Synthetic Methods and Pharmacological Potentials of Triazolothiadiazines: A Review
Abstract
1. Introduction
2. Synthesis of Triazolo[3,4-b]thiadiazines
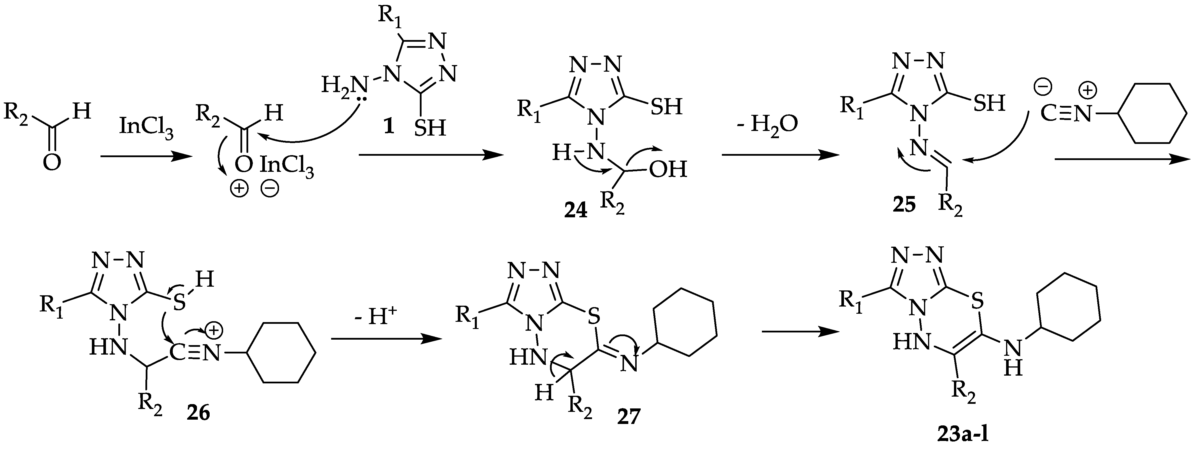
2.1. From 4-Amino-5-substituted-4H-1,2,4-triazole-3-thiols
2.2. From 4-Amino-5-hydrazinyl-4H-1,2,4-triazole-3-thiol (Purpald)
2.3. From Thiocarbohydrazide
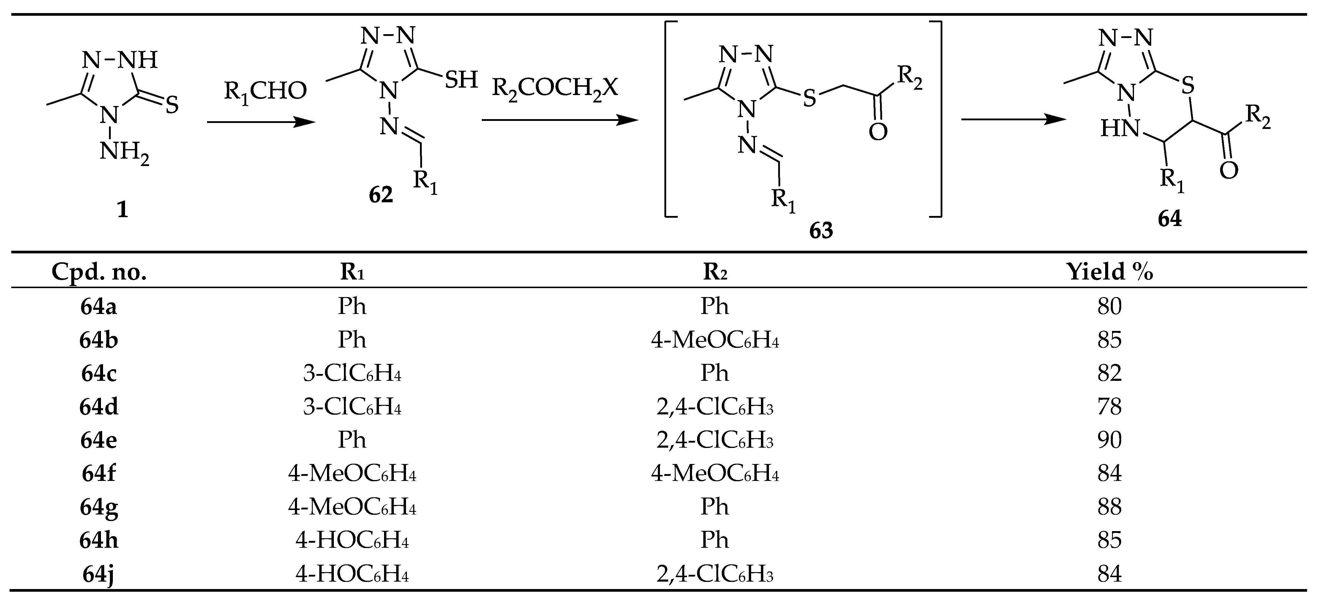
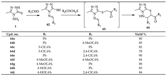
2.4. From 3-Methyl-5-(arylthio)-4H-1,2,4-triazol-4-amine
2.5. From 5-Substituted-1,2,4-triazole-3-thiol
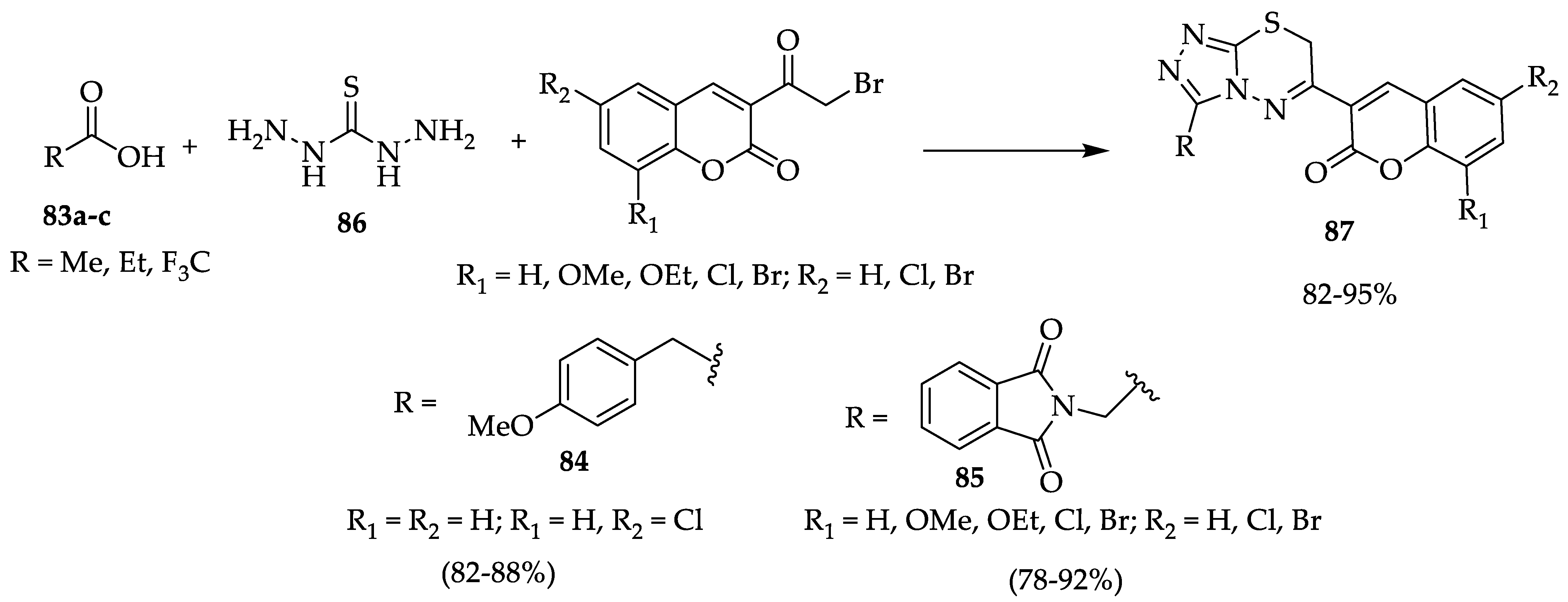
3. Synthesis of Triazolo[5,1-b]thiadiazines
4. Synthesis of Triazolo[4,3-c]thiadiazines
5. Synthesis of Triazolo[1,5-c]thiadiazines
6. Conclusions
Author Contributions
Funding
Conflicts of Interest
Abbreviations
| p-TSOH | p-toluene-sulfonic acid |
| A549 | Lung cancer cells |
| AcONa | Sodium acetate |
| DMF | Dimethyl formamide |
| DMSO | Dimethyl sulfoxide |
| EGFR | Estimated glomerular filtration rate |
| EtOH | Ethyl alcohol |
| G2/M phase | DNA damage checkpoint |
| HEK-293 | Cell line from kidney cells |
| HEPG-2 | Cell line from liver cancer |
| HIV-1 | Human immunodeficiency virus-1 |
| HIV-2 | Human immunodeficiency virus-2 |
| HPAI H5N1 | A bird-adapted strain of H5N1 highly pathogenic avian Influenza A virus subtype H5N1 |
| IC50 | Half-maximal inhibitory concentration |
| i-PrOH | Isopropanol |
| MCF-12A | Breast cancer cell: Michigan Cancer Foundation-12A |
| MCF-7 | Breast cancer cell line: Michigan Cancer Foundation-7 |
| mg/kg/po | Milligram/kilogram by mouth |
| MT-4 | Human T cell leukemia |
| MTT test | Dye of 2,5-diphenyl-2H-tetrazolium bromide assay to measure cell proliferation or cell cytotoxicity. |
| MWI | Microwave irradiation |
| DCM | dichloromethane |
| NBS | N-bromosuccinimide |
| PARP-1 | Poly(ADP-ribose) polymerase-1 |
| SNAr | Nucleophilic aromatic substitution reactions |
| T3P® | Propanephosphonic acid anhydride |
| TEA | Triethylamine |
| WST-1 test | Cell proliferation reagent |
References
- Bräse, S. Privileged Scaffolds in Medicinal Chemistry. Design, Synthesis, Evaluation; RSC: Cambridge, UK, 2016. [Google Scholar] [CrossRef]
- Sahu, J.; Kaushik, A.; Ganguly, S. Synthesis and antimicrobial activity of some novel fused heterocyclic 1,2,4-triazolo[3,4-b][1,3,4] thiadiazine derivatives. J. Adv. Pharm. Technol. Res. 2014, 5, 90. [Google Scholar] [CrossRef] [PubMed]
- Kaplancıklı, Z.; Turan-Zitouni, G.; Ozdemir, A.; Revial, G. New triazole and triazolothiadiazine derivatives as possible antimicrobial agents. Eur. J. Med. Chem. 2008, 43, 155–159. [Google Scholar] [CrossRef] [PubMed]
- Xu, Q.; Bao, K.; Sun, M.; Xu, J.; Wang, Y.; Tian, H.; Zuo, D.; Guan, Q.; Wu, Y.; Zhang, W. Design, synthesis and structure activity relationship of 3,6-diaryl-7H-[1,2,4]triazolo[3,4-b][1,3,4] thiadiazines as novel tubulin inhibitors. Sci. Rep. 2017, 7, 11997. [Google Scholar] [CrossRef] [PubMed]
