Reaction Mechanism and Kinetics of Hydrothermal Liquefaction at Sub- and Supercritical Conditions: A Review
Abstract
1. Introduction
2. Reaction Pathways in Hydrothermal Liquefaction
2.1. Reaction Pathways and Kinetics of Model Components of Lignocellulosic Substrates
2.1.1. Cellulose
2.1.2. Hemicellulose
2.1.3. Lignin
| Substrate | Temperature (°C) | Time (min) | Pressure (MPa) | Reaction Pathway | Reaction Order | Rate Constant (s−1) | Pre-Exponential Factor Log (A, s−1) | Activation Energy (KJ mol−1) | Reference |
|---|---|---|---|---|---|---|---|---|---|
| Crystalline cellulose | 230–270 | 15 | 10 | Cellulose hydrolysis | Pseudo-First order | - | - | Cell I–Cell IVI (71.4–90.2) Cell II–Cell IVII (53.3–56.6) | [18] |
| Microcrystalline cellulose | 370–400 | 0–0.5 s | 25 | First order | - | 1.23 | 430.3 | [64] | |
| Microcrystalline Cellulose | 320–400 | 0.02–13.1 s | 25 | Cellulose hydrolysis | First order | - | 27.4 (320–370 °C) | 145.9 (320–370 °C) | [20] |
| - | 102.7 (370–400 °C) | 547.9 (370–400 °C) | |||||||
| D-Xylose | 500 | 0.2–1.2 s | 100 | D-xylose → D-xylulose | First order | 2.4 | - | - | [39] |
| D-xylose → Retro-aldol reaction | 3.2 | - | - | ||||||
| D-xylulose → Retro-aldol reactions | 6.1 | - | - | ||||||
| D-xylulose → Furfural | 0.78 | - | - | ||||||
| D-xylose | 160–200 | 3 h | - | Xylose dehydration | First order | 1.56 × 10−2 @ 200 °C | 1.82 × 105 (mol dm−3)0.5 min−1 | 68.5 | [65] |
| Kraft lignin | 300–400 | 360 ms–4.6 s | 26 | Kraft lignin → non-soluble dehydrated lignin | Pseudo-first order | 0.110 | - | - | [66] |
| Non-soluble dehydrated lignin → kraft lignin | 512 | - | - | ||||||
| Kraft lignin → LO(olig) light oil fraction | 6.67 | - | - | ||||||
| Non-soluble dehydrated lignin → LO(olig) | 42.1 | - | - | ||||||
| LO(olig) → lignin monomers | 0.832 | - | - | ||||||
| LO(olig) → char | 1.98 × 10−5 | - | - | ||||||
| Lignin monomers → char | 167.9 | - | - | ||||||
| Lignin | 390–450 | 5–10 s | 25 | Lignin → guaiacol | First order | 0.426 | - | - | [63] |
| Lignin → total organic carbon (TOC) | 1.194 | - | - | ||||||
| Lignin → char | 5.145 | - | - | ||||||
| Guaiacol → catechol | 0.665 | - | - | ||||||
| Guaiacol → phenol | 0.158 | - | - | ||||||
| Catechol → phenol | 0.000 | - | - | ||||||
| TOC → gas | 0.000 | - | - | ||||||
| TOC → aromatic hydrocarbons | 0.092 | - | - | ||||||
| Aromatic hydrocarbons → char | 0.059 | - | - | ||||||
| Guaiacol | 210–400 | 30–120 | 30 | Guaiacol decomposition | First order | 3.1 × 10−2 min−1 | 34.85 | 39.35 | [53] |
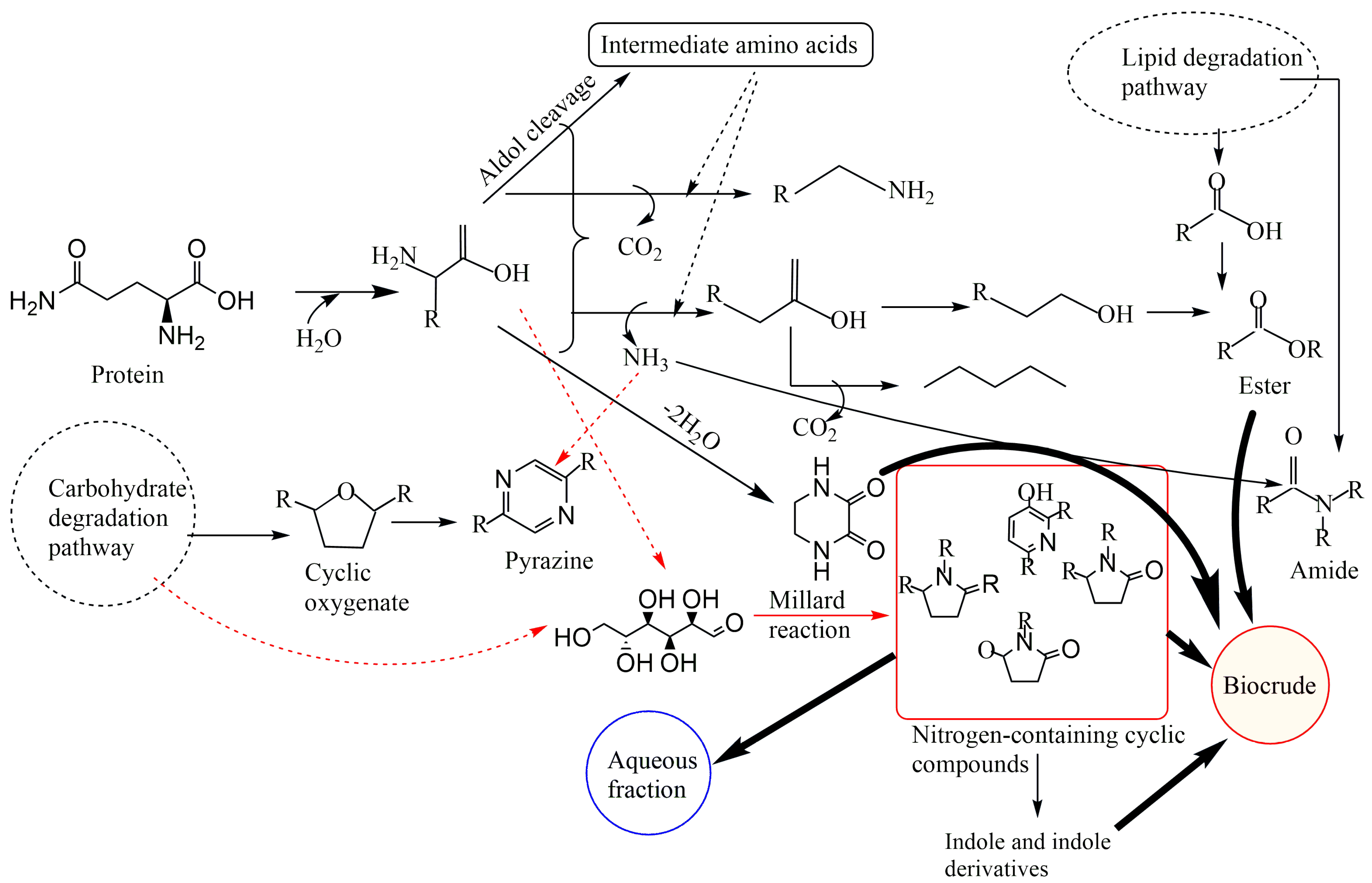
2.2. Reaction Pathways of Proteins
2.3. Reaction Pathways of Lipid Substrates
3. Reaction Pathways and Products from Real Biomass
4. Effect of Reaction Parameters on Reaction Pathways
4.1. Reaction Temperature and Reaction Time
4.2. pH
4.3. Reaction Solvents
4.4. Catalyst
5. Hydrothermal Co-Liquefaction
6. HTL Product Separation
7. Conclusions and Future Prospects
- (a)
- Water–Alcohol reaction system in HTL required to elucidate the reaction mechanism and kinetics;
- (b)
- Novel catalysts should be developed with high catalytic efficiency to improve biocrude yield;
- (c)
- Catalytic activity tests should be performed on model organic substrates;
- (d)
- Kinetic modeling studies are required for catalytic HTL reactions;
- (e)
- Kinetic modeling for the HTL of substrates with varying organic and inorganic components is necessary to determine their potential role in HTL reaction mechanism and product distribution;
- (f)
- The catalytic or inhibitory effect of minerals present in the inorganic content of lignocellulosic and microalgae on product distribution and reaction kinetics must be determined;
- (g)
- The impact of heating rate on the reaction kinetics and product distribution must be studied;
- (h)
- Co-liquefaction studies must be conducted, aimed at reaction kinetics and synergistic or antagonistic interactions.
