).
Scheme 29.
Synthesis of fused heterocycle triazolothiadiazines 66 and 67.
2.2. From 4-Amino-5-hydrazinyl-4H-1,2,4-triazole-3-thiol (Purpald)
A one-pot, multicomponent process involving 3-(2-bromoacetyl)coumarin derivatives, 4-amino-5-hydrazino-4H-[1,2,4]triazole-3-thiol 68, and ethyl-2-(2- arylhydrazono)-3-oxobutanoate 69 in acetic acid with sodium acetate to yield 2-(7H-[1,2,4]triazolo[3,4-b][1,3,4]thiadiazin-3-yl)-5-methyl-2,4-dihydro-3H-pyrazol-3-one derivatives 70 was reported [56] (Scheme 30).
Scheme 30.
Synthesis of triazolothiadiazinyl pyrazol-3-one derivatives 70.
On the other hand, a one-pot reaction of 68, phenacyl bromides, and acetyacetone in EtOH at reflux gave 3-(3,5-dimethyl-1H-pyrazol-1-yl)-7H-[1,2,4]triazolo[3,4-b][1,3,4]thiadiazines 71, while reacting compound 68 with two moles of phenacyl bromide yielded N′-(6-phenyl-7H-[1,2,4]triazolo[3,4-b][1,3,4]thiadiazin-3-yl)benzohydrazide 72 [56,57] (Scheme 31).
Scheme 31.
Synthesis of triazolo[3,4-b]thiadiazines 71 and 72.
A one-pot, three-components reaction of Purpald 68, 3-(2-bromoacetyl)-4-hydroxy-6-methyl-2H-pyran-2-one 73 and phthalic anhydride in AcOH at reflux afforded 2-(6-(4-hydroxy-6-methyl-2-oxo-2H-pyran-3-yl)-7H-[1,2,4]triazolo[3,4-b][1,3,4]thiadiazin-3-yl)-2,3-dihydrophthalazine-1,4-diones 74, while triazolothiadiazine hydrazone derivatives 75 were produced from a one pot reaction of 68, 73, and substituted benzaldehyde [58,59] (Scheme 32).
Scheme 32.
Synthesis of triazolothiadiazinyl dihydrophthalazine-1,4-diones 74 and triazolothiadiazine hydrazone 75.
On the other hand, a series of triazolothiadiazine hydrazone derivatives 76 was synthesized via a one-pot, three-components reaction of Purpald 68, phenacyl bromides, and various aromatic aldehydes in EtOH at a reflex temperature [60,61] (Scheme 33).
Scheme 33.
Synthesis of triazolothiadiazine hydrazone derivatives 76.
Similarly, triazolothiadiazine hydrazone derivatives 77 were produced via a one-pot four component approach involving the condensation of 68, aromatic aldehydes and various phenacyl bromides in absolute EtOH containing Et3N [62] (Scheme 34).
Scheme 34.
Synthesis of triazolothiadiazine hydrazone derivatives 77.
The mechanism of producing compound 77 is described in the Scheme. Firstly, dianils 78 were formed; then a nucleophilic substitution reaction between the latter dianils and phanacyl bromide was followed by an annulation reaction via intermediates 79 and 80 [62] (Scheme 35).
Scheme 35.
Mechanism of formation of hydrazone derivatives 77.
(±)-3-(1H-Pyrazol-1-yl)-6,7-dihydro-5H-[1,2,4]triazolo[3,4-b][1,3,4]thiadiazines 82 were developed using a two-step, one pot four-components reaction of 68, acetylacetone, aldehyde in EtOH with drops of conc. HCl at reflux to give 4-(arylideneamino)-5-(3,5-dimethyl-1H-pyrazol-1-yl)-4H-1,2,4-triazole-3-thiol 81, not isolated, then substituted phenacyl bromide and Et3N were added. Then the mixture was refluxed to produce the target compounds (Scheme 36). The prepared compounds were tried to see how well they worked against viruses and tumors. It was shown that small changes in the structure of the phenyl group could change the biological qualities to make them more effective against viruses or tumors. These compounds have the ability to fight tumors due to stopping tubulin from polymerizing [63].
Scheme 36.
Synthesis of 3-pyrazolyl triazolothiadiazines 82.
2.3. From Thiocarbohydrazide
The triazolo thiadiazinyl coumarins 87 were produced by a solvent-free one-pot multi-component reaction involving aliphatic 83a–c, 2-(4-methoxyphenyl)acetic acid 84, or 2-(1,3-dioxoisoindolin-2-yl)acetic acid 85, thiocarbohydrazide 86, and substituted 3-(2-bromoacetyl)coumarins (Scheme 37). The triazolo thiadiazinyl coumarins had remarkable antibacterial efficacy [64].
Scheme 37.
Synthesis of triazolo thiadiazinyl coumarins 87.
The reaction between α-bromo ketones and thiocarbohydrazide in DMSO at room temperature resulted in the formation of 2-hydrazinyl-6H-1,3,4-thiadiazine hydrobromides 88. The latter compound underwent annulation with trimethyl orthoformate or triethyl orthoacetate in trifluoroacetic acid resulting in the formation of 1,2,4-triazolo[3,4-b][1,3,4]thiadiazines 89a–i [65] (Scheme 38).