- Tolan, H.; Fahim, A.; Ismael, E. Synthesis, biological activities, molecular docking, theoretical calculations of some 1,3,4-oxadiazoles, 1,2,4-triazoles, and 1,2,4-triazolo[3,4-b]-1,3,4-thiadiazines derivatives. J. Mole. Struct. 2023, 1283, 135238. [Google Scholar] [CrossRef]
- Farghaly, T.A.; Abdallah, M.A.; Mahmoud, H.K. Synthesis of novel 1,2,4-triazoles and triazolo-thiadiazines as anticancer agents. Turk. J. Chem. 2015, 39, 955–969. [Google Scholar] [CrossRef]
- Thabet, F.; Dawood, K.; Ragab, E.; Nafie, M.; Abbas, A. Design and synthesis of new bis(1,2,4-triazolo[3,4-b][1,3,4]thiadiazines) and bis((quinoxalin-2-yl) phenoxy)alkanes as anti-breast cancer agents through dual PARP-1 and EGFR targets inhibition. RSC Adv. 2022, 12, 23644. [Google Scholar] [CrossRef]
- Abou-Elmagd, W.; Hashem, A. Synthesis and Antitumor Activity Evaluation of Some Novel-Fused and Spiro Heterocycles Derived from a 2(3H)-Furanone Derivative. J. Heterocycl. Chem. 2016, 53, 202–208. [Google Scholar] [CrossRef]
- Bhat, M.A.; Khan, S.; Al-Dhfyan, A. Synthesis of new [1,2,4]triazolo[3,4-b][1,3,4]thiadiazines and study of their anti-candidal and cytotoxic activities. J. Chem. 2014, 2014, 897141. [Google Scholar] [CrossRef]
- Ramadan, S.; Abou-Elmagd, W. Synthesis and anti H5N1 activities of some novel fused heterocycles bearing pyrazolyl moiety. Synth. Commun. 2018, 48, 2409–2419. [Google Scholar] [CrossRef]
- Khramchikhin, A.V.; Skrylnikova, M.A.; Esaulkov, I.L.; Sinegubova, E.O.; Zarubaev, V.; Gureev, M.; Puzyk, A.; Ostrovskii, V. Novel [1,2,4]triazolo[3,4-b][1,3,4]thiadiazine and [1,2,4]triazolo[3,4-b][1,3,4]thiadiazepine Derivatives: Synthesis, Anti-Viral In Vitro Study and Target Validation Activity. Molecules 2022, 27, 7940. [Google Scholar] [CrossRef]
- Ansari, M.; Shokrzadeh, M.; Karima, S.; Rajaei, S.; Hashemi, S.M.; Mirzaei, H.; Fallah, M.; Emami, S. Design, synthesis and biological evaluation of flexible and rigid analogs of 4H-1,2,4-triazoles bearing 3,4,5-trimethoxyphenyl moiety as new antiproliferative agents. Bioorg. Chem. 2019, 93, 103300–103311. [Google Scholar] [CrossRef]
- Çevik, U.; Glu, B.; Saglık, B.; Osmaniye, D.; Levent, S.; Ilgın, S.; Özkay, Y.; Kaplancıklı, Z. Synthesis, Docking Studies and Biological Activity of New Benzimidazole- Triazolothiadiazine Derivatives as Aromatase Inhibitor. Molecules 2020, 25, 1642. [Google Scholar] [CrossRef] [PubMed]
- Tozkoparan, B.; Ayta, S.; Aktay, G. Novel 3,6-Disubstituted 7H-1,2,4-Triazolo[3,4-b][1,3,4]thiadiazines: Synthesis, Characterization, and Evaluation of Analgesic / Anti-inflammatory, Antioxidant Activities. Arch. Pharm. Chem. Life Sci. 2009, 342, 291–298. [Google Scholar] [CrossRef] [PubMed]
