The Role of Daily Activity in Risk and Survival Outcomes for Chronic Lymphocytic Leukemia Patients: Baseline Insights from the ADRENALINE Pilot Study
Abstract
1. Introduction
2. Materials and Methods
2.1. Study Design
2.2. Participants
2.3. Primary and Secondary Outcomes
2.4. Evaluation Exercise Testing
2.5. Clinical, Immunologic, and Inflammatory Testing
2.6. Quality of Life
2.7. BIAS
2.8. Statistical Methods
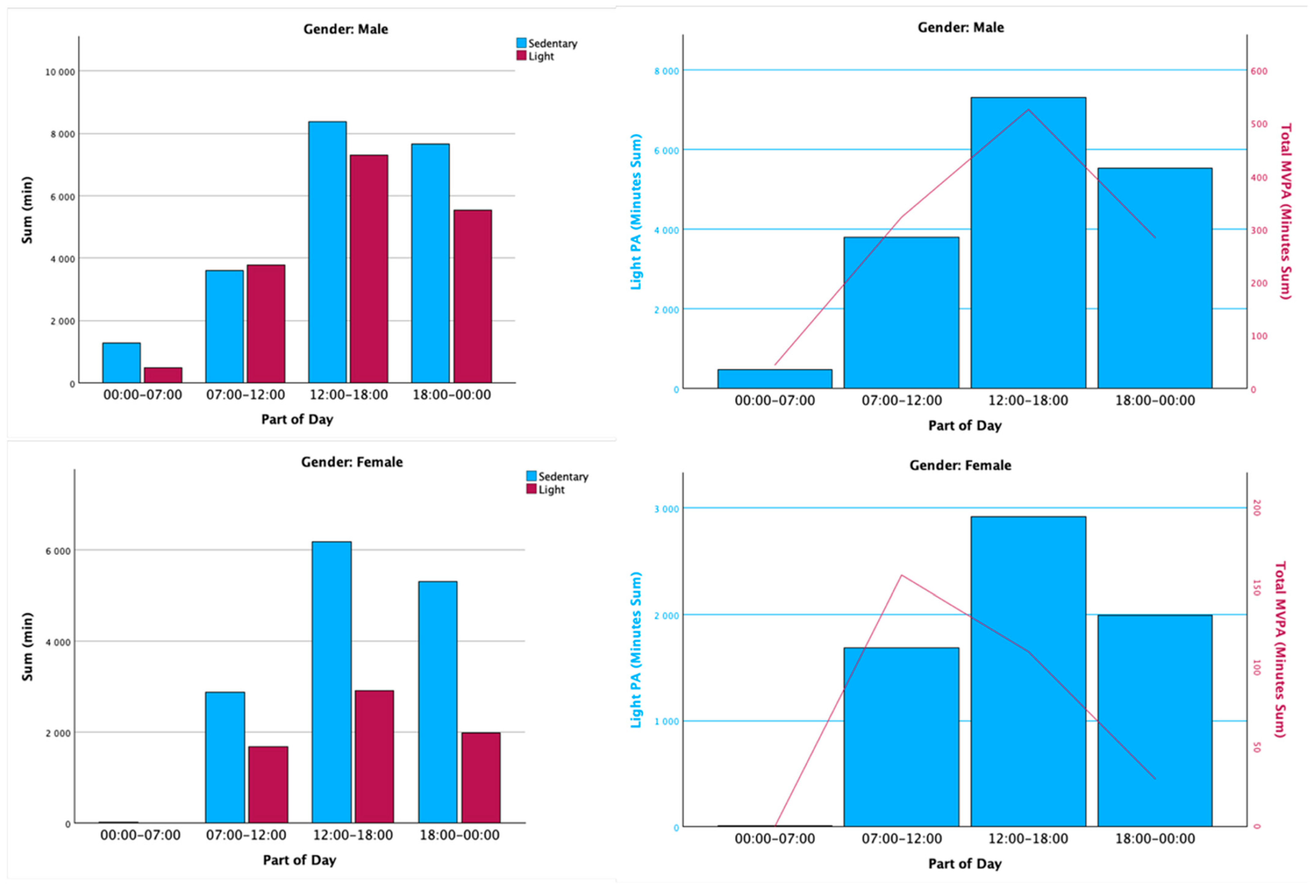
3. Results
4. Discussion
4.1. Limitations
4.2. Practical Implications
4.3. Future Research
5. Conclusions
Author Contributions
Funding
Institutional Review Board Statement
Informed Consent Statement
Data Availability Statement
Conflicts of Interest
Abbreviations
| CLL | Chronic Lymphocytic Leukemia |
| PA | Physical Activity |
| BMI | Body Mass Index |
References
- Ou, Y.; Long, Y.; Ji, L.; Zhan, Y.; Qiao, T.; Wang, X.; Chen, H.; Cheng, Y. Trends in Disease Burden of Chronic Lymphocytic Leukemia at the Global, Regional, and National Levels from 1990 to 2019, and Projections Until 2030: A Population-Based Epidemiologic Study. Front. Oncol. 2022, 12, 840616. [Google Scholar] [CrossRef]
- Yao, Y.; Lin, X.; Li, F.; Jin, J.; Wang, H. The global burden and attributable risk factors of chronic lymphocytic leukemia in 204 countries and territories from 1990 to 2019: Analysis based on the global burden of disease study 2019. Biomed. Eng. Online 2022, 21, 4. [Google Scholar] [CrossRef]
- Artese, A.L.; Sitlinger, A.; MacDonald, G.; Deal, M.A.; Hanson, E.D.; Pieper, C.F.; Weinberg, J.B.; Brander, D.M.; Bartlett, D.B. Quality of Life Changes Following High-intensity Interval Training in Older Adults with Chronic Lymphocytic Leukemia. Med. Sci. Sports Exerc. 2022, 54, 157–158. [Google Scholar] [CrossRef]
- Neil, S.E.; Gotay, C.C.; Campbell, K.L. Physical activity levels of cancer survivors in Canada: Findings from the Canadian Community Health Survey. J. Cancer Surviv. 2014, 8, 143–149. [Google Scholar] [CrossRef]
- Veliz, M.; Pinilla-Ibarz, J. Treatment of relapsed or refractory chronic lymphocytic leukemia. Cancer Control 2012, 19, 37–53. [Google Scholar] [CrossRef] [PubMed]
- Shanafelt, T.D.; Bowen, D.; Venkat, C.; Slager, S.L.; Zent, C.S.; Kay, N.E.; Reinalda, M.; Sloan, J.A.; Call, T.G. Quality of life in chronic lymphocytic leukemia: An international survey of 1482 patients. Br. J. Haematol. 2007, 139, 255–264. [Google Scholar] [CrossRef]
- Cunha, P.M.P.; Ribeiro, R.J.; Pizarro, A.; Mota, J.; Ribeiro, J.C.D. High-intensity interval training and strength conditioning in patients with chronic lymphocytic leukemia: A systematic review. Syst. Rev. 2025, 14, 116. [Google Scholar] [CrossRef]
- Sitlinger, A.; Thompson, D.P.; Deal, M.A.; Garcia, E.; Stewart, T.; Guadalupe, E.; Weinberg, J.B.; Bartlett, D.A.; Brander, D.M. Exercise and Chronic Lymphocytic Leukemia (CLL)–Relationships Among Physical Activity, Fitness, & Inflammation, and Their Impacts on CLL Patients. Blood 2018, 132, 3. [Google Scholar] [CrossRef]