Scheme 38.
Synthesis of 1,2,4-triazolo[3,4-b][1,3,4]thiadiazines 89a–i.
2.4. From 3-Methyl-5-(arylthio)-4H-1,2,4-triazol-4-amine
An intramolecular SNAr type, Smiles rearrangement, of 3-((5-bromo-6-(substituted)pyrimidin-4-yl)thio)-5-methyl-4H-1,2,4-triazol-4-amine in boiling acetonitrile in the presence of NaNH2 afforded 3-methyl-6-(substituted)-6H-pyrimido[4,5-e][1,2,4]triazolo[3,4-b][1,3,4]thiadiazines 91a–g [66] (Scheme 39).
Scheme 39.
Synthesis of pyrimido[4,5-e][1,2,4]triazolo[3,4-b][1,3,4]thiadiazines 91a–g.
Scheme 40 illustrates a possible pathway for the creation of compound 91 via a Smiles-type rearrangement. The reaction begins with the creation of a spiro-type intermediate, which then rearranges and loses HBr to produce the desired product [66].
Scheme 40.
Mechanism of formation of triazolothiadiazines 91a–g.
2.5. From 5-Substituted-1,2,4-triazole-3-thiol
A Mannich reaction of 1,2,4-triazole-3-thiol 94 with either methylamine [67] or S-(-)-α-phenylethylamine 95 [68] and formaldehyde, in EtOH using an acid catalyst, resulted in the formation of 1,2,4-triazolo[3,4-b][1,3,5]thiadiazines 96a–l (Scheme 41).
Scheme 41.
Synthesis of triazolothiadiazines 96a–l.
3. Synthesis of Triazolo[5,1-b]thiadiazines
A Dimroth rearrangement of 1,2,3-thiadiazolylhydrazones 97 give in situ 1,2,3-triazole-4-thiolates 97A, was reacted with α-bromoacetophenones in ethanol with triethylamine; it produced cis and trans-isomers of ethyl-5-aroyl-6-aryl-6,7-dihydro-5H-[1,2,3]triazolo[5,1-b][1,3,4]thiadiazine-3-carboxylats 98a–g in a 1:4 ratio [69]. Similarly, spirocyclic 1,2,3-triazolo[5,1-b]1,3,4-thiadiazines 98h–k was synthesized from the corresponding 3-cyclopentylidene(cyclohexylidene)amino-triazole-4-thiolates [70] (Scheme 42). The crystal structures of 98h–k were determined using single crystal X-ray diffraction [71].
Scheme 42.
Synthesis of triazolo[5,1-b]thiadiazine-3-carboxylates 98a–k.
On the other hand, the prior mention [67,68]. The Mannich reaction involves the interaction of 1,2,4-triazole-5-thiones 94 with formaldehyde and different primary amines in ethanol. The investigation showed that the reaction proceeds by cyclization, using two moles of formaldehyde to produce [1,2,4]triazolo[5,1-b][1,3,5]thiadiazines 99a–l [72] (Scheme 43).
Scheme 43.
Synthesis of [1,2,4]triazolo[5,1-b][1,3,5]thiadiazines 99a–l.
4. Synthesis of Triazolo[4,3-c]thiadiazines
Condensation of 4H-1,2,4-triazol-3-amine with the ortho esters in AcOH affords carboximidates 100. When compound 100 was treated with carbon disulfide in ethanol with pyridine at reflux temperature, it produced triazolo[4,3-c][1,3,5]thiadiazine-5-thiones 101. Compound 100 was treated with sodium thiocyanate in a mixture of ethanol and water, heated under reflux for 12 h, resulting in the formation of triazolo[4,3-c][1,3,5]thiadiazin-5-imines 102 [73] (Scheme 44).
Scheme 44.
Synthesis of triazolo[4,3-c]thiadiazine-5-thiones 101 and triazolo[4,3-c]thiadiazin-5-imines 102.
5. Synthesis of Triazolo[1,5-c]thiadiazines
3-Benzylidineamino-1,2,4-triazole 103 was synthesized by heating a mixture of 3-amino-l,2,4-triazole and suitable aldehydes in the presence of piperidine. A [4+2] cycloaddition reaction of 103 with methanesulfonyl chloride was performed in dioxane to afford [1,2,4]triazolo[3,2-c][1,3,5]-thiadiazine-3,3-dioxide derivatives 104 in a high yield (Scheme 45). The synthesized compounds underwent screening to evaluate their antifungal properties [74].
Scheme 45.
Synthesis of 3,5-dihydro-7H-[1,2,4]triazolo[1,5-c][1,3,5]thiadiazine 6,6-dioxides 104.