Author Contributions
Funding
Data Availability Statement
Acknowledgments
Conflicts of Interest
References
- Höök, M.; Sivertsson, A.; Aleklett, K. Validity of the Fossil Fuel Production Outlooks in the IPCC Emission Scenarios. Nat. Resour. Res. 2010, 19, 63–81. [Google Scholar] [CrossRef]
- Zhang, Y. Hydrothermal liquefaction to convert biomass into crude oil. In Biofuels from Agricultural Wastes and Byproducts; John Wiley & Sons, Ltd.: Hoboken, NJ, USA, 2010; pp. 201–232. [Google Scholar] [CrossRef]
- Madsen, R.B.; Glasius, M. How do hydrothermal liquefaction conditions and feedstock type influence product distribution and elemental composition? Ind. Eng. Chem. Res. 2019, 58, 17583–17600. [Google Scholar] [CrossRef]
- Taimbú, C.A.; Martín, M.; Grossmann, I.E. Process optimization for the hydrothermal production of algae fuels. Ind. Eng. Chem. Res. 2019, 58, 23276–23283. [Google Scholar] [CrossRef]
- Brilman, D.W.F.; Drabik, N.; Wądrzyk, M. Hydrothermal co-liquefaction of microalgae, wood, and sugar beet pulp. Biomass Conv. Bioref. 2017, 7, 445–454. [Google Scholar] [CrossRef]
- Hu, Y.; Feng, S.; Bassi, A.; Xu, C. Improvement in bio-crude yield and quality through co-liquefaction of algal biomass and sawdust in ethanol-water mixed solvent and recycling of the aqueous by-product as a reaction medium. Energy Convers. Manag. 2018, 171, 618–625. [Google Scholar] [CrossRef]
- Wang, W.; Xu, Y.; Wang, X.; Zhang, B.; Tian, W.; Zhang, J. Hydrothermal liquefaction of microalgae over transition metal supported TiO2 catalyst. Bioresour. Technol. 2018, 250, 474–480. [Google Scholar] [CrossRef] [PubMed]
- Watson, J.; Lu, J.; de Souza, R.; Si, B.; Zhang, Y.; Liu, Z. Effects of the extraction solvents in hydrothermal liquefaction processes: Biocrude oil quality and energy conversion efficiency. Energy 2019, 167, 189–197. [Google Scholar] [CrossRef]
- Changi, S.M.; Faeth, J.L.; Mo, N.; Savage, P.E. Hydrothermal Reactions of Biomolecules Relevant for Microalgae Liquefaction. Ind. Eng. Chem. Res. 2015, 54, 11733–11758. [Google Scholar] [CrossRef]
- Hao, B.; Xu, D.; Jiang, G.; Sabri, T.A.; Jing, Z.; Guo, Y. Chemical reactions in the hydrothermal liquefaction of biomass and in the catalytic hydrogenation upgrading of biocrude. Green Chem. 2021, 23, 1562–1583. [Google Scholar] [CrossRef]
- Peterson, A.A.; Vogel, F.; Lachance, R.P.; Fröling, M.; Michael, J.; Antal, J.; Tester, J.W. Thermochemical biofuel production in hydrothermal media: A review of sub- and supercritical water technologies. Energy Environ. Sci. 2008, 1, 32–65. [Google Scholar] [CrossRef]
- Hietala, D.C.; Savage, P.E. A molecular, elemental, and multiphase kinetic model for the hydrothermal liquefaction of microalgae. Chem. Eng. J. 2021, 407, 127007. [Google Scholar] [CrossRef]
- Kallury, R.K.M.R.; Ambidge, C.; Tidwell, T.T.; Boocock, D.G.B.; Agblevor, F.A.; Stewart, D.J. Rapid hydrothermolysis of cellulose and related carbohydrates. Carbohydrate Res. 1986, 158, 253–261. [Google Scholar] [CrossRef]
- Putro, J.N.; Soetaredjo, F.E.; Lin, S.-Y.; Ju, Y.-H.; Ismadji, S. Pretreatment and conversion of lignocellulose biomass into valuable chemicals. RSC Adv. 2016, 6, 46834–46852. [Google Scholar] [CrossRef]
- Sasaki, M.; Fang, Z.; Fukushima, Y.; Adschiri, T.; Arai, K. Dissolution and hydrolysis of cellulose in subcritical and supercritical water. Ind. Eng. Chem. Res. 2000, 39, 2883–2890. [Google Scholar] [CrossRef]
- Deguchi, S.; Tsujii, K.; Horikoshi, K. Crystalline-to-amorphous transformation of cellulose in hot and compressed water and its implications for hydrothermal conversion. Green Chem. 2008, 10, 191–196. [Google Scholar] [CrossRef]
- Park, S.; Baker, J.O.; Himmel, M.E.; Parilla, P.A.; Johnson, D.K. Cellulose crystallinity index: Measurement techniques and their impact on interpreting cellulase performance. Biotechnol. Biofuels 2010, 3, 10. [Google Scholar] [CrossRef] [PubMed]
- Abdullah, R.; Ueda, K.; Saka, S. Hydrothermal decomposition of various crystalline celluloses as treated by semi-flow hot-compressed water. J. Wood Sci. 2014, 60, 278–286. [Google Scholar] [CrossRef]
- Möller, M.; Harnisch, F.; Schröder, U. Hydrothermal liquefaction of cellulose in subcritical water—The role of crystallinity on the cellulose reactivity. RSC Adv. 2013, 3, 11035–11044. [Google Scholar] [CrossRef]
- Sasaki, M.; Adschiri, T.; Arai, K. Kinetics of cellulose conversion at 25 MPa in sub- and supercritical water. AIChE J. 2004, 50, 192–202. [Google Scholar] [CrossRef]
- Bobleter, O.; Pape, G. Der hydrothermale Abbau von Glucose. Monatshefte Für Chem. 1968, 99, 1560–1567. [Google Scholar] [CrossRef]
- Kabyemela, B.M.; Adschiri, T.; Malaluan, R.M.; Arai, K.; Ohzeki, H. Rapid and selective conversion of glucose to erythrose in supercritical water. Ind. Eng. Chem. Res. 1997, 36, 5063–5067. [Google Scholar] [CrossRef]
- Kabyemela, B.M.; Adschiri, T.; Malaluan, R.M.; Arai, K. Glucose and fructose decomposition in subcritical and supercritical water: detailed reaction pathway, mechanisms, and kinetics. Ind. Eng. Chem. Res. 1999, 38, 2888–2895. [Google Scholar] [CrossRef]
- Mohan, M.; Timung, R.; Deshavath, N.N.; Banerjee, T.; Goud, V.V.; Dasu, V.V. Optimization and hydrolysis of cellulose under subcritical water treatment for the production of total reducing sugars. RSC Adv. 2015, 5, 103265–103275. [Google Scholar] [CrossRef]
- Adschiri, T.; Hirose, S.; Malaluan, R.; Arai, K. Noncatalytic conversion of cellulose in supercritical and subcritical water. J. Chem. Eng. Jpn. 1993, 26, 676–680. [Google Scholar] [CrossRef]
- Kamio, E.; Sato, H.; Takahashi, S.; Noda, H.; Fukuhara, C.; Okamura, T. Liquefaction kinetics of cellulose treated by hot compressed water under variable temperature conditions. J. Mater. Sci. 2008, 43, 2179–2188. [Google Scholar] [CrossRef]
- Mosteiro-Romero, M.; Vogel, F.; Wokaun, A. Liquefaction of wood in hot compressed water Part 2–Modeling of particle dissolution. Chem. Eng. Sci. 2014, 109, 220–235. [Google Scholar] [CrossRef]
- Jayathilake, M.; Rudra, S.; Rosendahl, L.A. Hydrothermal liquefaction of wood using a modified multistage shrinking-core model. Fuel 2020, 280, 118616. [Google Scholar] [CrossRef]
- Kamio, E.; Takahashi, S.; Noda, H.; Fukuhara, C.; Okamura, T. Effect of heating rate on liquefaction of cellulose by hot compressed water. Chem. Eng. J. 2008, 137, 328–338. [Google Scholar] [CrossRef]