- Chastin, S.F.M.; Abaraogu, U.; Bourgois, J.G.; Dall, P.M.; Darnborough, J.; Duncan, E.; Dumortier, J.; Pavón, D.J.; McParland, J.; Roberts, N.J.; et al. Effects of Regular Physical Activity on the Immune System, Vaccination and Risk of Community-Acquired Infectious Disease in the General Population: Systematic Review and Meta-Analysis. Sports Med. 2021, 51, 1673–1686. [Google Scholar] [CrossRef] [PubMed]
- Krüger, K.; Mooren, F.C.; Pilat, C. The Immunomodulatory Effects of Physical Activity. Curr. Pharm. Des. 2016, 22, 3730–3748. [Google Scholar] [CrossRef] [PubMed]
- Hallek, M.; Cheson, B.D.; Catovsky, D.; Caligaris-Cappio, F.; Dighiero, G.; Dohner, H.; Hillmen, P.; Keating, M.; Montserrat, E.; Chiorazzi, N.; et al. iwCLL guidelines for diagnosis, indications for treatment, response assessment, and supportive management of CLL. Blood 2018, 131, 2745–2760. [Google Scholar] [CrossRef]
- De Backer, I.C.; Vreugdenhil, G.; Nijziel, M.R.; Kester, A.D.; van Breda, E.; Schep, G. Long-term follow-up after cancer rehabilitation using high-intensity resistance training: Persistent improvement of physical performance and quality of life. Br. J. Cancer 2008, 99, 30–36. [Google Scholar] [CrossRef]
- Chen, L.J.; Peng, P.C.; Xu, Z.M.; Ding, X.F. The effects of exercise on the quality of life of patients with breast cancer: A systematic review and meta-analysis based on the QLQ-C30 quality of life scale. Gland Surg. 2023, 12, 633–650. [Google Scholar] [CrossRef]
- Campbell, K.L.; Winters-Stone, K.M.; Wiskemann, J.; May, A.M.; Schwartz, A.L.; Courneya, K.S.; Zucker, D.S.; Matthews, C.E.; Ligibel, J.A.; Gerber, L.H.; et al. Exercise Guidelines for Cancer Survivors: Consensus Statement from International Multidisciplinary Roundtable. Med. Sci. Sports Exerc. 2019, 51, 2375–2390. [Google Scholar] [CrossRef] [PubMed]
- Pedersen, B.K.; Saltin, B. Exercise as medicine—Evidence for prescribing exercise as therapy in 26 different chronic diseases. Scand. J. Med. Sci. Sport. 2015, 25, 1–72. [Google Scholar] [CrossRef] [PubMed]
- Luan, X.; Tian, X.Y.; Zhang, H.X.; Huang, R.; Li, N.; Chen, P.J.; Wang, R. Exercise as a prescription for patients with various diseases. J. Sport Health Sci. 2019, 8, 422–441. [Google Scholar] [CrossRef] [PubMed]
- Courneya, K.S.; Sellar, C.M.; Stevinson, C.; McNeely, M.L.; Peddle, C.J.; Friedenreich, C.M.; Tankel, K.; Basi, S.; Chua, N.; Mazurek, A.; et al. Randomized Controlled Trial of the Effects of Aerobic Exercise on Physical Functioning and Quality of Life in Lymphoma Patients. J. Clin. Oncol. 2009, 27, 4605–4612. [Google Scholar] [CrossRef]
- Furzer, B.J.; Ackland, T.R.; Wallman, K.E.; Petterson, A.S.; Gordon, S.M.; Wright, K.E.; Joske, D.J.L. A randomised controlled trial comparing the effects of a 12-week supervised exercise versus usual care on outcomes in haematological cancer patients. Support. Care Cancer 2016, 24, 1697–1707. [Google Scholar] [CrossRef]
- Nadler, M.B.; Desnoyers, A.; Langelier, D.M.; Amir, E. The Effect of Exercise on Quality of Life, Fatigue, Physical Function, and Safety in Advanced Solid Tumor Cancers: A Meta-analysis of Randomized Control Trials. J. Pain Symptom Manag. 2019, 58, 899. [Google Scholar] [CrossRef]