6. Conclusions
This survey aimed to provide a synopsis of the synthesis routes and pharmacological uses of triazolothiadiazine derivatives. Various methods were employed to synthesize triazolothiadiazines, such as (i) reacting specific compounds like 4-amino-5-mercapto-4H-1,2,4-triazole, 4-amino-5-hydrazinyl-4H-1,2,4-triazole-3-thiol (Purpald), or 5-(substituted thio)-4H-1,2,4-triazol-4-amine with different α-halocarbonyl compounds: hydrazonoyl halides, α-haloketone, α-haloester, α-haloacid, α-halonitrile, or with dibenzoylacetylene, benzoin, 3-phenylpropiolaldehyde, substituted nitroepoxide; (ii) conducting a one-pot reaction involving 4-amino-5-mercapto-4H-1,2,4-triazole, aromatic aldehyde, and isocyanocyclohexane using InCl3; (iii) engaging in a one-pot multi-component reaction of carboxylic acid or ortho ester, thiocarbohydrazide, and α-haloketone; (iv) a reaction of 2-hydrazinyl-1,3,4-thiadiazine with ortho ester; (v) performing a Mannich reaction of 1,2,4-triazole-5-thiones, formaldehyde, and different primary amines; (vi) reacting N-(4H-1,2,4-triazol-3-yl) carboximidates with either carbon disulfide or sodium thiocyanate. This review provides a comprehensive investigation of the medical properties of triazolothiadiazine derivatives, focusing on their effects in areas such as cancer treatment, fighting against microbes, pain relief, reducing inflammation, antioxidant properties, antiviral effects, inhibiting enzymes, and combating tuberculosis.
Author Contributions
Conceptualization, R.E.K. and M.S.M.; writing—original draft preparation, R.E.K., M.S.M., I.A.M.R. and N.M.A.E.-R.; writing—review and editing, R.E.K., M.S.M., I.A.M.R. and N.M.A.E.-R.; visualization, R.E.K., M.S.M., I.A.M.R. and N.M.A.E.-R. All authors have read and agreed to the published version of the manuscript.
Funding
This research received no external funding.
Conflicts of Interest
The authors declare no conflicts of interest.
Abbreviations
| p-TSOH | p-toluene-sulfonic acid |
| A549 | Lung cancer cells |
| AcONa | Sodium acetate |
| DMF | Dimethyl formamide |
| DMSO | Dimethyl sulfoxide |
| EGFR | Estimated glomerular filtration rate |
| EtOH | Ethyl alcohol |
| G2/M phase | DNA damage checkpoint |
| HEK-293 | Cell line from kidney cells |
| HEPG-2 | Cell line from liver cancer |
| HIV-1 | Human immunodeficiency virus-1 |
| HIV-2 | Human immunodeficiency virus-2 |
| HPAI H5N1 | A bird-adapted strain of H5N1 highly pathogenic avian Influenza A virus subtype H5N1 |
| IC50 | Half-maximal inhibitory concentration |
| i-PrOH | Isopropanol |
| MCF-12A | Breast cancer cell: Michigan Cancer Foundation-12A |
| MCF-7 | Breast cancer cell line: Michigan Cancer Foundation-7 |
| mg/kg/po | Milligram/kilogram by mouth |
| MT-4 | Human T cell leukemia |
| MTT test | Dye of 2,5-diphenyl-2H-tetrazolium bromide assay to measure cell proliferation or cell cytotoxicity. |
| MWI | Microwave irradiation |
| DCM | dichloromethane |
| NBS | N-bromosuccinimide |
| PARP-1 | Poly(ADP-ribose) polymerase-1 |
| SNAr | Nucleophilic aromatic substitution reactions |
| T3P® | Propanephosphonic acid anhydride |
| TEA | Triethylamine |
| WST-1 test | Cell proliferation reagent |
References
- Bräse, S. Privileged Scaffolds in Medicinal Chemistry. Design, Synthesis, Evaluation; RSC: Cambridge, UK, 2016. [Google Scholar] [CrossRef]
- Sahu, J.; Kaushik, A.; Ganguly, S. Synthesis and antimicrobial activity of some novel fused heterocyclic 1,2,4-triazolo[3,4-b][1,3,4] thiadiazine derivatives. J. Adv. Pharm. Technol. Res. 2014, 5, 90. [Google Scholar] [CrossRef] [PubMed]
- Kaplancıklı, Z.; Turan-Zitouni, G.; Ozdemir, A.; Revial, G. New triazole and triazolothiadiazine derivatives as possible antimicrobial agents. Eur. J. Med. Chem. 2008, 43, 155–159. [Google Scholar] [CrossRef] [PubMed]