- Aytaç, S.; Tozkoparan, B.; Kaynak, F.; Aktay, G.; Goktas, O.; Unuvar, S. Synthesis of 3,6-disubstituted 7H-1,2,4-triazolo[3,4-b]1,3,4-thiadiazines as novel analgesic/anti-inflammatory compounds. Eur. J. Med. Chem. 2009, 44, 4528–4538. [Google Scholar] [CrossRef]
- Aggarwal, R.; Hooda, M.; Kumar, P.; Sumran, G. Vision on Synthetic and Medicinal Facets of 1,2,4-Triazolo[3,4-b][1,3,4]thiadiazine Scaffold. Top. Curr. Chem. 2022, 380, 10. [Google Scholar] [CrossRef] [PubMed]
- Borik, R.M.; Mostafa, M.S.; Behalo, M.S.; Khidre, R.E. Recent Progress in the Synthetic Methods of Pyrazoloquinoline Derivatives. Curr. Org. Chem. 2024, 28, 117–133. [Google Scholar] [CrossRef]
- Elmansy, M.F.; Borik, R.M.; Khidre, R.E. Synthetic Approaches Towards Taxol; from Holton to Chida. Curr. Org. Chem. 2023, 27, 444–459. [Google Scholar] [CrossRef]
- Khidre, R.E.; Salem, M.A.; Ameen, T.A.; Abdelgawad, A.A.M. Triazoloquinolines II: Synthesis, Reactions, and Pharmacological Properties of [1,2,4]Triazoloquinoline and 1,2,4- Triazoloisoquinoline Derivatives. Polycycl. Aromat. Compd. 2023, 43, 13–53. [Google Scholar] [CrossRef]
- Khidre, R.E.; Mostafa, M.S.; Mukhrish, Y.E.; Salem, M.A.; Behalo, M.S. Synthetic Methods of 1H-Pyrazolo[1,2-b]Phthalazine Derivatives. Curr. Org. Chem. 2022, 26, 2055–2069. [Google Scholar] [CrossRef]
- Khidre, R.E.; Radini, I.; Ameen, T.A.; Abdelgawad, A.A.M. Triazoloquinolines I: Synthetic methods and pharmacological properties of [1,2,3] triazoloquinoline derivatives. Curr. Org. Chem. 2021, 25, 867–893. [Google Scholar] [CrossRef]
- Khidre, R.E.; Ameen, T.A.; Salem, M.A.I. Tetrazoloquinolines: Synthesis, reactions, and applications. Curr. Org. Chem. 2020, 24, 439–464. [Google Scholar] [CrossRef]
- Abdelrazek, F.M.; Gomha, S.M.; Shaaban, M.E.; Lotfi, A.I.; El-Shemy, H.N. A facile synthesis of some novel triazolo[3,4-b]thiadiazines and triazolo[4,3-b]tetrazines. Synth. Commun. 2017, 48, 32–37. [Google Scholar] [CrossRef]
- Puthiyapurayil, P.; Poojary, B.; Buridipad, S. Synthesis, Characterization and Biological Evaluation of a Novel Series of 1,2,4-Triazolo[3,4-b]1,3,4-thiadiazines Containing an Amide Linkage. J. Heterocycl. Chem. 2014, 51, 55–67. [Google Scholar] [CrossRef]
- Ma, W.; Chen, P.; Huo, X.; Ma, Y.; Li, Y.; Diao, P.; Yang, F.; Zheng, S.; Hu, M.; You, W.; et al. Development of triazolothiadiazine derivatives as highly potent tubulin polymerization inhibitors: Structure-activity relationship, in vitro and in vivo study. Eur. J. Med. Chem. 2020, 208, 11284. [Google Scholar] [CrossRef] [PubMed]
- Aouad, M.; Amr, M.; Al-Saedi, H.; Ali, A.; Rezki, N.; Messali, M. Preparation of Novel 3-Fluorophenyl Triazolothiadiazoles and of Triazolothiadiazines. Org. Prep. Proced. Int. 2016, 48, 355–370. [Google Scholar] [CrossRef]