- MacDonald, G.; Sitlinger, A.; Deal, M.A.; Hanson, E.D.; Ferraro, S.; Pieper, C.F.; Weinberg, J.B.; Brander, D.M.; Bartlett, D.B. A pilot study of high-intensity interval training in older adults with treatment naive chronic lymphocytic leukemia. Sci. Rep. 2021, 11, 23137. [Google Scholar] [CrossRef]
- Crane, J.C.; Gordon, M.J.; Basen-Engquist, K.; Ferrajoli, A.; Markofski, M.M.; Lee, C.Y.; Fares, S.; Simpson, R.J.; LaVoy, E.C. Relationships between T-lymphocytes and physical function in adults with chronic lymphocytic leukemia: Results from the HEALTH4CLL pilot study. Eur. J. Haematol. 2023, 110, 732–742. [Google Scholar] [CrossRef]
- Sitlinger, A.; Brander, D.M.; Bartlett, D.B. Impact of exercise on the immune system and outcomes in hematologic malignancies. Blood Adv. 2020, 4, 1801–1811. [Google Scholar] [CrossRef]
- Vallerand, J.R.; Rhodes, R.E.; Walker, G.J.; Courneya, K.S. Correlates of meeting the combined and independent aerobic and strength exercise guidelines in hematologic cancer survivors. Int. J. Behav. Nutr. Phys. Act. 2017, 14, 44. [Google Scholar] [CrossRef]
- Troiano, R.P.; Berrigan, D.; Dodd, K.W.; Masse, L.C.; Tilert, T.; Mcdowell, M. Physical activity in the United States measured by accelerometer. Med. Sci. Sports Exerc. 2008, 40, 181–188. [Google Scholar] [CrossRef] [PubMed]
- Tudor-Locke, C.; Brashear, M.M.; Johnson, W.D.; Katzmarzyk, P.T. Accelerometer profiles of physical activity and inactivity in normal weight, overweight, and obese US men and women. Int. J. Behav. Nutr. Phys. Act. 2010, 7, 60. [Google Scholar] [CrossRef] [PubMed]
- Stevens, W.R.; Anderson, A.M.; Tulchin-Francis, K. Validation of Accelerometry Data to Identify Movement Patterns During Agility Testing. Front. Sports Act. Living 2020, 2, 563809. [Google Scholar] [CrossRef]
- Khakurel, J.; Porras, J.; Melkas, H.; Fu, B. A Comprehensive Framework of Usability Issues Related to the Wearable Devices. In Convergence of ICT and Smart Devices for Emerging Applications; Paiva, S., Paul, S., Eds.; Springer International Publishing: Cham, Switzerland, 2020; pp. 21–66. [Google Scholar]
- Bade, B.C.; Brooks, M.C.; Nietert, S.B.; Ulmer, A.; Thomas, D.D.; Nietert, P.J.; Scott, J.B.; Silvestri, G.A. Assessing the Correlation Between Physical Activity and Quality of Life in Advanced Lung Cancer. Integr. Cancer Ther. 2018, 17, 73–79. [Google Scholar] [CrossRef]
- Chan, C.; Sounderajah, V.; Normahani, P.; Acharya, A.; Markar, S.R.; Darzi, A.; Bicknell, C.; Riga, C. Wearable Activity Monitors in Home Based Exercise Therapy for Patients with Intermittent Claudication: A Systematic Review. Eur. J. Vasc. Endovasc. 2021, 61, 676–687. [Google Scholar] [CrossRef]
- Ormel, H.L.; van der Schoot, G.G.F.; Westerink, N.D.L.; Sluiter, W.J.; Gietema, J.A.; Walenkamp, A.M.E. Self-monitoring physical activity with a smartphone application in cancer patients: A randomized feasibility study (SMART-trial). Support. Care Cancer 2018, 26, 3915–3923. [Google Scholar] [CrossRef]
- Ferriolli, E.; Skipworth, R.J.E.; Hendry, P.; Scott, A.; Stensteth, J.; Dahele, M.; Wall, L.; Greig, C.; Fallon, M.; Strasser, F.; et al. Physical Activity Monitoring: A Responsive and Meaningful Patient-Centered Outcome for Surgery, Chemotherapy, or Radiotherapy? J. Pain Symptom Manag. 2012, 43, 1025–1035. [Google Scholar] [CrossRef] [PubMed]