- Xu, Q.; Bao, K.; Sun, M.; Xu, J.; Wang, Y.; Tian, H.; Zuo, D.; Guan, Q.; Wu, Y.; Zhang, W. Design, synthesis and structure activity relationship of 3,6-diaryl-7H-[1,2,4]triazolo[3,4-b][1,3,4] thiadiazines as novel tubulin inhibitors. Sci. Rep. 2017, 7, 11997. [Google Scholar] [CrossRef] [PubMed]
- Tolan, H.; Fahim, A.; Ismael, E. Synthesis, biological activities, molecular docking, theoretical calculations of some 1,3,4-oxadiazoles, 1,2,4-triazoles, and 1,2,4-triazolo[3,4-b]-1,3,4-thiadiazines derivatives. J. Mole. Struct. 2023, 1283, 135238. [Google Scholar] [CrossRef]
- Farghaly, T.A.; Abdallah, M.A.; Mahmoud, H.K. Synthesis of novel 1,2,4-triazoles and triazolo-thiadiazines as anticancer agents. Turk. J. Chem. 2015, 39, 955–969. [Google Scholar] [CrossRef]
- Thabet, F.; Dawood, K.; Ragab, E.; Nafie, M.; Abbas, A. Design and synthesis of new bis(1,2,4-triazolo[3,4-b][1,3,4]thiadiazines) and bis((quinoxalin-2-yl) phenoxy)alkanes as anti-breast cancer agents through dual PARP-1 and EGFR targets inhibition. RSC Adv. 2022, 12, 23644. [Google Scholar] [CrossRef]
- Abou-Elmagd, W.; Hashem, A. Synthesis and Antitumor Activity Evaluation of Some Novel-Fused and Spiro Heterocycles Derived from a 2(3H)-Furanone Derivative. J. Heterocycl. Chem. 2016, 53, 202–208. [Google Scholar] [CrossRef]
- Bhat, M.A.; Khan, S.; Al-Dhfyan, A. Synthesis of new [1,2,4]triazolo[3,4-b][1,3,4]thiadiazines and study of their anti-candidal and cytotoxic activities. J. Chem. 2014, 2014, 897141. [Google Scholar] [CrossRef]
- Ramadan, S.; Abou-Elmagd, W. Synthesis and anti H5N1 activities of some novel fused heterocycles bearing pyrazolyl moiety. Synth. Commun. 2018, 48, 2409–2419. [Google Scholar] [CrossRef]
- Khramchikhin, A.V.; Skrylnikova, M.A.; Esaulkov, I.L.; Sinegubova, E.O.; Zarubaev, V.; Gureev, M.; Puzyk, A.; Ostrovskii, V. Novel [1,2,4]triazolo[3,4-b][1,3,4]thiadiazine and [1,2,4]triazolo[3,4-b][1,3,4]thiadiazepine Derivatives: Synthesis, Anti-Viral In Vitro Study and Target Validation Activity. Molecules 2022, 27, 7940. [Google Scholar] [CrossRef]
- Ansari, M.; Shokrzadeh, M.; Karima, S.; Rajaei, S.; Hashemi, S.M.; Mirzaei, H.; Fallah, M.; Emami, S. Design, synthesis and biological evaluation of flexible and rigid analogs of 4H-1,2,4-triazoles bearing 3,4,5-trimethoxyphenyl moiety as new antiproliferative agents. Bioorg. Chem. 2019, 93, 103300–103311. [Google Scholar] [CrossRef]
- Çevik, U.; Glu, B.; Saglık, B.; Osmaniye, D.; Levent, S.; Ilgın, S.; Özkay, Y.; Kaplancıklı, Z. Synthesis, Docking Studies and Biological Activity of New Benzimidazole- Triazolothiadiazine Derivatives as Aromatase Inhibitor. Molecules 2020, 25, 1642. [Google Scholar] [CrossRef] [PubMed]
- Tozkoparan, B.; Ayta, S.; Aktay, G. Novel 3,6-Disubstituted 7H-1,2,4-Triazolo[3,4-b][1,3,4]thiadiazines: Synthesis, Characterization, and Evaluation of Analgesic / Anti-inflammatory, Antioxidant Activities. Arch. Pharm. Chem. Life Sci. 2009, 342, 291–298. [Google Scholar] [CrossRef] [PubMed]
- Aytaç, S.; Tozkoparan, B.; Kaynak, F.; Aktay, G.; Goktas, O.; Unuvar, S. Synthesis of 3,6-disubstituted 7H-1,2,4-triazolo[3,4-b]1,3,4-thiadiazines as novel analgesic/anti-inflammatory compounds. Eur. J. Med. Chem. 2009, 44, 4528–4538. [Google Scholar] [CrossRef]
- Aggarwal, R.; Hooda, M.; Kumar, P.; Sumran, G. Vision on Synthetic and Medicinal Facets of 1,2,4-Triazolo[3,4-b][1,3,4]thiadiazine Scaffold. Top. Curr. Chem. 2022, 380, 10. [Google Scholar] [CrossRef] [PubMed]
- Borik, R.M.; Mostafa, M.S.; Behalo, M.S.; Khidre, R.E. Recent Progress in the Synthetic Methods of Pyrazoloquinoline Derivatives. Curr. Org. Chem. 2024, 28, 117–133. [Google Scholar] [CrossRef]
- Elmansy, M.F.; Borik, R.M.; Khidre, R.E. Synthetic Approaches Towards Taxol; from Holton to Chida. Curr. Org. Chem. 2023, 27, 444–459. [Google Scholar] [CrossRef]