- Fongarland, P.; Essayem, N.; Rataboul, F. Noncatalyzed liquefaction of celluloses in hydrothermal conditions: Influence of reactant physicochemical characteristics and modeling studies. Ind. Eng. Chem. Res. 2017, 56, 126–134. [Google Scholar] [CrossRef]
- Obeid, R.; Lewis, D.; Smith, N.; van Eyk, P. The elucidation of reaction kinetics for hydrothermal liquefaction of model macromolecules. Chem. Eng. J. 2019, 370, 637–645. [Google Scholar] [CrossRef]
- Obeid, R.; Lewis, D.M.; Smith, N.; Hall, T.; van Eyk, P. Reaction kinetics and characterisation of species in renewable crude from hydrothermal liquefaction of monomers to represent organic fractions of biomass feedstocks. Chem. Eng. J. 2020, 389, 124397. [Google Scholar] [CrossRef]
- Promdej, C.; Matsumura, Y. Temperature effect on hydrothermal decomposition of glucose in sub- and supercritical water. Ind. Eng. Chem. Res. 2011, 50, 8492–8497. [Google Scholar] [CrossRef]
- Carlson, T.R.; Jae, J.; Huber, G.W. Mechanistic insights from isotopic studies of glucose conversion to aromatics over ZSM-5. ChemCatChem 2009, 1, 107–110. [Google Scholar] [CrossRef]
- Jing, Q.; Lü, X. Kinetics of non-catalyzed decomposition of d-xylose in high temperature liquid water. Chin. J. Chem. Eng. 2007, 15, 666–669. [Google Scholar] [CrossRef]
- Sasaki, M.; Hayakawa, T.; Arai, K.; Adschiri, T. Measurement of the rate of retro-aldol condensation of d-xylose in subcritical and supercritical water. In Hydrothermal Reactions and Techniques; Feng, S.H., Chen, J.S., Shi, Z., Eds.; World Scientific Publishing Co. Pt. Ltd.: Singapore, 2003; pp. 169–176. [Google Scholar] [CrossRef]
- Paksung, N.; Matsumura, Y. Decomposition of xylose in sub- and supercritical Water. Ind. Eng. Chem. Res. 2015, 54, 7604–7613. [Google Scholar] [CrossRef]
- Yin, S.; Tan, Z. Hydrothermal liquefaction of cellulose to bio-oil under acidic, neutral and alkaline conditions. Appl. Energy 2012, 92, 234–239. [Google Scholar] [CrossRef]
- Aida, T.M.; Shiraishi, N.; Kubo, M.; Watanabe, M.; Smith, R.L. Reaction kinetics of d-xylose in sub- and supercritical water. J. Supercrit. Fluids 2010, 55, 208–216. [Google Scholar] [CrossRef]
- Antal, M.J.; Leesomboon, T.; Mok, W.S.; Richards, G.N. Mechanism of formation of 2-furaldehyde from d-xylose. Carbohydr. Res. 1991, 217, 71–85. [Google Scholar] [CrossRef]
- Oefner, P.J.; Lanziner, A.H.; Bonn, G.; Bobleter, O. Quantitative studies on furfural and organic acid formation during hydrothermal, acidic and alkaline degradation of d-xylose. Monatshefte Chem. Chem. 1992, 123, 547–556. [Google Scholar] [CrossRef]
- Fukumura, T.; Toda, T.; Seki, Y.; Kubo, M.; Shibasaki-Kitakawa, N.; Yonemoto, T. Catalytic synthesis of glycerol monoacetate using a continuous expanded bed column reactor packed with cation-exchange resin. Ind. Eng. Chem. Res. 2009, 48, 1816–1823. [Google Scholar] [CrossRef]
- Satheesh Kumar, M.N.; Mohanty, A.K.; Erickson, L.; Misra, M. Lignin and its applications with polymers. J. Biobased Mater. Bioeng. 2009, 3, 1–24. [Google Scholar] [CrossRef]
- Fang, Z.; Sato, T.; Smith, R.L.; Inomata, H.; Arai, K.; Kozinski, J.A. Reaction chemistry and phase behavior of lignin in high-temperature and supercritical water. Bioresour. Technol. 2008, 99, 3424–3430. [Google Scholar] [CrossRef]
- Bobleter, O. Hydrothermal degradation of polymers derived from plants. Prog. Polym. Sci. 1994, 19, 797–841. [Google Scholar] [CrossRef]
- Beauchet, R.; Monteil-Rivera, F.; Lavoie, J.M. Conversion of lignin to aromatic-based chemicals (L-chems) and biofuels (L-fuels). Bioresour. Technol. 2012, 121, 328–334. [Google Scholar] [CrossRef] [PubMed]
- Berstis, L.; Elder, T.; Crowley, M.; Beckham, G.T. Radical nature of C-lignin. ACS Sustain. Chem. Eng. 2016, 4, 5327–5335. [Google Scholar] [CrossRef]
- Mandlekar, N.; Cayla, A.; Rault, F.; Giraud, S.; Salaün, F.; Malucelli, G.; Guan, J.-P. An Overview on the Use of Lignin and Its Derivatives in Fire Retardant Polymer Systems, in: Lignin—Trends and Applications. IntechOpen 2018, 9, 207–231. [Google Scholar] [CrossRef]
- Bobleter, O.; Concin, R. Degradation of poplar lignin by hydrothermal treatment. Cellul. Chem. Technol. 1979, 13, 583–593. [Google Scholar]
- Faravelli, T.; Frassoldati, A.; Migliavacca, G.; Ranzi, E. Detailed kinetic modeling of the thermal degradation of lignins. Biomass Bioenergy 2010, 34, 290–301. [Google Scholar] [CrossRef]
- Pińkowska, H.; Wolak, P.; Złocińska, A. Hydrothermal decomposition of alkali lignin in sub- and supercritical water. Chem. Eng. J. 2012, 187, 410–414. [Google Scholar] [CrossRef]
- Wahyudiono Sasaki, M.; Goto, M. Recovery of phenolic compounds through the decomposition of lignin in near and supercritical water. Chem. Eng. Process. Process Intensif. 2008, 47, 1609–1619. [Google Scholar] [CrossRef]
- Wahyudiono; Sasaki, M.; Goto, M. Thermal decomposition of guaiacol in sub- and supercritical water and its kinetic analysis. J. Mater. Cycles Waste Manag. 2011, 13, 68–79. [Google Scholar] [CrossRef]
- Do Couto Fraga, A.; De Almeida, M.B.B.; Sousa-Aguiar, E.F. Hydrothermal liquefaction of cellulose and lignin: A new approach on the investigation of chemical reaction networks. Cellulose 2021, 28, 2003–2020. [Google Scholar] [CrossRef]
- Chan, Y.H.; Yusup, S.; Quitain, A.T.; Tan, R.R.; Sasaki, M.; Lam, H.L.; Uemura, Y. Effect of process parameters on hydrothermal liquefaction of oil palm biomass for bio-oil production and its life cycle assessment. Energy Convers. Manag. 2015, 104, 180–188. [Google Scholar] [CrossRef]
- Karagöz, S.; Bhaskar, T.; Muto, A.; Sakata, Y. Comparative studies of oil compositions produced from sawdust, rice husk, lignin and cellulose by hydrothermal treatment. Fuel 2005, 84, 875–884. [Google Scholar] [CrossRef]
- Zhong, C.; Wei, X. A comparative experimental study on the liquefaction of wood. Energy 2004, 29, 1731–1741. [Google Scholar] [CrossRef]
- Sato, T.; Furusawa, T.; Ishiyama, Y.; Sugito, H.; Miura, Y.; Sato, M.; Suzuki, N.; Itoh, N. Effect of water density on the gasification of lignin with magnesium oxide supported nickel catalysts in supercritical water. Ind. Eng. Chem. Res. 2006, 45, 615–622. [Google Scholar] [CrossRef]
- Okuda, K.; Umetsu, M.; Takami, S.; Adschiri, T. Disassembly of lignin and chemical recovery—Rapid depolymerization of lignin without char formation in water–phenol mixtures. Fuel Process. Technol. 2004, 85, 803–813. [Google Scholar] [CrossRef]
- Saisu, M.; Sato, T.; Watanabe, M.; Adschiri, T.; Arai, K. Conversion of lignin with supercritical water−phenol mixtures. Energy Fuels 2003, 17, 922–928. [Google Scholar] [CrossRef]