- Ella, K.; Csepányi-Kömi, R.; Káldi, K. Circadian regulation of human peripheral neutrophils. Brain Behav. Immun. 2016, 57, 209–221. [Google Scholar] [CrossRef]
- Pritchard, A.; Burns, P.; Correia, J.; Jamieson, P.; Moxon, P.; Purvis, J.; Thomas, M.; Tighe, H.; Sylvester, K.P. ARTP statement on cardiopulmonary exercise testing 2021. BMJ Open Respir. Res. 2021, 8, e001121. [Google Scholar] [CrossRef]
- Radtke, T.; Vogiatzis, I.; Urquhart, D.S.; Laveneziana, P.; Casaburi, R.; Hebestreit, H.; Crook, S.; Kaltsakas, G.; Louvaris, Z.; Berton, D.C.; et al. Standardisation of cardiopulmonary exercise testing in chronic lung diseases: Summary of key findings from the ERS task force. Eur. Respir. J. 2019, 54, 1901441. [Google Scholar] [CrossRef]
- Harkonen, R.; Harju, R.; Alaranta, H. Accuracy of the Jamar dynamometer. J. Hand Ther. 1993, 6, 259–262. [Google Scholar] [CrossRef] [PubMed]
- National Institute for Health and Care Research. Procedure for Measuring Hand Grip Strength Using The JAMAR Dynamometer; NIHR Southampton Biomedical Research Centre: Southampton, UK, 2014; p. 6. [Google Scholar]
- Kannus, P. Isokinetic evaluation of muscular performance: Implications for muscle testing and rehabilitation. Int. J. Sports Med. 1994, 15 (Suppl. 1), S11–S18. [Google Scholar] [CrossRef]
- Broderick, J.M.; Ryan, J.; O’Donnell, D.M.; Hussey, J. A guide to assessing physical activity using accelerometry in cancer patients. Support. Care Cancer 2014, 22, 1121–1130. [Google Scholar] [CrossRef]
- Binet, J.L.; Auquier, A.; Dighiero, G.; Chastang, C.; Piguet, H.; Goasguen, J.; Vaugier, G.; Potron, G.; Colona, P.; Oberling, F.; et al. A New Prognostic Classification of Chronic Lymphocytic-Leukemia Derived from a Multivariate Survival Analysis. Cancer 1981, 48, 198–206. [Google Scholar] [CrossRef]
- Rai, K.R.; Sawitsky, A.; Cronkite, E.P.; Chanana, A.D.; Levy, R.N.; Pasternack, B.S. Clinical Staging of Chronic Lymphocytic Leukemia. Blood 1975, 46, 219–234. [Google Scholar] [CrossRef]
- Sorensen, J.B.; Klee, M.; Palshof, T.; Hansen, H.H. Performance status assessment in cancer patients. An inter-observer variability study. Br. J. Cancer 1993, 67, 773–775. [Google Scholar] [CrossRef] [PubMed]
- Webster, K.; Cella, D.; Yost, K. The Functional Assessment of Chronic Illness Therapy (FACIT) Measurement System: Properties, applications, and interpretation. Health Qual. Life Outcomes 2003, 1, 79. [Google Scholar] [CrossRef] [PubMed]
- Oerlemans, S.; Efficace, F.; Kieffer, J.M.; Kyriakou, C.; Xochelli, A.; Levedahl, K.; Petranovic, D.; Borges, F.C.; Bredart, A.; Shamieh, O.; et al. International validation of the EORTC QLQ-CLL17 questionnaire for assessment of health-related quality of life for patients with chronic lymphocytic leukaemia. Br. J. Haematol. 2022, 197, 431–441. [Google Scholar] [CrossRef]
- Joanna Briggs Institute. Checklist for Analytical Cross-Sectional Studies; Joanna Briggs Institute: Adelaide, Australia, 2020. [Google Scholar]