- Khidre, R.E.; Salem, M.A.; Ameen, T.A.; Abdelgawad, A.A.M. Triazoloquinolines II: Synthesis, Reactions, and Pharmacological Properties of [1,2,4]Triazoloquinoline and 1,2,4- Triazoloisoquinoline Derivatives. Polycycl. Aromat. Compd. 2023, 43, 13–53. [Google Scholar] [CrossRef]
- Khidre, R.E.; Mostafa, M.S.; Mukhrish, Y.E.; Salem, M.A.; Behalo, M.S. Synthetic Methods of 1H-Pyrazolo[1,2-b]Phthalazine Derivatives. Curr. Org. Chem. 2022, 26, 2055–2069. [Google Scholar] [CrossRef]
- Khidre, R.E.; Radini, I.; Ameen, T.A.; Abdelgawad, A.A.M. Triazoloquinolines I: Synthetic methods and pharmacological properties of [1,2,3] triazoloquinoline derivatives. Curr. Org. Chem. 2021, 25, 867–893. [Google Scholar] [CrossRef]
- Khidre, R.E.; Ameen, T.A.; Salem, M.A.I. Tetrazoloquinolines: Synthesis, reactions, and applications. Curr. Org. Chem. 2020, 24, 439–464. [Google Scholar] [CrossRef]
- Abdelrazek, F.M.; Gomha, S.M.; Shaaban, M.E.; Lotfi, A.I.; El-Shemy, H.N. A facile synthesis of some novel triazolo[3,4-b]thiadiazines and triazolo[4,3-b]tetrazines. Synth. Commun. 2017, 48, 32–37. [Google Scholar] [CrossRef]
- Puthiyapurayil, P.; Poojary, B.; Buridipad, S. Synthesis, Characterization and Biological Evaluation of a Novel Series of 1,2,4-Triazolo[3,4-b]1,3,4-thiadiazines Containing an Amide Linkage. J. Heterocycl. Chem. 2014, 51, 55–67. [Google Scholar] [CrossRef]
- Ma, W.; Chen, P.; Huo, X.; Ma, Y.; Li, Y.; Diao, P.; Yang, F.; Zheng, S.; Hu, M.; You, W.; et al. Development of triazolothiadiazine derivatives as highly potent tubulin polymerization inhibitors: Structure-activity relationship, in vitro and in vivo study. Eur. J. Med. Chem. 2020, 208, 11284. [Google Scholar] [CrossRef] [PubMed]
- Aouad, M.; Amr, M.; Al-Saedi, H.; Ali, A.; Rezki, N.; Messali, M. Preparation of Novel 3-Fluorophenyl Triazolothiadiazoles and of Triazolothiadiazines. Org. Prep. Proced. Int. 2016, 48, 355–370. [Google Scholar] [CrossRef]
- El-Sayed, H.; Assy, M.; Mohamed, A. An efficient synthesis and antimicrobial activity of N-bridged triazolo[3,4-b]thiadiazine and triazolo-[3,4-b]thiadiazole derivatives under microwave irradiation. Synth. Commun. 2020, 50, 997–1007. [Google Scholar] [CrossRef]
- Ibrahim, M.; Al-Harbi, S.; Allehyani, E.; Alqurashi, E.; Alshareef, F. First Synthesis of the Novel Triazolo[3,4-b][1,3,4]Thiadiazoles and Triazolo[3,4-b][1,3,4]Thiadiazines Linked Chromeno[2,3-b]Pyridine. Polycycl. Aromat. Compd. 2023, 44, 361–374. [Google Scholar] [CrossRef]
- Srivastava, V.; Singh, P.K.; Singh, P.P. Microwave mediated InCl3-catalyzed three component annulation of thiadiazine ring onto 4-amino-4H-[1,2,4]triazole-3-thiol. Chem. Heterocy. Comp. 2014, 50, 625–630. [Google Scholar] [CrossRef]
- Shah, T.A.; Ahmad, Z.; Mir, N.; Muneer, M.; Rath, N.; Ahmad, M. One step synthesis of highly functionalized thiazolo[3,2-b][1,2,4]triazole, triazolo[1,5-a]pyrimidine and triazolo[3,4-b][1,3,4]thiadiazine. RSC Adv. 2015, 130, 107931–107937. [Google Scholar] [CrossRef]
- Skryl’nikova, M.A.; Khramchikhin, A.V.; Krivchun, M.N. A new approach to the synthesis of 1,2,4-triazolo[3,4-b][1,3,4]thiadiazines. Russ. J. Gen. Chem. 2017, 87, 1321–1322. [Google Scholar] [CrossRef]
- Aggarwal, R.; Sharma, S.; Hooda, M.; Sanz, D.; Claramunt, R.; Twamley, B.; Rozas, I. Visible-light mediated regioselective approach towards synthesis of 7-aroyl-6-methyl-[1,2,4]triazolo[3,4-b][1,3,4]thiadiazines. Tetrahedron 2019, 75, 130728. [Google Scholar] [CrossRef]
- Mohammadlou, M.; Halimehjani, A.Z. Regio- and diastereoselective synthesis of substituted triazolo[3,4-b]thiadiazin-6-ols and triazolo[3,4-b]thiadiazines. Synthesis 2023, 55, 1–9. [Google Scholar] [CrossRef]