- Wahyudiono; Sasaki, M.; Goto, M. Conversion of biomass model compound under hydrothermal conditions using batch reactor. Fuel 2009, 88, 1656–1664. [Google Scholar] [CrossRef]
- Zhang, B.; Huang, H.-J.; Ramaswamy, S. Reaction kinetics of the hydrothermal treatment of lignin. Appl. Biochem. Biotechnol. 2008, 147, 119–131. [Google Scholar] [CrossRef] [PubMed]
- Yong, T.L.-K.; Matsumura, Y. Kinetic analysis of lignin hydrothermal conversion in sub- and supercritical water. Ind. Eng. Chem. Res. 2013, 52, 5626–5639. [Google Scholar] [CrossRef]
- Cantero, D.A.; Bermejo, M.D.; Cocero, M.J. Kinetic analysis of cellulose depolymerization reactions in near critical water. J. Supercrit Fluids 2013, 75, 48–57. [Google Scholar] [CrossRef]
- Hua, D.-R.; Wu, Y.-L.; Liu, Y.-F.; Chen, Y.; Yang, M.-D.; Lu, X.-N.; Li, J. Preparation of furfural and reaction kinetics of xylose dehydration to furfural in high-temperature water. Pet. Sci. 2016, 13, 167–172. [Google Scholar] [CrossRef]
- Abad-Fernández, N.; Pérez, E.; Martín, Á.; Cocero, M.J. Kraft lignin depolymerization in sub- and supercritical water using ultrafast continuous reactors. Optimization and reaction kinetics. J. Supercrit. Fluids 2020, 165, 104940. [Google Scholar] [CrossRef]
- Li, J.; Brill, T.B. Spectroscopy of hydrothermal reactions, part 26: Kinetics of decarboxylation of aliphatic amino acids and comparison with the rates of racemization. Int. J. Chem. Kinet. 2003, 35, 602–610. [Google Scholar] [CrossRef]
- Snider, M.J.; Wolfenden, R. The Rate of spontaneous decarboxylation of amino acids. J. Am. Chem. Soc. 2000, 122, 11507–11508. [Google Scholar] [CrossRef]
- Sun, P.D.; Foster, C.E.; Boyington, J.C. Overview of protein structural and functional folds. Curr. Prot. Protein Sci. 2004, 35, 1711–171189. [Google Scholar] [CrossRef] [PubMed]
- Rogalinski, T.; Herrmann, S.; Brunner, G. Production of amino acids from bovine serum albumin by continuous sub-critical water hydrolysis. J. Supercrit. Fluids 2005, 36, 49–58. [Google Scholar] [CrossRef]
- Abdelmoez, W.; Yoshida, H.; Nakahasi, T. Pathways of amino acid transformation and decomposition in saturated subcritical water conditions. Int. J. Chem. Reactor Eng. 2010, 8, 1–19. [Google Scholar] [CrossRef]
- Marcet, I.; Álvarez, C.; Paredes, B.; Díaz, M. The use of sub-critical water hydrolysis for the recovery of peptides and free amino acids from food processing wastes. Review of sources and main parameters. Waste Manag. 2016, 49, 364–371. [Google Scholar] [CrossRef] [PubMed]
- Alargov, D.K.; Deguchi, S.; Tsujii, K.; Horikoshi, K. Reaction behaviors of glycine under super- and subcritical water conditions. Orig. Life Evol. Biosph. 2002, 32, 1–12. [Google Scholar] [CrossRef] [PubMed]
- Sato, N.; Quitain, A.T.; Kang, K.; Daimon, H.; Fujie, K. Reaction kinetics of amino acid decomposition in high-temperature and high-pressure water. Ind. Eng. Chem. Res. 2004, 43, 3217–3222. [Google Scholar] [CrossRef]
- Han, Y.; Hoekman, S.K.; Cui, Z.; Jena, U.; Das, P. Hydrothermal liquefaction of marine microalgae biomass using co-solvents. Algal Res. 2019, 38, 101421. [Google Scholar] [CrossRef]
- Changi, S.; Zhu, M.; Savage, P.E. HAo. ChemSusChem 2012, 5, 1743–1757. [Google Scholar] [CrossRef]
- Qian, Y.; Engel, M.H.; Macko, S.A.; Carpenter, S.; Deming, J.W. Kinetics of peptide hydrolysis and amino acid decomposition at high temperature. Geochim. Et Cosmochim. Acta 1993, 57, 3281–3293. [Google Scholar] [CrossRef] [PubMed]
- Andersson, E.; Holm, N.G. The Stability of Some Selected Amino Acids Under Attempted Redox Constrained Hydrothermal Conditions. Orig. Life Evol. Biosph. 2000, 30, 9–23. [Google Scholar] [CrossRef]
- Edifor, S.Y.; Nguyen, Q.D.; van Eyk, P.; Biller, P.; Hall, T.; Lewis, D.M. Viscosity variation of model compounds during hydrothermal liquefaction under subcritical conditions of water. Ind. Eng. Chem. Res. 2021, 60, 980–989. [Google Scholar] [CrossRef]
- Ding, X.; Mahadevan Subramanya, S.; Fang, T.; Guo, Y.; Savage, P.E. Effects of potassium phosphates on hydrothermal liquefaction of triglyceride, protein, and polysaccharide. Energ Fuel 2020, 34, 15313–15321. [Google Scholar] [CrossRef]
- Lu, J.; Liu, Z.; Zhang, Y.; Savage, P.E. Synergistic and antagonistic interactions during hydrothermal liquefaction of soybean oil, soy protein, cellulose, xylose, and lignin. Ind. Eng. Chem. Res. 2018, 6, 14501–14509. [Google Scholar] [CrossRef]
- Sheehan, J.D.; Savage, P.E. Products, pathways, and kinetics for the fast hydrothermal liquefaction of soy protein isolate. ACS Sustain. Chem. Eng. 2016, 4, 6931–6939. [Google Scholar] [CrossRef]
- Hietala, D.C.; Faeth, J.L.; Savage, P.E. A quantitative kinetic model for the fast and isothermal hydrothermal liquefaction of Nannochloropsis sp. Bioresour. Technol. 2016, 214, 102–111. [Google Scholar] [CrossRef] [PubMed]
- Luo, L.; Sheehan, J.D.; Dai, L.; Savage, P.E. Products and kinetics for isothermal hydrothermal liquefaction of soy protein concentrate. ACS Sustain. Chem. Eng. 2016, 4, 2725–2733. [Google Scholar] [CrossRef]
- Valdez, P.J.; Tocco, V.J.; Savage, P.E. A general kinetic model for the hydrothermal liquefaction of microalgae. Bioresour. Technol. 2014, 163, 123–127. [Google Scholar] [CrossRef]
- Teri, G.; Luo, L.; Savage, P.E. Hydrothermal treatment of protein, polysaccharide, and lipids alone and in mixtures. Energy Fuels 2014, 28, 7501–7509. [Google Scholar] [CrossRef]
- Chacón-Parra, A.; Lewis, D.; van Eyk, P. Elemental nitrogen balance, reaction kinetics and the effect of ethanol on the hydrothermal liquefaction of soy protein. Chem. Eng. J. 2021, 425, 130576. [Google Scholar] [CrossRef]
- Conde, T.A.; Zabetakis, I.; Tsoupras, A.; Medina, I.; Costa, M.; Silva, J.; Neves, B.; Domingues, P.; Domingues, M.R. Microalgal lipid extracts have potential to modulate the inflammatory response: A critical review. Int. J. Mol. Sci. 2021, 22, 9825. [Google Scholar] [CrossRef] [PubMed]
- Mimouni, V.; Couzinet-Mossion, A.; Ulmann, L.; Wielgosz-Collin, G. Chapter 5—Lipids from microalgae. In Microalgae in Health and Disease Prevention; Levine, I.A., Fleurence, J., Eds.; Academic Press: Cambridge, MA, USA, 2018; pp. 109–131. [Google Scholar] [CrossRef]
- Biller, P.; Ross, A.B. Potential yields and properties of oil from the hydrothermal liquefaction of microalgae with different biochemical content. Bioresour. Technol. 2011, 102, 215–225. [Google Scholar] [CrossRef] [PubMed]
