Abstract
A promising carrier for the development of polymer systems with controlled release of biologically active compounds is the aminopolysaccharide chitosan. In the present work, we studied the possibility of using chitosan films as a matrix for the N6-benzyladenine (BA), which is the natural cytokinin widely used in tissue culture. The aim of this work was to develop biopolymer carriers containing phytohormones cytokinins that provide its controlled release. As a result of the work, a number of biopolymer carriers containing BA were obtained, and the kinetics of moisture absorption of the resulting complexes and the kinetics of their release of cytokinins were studied. It has been shown that the use of a polymer carrier based on chitosan is a convenient matrix for achieving a prolonged biological effect from cytokinins. The obtained results will make it possible to purposefully design materials with an optimal delivery rate of cytokinins for a biological object.
1. Introduction
Cytokinins (CKs) are an important group of phytohormones that regulate many processes in plant development. CKs promote cell division in plant tissue cultures and affect a wide range of other processes in plants, including seed germination, bud differentiation, branching, activation of the chloroplast formation, plant disease resistance, leaf aging delay, and others. Naturally occurring CKs are adenine derivatives with a hydrophobic substituent at the N6 position [1,2,3].
Limitations of the practical use of CKs and other phytohormones are associated with the peculiarities of their properties and manifestations of biological activity [4]. Natural phytohormones in plants always exhibit stimulating activity at very low concentrations (about 10−6 to 10−11 M) [2]. The excess of these compounds leads to inhibition and even death of plants (phytotoxicity). Therefore, when treating a plant organism, it is impossible to use spare amounts of the biologically active compound, designed for its long-term effect, even if it is desirable [4]. To eliminate the disadvantages inherent not only in plant growth regulators but also in various other biologically active compounds, it is advisable to use biopolymer carriers allowing for controlled gradual release of the active compounds. The use of such systems makes it possible to realize their optimally dosed entry into a biological object and thereby provide a prolonged effect and safety. In the case of plants, such an approach will make it possible to achieve the intake of phytohormones at an optimal concentration for stimulating plant development, which, in this case, will be low and will not reach the level of phytotoxicity.
To obtain such biopolymer/CK systems, polymeric carriers containing functional groups capable of interacting with the reactive groups of CKs, or biopolymers that do not affect its structure, can be used. In the latter case, the gradual release of a biologically active compound from the system can be realized due to diffusion (film polymer forms, membrane systems) or osmosis (polyelectrolyte hydrogels or so-called osmotic pumps) [5]. The use of natural polyelectrolytes as film-forming polymers will make it possible to obtain hydrogel materials with high water-holding capacity and diffusion release of the active component.
A promising carrier for the development of polymer systems with controlled release of biologically active compounds is the aminopolysaccharide chitosan. The growing interest in this aminopolysaccharide is associated with a complex of its inherent properties: biocompatibility, biodegradability, and lack of toxicity, combined with high biological activity and sorption capacity. It is a structural analogue of cellulose [6,7].
Chitin and chitosan, natural polymers obtained from the shell of commercial crustaceans and other sources, have many useful properties, which makes them applicable, and in some cases, irreplaceable, in medicine, agriculture, the food industry, and cosmetics production [6,7].
Currently, more than seventy areas of practical application of chitin and chitosan and their modifications are known, the most important of which are recognized as biotechnology and ecology, food industry, medicine, cosmetics, agriculture, and veterinary medicine [6,8].
Unlike other available polysaccharides, the elementary unit of chitosan contains an amino group, which is more reactive than hydroxyl groups, so chitosan can be easily modified to impart various properties. Modification with bifunctional crosslinking reagents makes it possible to obtain films, microcapsules, granules, fibers based on chitosan that are insoluble in water but have a high water-holding capacity, hydrogels, and composite materials and to fix, biologically, compounds, enzymes, and other proteins in their structure [6,9].
The most common crosslinking reagents are dialdehydes. The use of dialdehydes makes it possible to carry out the reaction under mild conditions, i.e., at room temperature and physiological pH values, which is especially important in the immobilization of conformationally labile compounds, such as enzymes. Basically, glutaraldehyde (GA) is used as a crosslinking agent for chitosan and other amine-containing polymers; however, we have shown that under certain conditions (pH > 5, high concentrations), it is capable of forming oligomeric compounds, and the products of its interaction with chitosan have an unpredictable composition [10]. This limits the possibility of their use in biomedical purposes; however, GA is suitable for use in agriculture.
Previously we have shown that the rate of gelation depends on the concentration of chitosan in solution and the molar ratio of GA/NH2 [10,11]. Less than 2 mole percent of GA does not cause a loss of fluidity of the molding solution for several days, which makes it possible to prepare it for casting films.
A number of promising areas for the use of chitosan are based on its good film-forming ability. Previously, the sorption and bactericidal properties of chitosan films were studied. Chitosan films are characterized by high sorption properties with respect to water, metal ions, and organic molecules, which makes them very promising polymer carriers [12,13,14,15,16].
The possibility of obtaining enzyme-containing chitosan films with controlled swelling in aqueous media was also shown, and the composition of molding compositions was determined to ensure a high degree of swelling of films (1000–2000%) while maintaining their integrity and strength [17,18].
