Impact of Aphis fabae Scopoli Infestation on Biochemical and Physiological Stress Markers in Faba Bean (Vicia faba L.)
Abstract
1. Introduction
2. Materials and Methods
2.1. Experimental Design
2.2. Determination of A. fabae Infestation—Visual Screening of Biotic Stress
2.3. Plant Sampling
2.4. Chemicals and Instruments
2.5. Biochemical Status in Vicia faba
2.5.1. Determination of Catalase Activity
2.5.2. Determination of Superoxide Dismutase Activity
2.5.3. Determination of Nitrate Reductase Activity
2.5.4. Determination of Lipid Peroxidation Intensity Level
2.5.5. Determination of the Amount of Reduced Glutathione
2.5.6. Determination of Proline Content
2.6. Physiological Status in Vicia faba Plants
Leaf Chlorophyll and Carotenoid Levels
2.7. Statistical Analysis
3. Results
3.1. Biochemical Parameters in V. faba Plants Under Biotic Stress
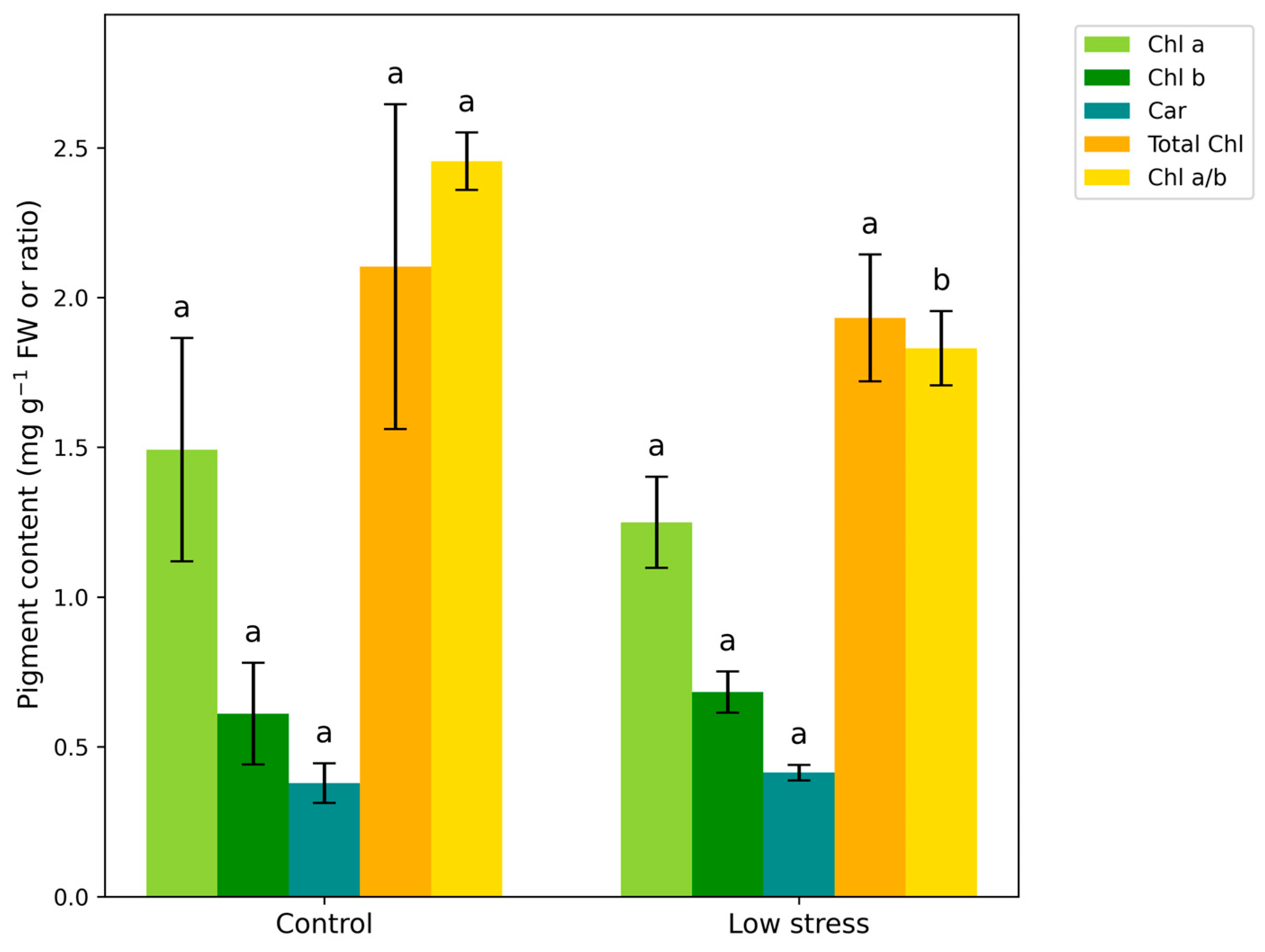
3.2. Physiological Responses of V. faba Plants Under Biotic Stress
3.3. Multivariate Analyses (CDA and CA) of V. Faba Biochemical Stress Parameters
3.4. One-Way ANOVA of V. faba Biochemical Stress Parameters
4. Discussion
5. Conclusions
Author Contributions
Funding
Data Availability Statement
Conflicts of Interest
References
- Singh, A.K.; Bhatt, B.P.; Upadhyaya, A.; Kumar, S.; Sundaram, P.K.; Singh, B.K.; Chandra, N.; Bharati, R.C. Improvement of faba bean (Vicia faba L.) yield and quality through biotechnological approach: A review. Afr. J. Biotechnol. 2012, 11, 15264–15271. [Google Scholar] [CrossRef]
- Atnafu, D.; Wobale, Z. Review on effect of seed sources and sizes on faba bean (Vicia faba L.) production in Ethiopia: Review. Am. J. Plant Biol. 2025, 10, 26–34. [Google Scholar] [CrossRef]
- Fan, F.; Zhang, F.; Song, Y.; Sun, J.; Bao, X.; Guo, T.; Li, L. Nitrogen fixation of faba bean (Vicia faba L.) interacting with a non-legume in two contrasting intercropping systems. Plant Soil 2006, 283, 275–286. [Google Scholar] [CrossRef]
- Jithesh, T.; James, E.K.; Iannetta, P.P.M.; Howard, B.; Dickin, E.; Monaghan, J.M. Recent progress and potential future directions to enhance biological nitrogen fixation in faba bean (Vicia faba L.). Plant Environ. Interact. 2024, 5, e10145. [Google Scholar] [CrossRef]
- Béji, B.; Bouhachem, S.; Bouktila, D.; Mezghani Khemakhem, M.; Salah, R.; Kharrat, M.; Makni, M.; Makni, H. Identification of sources of resistance to the black bean aphid, Aphis fabae Scopoli, in faba bean (Vicia faba L.) accessions. J. Crop Prot. 2015, 2015, 217–224. [Google Scholar]