- Pedersen, T.H.; Sharma, K.; Rosendahl, L.A. Understanding and predicting the solubility of bio-crude oils. Fuel 2020, 271, 117619. [Google Scholar] [CrossRef]
- Wu, L.; Li, L.; Li, B.; Zhao, C. Selective conversion of coconut oil to fatty alcohols in methanol over a hydrothermally prepared Cu/SiO2 catalyst without extraneous hydrogen. Chem. Commun. 2017, 53, 6152–6155. [Google Scholar] [CrossRef] [PubMed]
- Pedersen, T.H.; Jasiūnas, L.; Casamassima, L.; Singh, S.; Jensen, T.; Rosendahl, L.A. Synergetic hydrothermal co-liquefaction of crude glycerol and aspen wood. Energy Convers. Manag. 2015, 106, 886–891. [Google Scholar] [CrossRef]
- Holliday, R.L.; King, J.W.; List, G.R. Hydrolysis of vegetable oils in sub- and supercritical water. Ind. Eng. Chem. Res. 1997, 36, 932–935. [Google Scholar] [CrossRef]
- Gai, C.; Zhang, Y.; Chen, W.-T.; Zhang, P.; Dong, Y. An investigation of reaction pathways of hydrothermal liquefaction using Chlorella pyrenoidosa and Spirulina platensis. Energy Convers. Manag. 2015, 96, 330–339. [Google Scholar] [CrossRef]
- Basar, I.A.; Liu, H.; Carrere, H.; Trably, E.; Eskicioglu, C. A review on key design and operational parameters to optimize and develop hydrothermal liquefaction of biomass for biorefinery applications. Green Chem. 2021, 23, 1404–1446. [Google Scholar] [CrossRef]
- Déniel, M.; Haarlemmer, G.; Roubaud, A.; Weiss-Hortala, E.; Fages, J. Energy valorisation of food processing residues and model compounds by hydrothermal liquefaction. Renew. Sustain. Energy Rev. 2016, 54, 1632–1652. [Google Scholar] [CrossRef]
- Johnson, M.C.; Tester, J.W. Lipid transformation in hydrothermal processing of whole algal cells. Ind. Eng. Chem. Res. 2013, 52, 10988–10995. [Google Scholar] [CrossRef]
- Krammer, P.; Vogel, H. Hydrolysis of esters in subcritical and supercritical water. J. Supercrit. Fluids 2000, 16, 189–206. [Google Scholar] [CrossRef]
- Changi, S.; Pinnarat, T.; Savage, P.E. Modeling Hydrolysis and Esterification Kinetics for Biofuel Processes. Ind. Eng. Chem. Res. 2011, 50, 3206–3211. [Google Scholar] [CrossRef]
- Chacón-Parra, A.; Lewis, D.; van Eyk, P. The effect of ethanol as a homogeneous catalyst on the reaction kinetics of hydrothermal liquefaction of lipids. Chem. Eng. J. 2021, 414, 128832. [Google Scholar] [CrossRef]
- Torri, C.; Garcia Alba, L.; Samorì, C.; Fabbri, D.; Brilman, D.W.F. (Wim), Hydrothermal treatment (HTT) of microalgae: Detailed molecular characterization of HTT oil in view of HTT mechanism elucidation. Energy Fuels 2012, 26, 658–671. [Google Scholar] [CrossRef]
- López Barreiro, D.; Zamalloa, C.; Boon, N.; Vyverman, W.; Ronsse, F.; Brilman, W.; Prins, W. Influence of strain-specific parameters on hydrothermal liquefaction of microalgae. Bioresour. Technol. 2013, 146, 463–471. [Google Scholar] [CrossRef] [PubMed]
- Valdez, P.J.; Savage, P.E. A reaction network for the hydrothermal liquefaction of Nannochloropsis sp. Algal Res. 2013, 2, 416–425. [Google Scholar] [CrossRef]
- Vo, T.K.; Lee, O.K.; Lee, E.Y.; Kim, C.H.; Seo, J.-W.; Kim, J.; Kim, S.-S. Kinetics study of the hydrothermal liquefaction of the microalga Aurantiochytrium sp. KRS101. Chem. Eng. J. 2016, 306, 763–771. [Google Scholar] [CrossRef]
- Obeid, R.; Smith, N.; Lewis, D.M.; Hall, T.; van Eyk, P. A kinetic model for the hydrothermal liquefaction of microalgae, sewage sludge and pine wood with product characterisation of renewable crude. Chem. Eng. J. 2022, 428, 131228. [Google Scholar] [CrossRef]
- Lucian, M.; Fiori, L. Hydrothermal carbonization of waste biomass: Process design, modeling, energy efficiency and cost analysis. Energies 2017, 10, 211. [Google Scholar] [CrossRef]
- Ahmad, F.; Silva, E.L.; Varesche, M.B.A. Hydrothermal processing of biomass for anaerobic digestion—A review. Renew. Sustain. Energy Rev. 2018, 98, 108–124. [Google Scholar] [CrossRef]
- Rodriguez Correa, C.; Kruse, A. Supercritical water gasification of biomass for hydrogen production—Review. J. Supercrit. Fluids 2018, 133, 573–590. [Google Scholar] [CrossRef]
- Yang, C.; Wang, S.; Yang, J.; Xu, D.; Li, Y.; Li, J.; Zhang, Y. Hydrothermal liquefaction and gasification of biomass and model compounds: A review. Green Chem. 2020, 22, 8210–8232. [Google Scholar] [CrossRef]
- Heidari, M.; Dutta, A.; Acharya, B.; Mahmud, S. A review of the current knowledge and challenges of hydrothermal carbonization for biomass conversion. J. Energy Inst. 2019, 92, 1779–1799. [Google Scholar] [CrossRef]
- Wang, T.; Zhai, Y.; Zhu, Y.; Li, C.; Zeng, G. A review of the hydrothermal carbonization of biomass waste for hydrochar formation: Process conditions, fundamentals, and physicochemical properties. Renew. Sustain. Energy Rev. 2018, 90, 223–247. [Google Scholar] [CrossRef]
- Reddy, H.K.; Muppaneni, T.; Ponnusamy, S.; Sudasinghe, N.; Pegallapati, A.; Selvaratnam, T.; Seger, M.; Dungan, B.; Nirmalakhandan, N.; Schaub, T.; et al. Temperature effect on hydrothermal liquefaction of Nannochloropsis gaditana and Chlorella sp. Appl. Energy 2016, 165, 943–951. [Google Scholar] [CrossRef]
- Bayat, H.; Dehghanizadeh, M.; Jarvis, J.M.; Brewer, C.E.; Jena, U. Hydrothermal liquefaction of food waste: Effect of process parameters on product yields and chemistry. Front. Sustain. Food Syst. 2021, 5, 658592. [Google Scholar] [CrossRef]
- Gan, J.; Yuan, W. Operating condition optimization of corncob hydrothermal conversion for bio-oil production. Appl. Energy 2013, 103, 350–357. [Google Scholar] [CrossRef]
- Villaver, W.S.; Carpio, R.B.; Yap, K.J.; de Leon, R.L. Effects of temperature and reaction time on yield and properties of biocrude oil produced by hydrothermal liquefaction of Spirulina platensis. Int. J. Smart Grid Clean Energy 2018, 7, 32–41. [Google Scholar] [CrossRef]
- Zhang, B.; von Keitz, M.; Valentas, K. Thermal effects on hydrothermal biomass liquefaction. In Biotechnology for Fuels and Chemicals, ABAB Symposium; Adney, W.S., McMillan, J.D., Mielenz, J., Klasson, K.T., Eds.; Humana Press: Totowa, NJ, USA, 2008; pp. 511–518. [Google Scholar] [CrossRef]
- Brand, S.; Hardi, F.; Kim, J.; Suh, D.J. Effect of heating rate on biomass liquefaction: Differences between subcritical water and supercritical ethanol. Energy 2014, 68, 420–427. [Google Scholar] [CrossRef]
- Yang, J.; Niu, H.; Corscadden, K.; He, Q.; Zhou, N. MW-assisted hydrothermal liquefaction of spent coffee grounds. Can. J. Chem. Eng. 2022, 100, 1729–1738. [Google Scholar] [CrossRef]