- Kang, H. Sample size determination and power analysis using the G*Power software. J. Educ. Eval. Health Prof. 2021, 18, 17. [Google Scholar] [CrossRef]
- Cohen, J. Statistical Power Analysis for the Behavioral Sciences, 2nd ed.; Routledge: New York, NY, USA, 1988. [Google Scholar]
- Yamada, P.M.; Teranishi-Hashimoto, C.; Bantum, E.O. Paired exercise has superior effects on psychosocial health compared to individual exercise in female cancer patients. Support. Care Cancer 2021, 29, 6305–6314. [Google Scholar] [CrossRef] [PubMed]
- Segal, R.J.; Reid, R.D.; Courneya, K.S.; Sigal, R.J.; Kenny, G.P.; Prud’Homme, D.G.; Malone, S.C.; Wells, G.A.; Scott, C.G.; D’Angelo, M.E.S. Randomized Controlled Trial of Resistance or Aerobic Exercise in Men Receiving Radiation Therapy for Prostate Cancer. J. Clin. Oncol. 2009, 27, 344–351. [Google Scholar] [CrossRef]
- Milne, H.M.; Wallman, K.E.; Gordon, S.; Courneya, K.S. Effects of a combined aerobic and resistance exercise program in breast cancer survivors: A randomized controlled trial. Breast Cancer Res. Treat. 2008, 108, 279–288. [Google Scholar] [CrossRef] [PubMed]
- ACSM. ACSM’s Guidelines for Exercise Testing and Prescription, 10th ed.; Wolters Kluwer Health: Philadelphia, PA, USA, 2018. [Google Scholar]
- Zeng, X.; Zhang, L.; Zhang, Y.; Jia, S.; Lin, T.; Zhao, X.; Huang, X. Prevalence and prognostic value of baseline sarcopenia in hematologic malignancies: A systematic review. Front. Oncol. 2023, 13, 1308544. [Google Scholar] [CrossRef] [PubMed]
- Kim, J.S.; Galvao, D.A.; Newton, R.U.; Gray, E.; Taaffe, D.R. Exercise-induced myokines and their effect on prostate cancer. Nat. Rev. Urol. 2021, 18, 519–542. [Google Scholar] [CrossRef]
- Stamatakis, E.; Lee, I.M.; Bennie, J.; Freeston, J.; Hamer, M.; O’Donovan, G.; Ding, D.; Bauman, A.; Mavros, Y. Does Strength-Promoting Exercise Confer Unique Health Benefits? A Pooled Analysis of Data on 11 Population Cohorts with All-Cause, Cancer, and Cardiovascular Mortality Endpoints. Am. J. Epidemiol. 2018, 187, 1102–1112. [Google Scholar] [CrossRef]
- Imboden, M.T.; Swartz, A.M.; Finch, H.W.; Herber, M.P.; Kaminsky, L.A. Reference standards for lean mass measures using GE dual energy X-ray absorptiometry in Caucasian adults. PLoS ONE 2017, 12, e0176161. [Google Scholar] [CrossRef]
- Holzner, B.; Kemmler, G.; Kopp, M.; Nguyen-Van-Tam, D.; Sperner-Unterweger, B.; Greil, R. Quality of life of patients with chronic lymphocytic leukemia: Results of a longitudinal investigation over 1 yr. Eur. J. Haematol. 2004, 72, 381–389. [Google Scholar] [CrossRef]
- Youron, P.; Singh, C.; Jindal, N.; Malhotra, P.; Khadwal, A.; Jain, A.; Prakash, G.; Varma, N.; Varma, S.; Lad, D.P. Quality of life in patients of chronic lymphocytic leukemia using the EORTC QLQ-C30 and QLQ-CLL17 questionnaire. Eur. J. Haematol. 2020, 105, 755–762. [Google Scholar] [CrossRef]
- Artese, A.L.; Sitlinger, A.; MacDonald, G.; Deal, M.A.; Hanson, E.D.; Pieper, C.F.; Weinberg, J.B.; Brander, D.M.; Bartlett, D.B. Effects of high-intensity interval training on health-related quality of life in chronic lymphocytic leukemia: A pilot study. J. Geriatr. Oncol. 2022, 14, 101373. [Google Scholar] [CrossRef] [PubMed]