To date, to stimulate plant growth, the method of soaking seeds in solutions with CKs is used [19]. However, a more promising method that allows prolonged delivery of biologically active compounds is the coating of plant seeds with thin films of polymers containing CKs in their structure. Therefore, in our work, we studied the possibility of using chitosan films as a matrix for the N6-benzyladenine (BA).
The aim of this work is to develop biopolymer carriers containing phytohormones CKs that provide controlled release of a biologically active compound. Establishing the nature of the relationship between the conditions for obtaining a polymer form, the kinetics of moisture absorption, and the features of the release of phytohormones will make it possible to purposefully design materials with an optimal CK delivery rate for a given biological object.
2. Materials and Methods
2.1. Reagents
Analytically pure commercially available reagents were used in the work: N6-benzyladenine (BA) (Sigma-Aldrich, St. Louis, MO, USA), polyvinyl alcohol with a molecular weight of 126 kDa and a degree of deacetylation of 88%, 25% aqueous solution of glutaraldehyde (Merck, Darmstadt, Germany), genipin (Sigma-Aldrich, St. Louis, MO, USA), and chitosan with a molecular weight of 190 kDa and a degree of deacetylation of the original chitin of 87% (C.E. Roeper, Hamburg, Germany). All other reagents and solvents used were of reagent grade and were used without further purification.
2.2. Experimental Methods
2.2.1. Preparation of Chitosan Solutions
BA was previously dissolved in 2.5% aqueous acetic acid to give a BA concentration of 4 mM. Chitosan was dissolved in the resulting solution to obtain solutions of 2%, 3%, and 4%. The dissolution was carried out on a magnetic stirrer at 1000 rpm in flasks of the required volume. The crosslinking agent was added to the spinning solution in the form of an aqueous solution, and the concentration of the solution was determined by the selected ratio of GA/NH2 and genipin/NH2.
2.2.2. Preparation of PVA Solutions
PVA solution was generated by dissolving PVA in distilled water while stirring at 90 °C for 1 h to establish a 10% homogeneous solution. The solution was cooled and the previously prepared solution of BA in 2.5% aqueous acetic acid (4 mM) was added. The final concentration of PVA solution was 7%.
2.2.3. Preparation of Solutions of Glutaraldehyde
GA solutions of the desired concentration were prepared by diluting the initial 25% solution.
2.2.4. Preparation of Genipin Solutions
Solutions of genipin of a given concentration were prepared in a flask of a suitable volume, accurately weighed (±0.0002 g).
2.2.5. Preparation of Chitosan and PVA Films Containing Cytokinin
The films were fabricated by means of a casting/solvent evaporation technique. The viscous solutions were filtered through filter paper to remove any undissolved gel. The degassed solutions were then cast onto glass plates and dried to constant weight at ambient temperature. The mass of the molding solution was calculated by formula:
where S—the area of the substrate, cm2; h—the film thickness, cm; ρ—the polymer density, g/cm3 (for chitosan 1.44 g/cm3); and C—the concentration of the solution, %.
2.2.6. Treatment of Chitosan Films with Ammonia Vapor
Some of the chitosan films dried to constant weight in air were placed in a desiccator containing 10% ammonia solution for 3 days. After that, the films were left for another day in air to remove excess of ammonia.
2.2.7. Determination of Film Solubility
The film solubility was determined by immersing a sample (2 × 2 cm in size) into a test tube with distilled water and keeping it for a day. Films were considered soluble if they completely dissolved within 1 h and partially soluble if the samples have not completely dissolved within 24 h.
2.2.8. Degree of Swelling and Moisture Absorption
The degree of swelling of chitosan films in water was studied gravimetrically. Samples were blotted with filter paper before weighing. The degree of swelling (α, %) was calculated by the formula:
where m—the weight of the polymer after swelling, g; and m0—the weight of the polymer before swelling, g.
Based on the data obtained, a graph of the dependence of the degree of swelling on time was built: α = f (τ).
2.2.9. Determination of the Kinetics of Cytokinin Release into Saline
The study of the kinetics of the release of BA from films into a physiological solution of NaCl (0.9%) (hydramodulus 6000 mL/g) was carried out by registering changes in the optical density of the BA solution at a wavelength of λ = 268 nm using a Cary 300 UV/VIS Varian spectrophotometer (Mulgrave, VIC, Australia).
For this, a sample weighing 5 × 10−4 g was immersed in a physiological solution with a volume of 10 µL and left for 1 min. After that, the volume of the solution was brought to 1 mL, stirred, and the film was removed. Next, the optical density of the resulting solution was measured, and the concentration of the solution was calculated from BA. To obtain a release schedule, six such experiments were carried out, where each film was in saline from 1 to 120 min.
3. Results and Discussion
3.1. Preparation of Biopolymer-Cytokinin Systems
Crosslinking reagents capable of reacting with chitosan amino groups, such as glutaraldehyde and genipin, were used as regulators of the solubility and moisture absorption of chitosan films (Figure 1). Based on previous studies, crosslinking conditions and two GA/NH2 mole ratios were chosen to control the degree of swelling of the films [18].
Figure 1.