- Feng, Z.; Morton, J.D.; Maes, E.; Kumar, L.; Serventi, L. Exploring faba beans (Vicia faba L.): Bioactive compounds, cardiovascular health, and processing insights. Crit. Rev. Food Sci. Nutr. 2025, 65, 4354–4367. [Google Scholar] [CrossRef]
- Bulti, M.; Meseret, C.; Mulatu, W. Reconsidering the economic and nutritional importance of faba bean in Ethiopian context. Cogent Food Agric. 2019, 5, 1683938. [Google Scholar] [CrossRef]
- Bond, D.A.; Lawes, D.A.; Hawtin, G.C.; Saxena, M.C.; Stephens, J.S. Faba bean (Vicia faba L.). In Grain Legume Crops; Summerfield, R.J., Roberts, E.H., Eds.; William Collins Sons Co., Ltd.: London, UK, 1985; pp. 199–265. [Google Scholar]
- Munyasa, A.J. Evaluation of Drought Tolerance Mechanisms in Mesoamerican Dry Bean Genotypes. Ph.D. Thesis, University of Nairobi, Nairobi, Kenya, 2013. [Google Scholar]
- Chaker, B.; Ali, B.B.; Hmed, B.N. A review of the management of Aphis fabae Scopoli (Hemiptera: Aphididae). J. Oasis Agric. Sustain. Dev. 2021, 3, 32–44. [Google Scholar]
- Shannag, H.K. Effect of black bean aphid, Aphis fabae, on transpiration, stomatal conductance and crude protein content of faba bean. Ann. Appl. Biol. 2007, 151, 183–188. [Google Scholar] [CrossRef]
- Holman, J. The aphids and their host plants. In Host Plant Catalog of Aphids: Palaearctic Region; Springer: Berlin/Heidelberg, Germany, 2009; pp. 7–651. [Google Scholar]
- Petrović-Obradović, O. Biljne Vaši (Homoptera: Aphididae) Srbije; Poljoprivredni Fakultet Univerziteta u Beogradu: Beograd, Serbia, 2003. [Google Scholar]
- Blackman, R.L.; Eastop, V.F. Aphids on the World’s Crops: An Identification and Information Guide, 2nd ed.; John Wiley and Sons: Chichester, UK, 2000; p. 476. [Google Scholar]
- Goggin, F.L. Plant-aphid interactions: Molecular and ecological perspectives. Curr. Opin. Plant Biol. 2007, 10, 399–408. [Google Scholar] [CrossRef]
- Maalouf, F.; Hu, J.; O’Sullivan, D.M.; Zong, X.; Hamwieh, A.; Kumar, S.; Baum, M. Breeding and genomics status in faba bean (Vicia faba). Plant Breed. 2019, 138, 465–473. [Google Scholar] [CrossRef]
- Pincebourde, S.; Ngao, J. The impact of phloem feeding insects on leaf ecophysiology varies with leaf age. Front. Plant Sci. 2021, 12, 625689. [Google Scholar] [CrossRef]
- Backus, E.; Lin, P.-A.; Chang, C.J.; Shih, H.-T. Electropenetrography: A new diagnostic technology for study of feeding behavior of piercing-sucking insects. J. Taiwan Agric. Res. 2015, 65, 219–237. [Google Scholar] [CrossRef]
- Nikolova, I. Stability of Vicia faba L. cultivars and responsible traits for Aphis fabae Scopoli, 1763 preference. Acta Agric. Slov. 2023, 119, 2680. [Google Scholar] [CrossRef]