- Stein, M.J.; Baurecht, H.; Bohmann, P.; Fervers, B.; Fontvieille, E.; Freisling, H.; Friedenreich, C.M.; Konzok, J.; Peruchet-Noray, L.; Sedlmeier, A.M.; et al. Diurnal timing of physical activity and risk of colorectal cancer in the UK Biobank. BMC Med. 2024, 22, 399. [Google Scholar] [CrossRef] [PubMed]
- Albalak, G.; Stijntjes, M.; van Bodegom, D.; Jukema, J.W.; Atsma, D.E.; van Heemst, D.; Noordam, R. Setting your clock: Associations between timing of objective physical activity and cardiovascular disease risk in the general population. Eur. J. Prev. Cardiol. 2023, 30, 232–240. [Google Scholar] [CrossRef] [PubMed]
- Okely, A.D.; Kontsevaya, A.; Ng, J.; Abdeta, C. 2020 WHO guidelines on physical activity and sedentary behavior. Sports Med. Health Sci. 2021, 3, 115–118. [Google Scholar] [CrossRef]
- Persoon, S.; Chinapaw, M.J.M.; Buffart, L.M.; Liu, R.D.K.; Wijermans, P.; Koene, H.R.; Minnema, M.C.; Lugtenburg, P.J.; Marijt, E.W.A.; Brug, J.; et al. Randomized controlled trial on the effects of a supervised high intensity exercise program in patients with a hematologic malignancy treated with autologous stem cell transplantation: Results from the EXIST study. PLoS ONE 2017, 12, e0181313. [Google Scholar] [CrossRef]
- Central Administration of the Health System, IP, Portugal. VALORES LABORATORIAIS DE REFERÊNCIA (ADULTOS). Available online: https://www.acss.min-saude.pt/wp-content/uploads/2018/09/Tabela_Final.pdf (accessed on 5 March 2025).


| Male (n = 7) | Female (n = 4) | Full Sample (n = 11) | |||||
|---|---|---|---|---|---|---|---|
| Variable | Range | Mean (SD) | Range | Mean (SD) | Range | Mean (SD) | |
| Demographic and Body Composition Data | |||||||
| Age (years) | 47–73 | 61.7 (9.5) | 63–78 | 72.3 (6.5) | 47–78 | 65.6 (9.7) | |
| Height (cm) | 155–177 | 169.1 (8.6) | 143–162 | 152.8 (10.1) | 143–177 | 163.2 (12.0) | |
| Weight (kg) | 58.5–93.8 | 77.2 (14.0) | 52.0–73.4 | 60.8 (9.7) | 52–93.8 | 71.2 (14.6) | |
| BMI (kg/m2) | 23.8–30.6 | 27.0 (2.6) † | 24.6–28.4 | 26.3 (1.6) † | 23.8–30.6 | 26.7 (2.2) † | |
| Body fat (%) | 14.8–36.6 | 24.3 (6.8) † | 29.7–43.4 | 36.7 (5.7) † | 14.8–43.4 | 28.8 (8.7) † | |
| Lean mass (kg) | 45.9–67.6 | 55.2 (7.3) | 32.0–43.1 | 36.8 (5.6) | 32–67.6 | 48.5 (11.3) | |
| Femur neck BMD (g/cm3) | 0.64–0.95 | 0.81 (0.13) | 0.60–0.67 | 0.64 (0.03) | 0.60–0.95 | 0.75 (0.13) | |
| Femur neck BMD (T-score) | −2.2–0.1 | −0.91 (0.92) | −2.2–−1.6 | −1.83 (0.29) † | −2.2–0.1 | −1.24 (0.86) † | |
| Hematologic/Immunologic Data | |||||||
| Hematocrit (%) | 39.9–48.8 | 44.4 (2.9) | 36.0–43.2 | 40.3 (3.5) | 36–48.8 | 42.3 (3.3) | |
| RBC (×1012/L) | 4.2–5.2 | 4.7 (0.4) | 3.9–5.1 | 4.7 (0.6) | 3.9–5.2 | 4.7 (0.5) | |
| Hemoglobin (g/dL) | 12.8–16.2 | 14.5 (1.1) | 11.6–14.2 | 13.1 (1.2) | 11.6–16.2 | 14.0 (1.3) | |
| Platelets (×109/L) | 115–302 | 176.3 (75.9) | 190–299 | 238.5 (49.3) | 115–302 | 198.9 (71.9) | |
| WBC (×109/L) | 7.2–33.7 | 18.1 (9.2) | 10.1–17.6 | 13.7 (3.1) | 7.2–33.7 | 16.5 (7.6) | |
| Lymphocytes (%) | 37.1–72.2 | 52.6 (13.3) † | 54.2–77.0 | 62.3 (10.2) † | 37.1–77 | 56.1 (12.7) † | |