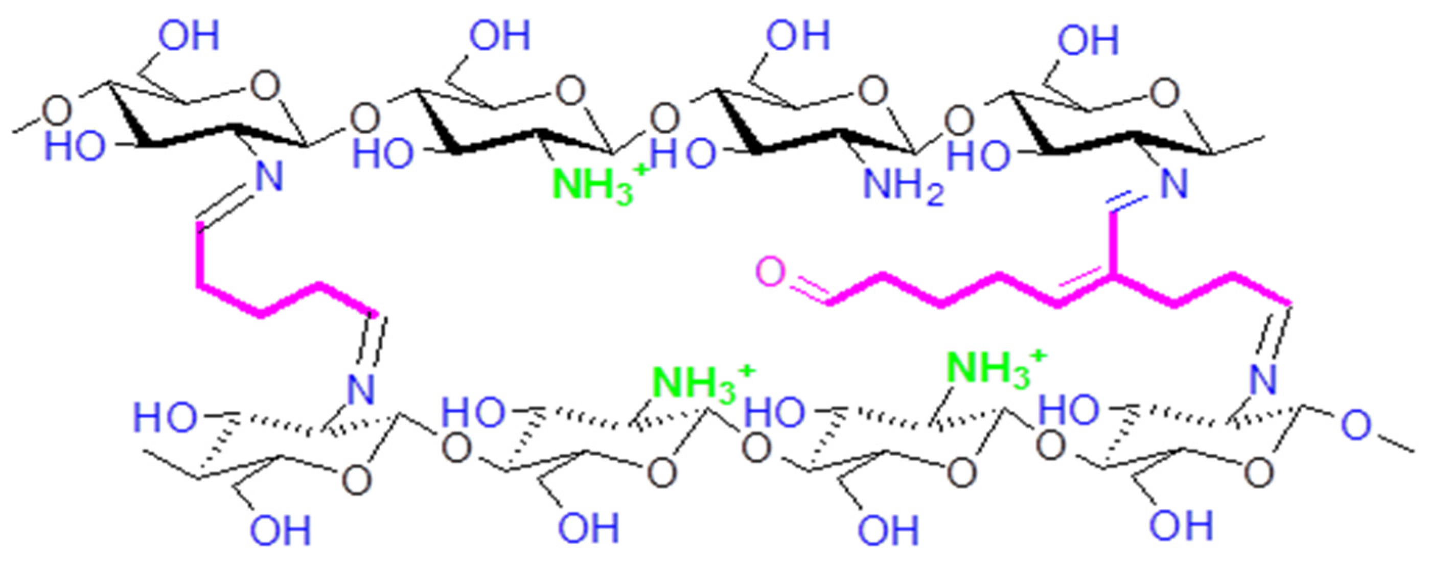
The product of the interaction of chitosan with glutaraldehyde.
The high degree of swelling of the polyelectrolyte hydrogel is determined by the presence of charged functional groups and counterions that cannot go beyond the gel. This is the reason for the osmotic transfer of water from the external environment into the hydrogel and an increase in its volume. Deprotonation of the amino groups of chitosan, which, in this work, was carried out by keeping the obtained films in ammonia vapor, leads to a decrease in the positive charge of the macromolecule and the osmotic flow of water (Figure 2). Thus, the structure and degree of swelling of chitosan films were controlled by changing the degree of crosslinking of chitosan during film preparation and treatment in ammonia vapor.
Figure 2.
Scheme of deprotonation of amino groups of chitosan during exposure to ammonia vapor.
For comparison, films were obtained from polyvinyl alcohol (PVA). The conditions for obtaining films from chitosan and PVA are given in Table 1.
Table 1.
Composition, preparation conditions, and properties of the films containing cytokinin BA.
Samples of polymer films were obtained by pouring solutions of chitosan in 2.5% acetic acid onto the surface of a plastic Petri dish. In order to obtain a biopolymer system with CK, N6-benzyladenine (BA) was introduced into the molding solution. BA was chosen for research as the most widely used and available natural CK. Due to the fact that BA is poorly soluble in water, it was previously dissolved in 2.5% aqueous acetic acid to give a BA concentration of 4 mM. Chitosan was dissolved in the resulting solution to obtain solutions of various concentrations. A crosslinking agent solution was added to the prepared chitosan solution. Crosslinking of chitosan occurred during the evaporation of the solvent as the concentration of the polymer in the formed film increased. Measurement of the weight loss of the films in water showed that most of the obtained films were insoluble in water for 24 h. Films formed from chitosan solutions with a GA content of 0.02 mol/mol NH2 had partial solubility over the indicated time. After treatment with ammonia vapor, the films of this composition turned out to be insoluble during the entire time of the study.
3.1.1. Study of the Properties of Films of Chitosan Crosslinked with Glutaraldehyde Containing BA
The properties of chitosan films containing BA crosslinked with glutaraldehyde are summarized in Table 1.
The moisture absorption of chitosan films is an important characteristic of the material, since, on the one hand, the ability to absorb water during soil irrigation ensures the solubility of the biologically active compound in the film and its diffusion ability; and on the other hand, a change in the degree of swelling affects the density and equilibrium of its structure and, ultimately, the release rate of the biologically active compound.
Figure 3 and Figure 4 show the kinetics of swelling in water of chitosan films obtained from chitosan solutions containing different amounts of cytokinin in the presence of GA at different ratios to functional groups. As can be seen from the kinetic curves (Figure 3), the swelling of freshly formed films occurs at a high rate, and the maximum moisture absorption of 1000–2000% is achieved in 10–20 min.