- Goławska, S.; Łukasik, I.; Goławski, A. Black bean aphid populations and chlorophyll composition changes as responses of guelder rose to aphid infestation stress conditions. Acta Sci. Pol. Hortorum Cultus 2023, 22, 3–12. [Google Scholar] [CrossRef]
- Saeidan, A.; Caulfield, J.; Vuts, J.; Yang, N.; Fisk, I. Detection of aphid infestation on faba bean (Vicia faba L.) by hyperspectral imaging and spectral information divergence methods. J. Plant Dis. Prot. 2025, 132, 109. [Google Scholar] [CrossRef] [PubMed]
- Pawełek, A.; Wyszkowska, J.; Cecchetti, D.; Dinka, M.D.; Przybylski, K.; Szmidt-Jaworska, A. The Physiological and Biochemical Response of Field Bean (Vicia faba L. (partim)) to Electromagnetic Field Exposure Is Influenced by Seed Age, Light Conditions, and Growth Media. Agronomy 2022, 12, 2161. [Google Scholar] [CrossRef]
- Dziwulska-Hunek, A.; Myśliwa-Kurdziel, B.; Matwijczuk, A.; Szymanek, M. A case study in photosynthetic parameters of perennial plants growing in natural conditions. BMC Plant Biol. 2025, 25, 1044. [Google Scholar] [CrossRef]
- Poljaković-Pajnik, L.; Nikolić, N.; Kovačević, B.; Vasić, V.; Drekić, M.; Orlović, S.; Kesić, L. Aphid Colonisation’s Impact on Photosynthetic and CHN Traits in Three Ornamental Shrubs. Insects 2024, 15, 694. [Google Scholar] [CrossRef]
- Ederli, L.; Brunetti, C.; Centritto, M.; Colazza, S.; Frati, F.; Loreto, F.; Marino, G.; Salerno, G.; Pasqualini, S. Infestation of Broad Bean (Vicia faba) by the Green Stink Bug (Nezara viridula) Decreases Shoot Abscisic Acid Contents under Well-Watered and Drought Conditions. Front. Plant Sci. 2017, 8, 959. [Google Scholar] [CrossRef] [PubMed]
- Sytykiewicz, H.; Czerniewicz, P.; Sprawka, I.; Krzyżanowski, R. Chlorophyll content of aphid-infested seedlings leaves of fifteen maize genotypes. Acta Biol. Cracov. Bot. 2013, 55, 51–60. [Google Scholar] [CrossRef]
- Barcanua, E.; Agapie, O.L.; Gherase, I.; Tănase, B.E.; Dobre, G.; Vînātoru, C. Screening of Vicia faba accessions to abiotic and biotic stresses under field conditions. Acta Hortic. 2023, 1384, 50. [Google Scholar] [CrossRef]
- Skovgard, H.; Stoddard, F.L. Reproductive potential of the black bean aphid (Aphis fabae Scop.) on a range of faba bean (Vicia faba L.) accessions. Legume Sci. 2023, 5, e199. [Google Scholar] [CrossRef]
- Banks, C.J. A method for estimating populations and counting large numbers of Aphis fabae Scop. Bull. Entomol. Res. 1954, 45, 751–756. [Google Scholar] [CrossRef]
- Aebi, H. Catalase. In Methods of Enzymatic Analysis; Bergmeyer, H.U., Ed.; Elsevier: Amsterdam, The Netherlands, 1974; pp. 673–684. [Google Scholar]