- Bach, Q.-V.; Sillero, M.V.; Tran, K.-Q.; Skjermo, J. Fast hydrothermal liquefaction of a Norwegian macro-alga: Screening tests. Algal Res. 2014, 6, 271–276. [Google Scholar] [CrossRef]
- Faeth, J.L.; Valdez, P.J.; Savage, P.E. Fast hydrothermal liquefaction of Nannochloropsis sp. to produce biocrude. Energy Fuels 2013, 27, 1391–1398. [Google Scholar] [CrossRef]
- Tran, K.-Q. Fast hydrothermal liquefaction for production of chemicals and biofuels from wet biomass—The need to develop a plug-flow reactor. Bioresour. Technol. 2016, 213, 327–332. [Google Scholar] [CrossRef] [PubMed]
- Akhtar, J.; Amin, N.A.S. A review on process conditions for optimum bio-oil yield in hydrothermal liquefaction of biomass. Renew. Sustain. Energy Rev. 2011, 15, 1615–1624. [Google Scholar] [CrossRef]
- Venkatachalam, C.D.; Ravichandran, S.R.; Sengottian, M. Lignocellulosic and algal biomass for bio-crude production using hydrothermal liquefaction: Conversion techniques, mechanism and process conditions: A review. Environ. Eng. Res. 2022, 27, 1–17. [Google Scholar] [CrossRef]
- Yang, W.; Li, X.; Zhang, D.; Feng, L. Catalytic upgrading of bio-oil in hydrothermal liquefaction of algae major model components over liquid acids. Energy Convers. Manag. 2017, 154, 336–343. [Google Scholar] [CrossRef]
- Yin, S.; Mehrotra, A.K.; Tan, Z. Alkaline hydrothermal conversion of cellulose to bio-oil: Influence of alkalinity on reaction pathway change. Bioresour. Technol. 2011, 102, 6605–6610. [Google Scholar] [CrossRef] [PubMed]
- Baccile, N.; Laurent, G.; Babonneau, F.; Fayon, F.; Titirici, M.-M.; Antonietti, M. Structural characterization of hydrothermal carbon spheres by advanced solid-state MAS 13C NMR investigations. J. Phys. Chem. C 2009, 113, 9644–9654. [Google Scholar] [CrossRef]
- Kosinkova, J.; Ramirez, J.A.; Nguyen, J.; Ristovski, Z.; Brown, R.; Lin, C.S.K.; Rainey, T.J. Hydrothermal liquefaction of bagasse using ethanol and black liquor as solvents. Biofuels Bioprod. Biorefin. 2015, 9, 630–638. [Google Scholar] [CrossRef]
- Mansur, D.; Tago, T.; Masuda, T. Utilization of DDGS using ethanol solution for biocrude oil production by hydrothermal liquefaction. Biofuels 2018, 9, 325–330. [Google Scholar] [CrossRef]
- Han, Y.; Hoekman, K.; Jena, U.; Das, P. Use of co-solvents in hydrothermal liquefaction (HTL) of microalgae. Energies 2020, 13, 124. [Google Scholar] [CrossRef]
- Yuan, X.; Wang, J.; Zeng, G.; Huang, H.; Pei, X.; Li, H.; Liu, Z.; Cong, M. Comparative studies of thermochemical liquefaction characteristics of microalgae using different organic solvents. Energy 2011, 36, 6406–6412. [Google Scholar] [CrossRef]
- Yuan, X.Z.; Li, H.; Zeng, G.M.; Tong, J.Y.; Xie, W. Sub- and supercritical liquefaction of rice straw in the presence of ethanol–water and 2-propanol–water mixture. Energy 2007, 32, 2081–2088. [Google Scholar] [CrossRef]
- Zhang, J.; Zhang, Y. Hydrothermal liquefaction of microalgae in an ethanol–water co-Solvent to produce biocrude oil. Energy Fuels 2014, 28, 5178–5183. [Google Scholar] [CrossRef]
- Jena, U.; McCurdy, A.T.; Warren, A.; Summers, H.; Ledbetter, R.N.; Hoekman, S.K.; Seefeldt, L.C.; Quinn, J.C. Oleaginous yeast platform for producing biofuels via co-solvent hydrothermal liquefaction. Biotechnol. Biofuels. 2015, 8, 167. [Google Scholar] [CrossRef] [PubMed]
- Zhang, J.; Chen, W.-T.; Zhang, P.; Luo, Z.; Zhang, Y. Hydrothermal liquefaction of Chlorella pyrenoidosa in sub- and supercritical ethanol with heterogeneous catalysts. Bioresour. Technol. 2013, 133, 389–397. [Google Scholar] [CrossRef]
- Bi, Z.; Zhang, J.; Peterson, E.; Zhu, Z.; Xia, C.; Liang, Y.; Wiltowski, T. Biocrude from pretreated sorghum bagasse through catalytic hydrothermal liquefaction. Fuel 2017, 188, 112–120. [Google Scholar] [CrossRef]
- Chang, C.-C.; Chen, C.-P.; Yang, C.-S.; Chen, Y.-H.; Huang, M.; Chang, C.-Y.; Shie, J.-L.; Yuan, M.-H.; Chen, Y.-H.; Ho, C.; et al. Conversion of waste bamboo chopsticks to bio-oil via catalytic hydrothermal liquefaction using K2CO3. Sustain. Environ. Res. 2016, 26, 262–267. [Google Scholar] [CrossRef]
- Jena, U.; Das, K.C.; Kastner, J.R. Comparison of the effects of Na2CO3, Ca3(PO4)2, and NiO catalysts on the thermochemical liquefaction of microalga Spirulina platensis. Appl. Energy 2012, 98, 368–375. [Google Scholar] [CrossRef]
- Muppaneni, T.; Reddy, H.K.; Selvaratnam, T.; Dandamudi, K.P.R.; Dungan, B.; Nirmalakhandan, N.; Schaub, T.; Omar Holguin, F.; Voorhies, W.; Lammers, P.; et al. Hydrothermal liquefaction of Cyanidioschyzon merolae and the influence of catalysts on products. Bioresour. Technol. 2017, 223, 91–97. [Google Scholar] [CrossRef] [PubMed]
- Nazari, L.; Yuan, Z.; Souzanchi, S.; Ray, M.B.; Xu, C. Hydrothermal liquefaction of woody biomass in hot-compressed water: Catalyst screening and comprehensive characterization of bio-crude oils. Fuel 2015, 162, 74–83. [Google Scholar] [CrossRef]
- Shakya, R.; Whelen, J.; Adhikari, S.; Mahadevan, R.; Neupane, S. Effect of temperature and Na2CO3 catalyst on hydrothermal liquefaction of algae. Algal Res. 2015, 12, 80–90. [Google Scholar] [CrossRef]
- Wang, Y.; Wang, H.; Lin, H.; Zheng, Y.; Zhao, J.; Pelletier, A.; Li, K. Effects of solvents and catalysts in liquefaction of pinewood sawdust for the production of bio-oils. Biomass Bioenergy 2013, 59, 158–167. [Google Scholar] [CrossRef]
- Zhu, Z.; Toor, S.S.; Rosendahl, L.; Chen, G. Analysis of product distribution and characteristics in hydrothermal liquefaction of barley straw in subcritical and supercritical water. Environ. Prog. Sustain. Energy 2014, 33, 737–743. [Google Scholar] [CrossRef]
- Zhu, Z.; Toor, S.S.; Rosendahl, L.A.; Yu, D.; Chen, G. Influence of alkali catalyst on product yield and properties via hydrothermal liquefaction of barley straw. Energy 2015, 80, 284–292. [Google Scholar] [CrossRef]
- Karagöz, S.; Bhaskar, T.; Muto, A.; Sakata, Y.; Oshiki, T.; Kishimoto, T. Low-temperature catalytic hydrothermal treatment of wood biomass: Analysis of liquid products. Chem. Eng. J. 2005, 108, 127–137. [Google Scholar] [CrossRef]
- Liu, Q.; Zhang, G.; Liu, M.; Kong, G.; Xu, R.; Han, L.; Zhang, X. Fast hydrothermal liquefaction coupled with homogeneous catalysts to valorize livestock manure for enhanced biocrude oil and hydrochar production. Renew. Energy 2022, 198, 521–533. [Google Scholar] [CrossRef]