- Khan, I.; Bakht, S.; Ibrar, A.; Abbas, S.; Hameed, S.; White, J.; Rana, U.; Zaib, S.; Shahid, M.; Iqbal, J. Exploration of a library of triazolothiadiazole and triazolothiadiazine compounds as a highly potent and selective family of cholinesterase and monoamine oxidase inhibitors: Design, synthesis, X-ray diffraction analysis and molecular docking studies. RSC Adv. 2015, 5, 21249–21267. [Google Scholar] [CrossRef]
- Marathe, S.; Karnik, A. Synthesis of 3-arylamino-6-phenyl[1,2,4]triazolo[3,4-b][1,3,4]thiadiazine derivatives as potential bioactive molecules. Chem. Heterocycl. Compd. 2017, 53, 604–607. [Google Scholar] [CrossRef]
- Aytaça, P.; Durmazb, I.; Houston, D.; Cetin-Atalay, R.; Tozkoparan, B. Novel triazolothiadiazines act as potent anticancer agents in liver cancer cells through Akt and ASK-1 proteins. Bioorg. Med. Chem. 2016, 24, 858–872. [Google Scholar] [CrossRef]
- Khan, I.; Zaib, S.; Ibrar, A.; Rama, N.; Simpson, J.; Iqbal, J. Synthesis, crystal structure and biological evaluation of some novel 1,2,4-triazolo[3,4-b]1,3,4-thiadiazoles and 1,2,4-triazolo[3,4-b]1,3,4-thiadiazines. Eur. J. Med. Chem. 2014, 78, 167–177. [Google Scholar] [CrossRef]
- Khana, I.; Hameed, S.; Al-Masoudib, N.; Abdul-Reda, N.; Simpson, J. New triazolothiadiazole and triazolothiadiazine derivatives as kinesin Eg5 and HIV inhibitors: Synthesis, QSAR and modeling studies. Z. Naturforsch. 2015, 70, 47–58. [Google Scholar] [CrossRef]
- Ibrar, A.; Zaib, S.; Jabeen, F.; Iqbal, J.; Saeed, A. Unraveling the Alkaline Phosphatase Inhibition, Anticancer, and Antileishmanial Potential of Coumarin–Triazolothiadiazine Hybrids: Design, Synthesis, and Molecular Docking Analysis. Arch. Pharm. Chem. Life Sci. 2016, 349, 553–565. [Google Scholar] [CrossRef]
- Iqbal, J.; Ejaz, S.; Ibrar, A.; Umar, M.I.; Lecka, J.; Sevigny, J.; Saeed, A. Expanding the Alkaline Phosphatase Inhibition Cytotoxic and Proapoptotic Profile of Biscoumarin-Iminothiazole and Coumarin-Triazolothiadiazine Conjugates. ChemistrySelect 2018, 3, 13377–13386. [Google Scholar] [CrossRef]
- Reddy, S.; Rao, L.S.; Sunitha, B.; Nagaraj, A. Synthesis and antibacterial activity of N-substituted-[1,2,4]triazoles and 1,2,4-triazolo[3,4-b][1,3,4]thiadiazines. Ind. J. Chem. Sect. B 2015, 54B, 1283–1289. [Google Scholar] [CrossRef]
- Reddy, S.R.; Reddy, C.V.R.; Satyanarayana, B. Synthesis and Characterization of Novel Pyridine Associated 1,2,4-Triazolo-1,3,4-thiadiazines. Asian J. Chem. 2016, 28, 1708–1712. [Google Scholar] [CrossRef]
- Tang, Z.; Peng, Y.; Liu, F. Design and synthesis of novel quinoline derivatives bearing oxadiazole, isoxazoline, triazolothiadiazole, triazolothiadiazine, and piperazine moieties. J. Heterocycl. Chem. 2020, 57, 2330–2338. [Google Scholar] [CrossRef]
- Mohamed, H.A.; Khidre, R.E.; Kariuki, B.M.; El-Hiti, G.A. Synthesis of novel heterocycles using 1,2,3-triazole-4-carbohydrazides as precursors. J. Heterocycl. Chem. 2020, 57, 1055–1062. [Google Scholar] [CrossRef]
- Boraei, A.; Ghabbour, H.; Gomaa, M.; El Ashry, E.H.; Barakat, A. Synthesis and Anti-Proliferative Assessment of Triazolo-Thiadiazepine and Triazolo-Thiadiazine Scaffolds. Molecules 2019, 24, 4471. [Google Scholar] [CrossRef]
- Sever, B.; Altintop, M.D.; Kus, G.; Ozkurt, M.; Ozdemir, A.; Kaplancikli, Z.A. Indomethacin based new triazolothiadiazine derivatives: Synthesis, evaluation of their anticancer effects on T98 human glioma cell line related to COX-2 inhibition and docking studies. Eur. J. Med. Chem. 2016, 113, 179–186. [Google Scholar] [CrossRef]
- Omar, A.; AboulWafa, O.; Amr, M.; El-Shoukrofy, M. Antiproliferative activity, enzymatic inhibition and apoptosis-promoting effects of benzoxazole-based hybrids on human breast cancer cells. Biol. Chem. 2021, 109, 104752. [Google Scholar] [CrossRef] [PubMed]