Figure 3.
Swelling kinetics of chitosan films obtained from chitosan solutions of different concentrations crosslinked with glutaraldehyde at different ratios of functional groups. 1 (blue line)—2% chitosan, 0.02 mol GA/mol NH2; 2 (light blue line)—4% chitosan, 0.02 mol GA/mol NH2; 3 (yellow line)—3% chitosan, 0.04 mol GA/mol NH2; 4 (orange line)—2% chitosan, 0.04 mol GA/mol NH2; 5 (green line)—4% chitosan, 0.04 mol GA/mol NH2; 6 (grey line)—3% chitosan, 0.02 mol GA/mol NH2.
Figure 4.
Swelling kinetics of films obtained from chitosan solutions of various concentrations, crosslinked with glutaraldehyde at various ratios of functional groups and treated with ammonia vapor. 1 (grey line)—3% chitosan, 0.02 mol GA/mol NH2; 2 (light blue line)—4% chitosan, 0.02 mol GA/mol NH2; 3 (blue line)—2% chitosan, 0.02 mol GA/mol NH2; 4 (orange line)—2% chitosan, 0.04 mol GA/mol NH2; 5 (yellow line)—3% chitosan, 0.04 mol GA/mol NH2; 6 (green line)—4% chitosan,0.04 mol GA/mol NH2.
The equilibrium degree of swelling of the films decreased by 1.5–2 times after treatment with ammonia due to a decrease in the degree of protonation of the amino groups of chitosan (Table 1). The shape of the kinetic curves has changed (Figure 4); two sections can be distinguished on them: the first corresponds to the rapid swelling of the main mass of the film; the second is slower, probably due to the relaxation processes of devitrification of more densely packed regions in the crosslinked samples of chitosan-base. During the observation period, the equilibrium degree of swelling was not reached, in contrast to the films not treated with ammonia.
It should be noted that polymer films were formed from solutions with different concentrations of chitosan in the molding solution, but the same ratio of the crosslinking agent shows close or even identical swelling kinetics (Figure 4, overlay of three kinetic curves). In the process of solvent evaporation, the solution is concentrated, and the initial concentration of the solution mainly affects only the solvent evaporation time, while the degree of crosslinking has a decisive influence on the structure and properties of the films. An increase in the degree of crosslinking leads to a decrease in the degree of swelling of the films, which is more pronounced in the swelling in water of films treated in ammonia vapor: the moisture absorption of films obtained from 2% and 4% solutions of chitosan containing 0.04 mol GA/mol NH2 is 620% and 640%, and with a decrease in the content of the crosslinking reagent to 0.02 mol GA/mol NH2, it reaches 840% and 1020%, respectively (Figure 4). The content of BA in the film does not significantly affect the rate and degree of swelling since its concentration in the film is very low (20–40 mg/g film), and it does not cause structural changes in the polymer material.
The degree of swelling of the films has a significant effect on the kinetics of cytokinin release. The kinetics of BA release from films in 0.9% NaCl solution was studied by spectrophotometric determination of the change in BA concentration over time at a wavelength of λ = 268 nm at a hydromodulus of 6 × 103 mL/g. Such a high hydromodulus was chosen for the convenience of measurements due to the high value of the extinction coefficient of BA, equal to 19,770. The absorption spectra of the released BA are shown in Figure 5.
Figure 5.
Spectra of cytokinin BA during its release from films formed from a 4% solution of chitosan and crosslinked with glutaraldehyde at a ratio of 0.02 mol GA/mol NH2 after treatment with ammonia. The data were taken for 60 min from the moment the films were immersed in the solution.
All kinetic curves of BA release from freshly formed chitosan films reach a pronounced limit, which practically corresponds to the equilibrium concentration of BA upon its complete release from the film (Figure 6). The time to reach the equilibrium concentration and equilibrium swelling for these films coincide. Apparently, loosening the film structure and an increase in the area of the interfacial surface—with an increase in its volume of 10–20-fold (at a degree of swelling of 1000–2000%)—leads to a rapid mass transfer of cytokinin to the external solution.
Figure 6.
Kinetic curves of BA release from films obtained from chitosan solutions of various concentrations containing glutaraldehyde. 1 (orange line)—3% chitosan, 0.02 mol GA/mol NH2; 2 (yellow line)—4% chitosan, 0.04 mol GA/mol NH2; 3 (pink line)—2% chitosan, 0.02 mol GA/mol NH2; 4 (blue line)—2% chitosan, 0.04 mol GA/mol NH2; 5 (light blue line)—4% chitosan, 0.02 mol GA/mol NH2; 6 (grey line)—3% chitosan, 0.04 mol GA/mol NH2.
After treatment with ammonia, the shape of the kinetic curves changes dramatically (Figure 7); the initial release rate as a result of such treatment decreases several times, and the amount of BA that passes into solution at the same time decreases by 1.5 times. This may be due to both the lower swelling of such films in water and the interaction of the polymer with the biologically active compound [20]. One of the factors causing a change in the diffusion rate may also be the nonequilibrium of the structural and morphological organization of the polymer matrix [21].
Figure 7.