- Bradford, M.M. A rapid and sensitive method for the quantitation of microgram quantities of protein utilizing the principle of protein-dye binding. Anal. Biochem. 1976, 72, 248–254. [Google Scholar] [CrossRef] [PubMed]
- Giannopolitis, C.N.; Ries, S.K. Superoxide dismutases: I. Occurrence in higher plants. Plant Physiol. 1977, 59, 309–314. [Google Scholar] [CrossRef] [PubMed]
- Hageman, R.H.; Reed, A.J. Nitrate reductase from higher plants. In Methods in Enzymology; San Pietro, A., Ed.; Academic Press: New York, NY, USA, 1980; Volume 69, pp. 270–280. [Google Scholar] [CrossRef]
- Heath, R.L.; Packer, L. Photoperoxidation in isolated chloroplasts. I. Kinetics and stoichiometry of fatty acid peroxidation. Arch. Biochem. Biophys. 1968, 125, 189–198. [Google Scholar] [CrossRef]
- Sahoo, S.; Awasthi, J.P.; Sunkar, R.; Panda, S.K. Determining glutathione levels in plants. In Plant Stress Tolerance: Methods in Molecular Biology; Clifton, N.J., Ed.; Humana Press: New York, NY, USA, 2017; pp. 273–277. [Google Scholar] [CrossRef]
- Sedlak, J.; Lindsay, R.H. Estimation of total, protein-bound, and nonprotein sulfhydryl groups in tissue with Ellman’s reagent. Anal. Biochem. 1968, 25, 192–205. [Google Scholar] [CrossRef]
- Bates, L.S.; Waldren, R.P.; Teare, I.D. Rapid determination of free proline for water-stress studies. Plant Soil 1973, 39, 205–207. [Google Scholar] [CrossRef]
- Lichtenthaler, H.K. Chlorophylls and Carotenoids: Pigments of Photosynthetic Biomembranes. In Methods in Enzymology; Plant Cell Membranes; Academic Press: San Diego, CA, USA, 1987; Volume 148, pp. 350–382. [Google Scholar]
- Ramn, C.; Saathoff, A.; Donze, T.; Heng-Moss, T.; Baxendale, F.; Twigg, P.; Baird, L.; Amundsen, K. Expression profiling of four defense-related buffalo grass transcripts in response to chinch bug (Hemiptera: Blissidae) feeding. J. Econ. Entomol. 2013, 106, 2568–2576. [Google Scholar]
- Cao, H.H.; Pan, M.Z.; Liu, H.R.; Wang, S.H.; Liu, T.X. Antibiosis and tolerance but not antixenosis to the grain aphid, Sitobion avenae (Hemiptera: Aphididae), are essential mechanisms of resistance in a wheat cultivar. Bull. Entomol. Res. 2015, 105, 448–455. [Google Scholar] [CrossRef] [PubMed]
- Ndakidemi, B.; Mbega, E.; Ndakidemi, P.; Stevenson, P.C.; Belmain, S.R.; Arnold, S.E.J.; Woolley, V. Natural pest regulation and its compatibility with other crop protection practices in smallholder bean farming systems. Biology 2021, 10, 805. [Google Scholar] [CrossRef]