- El-Sayed, H.; Assy, M.; Mohamed, A. An efficient synthesis and antimicrobial activity of N-bridged triazolo[3,4-b]thiadiazine and triazolo-[3,4-b]thiadiazole derivatives under microwave irradiation. Synth. Commun. 2020, 50, 997–1007. [Google Scholar] [CrossRef]
- Ibrahim, M.; Al-Harbi, S.; Allehyani, E.; Alqurashi, E.; Alshareef, F. First Synthesis of the Novel Triazolo[3,4-b][1,3,4]Thiadiazoles and Triazolo[3,4-b][1,3,4]Thiadiazines Linked Chromeno[2,3-b]Pyridine. Polycycl. Aromat. Compd. 2023, 44, 361–374. [Google Scholar] [CrossRef]
- Srivastava, V.; Singh, P.K.; Singh, P.P. Microwave mediated InCl3-catalyzed three component annulation of thiadiazine ring onto 4-amino-4H-[1,2,4]triazole-3-thiol. Chem. Heterocy. Comp. 2014, 50, 625–630. [Google Scholar] [CrossRef]
- Shah, T.A.; Ahmad, Z.; Mir, N.; Muneer, M.; Rath, N.; Ahmad, M. One step synthesis of highly functionalized thiazolo[3,2-b][1,2,4]triazole, triazolo[1,5-a]pyrimidine and triazolo[3,4-b][1,3,4]thiadiazine. RSC Adv. 2015, 130, 107931–107937. [Google Scholar] [CrossRef]
- Skryl’nikova, M.A.; Khramchikhin, A.V.; Krivchun, M.N. A new approach to the synthesis of 1,2,4-triazolo[3,4-b][1,3,4]thiadiazines. Russ. J. Gen. Chem. 2017, 87, 1321–1322. [Google Scholar] [CrossRef]
- Aggarwal, R.; Sharma, S.; Hooda, M.; Sanz, D.; Claramunt, R.; Twamley, B.; Rozas, I. Visible-light mediated regioselective approach towards synthesis of 7-aroyl-6-methyl-[1,2,4]triazolo[3,4-b][1,3,4]thiadiazines. Tetrahedron 2019, 75, 130728. [Google Scholar] [CrossRef]
- Mohammadlou, M.; Halimehjani, A.Z. Regio- and diastereoselective synthesis of substituted triazolo[3,4-b]thiadiazin-6-ols and triazolo[3,4-b]thiadiazines. Synthesis 2023, 55, 1–9. [Google Scholar] [CrossRef]
- Khan, I.; Bakht, S.; Ibrar, A.; Abbas, S.; Hameed, S.; White, J.; Rana, U.; Zaib, S.; Shahid, M.; Iqbal, J. Exploration of a library of triazolothiadiazole and triazolothiadiazine compounds as a highly potent and selective family of cholinesterase and monoamine oxidase inhibitors: Design, synthesis, X-ray diffraction analysis and molecular docking studies. RSC Adv. 2015, 5, 21249–21267. [Google Scholar] [CrossRef]
- Marathe, S.; Karnik, A. Synthesis of 3-arylamino-6-phenyl[1,2,4]triazolo[3,4-b][1,3,4]thiadiazine derivatives as potential bioactive molecules. Chem. Heterocycl. Compd. 2017, 53, 604–607. [Google Scholar] [CrossRef]
- Aytaça, P.; Durmazb, I.; Houston, D.; Cetin-Atalay, R.; Tozkoparan, B. Novel triazolothiadiazines act as potent anticancer agents in liver cancer cells through Akt and ASK-1 proteins. Bioorg. Med. Chem. 2016, 24, 858–872. [Google Scholar] [CrossRef]
- Khan, I.; Zaib, S.; Ibrar, A.; Rama, N.; Simpson, J.; Iqbal, J. Synthesis, crystal structure and biological evaluation of some novel 1,2,4-triazolo[3,4-b]1,3,4-thiadiazoles and 1,2,4-triazolo[3,4-b]1,3,4-thiadiazines. Eur. J. Med. Chem. 2014, 78, 167–177. [Google Scholar] [CrossRef]