- Toor, S.S.; Rosendahl, L.; Rudolf, A. Hydrothermal liquefaction of biomass: A review of subcritical water technologies. Energy 2011, 36, 2328–2342. [Google Scholar] [CrossRef]
- Long, J.; Li, Y.; Zhang, X.; Tang, L.; Song, C.; Wang, F. Comparative investigation on hydrothermal and alkali catalytic liquefaction of bagasse: Process efficiency and product properties. Fuel 2016, 186, 685–693. [Google Scholar] [CrossRef]
- Tekin, K.; Karagöz, S. Non-catalytic and catalytic hydrothermal liquefaction of biomass. Res. Chem. Intermed. 2012, 39, 485–498. [Google Scholar] [CrossRef]
- Yim, S.C.; Quitain, A.T.; Yusup, S.; Sasaki, M.; Uemura, Y.; Kida, T. Metal oxide-catalyzed hydrothermal liquefaction of Malaysian oil palm biomass to bio-oil under supercritical condition. J. Supercrit. Fluids 2017, 120, 384–394. [Google Scholar] [CrossRef]
- Chen, Y.; Dong, L.; Miao, J.; Wang, J.; Zhu, C.; Xu, Y.; Chen, G.; Liu, J. Hydrothermal liquefaction of corn straw with mixed catalysts for the production of bio-oil and aromatic compounds. Bioresour. Technol. 2019, 294, 122148. [Google Scholar] [CrossRef] [PubMed]
- Cheng, S.; Wei, L.; Alsowij, M.; Corbin, F.; Boakye, E.; Gu, Z.; Raynie, D.; Cheng, S.; Wei, L.; Alsowij, M.; et al. Catalytic hydrothermal liquefaction (HTL) of biomass for bio-crude production using Ni/HZSM-5 catalysts. AIMS Environ. Sci. 2017, 4, 417–430. [Google Scholar] [CrossRef]
- de Caprariis, B.; Bavasso, I.; Bracciale, M.P.; Damizia, M.; De Filippis, P.; Scarsella, M. Enhanced bio-crude yield and quality by reductive hydrothermal liquefaction of oak wood biomass: Effect of iron addition. J. Anal. Appl. Pyrolysis 2019, 139, 123–130. [Google Scholar] [CrossRef]
- de Caprariis, B.; Bracciale, M.P.; Bavasso, I.; Chen, G.; Damizia, M.; Genova, V.; Marra, F.; Paglia, L.; Pulci, G.; Scarsella, M.; et al. Unsupported Ni metal catalyst in hydrothermal liquefaction of oak wood: Effect of catalyst surface modification. Sci. Total Environ. 2020, 709, 136215. [Google Scholar] [CrossRef]
- Liu, C.; Kong, L.; Wang, Y.; Dai, L. Catalytic hydrothermal liquefaction of spirulina to bio-oil in the presence of formic acid over palladium-based catalysts. Algal Res. 2018, 33, 156–164. [Google Scholar] [CrossRef]
- Miyata, Y.; Sagata, K.; Hirose, M.; Yamazaki, Y.; Nishimura, A.; Okuda, N.; Arita, Y.; Hirano, Y.; Kita, Y. Fe-assisted hydrothermal liquefaction of lignocellulosic biomass for producing high-grade bio-oil. ACS Sustain. Chem. Eng. 2017, 5, 3562–3569. [Google Scholar] [CrossRef]
- Tavasoli, A.; Barati, M.; Karimi, A. Conversion of sugarcane bagasse to gaseous and liquid fuels in near-critical water media using K2O promoted Cu/γ-Al2O3–MgO nanocatalysts. Biomass Bioenergy 2015, 80, 63–72. [Google Scholar] [CrossRef]
- Cheng, S.; Wei, L.; Rabnawaz, M. Catalytic liquefaction of pine sawdust and in-situ hydrogenation of bio-crude over bifunctional Co-Zn/HZSM-5 catalysts. Fuel 2018, 223, 252–260. [Google Scholar] [CrossRef]
- Tong, Y.; Yang, T.; Li, B.; Song, H.; Kai, X.; Li, R. Transition metal load HZSM-5 catalyst assisted hydrothermal conversion of sewage sludge: Nitrogen transformation mechanism and denitrification effectiveness ofbio-oil. J. Energy Inst. 2023, 108, 101070. [Google Scholar] [CrossRef]
- Guan, H.; Ding, W.; Liu, S.; Zhao, B.; Zhang, H.; Zhong, C.; Chen, B.; Song, A.; Zhu, D.; Li, H.; et al. Catalytic hydrothermal liquefaction of Chinese herb residue for the production of high-quality bio-oil. Int. J. Hydrogen Energy 2023, 48, 11205–11213. [Google Scholar] [CrossRef]
- Liu, Y.; Du, H.; Meng, Y.; Lu, S.; Zhang, J.; Wang, H. Catalytic hydrothermal liquefaction of microalgae over reduced graphene oxide support Ni catalyst. Fuel Process. Technol. 2023, 242, 107653. [Google Scholar] [CrossRef]
- Mukundan, S.; Xuan, J.; Dann, S.E.; Wagner, J.L. Highly active and magnetically recoverable heterogeneous catalyst for hydrothermal liquefaction of biomass into high quality bio-oil. Bioresour. Technol. 2023, 369, 128479. [Google Scholar] [CrossRef] [PubMed]
- Ding, X.; Mahadevan Subramanya, S.; Wang, Y.; Savage, P.E. Hydrothermal liquefaction of starch using homogeneous and heterogeneous co-catalysts. Chem. Eng. J. 2023, 468, 143570. [Google Scholar] [CrossRef]
- Chen, Y.; Duan, P.; Dong, L.; Zhu, C.; Jin, L.; Tian, F. The study of hydrothermal liquefaction of corn straw with Nano ferrite + inorganic base catalyst system at low temperature. Bioresour. Technol. 2021, 333, 125185. [Google Scholar] [CrossRef]
- Scarsella, M.; de Caprariis, B.; Damizia, M.; De Filippis, P. Heterogeneous catalysts for hydrothermal liquefaction of lignocellulosic biomass: A review. Biomass Bioenergy 2020, 140, 105662. [Google Scholar] [CrossRef]
- Chen, C.-Y.; Chen, W.-H.; Lim, S.; Ong, H.C.; Ubando, A.T. Synergistic interaction and biochar improvement over co-torrefaction of intermediate waste epoxy resins and fir. Environ. Technol. Innov. 2021, 21, 101218. [Google Scholar] [CrossRef]
- Biswas, B.; Kumar, A.; Kaur, R.; Krishna, B.B.; Bhaskar, T. Co-hydrothermal Liquefaction of Lignin and Macroalgae: Effect of Process Parameters on Product Distribution. Bioenerg. Res. 2023, 16, 33–44. [Google Scholar] [CrossRef]
- Sudibyo, H.; Tester, J.W. Sustainable Resource Recovery from Dairy Waste: A Case Study of Hydrothermal Co-liquefaction of Acid Whey and Anaerobic Digestate Mixture. Energy Fuels 2023, 37, 2897–2911. [Google Scholar] [CrossRef]
- dos Passos, J.S.; Straka, P.; Auersvald, M.; Biller, P. Upgrading of hydrothermal liquefaction biocrudes from mono- and co-liquefaction of cow manure and wheat straw through hydrotreating and distillation. Chem. Eng. J. 2023, 452, 139636. [Google Scholar] [CrossRef]
- Mukundan, S.; Wagner, J.L.; Annamalai, P.K.; Ravindran, D.S.; Krishnapillai, G.K.; Beltramini, J. hydrothermal co-liquefaction of biomass and plastic wastes into biofuel: Study on catalyst property, product distribution and synergistic effects. Fuel Process. Technol. 2022, 238, 107523. [Google Scholar] [CrossRef]
- Saral, J.S.; Ranganathan, P. A hydrothermal co-liquefaction of spirulina platensis with rice husk, coconut shell and HDPE for biocrude production. Bioresour. Technol. 2022, 363, 127911. [Google Scholar] [CrossRef] [PubMed]
- Adedeji, O.M.; Russack, J.S.; Molnar, L.A.; Bauer, S.K. Co-Hydrothermal Liquefaction of Sewage Sludge and Beverage Waste for High-Quality Bio-energy Production. Fuel 2022, 324, 124757. [Google Scholar] [CrossRef]