Kinetic curves of BA release from films obtained from chitosan solutions of various concentrations containing glutaraldehyde and treated in ammonia vapor. 1 (green line)—4% chitosan, 0.04 mol GA/mol NH2; 2 (yellow line)—3% chitosan, 0.04 mol GA/mol NH2; 3 (grey line)—3% chitosan, 0.02 mol GA/mol NH2; 4 (orange line)—2% chitosan, 0.04 mol GA/mol NH2; 5 (blue line)—2% chitosan, 0.02 mol GA/mol NH2; 6 (light blue line)—4% chitosan, 0.02 mol GA/mol NH2.
A film was obtained from a 2% solution of chitosan containing BA and glutaraldehyde at a ratio of 0.04 mol GA/mol NH2; after treatment in ammonia vapor, a structure is formed that provides a linear release of BA for an hour. The release of BA from such a film occurs at the lowest rate, which should ensure a gradual and dosed entry of the phytohormone into the plants when they are covered with a film of this composition. It should be noted that all other films have similar kinetic dependencies and release rates, which depend on the degree of crosslinking of chitosan and its content in the film. Thus, these parameters can be used to control the release of cytokinin from the film coating.
As already noted, for the convenience of spectrophotometric measurements, the study of the release kinetics was carried out at a high hydromodulus of 6 × 103 mL/g of the film. Under natural conditions, humidity is created during irrigation or natural precipitation, so the hydromodule, which is realized in this case, is orders of magnitude lower. In order to simulate natural conditions, the kinetics of BA release in a 0.9% NaCl solution was studied at a minimum hydromodulus of 10 mL/g, which makes it possible to take a sample for its dilution and analyze the optical density. The nature of the kinetic curve obtained within two hours (Figure 8) suggests a long-term prolonging effect, which ensures the release from the film and the entry of cytokinin into the plant within 6–12 h while maintaining soil moisture for a longer time when it decreases.
Figure 8.
Influence of the hydromodulus on the kinetics of cytokinin release from a chitosan film crosslinked at a ratio of 0.04 mol GA/mol NH2. 1 (orange line)—4% chitosan, 0.04 mol GA/mol NH2, hydromodulus 6·104 mL/g; 2 (blue line)—4% chitosan, 0.04 mol GA/mol NH2, hydromodulus 10 mL/g.
3.1.2. Obtaining and Studying the Properties of Films from Chitosan Crosslinked with Genipin
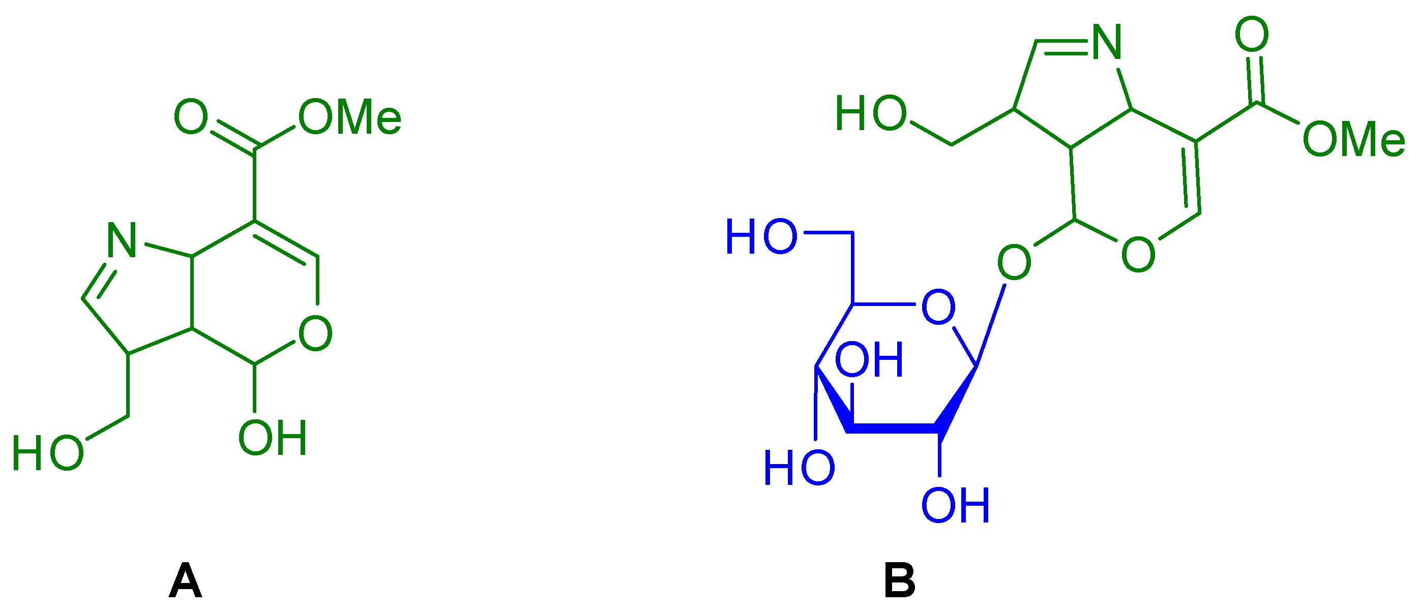
In addition to glutaraldehyde, we studied the possibility of obtaining films from chitosan using another crosslinking agent, genipin. Genipin (Figure 9A) is obtained by enzymatic hydrolysis of geniposide (Figure 9B) with β-glucosidase. Geniposide is isolated from the fruits of two plants: Genipa americana and Gardenia jasminoides Ellis [22]. Genipin is colorless but reacts with amino acids and other amine-containing compounds to form a blue pigment. Since it is a natural compound with low cytotoxicity, it has been used as a crosslinking agent for various polymers. In particular, the possibility of obtaining films from chitosan in the presence of genipin was shown. The films were colored blue and swelled in water by 800–3000%, depending on the degree of crosslinking [23].
