- Article
Characterization of Liquefaction Products from Lignocellulosic and Aquatic Biomass
- Telma Moreira,
- Maria Margarida Mateus,
- Luís C. Duarte and
- Maria Joana Neiva Correia
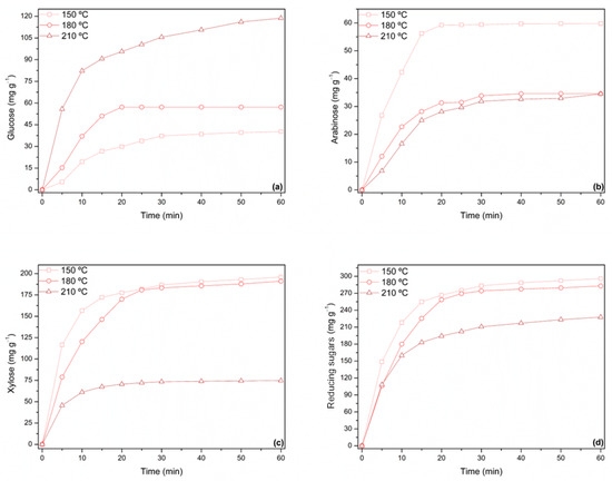
Biomass liquefaction is a promising thermochemical route to convert lignocellulosic residues into bio-oil. This study evaluates the liquefaction behavior of 13 biomasses with varying particle sizes (0.3–2.0 mm) and moisture contents (5–11...