- Trotta, V.; Toma, I.; Forlano, P.; Fanti, P.; Prieto, J.D.; Battaglia, D. The age of tomato plants affects the development of Macrosiphum euphorbia (Thomas, 1878) (Hemiptera) colonies. Agron. Colomb. 2021, 39, 108–112. [Google Scholar] [CrossRef]
- Hasanuzzaman, M.; Fujita, M. Plant oxidative stress: Biology, physiology and mitigation. Plants 2022, 11, 1185. [Google Scholar] [CrossRef]
- Soffan, A.; Alghamdi, S.S.; Aldawood, A.S. Peroxidase and polyphenol oxidase activity in moderate resistant and susceptible Vicia faba induced by Aphis craccivora (Hemiptera: Aphididae) infestation. J. Insect Sci. 2014, 14, 285. [Google Scholar] [CrossRef] [PubMed] [PubMed Central]
- Štolfa, I.; Pfeiffer, T.Ž.; Špoljarić, D.; Teklić, T.; Lončarić, Z. Heavy metal-induced oxidative stress in plants: Response of the antioxidative system. In Reactive Oxygen Species and Oxidative Damage in Plants Under Stress; Gupta, D., Palma, J., Corpas, F., Eds.; Springer: Cham, Switzerland, 2015; pp. 127–163. [Google Scholar] [CrossRef]
- Zhao, H.; Sun, X.; Xue, M.; Zhang, X.; Li, Q. Antioxidant enzyme responses induced by whiteflies in tobacco plants in defense against aphids: Catalase may play a dominant role. PLoS ONE 2016, 11, e0165454. [Google Scholar] [CrossRef]
- Reddy, A.R.; Chaitanya, K.V.; Vivekanandan, M. Drought-induced responses of photosynthesis and antioxidant metabolism in higher plants. J. Plant Physiol. 2004, 161, 1189–1202. [Google Scholar] [CrossRef]
- San, S.; Dodda Chowdappa, S.; Krishnan, V.; Awana, M.; Singh, A.; Bhowmik, A.; Singh, R.; Chander, S. Effects of Helicoverpa armigera (Hubner) infestation on metabolic sensors dynamics in chickpea. Allelopath. J. 2022, 57, 81–106. [Google Scholar] [CrossRef]
- Kunos, V.; Cséplő, M.; Seress, D.; Eser, A.; Kende, Z.; Uhrin, A.; Bányai, J.; Bakonyi, J.; Pál, M.; Mészáros, K. The stimulation of superoxide dismutase enzyme activity and its relation with the Pyrenophora teres f. teres infection in different barley genotypes. Sustainability 2022, 14, 2597. [Google Scholar] [CrossRef]
- Kusnierczyk, A.; Winge, P.; Jørstad, T.S.; Reese, J.C.; Troczyńska, J.; Bones, A.M. Biochemical and transcriptional responses of Medicago truncatula to aphid feeding. Mol. Plant-Microbe Interact. 2008, 21, 647–658. [Google Scholar]
- Chen, S.; Wang, W.; Zhang, H.; Zhao, X. Antioxidant enzyme activities and ROS dynamics in potato leaves during Phytophthora infestans infection. Plant Physiol. Biochem. 2019, 142, 318–326. [Google Scholar] [CrossRef]
- Liu, Y.; Wang, X.; Li, Q. Oxidative stress responses of wheat to grain aphid (Sitobion avenae) feeding. Arthropod-Plant Interact. 2020, 14, 345–355. [Google Scholar] [CrossRef]