- Kattimani, P.; Kamble, R.; Dorababu, A.; Hunnur, R.; Kamble, A.; Devarajegowda, H. C5-Alkyl-1,3,4-Oxadiazol-2-ones Undergo Dealkylation upon Nitrogen Insertion to Form 2H-1,2,4-Triazol-3-ones: Synthesis of 1,2,4-Triazol-3-one Hybrids with Triazolothiadiazoles and Triazolothiadiazines. J. Heterocycl. Chem. 2017, 54, 2258–2265. [Google Scholar] [CrossRef]
- Salman, G.; Zinad, D.; Mahal, A. Design, synthesis, and biological evaluation of new quinoline-based heterocyclic derivatives as novel antibacterial agents. Monatsh. Chem. 2020, 151, 1621–1628. [Google Scholar] [CrossRef]
- Ahmad, A.; Varshney, H.; Rauf, A.; Sherwani, A.; Owais, M. Synthesis and anticancer activity of long chain substituted 1,3,4-oxadiazol-2-thione, 1,2,4-triazol-3-thione and 1,2,4-triazolo[3,4-b]1,3,4-thiadiazine derivatives. Arab. J. Chem. 2014, 10 (Suppl. S2), S3347–S3357. [Google Scholar] [CrossRef]
- Kahraman, D.; Bilget, E.; Aytac, P.; Aykut, G.; Tozkoparan, B.; Cetin, R. A new triazolothiadiazine derivative inhibits stemness and induces cell death in HCC by oxidative stress dependent JNK pathway activation. Sci. Rep. 2022, 12, 15139. [Google Scholar] [CrossRef]
- Varun, A.; Rao, V. A facile one-pot expeditious synthesis of triazolothiadiazines and anticancer activity. Phosphorus Sulfur Silicon Relat. Elem. 2019, 194, 533–539. [Google Scholar] [CrossRef]
- Hozien, Z.; EL-Mahdy, A.; Ali, L.; Abo Markeb, A.; El-Sherief, H. One-Pot Synthesis of Some New s-Triazole Derivatives and Their Potential Application for Water Decontamination. ACS Omega 2021, 6, 25574–25584. [Google Scholar] [CrossRef]
- Ding, Q.-C.; Cai, Y.-M.; Wang, S.-L.; Yao, P.-P.; Yang, R.-Y. Exploration of a Library of Triazolothiadiazines as Potent Plant Growth Promoters: Design, Synthesis, X-ray Diffraction Analysis and Bioactivity Studies. Chin. J. Struct. Chem. 2021, 40, 10981106. [Google Scholar] [CrossRef]
- Roman, G. Schiff bases and triazolothiadiazines derived from a thiophene-substituted 4-amino-3-mercapto-1,2,4-triazole. Acta Chem. IASI 2019, 27, 137–154. [Google Scholar] [CrossRef]
- Aychiluhim, T.; Rao, V. Efficient, one–pot synthesis of triazolothiadiazinyl-pyrazone and pyrazolyl-triazolothiadiazine derivatives via multicomponent reaction. Synth. Commun. 2014, 44, 1422–1429. [Google Scholar] [CrossRef]
- Radwan, R.; Zaher, N.; El-Gazzar, M. Novel 1,2,4-triazole derivatives as antitumor agents against hepatocellular carcinoma. Chem. Biol. Interact. 2017, 274, 68–79. [Google Scholar] [CrossRef] [PubMed]
- Thirupaiah, B.; Vedula, R. Noval one-pot multicomponent synthesis of substituted 2,3-dihydro-2-(6-(4-hydroxy-6-methyl-2-oxo-2H-pyran-3-yl)-7H-[1,2,4]triazolo[3,4-b][1,3,4]thiadiazin-3-yl)phthalazine-1,4-diones and substituted 3-[3-(N’-benzylidene-hydrazino)-7H-[1,2,4]triazolo [3,4-b][1,3,4]thiadiazine-6-yl]-4-hydroxy-6-methyl-pyran-2-ones. Synth. Commun. 2014, 44, 513–519. [Google Scholar] [CrossRef]
- Thirupaiah, B.; Rao, V. Highly Regioselective Synthesis of 4-Hydroxy-6-methyl3-(3-R-sulfanyl-7H-[1,2,4]triazolo[3,4-b][1,3,4]thiadiazin-6-yl)- 2H-pyran-2-ones. Russ. J. Org. Chem. 2014, 50, 137–139. [Google Scholar] [CrossRef]
- Jilloju, S.; Jilloju, P.; Jatavath, M.; Rao, M. Characterization and molecular docking studies of substituted 3-(2-benzylidenehydrazinyl)-6-phenyl-7H-[1,2,4]triazolo[3,4-b][1,3,4]thiadiazines synthesized via a one-pot, three-component reaction. J. Mol. Struct. 2021, 1237, 130403. [Google Scholar] [CrossRef]
- Ismail, M.; Mohamady, S.; Samir, N.; Abouzid, K. Design, Synthesis, and Biological Evaluation of Novel 7H-[1,2,4]triazolo[3,4-b][1,3,4]thiadiazine Inhibitors as Antitumor Agents. ACS Omega 2020, 5, 20170–20186. [Google Scholar] [CrossRef] [PubMed]
- Sujatha, K.; Vedula, R. Multicomponent Efficient Synthesis of New [1,2,4]Triazolo[3,4]thiadiazines. J. Heterocycl. Chem. 2019, 56, 832–838. [Google Scholar] [CrossRef]