| Monocytes (%) | 0.5–5.3 | 3.2 (1.9) | 2.6–4.9 | 3.6 (1.0) | 0.5–5.3 | 3.4 (1.6) | |
| Neutrophils (%) | 12.5–47.6 | 27.4 (10.6) † | 19.8–42.3 | 32.8 (9.4) † | 12.5–47.6 | 29.4 (10.1) † | |
| Albumin (g/L) | 41.8–53.2 | 45.6 (4.1) | 43.4–45.7 | 44.9 (1.1) | 41.8–53.2 | 45.3 (3.1) | |
| LDH (units/L) | 132–186 | 160.4 (21.4) † | 132–226 | 188.0 (40.6) † | 132–226 | 170.5 (31.0) † | |
| B2-microglobulin (µg/L) | 1430–1690 | 1552.8 (108.3) | 1369–2590 | 1854.8 (521.2) | 1369–2590 | 1687 (364.8) | |
| IgG (mg/dL) | 706–1860 | 1169.2 (421.2) | 896–1070 | 991.8 (75.7) | 706–1860 | 1090.3 (315.6) | |
| IgA (mg/dL) | 53–328 | 175.2 (114.1) | 106–180 | 140 (34.9) | 53–328 | 159.6 (85.5) | |
| IgM (mg/dL) | 20–114 | 62.4 (34.3) | 40–167 | 92.3 (53.6) | 20–167 | 75.7 (43.7) | |
| Male (n = 7) | Female (n = 4) | Full Sample (n = 11) | |||||
|---|---|---|---|---|---|---|---|
| Variable | Range | Mean (SD) | Range | Mean (SD) | Range | Mean (SD) | |
| Physical and Functional Capacity | |||||||
| Peak power output (watts) | 75–135 | 112.5 (24.6) | 15–90 | 41.3 (33.3) | 15–135 | 84.0 (45.4) | |
| VO2 (mL/kg/min) | 12.5–24.3 | 19.3 (3.9) | 9–14.1 | 11.5 (2.1) | 9–24.2 | 16.1 (5.1) | |
| Peak torque knee extension (N.m) | 92.2–238.1 | 140.5 (52.1) | 42.8–102.1 | 72.1 (24.5) | 42.8–238.1 | 113.1 (54.3) | |
| Peak torque knee Flexion (N.m) | 47.3–92.7 | 67.5 (19.5) | 35.7–40.1 | 37.3 (2.1) | 35.7–92.7 | 55.4 (21.3) | |
| Peak grip force left (kg) | 42.6–55.5 | 49.4 (5.0) | 16.5–29.3 | 23.2 (7.0) | 16.5–55.5 | 38.9 (14.6) | |
| Peak grip force right (kg) | 32.5–60.9 | 48.4 (10.6) | 18.2–30.8 | 24.6 (7.1) | 18.2–60.9 | 38.9 (15.2) | |
| Accelerometry Data | |||||||
| Average wear time (min) | 739–937 | 832 (71) | 685–821 | 761 (65) | 685–937 | 805.9 (75.0) | |
| Sedentary time (min/day) | 296–610 | 445.5 (107.1) | 404–653 | 513.9 (104.2) | 296–653 | 470.4 (106.5) | |
| Light physical activity (min/day) | 271–541 | 361.6 (92.5) | 167–302 | 235.9 (59.5) | 167–541 | 315.9 (101.1) | |
| Moderate physical activity (min/day) | 9.7–46.3 | 24.7 (14.0) | 0.7–24.1 | 10.6 (11.5) | 0.7–46.3 | 19.6 (14.4) | |
| Vigorous physical activity (min/day) | 0–0.6 | 0.08 (0.22) | 0–0 | 0.00 (0.0) | 0–0.6 | 0.05 (0.17) | |
| Quality of Life Questionnaires | |||||||
| FACIT-F | |||||||
| Physical well-being (0–28) | 24–27 | 25 (1.2) | 18–26 | 23 (3.8) | 18–27 | 24.3 (2.5) | |
| Functional well-being (0–28) | 20–26 | 23.1 (2.3) | 19–25 | 21.5 (2.6) | 19–26 | 22.6 (2.5) | |
| Fatigue subscale (0–52) | 39–46 | 42.1 (2.5) | 30–45 | 39.3 (7.2) | 30–46 | 41.1 (4.7) | |
| FACIT-G total score (0–108) | 73–102 | 88.6 (10.8) | 82–90 | 86.3 (3.5) | 73–102 | 87.7 (8.6) | |
| FACIT-F total (0–160) | 118–144 | 130.7 (10.2) | 115–133 | 125.5 (7.5) | 115–144 | 128.8 (9.3) | |
| EORTC-QLQ30 (0–100) | |||||||
| Physical functioning | 73.3–100 | 89.5 (12.1) | 60–86.7 | 73.3 (10.9) | 60–100 | 83.6 (13.8) | |
| Average symptom scale | 2.5–23.5 | 11.5 (7.8) | 2.5–23.5 | 17.0 (9.8) | 2.5–23.5 | 13.5 (8.5) | |
| EORTC-QLQ-CLL17 (0–100) | |||||||
| Symptom burden | 5.6–27.8 | 15.1 (8.9) | 0–50 | 19.4 (21.5) | 0–50 | 16.7 (13.8) | |