- Ellersdorfer, M. Hydrothermal co-liquefaction of chlorella vulgaris with food processing residues, green waste and sewage sludge. Biomass Bioenergy 2020, 142, 105796. [Google Scholar] [CrossRef]
- Yuan, C.; Wang, S.; Cao, B.; Hu, Y.; Abomohra, A.E.-F.; Wang, Q.; Qian, L.; Liu, L.; Liu, X.; He, Z.; et al. Optimization of hydrothermal co-liquefaction of seaweeds with lignocellulosic biomass: Merging 2nd and 3rd generation feedstocks for enhanced bio-oil production. Energy 2019, 173, 413–422. [Google Scholar] [CrossRef]
- Souza dos Passos, J.; Glasius, M.; Biller, P. Hydrothermal Co-Liquefaction of Synthetic Polymers and Miscanthus giganteus: Synergistic and Antagonistic Effects. ACS Sustain. Chem. Eng. 2020, 8, 19051–19061. [Google Scholar] [CrossRef]
- Anyaoha, K.E. Synergistic perspective on biomass co-utilization in thermo-chemical processes. Bioresour. Technol. Rep. 2022, 18, 101043. [Google Scholar] [CrossRef]
- Yan, S.; Xia, D.; Zhang, X.; Liu, X. Synergistic mechanism of enhanced biocrude production during hydrothermal co-liquefaction of biomass model components: A molecular dynamics simulation. Energy 2022, 255, 124561. [Google Scholar] [CrossRef]
- Chenoweth, K.; van Duin, A.C.T.; Goddard, W.A. ReaxFF Reactive Force Field for Molecular Dynamics Simulations of Hydrocarbon Oxidation. J. Phys. Chem. A 2008, 112, 1040–1053. [Google Scholar] [CrossRef]
- Zhang, G.; Wang, K.; Liu, Q.; Han, L.; Zhang, X. A Comprehensive Hydrothermal Co-Liquefaction of Diverse Biowastes for Energy-Dense Biocrude Production: Synergistic and Antagonistic Effects. Int. J. Env. Res. Public Health 2022, 19, 10499. [Google Scholar] [CrossRef] [PubMed]
- Silva Thomsen, L.B.; Anastasakis, K.; Biller, P. Hydrothermal Liquefaction Potential of Wastewater Treatment Sludges: Effect of Wastewater Treatment Plant and Sludge Nature on Products Distribution. Fuel 2024, 355, 129525. [Google Scholar] [CrossRef]
- dos Passos, J.S.; Chiaberge, S.; Biller, P. Combined Hydrothermal Liquefaction of Polyurethane and Lignocellulosic Biomass for Improved Carbon Recovery. Energy Fuels 2021, 35, 10630–10640. [Google Scholar] [CrossRef]
- Kulikova, Y.; Babich, O.; Tsybina, A.; Sukhikh, S.; Mokrushin, I.; Noskova, S.; Orlov, N. Feasibility of Thermal Utilization of Primary and Secondary Sludge from a Biological Wastewater Treatment Plant in Kaliningrad City. Energies 2022, 15, 5639. [Google Scholar] [CrossRef]
- Hossain, M.R.; Khalekuzzaman, M.; Kabir, S.B.; Islam, M.B.; Bari, Q.H. Enhancing Faecal Sludge Derived Biocrude Quality and Productivity Using Peat Biomass through Co-Hydrothermal Liquefaction. J. Clean. Prod. 2022, 335, 130371. [Google Scholar] [CrossRef]
- Balsamo, M.; Di Lauro, F.; Alfieri, M.L.; Manini, P.; Salatino, P.; Montagnaro, F.; Solimene, R. Unravelling the Role of Biochemical Compounds within the Hydrothermal Liquefaction Process of Real Sludge Mixtures. Sustainability 2024, 16, 1770. [Google Scholar] [CrossRef]
- Lu, J.; Fan, G.; Yang, M.; Wu, Y. Origin of Carbon in the Bio-Oil from Hydrothermal Liquefaction of Protein and Glucose via Isotopic Labeling. Fuel 2022, 308, 121941. [Google Scholar] [CrossRef]
- Qiu, Y.; Aierzhati, A.; Cheng, J.; Guo, H.; Yang, W.; Zhang, Y. Biocrude Oil Production through the Maillard Reaction between Leucine and Glucose during Hydrothermal Liquefaction. Energy Fuels 2019, 33, 8758–8765. [Google Scholar] [CrossRef]
- Chacón-Parra, A.D.; Hall, P.A.; Lewis, D.M.; Glasius, M.; van Eyk, P.J. Elucidating the Maillard Reaction Mechanism in the Hydrothermal Liquefaction of Binary Model Compound Mixtures and Spirulina. ACS Sustain. Chem. Eng. 2022, 10, 10989–11003. [Google Scholar] [CrossRef]
- Lu, P.; Shu, D.; Chi, Y.; Chen, D.; Zeng, H. Interactions Between Carbohydrate and Protein During Hydrothermal Liquefaction of Food Waste. Environ. Eng. Sci. 2021, 38, 547–554. [Google Scholar] [CrossRef]
- Beims, R.F.; Hu, Y.; Shui, H.; Xu, C. Hydrothermal Liquefaction of Biomass to Fuels and Value-Added Chemicals: Products Applications and Challenges to Develop Large-Scale Operations. Biomass Bioenergy 2020, 135, 105510. [Google Scholar] [CrossRef]
- Guo, B.; Yang, B.; Weil, P.; Zhang, S.; Hornung, U.; Dahmen, N. The Effect of Dichloromethane on Product Separation during Continuous Hydrothermal Liquefaction of Chlorella Vulgaris and Aqueous Product Recycling for Algae Cultivation. Energy Fuels 2022, 36, 922–931. [Google Scholar] [CrossRef]
- Kilgore, U.; Diaz, E.; Spry, B.; Jiang, Y.; Li, S.; Schmidt, A.; Thorson, M.R. Solvent Processing for Improved Separation of Hydrothermal Liquefaction Products. Sustain. Energy Fuels 2024, 8, 3279–3289. [Google Scholar] [CrossRef]
- Jahromi, H.; Rahman, T.; Roy, P.; Adhikari, S. Hydrotreatment of Solvent-Extracted Biocrude from Hydrothermal Liquefaction of Municipal Sewage Sludge. Energy Convers. Manag. 2022, 263, 115719. [Google Scholar] [CrossRef]







Disclaimer/Publisher’s Note: The statements, opinions and data contained in all publications are solely those of the individual author(s) and contributor(s) and not of MDPI and/or the editor(s). MDPI and/or the editor(s) disclaim responsibility for any injury to people or property resulting from any ideas, methods, instructions or products referred to in the content. |
© 2025 by the authors. Licensee MDPI, Basel, Switzerland. This article is an open access article distributed under the terms and conditions of the Creative Commons Attribution (CC BY) license (https://creativecommons.org/licenses/by/4.0/).
Share and Cite
Ahmad, F.; Doddapaneni, T.R.K.C.; Toor, S.S.; Kikas, T. Reaction Mechanism and Kinetics of Hydrothermal Liquefaction at Sub- and Supercritical Conditions: A Review. Biomass 2025, 5, 9. https://doi.org/10.3390/biomass5010009
Ahmad F, Doddapaneni TRKC, Toor SS, Kikas T. Reaction Mechanism and Kinetics of Hydrothermal Liquefaction at Sub- and Supercritical Conditions: A Review. Biomass. 2025; 5(1):9. https://doi.org/10.3390/biomass5010009
Chicago/Turabian StyleAhmad, Fiaz, Tharaka Rama Krishna C. Doddapaneni, Saqib Sohail Toor, and Timo Kikas. 2025. "Reaction Mechanism and Kinetics of Hydrothermal Liquefaction at Sub- and Supercritical Conditions: A Review" Biomass 5, no. 1: 9. https://doi.org/10.3390/biomass5010009
APA StyleAhmad, F., Doddapaneni, T. R. K. C., Toor, S. S., & Kikas, T. (2025). Reaction Mechanism and Kinetics of Hydrothermal Liquefaction at Sub- and Supercritical Conditions: A Review. Biomass, 5(1), 9. https://doi.org/10.3390/biomass5010009