- Ogawa, K. Glutathione-associated regulation of plant growth and stress responses. Antioxid. Redox Signal. 2005, 7, 973–981. [Google Scholar] [CrossRef]
- Anjum, N.A.; Aref, I.M.; Duarte, A.C.; Pereira, E.; Ahmad, I.; Iqbal, M. Glutathione and proline can coordinately make plants withstand the joint attack of metal(loid) and salinity stresses. Front. Plant Sci. 2014, 5, 662. [Google Scholar] [CrossRef]
- Miller, G.; Suzuki, N.; Ciftci-Yilmaz, S.; Mittler, R. Reactive oxygen species homeostasis and signalling during drought and salinity stresses. Plant Cell Environ. 2010, 33, 453–467. [Google Scholar] [CrossRef]
- Soundararajan, P.; Manivannan, A.; Ko, C.H.; Jeong, B.R. Silicon enhanced redox homeostasis and protein expression to mitigate the salinity stress in Rosa hybrida ‘Rock Fire’. J. Plant Growth Regul. 2018, 37, 16–34. [Google Scholar] [CrossRef]
- Zhang, Y.; Luan, Q.; Jiang, J.; Li, Y. Prediction and utilization of malondialdehyde in exotic pine under drought stress using near-infrared spectroscopy. Front. Plant Sci. 2021, 12, 735275. [Google Scholar] [CrossRef] [PubMed]
- Alvarez, S.; Zhu, M.; Chen, S. Proteomics of Arabidopsis redox proteins in response to methyl jasmonate. J. Proteomics 2009, 73, 30–40. [Google Scholar] [CrossRef] [PubMed]
- Aparicio-Tejo, P.; Sánchez-Díaz, M. Nodule and leaf nitrate reductases and nitrogen fixation in Medicago sativa L. under water stress. Plant Physiol. 1982, 69, 479–482. [Google Scholar] [CrossRef] [PubMed]
- El-Komy, H.; Hamdia, M.; Abd El-Baki, G.K. Nitrate reductase in wheat plants grown under water stress and inoculated with Azospirillum spp. Biol. Plant. 2003, 46, 281–287. [Google Scholar]
- Mur, L.A.J.; Mandon, J.; Persijn, S.; Cristescu, S.M.; Moshkov, I.E.; Novikova, G.V.; Hall, M.A.; Harren, F.J.M.; Hebelstrup, K.H.; Gupta, K.J. Nitric oxide in plants: An assessment of the current state of knowledge. AoB Plants 2013, 5, pls052. [Google Scholar] [CrossRef]
- Meloni, D.A.; Oliva, M.A.; Ruiz, H.A.; Martinez, C.A. Contribution of proline and inorganic solutes to osmotic adjustment in cotton under salt stress. J. Plant Nutr. 2001, 24, 599–612. [Google Scholar] [CrossRef]
- Zulfiqar, F.; Akram, N.A.; Ashraf, M. Osmoprotection in plants under abiotic stresses: New insights into a classical phenomenon. Planta 2019, 251, 3. [Google Scholar] [CrossRef]
- Xiong, L.; Zhu, J.K. Molecular and genetic aspects of plant responses to osmotic stress. Plant Cell Environ. 2002, 25, 131–139. [Google Scholar] [CrossRef] [PubMed]