- Khana, I.; Hameed, S.; Al-Masoudib, N.; Abdul-Reda, N.; Simpson, J. New triazolothiadiazole and triazolothiadiazine derivatives as kinesin Eg5 and HIV inhibitors: Synthesis, QSAR and modeling studies. Z. Naturforsch. 2015, 70, 47–58. [Google Scholar] [CrossRef]
- Ibrar, A.; Zaib, S.; Jabeen, F.; Iqbal, J.; Saeed, A. Unraveling the Alkaline Phosphatase Inhibition, Anticancer, and Antileishmanial Potential of Coumarin–Triazolothiadiazine Hybrids: Design, Synthesis, and Molecular Docking Analysis. Arch. Pharm. Chem. Life Sci. 2016, 349, 553–565. [Google Scholar] [CrossRef]
- Iqbal, J.; Ejaz, S.; Ibrar, A.; Umar, M.I.; Lecka, J.; Sevigny, J.; Saeed, A. Expanding the Alkaline Phosphatase Inhibition Cytotoxic and Proapoptotic Profile of Biscoumarin-Iminothiazole and Coumarin-Triazolothiadiazine Conjugates. ChemistrySelect 2018, 3, 13377–13386. [Google Scholar] [CrossRef]
- Reddy, S.; Rao, L.S.; Sunitha, B.; Nagaraj, A. Synthesis and antibacterial activity of N-substituted-[1,2,4]triazoles and 1,2,4-triazolo[3,4-b][1,3,4]thiadiazines. Ind. J. Chem. Sect. B 2015, 54B, 1283–1289. [Google Scholar] [CrossRef]
- Reddy, S.R.; Reddy, C.V.R.; Satyanarayana, B. Synthesis and Characterization of Novel Pyridine Associated 1,2,4-Triazolo-1,3,4-thiadiazines. Asian J. Chem. 2016, 28, 1708–1712. [Google Scholar] [CrossRef]
- Tang, Z.; Peng, Y.; Liu, F. Design and synthesis of novel quinoline derivatives bearing oxadiazole, isoxazoline, triazolothiadiazole, triazolothiadiazine, and piperazine moieties. J. Heterocycl. Chem. 2020, 57, 2330–2338. [Google Scholar] [CrossRef]
- Mohamed, H.A.; Khidre, R.E.; Kariuki, B.M.; El-Hiti, G.A. Synthesis of novel heterocycles using 1,2,3-triazole-4-carbohydrazides as precursors. J. Heterocycl. Chem. 2020, 57, 1055–1062. [Google Scholar] [CrossRef]
- Boraei, A.; Ghabbour, H.; Gomaa, M.; El Ashry, E.H.; Barakat, A. Synthesis and Anti-Proliferative Assessment of Triazolo-Thiadiazepine and Triazolo-Thiadiazine Scaffolds. Molecules 2019, 24, 4471. [Google Scholar] [CrossRef]
- Sever, B.; Altintop, M.D.; Kus, G.; Ozkurt, M.; Ozdemir, A.; Kaplancikli, Z.A. Indomethacin based new triazolothiadiazine derivatives: Synthesis, evaluation of their anticancer effects on T98 human glioma cell line related to COX-2 inhibition and docking studies. Eur. J. Med. Chem. 2016, 113, 179–186. [Google Scholar] [CrossRef]
- Omar, A.; AboulWafa, O.; Amr, M.; El-Shoukrofy, M. Antiproliferative activity, enzymatic inhibition and apoptosis-promoting effects of benzoxazole-based hybrids on human breast cancer cells. Biol. Chem. 2021, 109, 104752. [Google Scholar] [CrossRef] [PubMed]