Figure 9.
Structural formulas of genipin (A) and geniposide (B).
Films containing BA were obtained from solutions of chitosan and genipin at various ratios of genipin/NH2.
A comparative study of the swelling of films containing BA from chitosan crosslinked with genipin and GA showed similar kinetics and a similar dependence of the degree of swelling of the films on the content of the crosslinking agent (Figure 10).
Figure 10.
Swelling kinetics of films based on chitosan crosslinked with genipin. 1 (blue line)—2% chitosan, 0.01 mol genipin/mol NH2; 2 (grey line)—4% chitosan, 0.01 mol genipin/mol NH2; 3 (orange line)—3% chitosan, 0.01 mol genipin/mol NH2; 4 (light blue line)—2% chitosan, 0.04 mol genipin/mol NH2; 5 (green line)—3% chitosan, 0.04 mol genipin/mol NH2; 6 (yellow line)—4% chitosan, 0.04 mol genipin/mol NH2.
When studying the kinetics of BA release from films containing genipin, it turned out that in the characteristic absorption region of BA, the optical density exceeds the possible value corresponding to the maximum concentration of cytokinin.
The absorption spectra of a 0.9% sodium chloride solution were studied after keeping films of chitosan crosslinked with GA and genipin in it, both containing and not containing BA (Figure 11). The analysis of the obtained spectra showed the presence of absorption in solutions that do not contain BA, which indicates a superposition of the absorption maxima of BA and genipin, which leads to a distortion of the kinetic data of BA release.
Figure 11.
Absorption spectra of the solution after keeping in it films of chitosan crosslinked with GA and genipin, containing and not containing BA. 1 (blue line)—BA, 3% chitosan, 0.01 mol genipin/mol NH2; 2 (orange line)—2% chitosan, 0.04 mol genipin/mol NH2; 3 (green line)—BA, 2% chitosan, 0.04 mol genipin/mol NH2.
In fact, we found that not all genipin takes part in the reaction with the amino groups of chitosan. Unreacted genipin is isolated in the form of crystals on the surface or in the bulk of the film. To study this fact, three films were formed from a 2% chitosan solution, crosslinked with different ratios of genipin: 0.01, 0.02, and 0.04. The release of genipin in 0.9% NaCl solution for 24 h was studied by measuring the optical density of solutions at a wavelength of λ = 2 nm. Based on the data obtained, the dependence of the amount of unreacted genipin on its total content in the spinning solution used to obtain films was obtained (Figure 12).
Figure 12.
Dependence of the proportion of genipin released from the films in 0.9% NaCl solution in 24 h on its content in the film.
Figure 12 shows a clear dependence of the percentage of genipin release on its content in the film. The lower the ratio of the crosslinking reagent and the amino group of chitosan, the more it passes from the film into the solution; at a ratio of 0.01 mol genipin/mol NH2, 22.4% was released, and at a ratio of 0.04 mol genipin/mol NH2, five-times less—only 4.4%. Thus, for the first time, we have discovered facts that indicate the equilibrium nature of the reaction of the interaction of chitosan with genipin.
3.1.3. Incorporation of Cytokinin into PVA Films
Polymeric forms of some biologically active compounds, including phytohormones based on polyvinyl alcohol, are known from the literature [24,25]. Therefore, for comparison with the films developed by us from chitosan, films containing BA were obtained from aqueous solutions of PVA. The polyvinyl alcohol solution was prepared at 80 °C., and the BA solution was added to the cooled 14% polymer solution so that the final solution had a concentration of 7%. Next, films were formed on a solid surface by evaporating the solvent. The content of BA in the films was 4% and 6%.
The swelling kinetics of films formed from PVA is shown in Figure 13. The degree of swelling of the resulting films turned out to be significantly lower than that of films of chitosan crosslinked with GA, even treated in ammonia vapor. However, despite this, the rate of BA release from PVA films is four-times greater than that from chitosan films crosslinked with GA (Table 1, Figure 14).
Figure 13.
Swelling kinetics of PVA films containing BA. 1 (blue line)—0.58 × 10−2 mg/mg film; 2 (orange line)—0.39 × 10−2 mg/mg film.
Figure 14.
Kinetics of BA release from films based on PVA. 1 (orange line)—0.58 × 10−2 mg/mg film; 2 (blue line)—0.39 × 10−2 mg/mg film.
A study of the stability of films based on PVA and chitosan crosslinked with GA or genipin, carried out under model conditions (phosphate buffer pH = 7.0, hydromodulus 10 mL/g), showed that the films did not completely dissolve within two months (Figure 15). The polyvinyl alcohol film lost less than 30% of its weight. The nature of the crosslinking agent had practically no effect on the stability of chitosan films, which lost about 70% of their mass during the experiment.