- Jilloju, P.; Persoons, L.; Kurapati, S.; Schols, D.; Jonghe, S.; Daelemans, D.; Vedula, R. Discovery of ( ±)-3-(1H-pyrazol-1-yl)-6,7-dihydro-5H-[1,2,4]triazolo[3,4-b][1,3,4]thiadiazine derivatives with promising in vitro anticoronavirus and antitumoral activity. Mole. Divers. 2022, 26, 1357–1371. [Google Scholar] [CrossRef] [PubMed]
- Vaarla, K.; Pavurala, S.; Arandkar, V.; Vedula, R.; Toopurani, M. Solvent-Free One-Pot Tandem Multicomponent Synthesis of Triazolothiadiazinyl Coumarins and Their Antimicrobial Properties. ChemistrySelect 2019, 4, 5828–5834. [Google Scholar] [CrossRef]
- Kulikov, A.; Epishina, M.; Fershtat, L.; Makhova, N. Effective synthesis of 7H-1,2,4-triazolo[3,4-b][1,3,4]thiadiazines. Chem. Heterocycl. Compd. 2018, 54, 669–672. [Google Scholar] [CrossRef]
- Ebrahimpour, Z.; Shiri, A.; Bakavoli, M.; Seyedi, S.; Asghari, T.; Mague, J. Synthesis of New Pyrimido[4,5-e][1,2,4]triazolo[3,4-b][1,3,4]thiadiazine Derivatives via S/N Smiles Rearrangement. J. Heterocycl. Chem. 2015, 54, 235–241. [Google Scholar] [CrossRef]
- Wang, Z.; Shi, H.; Shi, H. Novel synthesis of condensed heterocyclic systems containing 1,2,4-triazole ring. Synth. Commun. 2001, 31, 2841. [Google Scholar] [CrossRef]
- Shi, H.; Shi, H.; Wang, Z. Efficient One-Pot Synthesis of S-Triazolo[3,4-b][1,3,5]thiadiazines Containing a Chiral Side Chain by Double Mannich Type Reaction. J. Heterocycl. Chem. 2001, 38, 929. [Google Scholar] [CrossRef]
- Kalinina, T.; Bystrykh, O.; Glukhareva, T.; Morzherin, Y. Transformation of 1,2,3-Thiadiazolyl Hydrazones as Method for Preparation of 1,2,3-Triazolo[5,1-b][1,3,4]thiadiazines. J. Heterocycl. Chem. 2015, 54, 1137–1146. [Google Scholar] [CrossRef]
- Kalinina, T.A.; Bystrykh, O.A.; Pozdina, V.A.; Glukhareva, T.V.; Ulitko, M.V.; Morzherin, Y.Y. Synthesis of spiro derivatives of 1,2,3-triazolo[5,1-b][1,3,4]thiadiazines and biological activity thereof. Chem. Heterocycl. Comp. 2015, 51, 589–592. [Google Scholar] [CrossRef]
- Obydennov, K.L.; Kalinina, T.A.; Vysokova, O.A.; Slepukhin, P.A.; Pozdina, V.A.; Ulitko, M.V.; Glukhareva, T.V. The different modes of chiral [1,2,3]triazolo[5,1-b][1,3,4]thiadiazines: Crystal packing, conformation investigation and cellular activity. Acta Cryst. 2020, C76, 795–809. [Google Scholar] [CrossRef]
- Sert-Ozgur, S.; Tel, B.C.; Somuncuoglu, E.I.; Kazkayasi, I.; Ertan, M.; Tozkoparan, B. Design and Synthesis of 1,2,4-Triazolo[3,2-b]1,3,5-thiadiazine Derivatives as a Novel Template for Analgesic/Anti-Inflammatory Activity. Arch. Pharm. 2017, 350, e1700052. [Google Scholar] [CrossRef] [PubMed]
- Hajri, A.; Marzouki, L. Convenient Synthesis of [1,2,4]Triazolo[4,3-a][1,3,5]triazin-5-amines, [1,2,4]Triazolo[4,3-c][1,3,5]thiadiazine-5-thiones, and [1,2,4]Triazolo[4,3-c][1,3,5]thiadiazin-5-imines from N-(4H-1,2,4-Triazol-3-yl)carboximidates. Russ. J. Org. Chem. 2019, 55, 1580–1583. [Google Scholar] [CrossRef]
- Borthakur, S.K.; Boruahb, P.; Goswami, B.N. [4+2] Cycloaddition reaction: Synthesis and antifungal activities of 2-substituted 1,2,4-triazolo[3,2-c][l,3,5]thiadiazine-3,3-dioxides. J. Indian Chem. Soc. 2013, 90, 1005–1008. [Google Scholar] [CrossRef]
Disclaimer/Publisher’s Note: The statements, opinions and data contained in all publications are solely those of the individual author(s) and contributor(s) and not of MDPI and/or the editor(s). MDPI and/or the editor(s) disclaim responsibility for any injury to people or property resulting from any ideas, methods, instructions or products referred to in the content. |
© 2024 by the authors. Licensee MDPI, Basel, Switzerland. This article is an open access article distributed under the terms and conditions of the Creative Commons Attribution (CC BY) license (https://creativecommons.org/licenses/by/4.0/).
















