- Kattimani, P.; Kamble, R.; Dorababu, A.; Hunnur, R.; Kamble, A.; Devarajegowda, H. C5-Alkyl-1,3,4-Oxadiazol-2-ones Undergo Dealkylation upon Nitrogen Insertion to Form 2H-1,2,4-Triazol-3-ones: Synthesis of 1,2,4-Triazol-3-one Hybrids with Triazolothiadiazoles and Triazolothiadiazines. J. Heterocycl. Chem. 2017, 54, 2258–2265. [Google Scholar] [CrossRef]
- Salman, G.; Zinad, D.; Mahal, A. Design, synthesis, and biological evaluation of new quinoline-based heterocyclic derivatives as novel antibacterial agents. Monatsh. Chem. 2020, 151, 1621–1628. [Google Scholar] [CrossRef]
- Ahmad, A.; Varshney, H.; Rauf, A.; Sherwani, A.; Owais, M. Synthesis and anticancer activity of long chain substituted 1,3,4-oxadiazol-2-thione, 1,2,4-triazol-3-thione and 1,2,4-triazolo[3,4-b]1,3,4-thiadiazine derivatives. Arab. J. Chem. 2014, 10 (Suppl. S2), S3347–S3357. [Google Scholar] [CrossRef]
- Kahraman, D.; Bilget, E.; Aytac, P.; Aykut, G.; Tozkoparan, B.; Cetin, R. A new triazolothiadiazine derivative inhibits stemness and induces cell death in HCC by oxidative stress dependent JNK pathway activation. Sci. Rep. 2022, 12, 15139. [Google Scholar] [CrossRef]
- Varun, A.; Rao, V. A facile one-pot expeditious synthesis of triazolothiadiazines and anticancer activity. Phosphorus Sulfur Silicon Relat. Elem. 2019, 194, 533–539. [Google Scholar] [CrossRef]
- Hozien, Z.; EL-Mahdy, A.; Ali, L.; Abo Markeb, A.; El-Sherief, H. One-Pot Synthesis of Some New s-Triazole Derivatives and Their Potential Application for Water Decontamination. ACS Omega 2021, 6, 25574–25584. [Google Scholar] [CrossRef]
- Ding, Q.-C.; Cai, Y.-M.; Wang, S.-L.; Yao, P.-P.; Yang, R.-Y. Exploration of a Library of Triazolothiadiazines as Potent Plant Growth Promoters: Design, Synthesis, X-ray Diffraction Analysis and Bioactivity Studies. Chin. J. Struct. Chem. 2021, 40, 10981106. [Google Scholar] [CrossRef]
- Roman, G. Schiff bases and triazolothiadiazines derived from a thiophene-substituted 4-amino-3-mercapto-1,2,4-triazole. Acta Chem. IASI 2019, 27, 137–154. [Google Scholar] [CrossRef]
- Aychiluhim, T.; Rao, V. Efficient, one–pot synthesis of triazolothiadiazinyl-pyrazone and pyrazolyl-triazolothiadiazine derivatives via multicomponent reaction. Synth. Commun. 2014, 44, 1422–1429. [Google Scholar] [CrossRef]
- Radwan, R.; Zaher, N.; El-Gazzar, M. Novel 1,2,4-triazole derivatives as antitumor agents against hepatocellular carcinoma. Chem. Biol. Interact. 2017, 274, 68–79. [Google Scholar] [CrossRef] [PubMed]
- Thirupaiah, B.; Vedula, R. Noval one-pot multicomponent synthesis of substituted 2,3-dihydro-2-(6-(4-hydroxy-6-methyl-2-oxo-2H-pyran-3-yl)-7H-[1,2,4]triazolo[3,4-b][1,3,4]thiadiazin-3-yl)phthalazine-1,4-diones and substituted 3-[3-(N’-benzylidene-hydrazino)-7H-[1,2,4]triazolo [3,4-b][1,3,4]thiadiazine-6-yl]-4-hydroxy-6-methyl-pyran-2-ones. Synth. Commun. 2014, 44, 513–519. [Google Scholar] [CrossRef]