Figure 15.
Stability of films based on PVA (1) and chitosan (2, 3), crosslinked with GA (2) and Gp (3) at a ratio 0.04 mol/mol; phosphate buffer pH = 7.0; hydromodulus 10 mL/g.
4. Conclusions
Aiming to develop biopolymer carriers containing phytohormones that provide their controlled prolonged release, the possibility of using chitosan films as a matrix for the natural phytohormone N6-benzyladenine (BA) was studied. The study of the swelling kinetics of freshly formed films showed the high speed of the process, and a maximum moisture absorption of 1000–2000%, which was already achieved in 10–20 min. A decrease in the equilibrium swelling of the films by 1.5–2 times was established after treatment with ammonia due to a decrease in the degree of protonation of the amino groups of chitosan. It has been shown that the main factors influencing the kinetics of cytokinin release are the degree of swelling and the degree of crosslinking of chitosan.
The parameters that can be used to regulate the process of cytokinin entry from a film coating into a biological object are determined: the degree of crosslinking and the content of cytokinin. Simulation of natural conditions suggests that the inclusion of chitosan crosslinked with GA in the composition of films can ensure the release of cytokinin from the film and the entry of cytokinin into plant seeds within 6–12 h.
In addition, the films containing BA were obtained from aqueous solutions of PVA and it was found that cytokinin is released from these films into physiological solution at a rate four-times greater than from chitosan films crosslinked with GA.
When studying the kinetics of BA release from films crosslinked with genipin, it was found for the first time that the reactions of chitosan with genipin have an equilibrium character.
Author Contributions
Conceptualization, V.E.O. and N.R.K.; supervision, V.E.O. and N.R.K.; project administration, V.E.O. and N.R.K.; funding acquisition, V.E.O. and N.R.K.; formal analysis, A.Y.K., I.V.V. and A.A.Z.; investigation, A.Y.K., I.V.V. and A.A.Z.; visualization, A.Y.K., I.V.V. and V.E.O.; writing—original draft, A.Y.K. and I.V.V.; writing—review and editing, V.E.O. and N.R.K. All authors have read and agreed to the published version of the manuscript.
Funding
This research was funded by the Russian Science Foundation, grant numbers 22-13-00261 (Preparation of the films containing cytokinin) and 23-24-00527 (Determination of the kinetics of cytokinin release).
Institutional Review Board Statement
Not applicable.
Informed Consent Statement
Not applicable.
Data Availability Statement
All data are contained within the article.
Acknowledgments
The authors are grateful to Ekaterina M. Savelieva (Timiryazev Institute of Plant Physiology, Russian Academy of Sciences) for valuable consultation. This work is dedicated to the memory of Sergey N. Mikhailov (Engelhardt Institute of Molecular Biology, Russian Academy of Sciences).
Conflicts of Interest
The authors declare no conflict of interest.
References
- Sakakibara, H. Cytokinins: Activity, biosynthesis, and translocation. Annu. Rev. Plant Biol. 2006, 57, 431–449. [Google Scholar] [CrossRef] [PubMed]
- Oshchepkov, M.S.; Kalistratova, A.V.; Savelieva, E.M.; Romanov, G.A.; Bystrova, N.A.; Kochetkov, K.A. Natural and syntheticcytokinins and their applications in biotechnology, agrochemistry and medicine. Russ. Chem. Rev. 2020, 89, 787. [Google Scholar] [CrossRef]
- Strnad, M. The aromatic cytokinins. Physiol. Plant. 1997, 101, 674–688. [Google Scholar] [CrossRef]
- Shtilman, M.I.; Korshak, Y.V.; Voskanyan, P.S.; Tzatzarakis, E.; Grigoryuk, I.O.; Ormotsadze, N.S.; Tsatsakis, A.M.; Allan, G. Phytoactive polymers. Rev. J. Chem. 2011, 1, 275–287. [Google Scholar] [CrossRef]
- Kwon, H.J.; Yasuda, K.; Gong, J.P.; Ohmiya, Y. Polyelectrolyte hydrogels for replacement and regeneration of biological tissues. Macromol. Res. 2014, 22, 227–235. [Google Scholar] [CrossRef]
- Barclay, T.G.; Day, C.M.; Petrovsky, N.; Garg, S. Review of polysaccharide particle-based functional drug delivery. Carbohydr. Polym. 2019, 221, 94–112. [Google Scholar] [CrossRef]
- Kumar, M.N.V.R. A review of chitin and chitosan applications. React. Funct. Polym. 2000, 46, 1–27. [Google Scholar] [CrossRef]
- Malerba, M.; Cerana, R. Recent applications of chitin-and chitosan-based polymers in plants. Polymers 2019, 11, 839. [Google Scholar] [CrossRef]