| Physical condition/fatigue | 0–25 | 11.9 (8.1) | 0–50 | 22.9 (22.9) | 0–50 | 15.9 (15.1) | |
| Worries/fears about health | 4.8–66.7 | 26.5 (19.4) | 0–52.4 | 25 (26.5) | 0–66.7 | 26.0 (20.9) | |
| Total MVPA (min) | Lean Mass (g) | VO2 (mL/min) | VO2 (mL/kg/min) | |||||
|---|---|---|---|---|---|---|---|---|
| r | p-Value | r | p-Value | r | p-Value | r | p-Value | |
| Total MVPA (min) | - | - | 0.57 | 0.068 | 0.28 | 0.438 | 0.005 | 0.988 |
| Body Fat (%) | −0.31 | 0.359 | −0.50 | 0.115 | −0.55 | 0.103 | −0.74 ** | 0.014 |
| Lean Mass (g) | 0.57 | 0.068 | - | - | 0.86 ** | 0.002 | 0.61 | 0.062 |
| Femur Neck BMD (g/cm3) | 0.21 | 0.530 | 0.66 * | 0.029 | 0.86 ** | 0.002 | 0.84 ** | 0.002 |
| VO2 (mL/min) | 0.28 | 0.438 | 0.86 ** | 0.002 | 0.87 ** | 0.001 | ||
| VO2 (mL/kg/min) | 0.01 | 0.988 | 0.61 | 0.062 | 0.87 ** | 0.001 | ||
| Peak Torque Knee Extension (N.m) | 0.78 ** | 0.008 | 0.82 ** | 0.004 | 0.69 ** | 0.027 | 0.43 | 0.211 |
| Peak Torque Knee Flexion (N.m) | 0.77 ** | 0.010 | 0.86 ** | 0.001 | 0.62 | 0.057 | 0.41 | 0.240 |
| Peak Grip force Left (kg) | 0.58 | 0.078 | 0.88 ** | 0.001 | 0.77 ** | 0.009 | 0.59 | 0.074 |
| Peak Grip force Right (kg) | 0.74 * | 0.015 | 0.82 ** | 0.003 | 0.57 | 0.086 | 0.41 | 0.235 |
| B2-Microglobulin (μg/L) | −0.45 | 0.223 | −0.54 | 0.138 | −0.50 | 0.212 | −0.47 | 0.238 |
Disclaimer/Publisher’s Note: The statements, opinions and data contained in all publications are solely those of the individual author(s) and contributor(s) and not of MDPI and/or the editor(s). MDPI and/or the editor(s) disclaim responsibility for any injury to people or property resulting from any ideas, methods, instructions or products referred to in the content. |
© 2025 by the authors. Licensee MDPI, Basel, Switzerland. This article is an open access article distributed under the terms and conditions of the Creative Commons Attribution (CC BY) license (https://creativecommons.org/licenses/by/4.0/).
Share and Cite
Cunha, P.; Ribeiro, R.; Pizarro, A.; Mota, J.; Ribeiro, J.C. The Role of Daily Activity in Risk and Survival Outcomes for Chronic Lymphocytic Leukemia Patients: Baseline Insights from the ADRENALINE Pilot Study. Lymphatics 2025, 3, 45. https://doi.org/10.3390/lymphatics3040045
Cunha P, Ribeiro R, Pizarro A, Mota J, Ribeiro JC. The Role of Daily Activity in Risk and Survival Outcomes for Chronic Lymphocytic Leukemia Patients: Baseline Insights from the ADRENALINE Pilot Study. Lymphatics. 2025; 3(4):45. https://doi.org/10.3390/lymphatics3040045
Chicago/Turabian StyleCunha, Pedro, Ricardo Ribeiro, Andreia Pizarro, Jorge Mota, and José Carlos Ribeiro. 2025. "The Role of Daily Activity in Risk and Survival Outcomes for Chronic Lymphocytic Leukemia Patients: Baseline Insights from the ADRENALINE Pilot Study" Lymphatics 3, no. 4: 45. https://doi.org/10.3390/lymphatics3040045
APA StyleCunha, P., Ribeiro, R., Pizarro, A., Mota, J., & Ribeiro, J. C. (2025). The Role of Daily Activity in Risk and Survival Outcomes for Chronic Lymphocytic Leukemia Patients: Baseline Insights from the ADRENALINE Pilot Study. Lymphatics, 3(4), 45. https://doi.org/10.3390/lymphatics3040045