- Thirupaiah, B.; Rao, V. Highly Regioselective Synthesis of 4-Hydroxy-6-methyl3-(3-R-sulfanyl-7H-[1,2,4]triazolo[3,4-b][1,3,4]thiadiazin-6-yl)- 2H-pyran-2-ones. Russ. J. Org. Chem. 2014, 50, 137–139. [Google Scholar] [CrossRef]
- Jilloju, S.; Jilloju, P.; Jatavath, M.; Rao, M. Characterization and molecular docking studies of substituted 3-(2-benzylidenehydrazinyl)-6-phenyl-7H-[1,2,4]triazolo[3,4-b][1,3,4]thiadiazines synthesized via a one-pot, three-component reaction. J. Mol. Struct. 2021, 1237, 130403. [Google Scholar] [CrossRef]
- Ismail, M.; Mohamady, S.; Samir, N.; Abouzid, K. Design, Synthesis, and Biological Evaluation of Novel 7H-[1,2,4]triazolo[3,4-b][1,3,4]thiadiazine Inhibitors as Antitumor Agents. ACS Omega 2020, 5, 20170–20186. [Google Scholar] [CrossRef] [PubMed]
- Sujatha, K.; Vedula, R. Multicomponent Efficient Synthesis of New [1,2,4]Triazolo[3,4]thiadiazines. J. Heterocycl. Chem. 2019, 56, 832–838. [Google Scholar] [CrossRef]
- Jilloju, P.; Persoons, L.; Kurapati, S.; Schols, D.; Jonghe, S.; Daelemans, D.; Vedula, R. Discovery of ( ±)-3-(1H-pyrazol-1-yl)-6,7-dihydro-5H-[1,2,4]triazolo[3,4-b][1,3,4]thiadiazine derivatives with promising in vitro anticoronavirus and antitumoral activity. Mole. Divers. 2022, 26, 1357–1371. [Google Scholar] [CrossRef] [PubMed]
- Vaarla, K.; Pavurala, S.; Arandkar, V.; Vedula, R.; Toopurani, M. Solvent-Free One-Pot Tandem Multicomponent Synthesis of Triazolothiadiazinyl Coumarins and Their Antimicrobial Properties. ChemistrySelect 2019, 4, 5828–5834. [Google Scholar] [CrossRef]
- Kulikov, A.; Epishina, M.; Fershtat, L.; Makhova, N. Effective synthesis of 7H-1,2,4-triazolo[3,4-b][1,3,4]thiadiazines. Chem. Heterocycl. Compd. 2018, 54, 669–672. [Google Scholar] [CrossRef]
- Ebrahimpour, Z.; Shiri, A.; Bakavoli, M.; Seyedi, S.; Asghari, T.; Mague, J. Synthesis of New Pyrimido[4,5-e][1,2,4]triazolo[3,4-b][1,3,4]thiadiazine Derivatives via S/N Smiles Rearrangement. J. Heterocycl. Chem. 2015, 54, 235–241. [Google Scholar] [CrossRef]
- Wang, Z.; Shi, H.; Shi, H. Novel synthesis of condensed heterocyclic systems containing 1,2,4-triazole ring. Synth. Commun. 2001, 31, 2841. [Google Scholar] [CrossRef]
- Shi, H.; Shi, H.; Wang, Z. Efficient One-Pot Synthesis of S-Triazolo[3,4-b][1,3,5]thiadiazines Containing a Chiral Side Chain by Double Mannich Type Reaction. J. Heterocycl. Chem. 2001, 38, 929. [Google Scholar] [CrossRef]
- Kalinina, T.; Bystrykh, O.; Glukhareva, T.; Morzherin, Y. Transformation of 1,2,3-Thiadiazolyl Hydrazones as Method for Preparation of 1,2,3-Triazolo[5,1-b][1,3,4]thiadiazines. J. Heterocycl. Chem. 2015, 54, 1137–1146. [Google Scholar] [CrossRef]
- Kalinina, T.A.; Bystrykh, O.A.; Pozdina, V.A.; Glukhareva, T.V.; Ulitko, M.V.; Morzherin, Y.Y. Synthesis of spiro derivatives of 1,2,3-triazolo[5,1-b][1,3,4]thiadiazines and biological activity thereof. Chem. Heterocycl. Comp. 2015, 51, 589–592. [Google Scholar] [CrossRef]