- Devi, N.; Sarmah, M.; Khatun, B.; Maji, T.K. Encapsulation of active ingredients in polysaccharide–protein complex coacervates. Adv. Colloid Interface Sci. 2017, 239, 136–145. [Google Scholar] [CrossRef]
- Kil’deeva, N.R.; Perminov, P.A.; Vladimirov, L.V.; Novikov, V.V.; Mikhailov, S.N. Mechanism of the reaction of glutaraldehyde with chitosan. Russ. J. Bioorg. Chem. 2009, 35, 360–369. [Google Scholar] [CrossRef]
- Mikhailov, S.N.; Zakharova, A.N.; Drenichev, M.S.; Ershov, A.V.; Kasatkina, M.A.; Vladimirov, L.V.; Novikov, V.V.; Kildeeva, N.R. Crosslinking of chitosan with dialdehyde derivatives of nucleosides and nucleotides. Mechanism and comparison with glutaraldehyde. Nucleosides Nucleotides Nucleic Acids 2016, 35, 114–129. [Google Scholar] [CrossRef] [PubMed]
- Kim, K.M.; Son, J.H.; Kim, S.K.; Weller, C.L.; Hanna, M.A. Properties of chitosan films as a function of pH and solvent type. J. Food Sci. 2006, 71, E119–E124. [Google Scholar] [CrossRef]
- Balau, L.; Lisa, G.; Popa, M.I.; Tura, V.; Melnig, V. Physico-chemical properties of chitosan films. Cent. Eur. J. Chem. 2004, 2, 638–647. [Google Scholar] [CrossRef]
- Qiao, C.; Ma, X.; Wang, X.; Liu, L. Structure and properties of chitosan films: Effect of the type of solvent acid. LWT 2021, 135, 109984. [Google Scholar] [CrossRef]
- Jakubowska, E.; Gierszewska, M.; Nowaczyk, J.; Olewnik-Kruszkowska, E. Physicochemical and storage properties of chitosan-based films plasticized with deep eutectic solvent. Food Hydrocoll. 2020, 108, 106007. [Google Scholar] [CrossRef]
- Kildeeva, N.; Chalykh, A.; Belokon, M.; Petrova, T.; Matveev, V.; Svidchenko, E.; Surin, N.; Sazhnev, N. Influence of genipin crosslinking on the properties of chitosan-based films. Polymers 2020, 12, 1086. [Google Scholar] [CrossRef]
- Tozaki, H.; Fujita, T.; Terabe, A.; Okabe, S.; Muranishi, S.; Yamamoto, A. Validation of a pharmacokinetic model of colon-specific drug delivery and the therapeutic effects of chitosan capsules containing 5-aminosalycilic acid on 2,4,6-trinitrobenzenesulphonic acid-induced colitis in rats. J. Pharm. Pharmocol. 1999, 51, 1107–1112. [Google Scholar] [CrossRef]
- Vikhoreva, G.A.; Shablyukova, E.A.; Kil’deeva, N.R. Modification of chitosan films with glutaraldehyde to regulate their solubility and swelling. Fibre Chem. 2001, 33, 206–210. [Google Scholar] [CrossRef]
- Azzam, C.R.; Zaki, S.N.S.; Bamagoos, A.A.; Rady, M.M.; Alharby, H.F. Soaking maize seeds in zeatin-type cytokinin biostimulators improves salt tolerance by enhancing the antioxidant system and photosynthetic efficiency. Plants 2022, 11, 1004. [Google Scholar] [CrossRef]
- Smotrina, T.V. Water state and relaxation processes in chitosan films. Butlerov. Commun. 2012, 29, 98. [Google Scholar]
- Chalykh, A.E.; Zlobin, V.B. Modern ideas about diffusion in polymer systems. Russ. Chem. Rev. 1988, 57, 504. [Google Scholar] [CrossRef]
- Hou, Y.C.; Tsai, S.Y.; Lai, P.Y.; Chen, Y.S.; Chao, P.D.L. Metabolism and pharmacokinetics of genipin and geniposide in rats. Food Chem. Toxicol. 2008, 46, 2764–2769. [Google Scholar] [CrossRef] [PubMed]
- Kil’deeva, N.R.; Kasatkina, M.A.; Mikhailov, S.N. Peculiarities of obtaining biocompatible films based on chitosan cross linked by genipin. Polym. Sci. Ser. D 2017, 10, 189–193. [Google Scholar] [CrossRef]
- Viboonratanasri, D.; Thongdee, P.; Prajuabsuk, M.; Pungpo, P.; Vayachuta, L.; Prompinit, P. Precisely controlled delivery of plant hormone using poly (vinyl alcohol)/zeolite A hydrofilm composite. Polym. Eng. Sci. 2021, 61, 2172–2182. [Google Scholar] [CrossRef]
- Sampaio, N.M.F.M.; Castilhos, N.D.B.; da Silva, B.C.; Riegel-Vidotti, I.C.; Silva, B.J.C. Evaluation of polyvinyl alcohol/pectin-based hydrogel disks as extraction phase for determination of steroidal hormones in aqueous samples by GC-MS/MS. Molecules 2018, 24, 40. [Google Scholar] [CrossRef] [PubMed]
Disclaimer/Publisher’s Note: The statements, opinions and data contained in all publications are solely those of the individual author(s) and contributor(s) and not of MDPI and/or the editor(s). MDPI and/or the editor(s) disclaim responsibility for any injury to people or property resulting from any ideas, methods, instructions or products referred to in the content. |
© 2023 by the authors. Licensee MDPI, Basel, Switzerland. This article is an open access article distributed under the terms and conditions of the Creative Commons Attribution (CC BY) license (https://creativecommons.org/licenses/by/4.0/).