- Obydennov, K.L.; Kalinina, T.A.; Vysokova, O.A.; Slepukhin, P.A.; Pozdina, V.A.; Ulitko, M.V.; Glukhareva, T.V. The different modes of chiral [1,2,3]triazolo[5,1-b][1,3,4]thiadiazines: Crystal packing, conformation investigation and cellular activity. Acta Cryst. 2020, C76, 795–809. [Google Scholar] [CrossRef]
- Sert-Ozgur, S.; Tel, B.C.; Somuncuoglu, E.I.; Kazkayasi, I.; Ertan, M.; Tozkoparan, B. Design and Synthesis of 1,2,4-Triazolo[3,2-b]1,3,5-thiadiazine Derivatives as a Novel Template for Analgesic/Anti-Inflammatory Activity. Arch. Pharm. 2017, 350, e1700052. [Google Scholar] [CrossRef] [PubMed]
- Hajri, A.; Marzouki, L. Convenient Synthesis of [1,2,4]Triazolo[4,3-a][1,3,5]triazin-5-amines, [1,2,4]Triazolo[4,3-c][1,3,5]thiadiazine-5-thiones, and [1,2,4]Triazolo[4,3-c][1,3,5]thiadiazin-5-imines from N-(4H-1,2,4-Triazol-3-yl)carboximidates. Russ. J. Org. Chem. 2019, 55, 1580–1583. [Google Scholar] [CrossRef]
- Borthakur, S.K.; Boruahb, P.; Goswami, B.N. [4+2] Cycloaddition reaction: Synthesis and antifungal activities of 2-substituted 1,2,4-triazolo[3,2-c][l,3,5]thiadiazine-3,3-dioxides. J. Indian Chem. Soc. 2013, 90, 1005–1008. [Google Scholar] [CrossRef]
















































Disclaimer/Publisher’s Note: The statements, opinions and data contained in all publications are solely those of the individual author(s) and contributor(s) and not of MDPI and/or the editor(s). MDPI and/or the editor(s) disclaim responsibility for any injury to people or property resulting from any ideas, methods, instructions or products referred to in the content. |
© 2024 by the authors. Licensee MDPI, Basel, Switzerland. This article is an open access article distributed under the terms and conditions of the Creative Commons Attribution (CC BY) license (https://creativecommons.org/licenses/by/4.0/).
Share and Cite
Mostafa, M.S.; Radini, I.A.M.; El-Rahman, N.M.A.; Khidre, R.E. Synthetic Methods and Pharmacological Potentials of Triazolothiadiazines: A Review. Molecules 2024, 29, 1326. https://doi.org/10.3390/molecules29061326
Mostafa MS, Radini IAM, El-Rahman NMA, Khidre RE. Synthetic Methods and Pharmacological Potentials of Triazolothiadiazines: A Review. Molecules. 2024; 29(6):1326. https://doi.org/10.3390/molecules29061326
Chicago/Turabian StyleMostafa, Mohamed S., Ibrahim Ali M. Radini, Naglaa M. Abd El-Rahman, and Rizk E. Khidre. 2024. "Synthetic Methods and Pharmacological Potentials of Triazolothiadiazines: A Review" Molecules 29, no. 6: 1326. https://doi.org/10.3390/molecules29061326
APA StyleMostafa, M. S., Radini, I. A. M., El-Rahman, N. M. A., & Khidre, R. E. (2024). Synthetic Methods and Pharmacological Potentials of Triazolothiadiazines: A Review. Molecules, 29(6), 1326. https://doi.org/10.3390/molecules29061326