- Molinari, H.B.C.; Marur, C.J.; Daros, E.; De Campos, M.K.F.; De Carvalho, J.F.R.P.; Filho, J.C.B.; Pereira, L.F.P.; Vieira, L.G.E. Evaluation of the stress-inducible production of proline in transgenic sugarcane (Saccharum spp.): Osmotic adjustment, chlorophyll fluorescence and oxidative stress. Physiol. Plant. 2007, 130, 218–229. [Google Scholar] [CrossRef]
- Demiral, T.; Turkan, I. Does exogenous glycinebetaine affect antioxidative system of rice seedlings under NaCl treatment? J. Plant Physiol. 2004, 161, 1089–1110. [Google Scholar] [CrossRef] [PubMed]
- Vendruscolo, E.C.; Schuster, I.; Pileggi, M.; Scapim, C.A.; Molinari, H.B.; Marur, C.J.; Vieira, L.G.E. Stress-induced synthesis of proline confers tolerance to water deficit in transgenic wheat. J. Plant Physiol. 2007, 164, 1367–1376. [Google Scholar] [CrossRef]
- Renzetti, M.; Bertolini, E.; Trovato, M. Proline Metabolism Genes in Transgenic Plants: Meta-Analysis under Drought and Salt Stress. Plants 2024, 13, 1913. [Google Scholar] [CrossRef]
- Ling, Y.; Wang, D.; Peng, Y.; Peng, D.; Li, Z. Cross-Stressful Adaptation to Drought and High Salinity Is Related to Variable Antioxidant Defense, Proline Metabolism, and Dehydrin b Expression in White Clover. Agronomy 2025, 15, 126. [Google Scholar] [CrossRef]
- Shannag, H. Influence of black bean aphid, Aphis fabae Scopoli, on growth rates of faba bean. World J. Agric. Sci. 2007, 3, 344–349. [Google Scholar]
- Shahzad, M.W.; Ghani, H.; Ayyub, M.; Ali, Q.; Ahmad, H.M.; Faisal, M.; Ali, A.; Qasim, M.U. Performance of some wheat cultivars against aphid and its damage on yield and photosynthesis. J. Glob. Innov. Agric. Soc. Sci. 2019, 7, 105–109. [Google Scholar] [CrossRef]
- Diaz-Montano, J.; Reese, J.; William Schapaugh, W.; Campbell, L. Chlorophyll Loss Caused by Soybean Aphid (Hemiptera: Aphididae) Feeding on Soybean. J. Econ. Entomol. 2007, 100, 1657–1662. [Google Scholar] [CrossRef] [PubMed]
- Abdel-Baky, Y.R.; Abouziena, H.F.; Amin, A.A.; Rashad El-Sh, M.; Abd El-Sttar, A.M. Improve quality and productivity of some faba bean cultivars with foliar application of fulvic acid. Bull. Natl. Res. Cent. 2019, 43, 2. [Google Scholar] [CrossRef]
- Sherin, G.; Aswathi, K.P.R.; Puthur, J.T. Photosynthetic Functions in Plants Subjected to Stresses Are Positively Influenced by Priming. Plant Stress 2022, 4, 100079. [Google Scholar] [CrossRef]






| Character | CA 1 | CA 2 |
|---|---|---|
| SOD | −2.026 | −1.260 |
| NR | 1.940 | −0.448 |
| MDA | 0.117 | 0.119 |
| GSH | −4.267 | −0.930 |
| Pro | −2.732 | 0.894 |
| CAT | −1.135 | −0.283 |
| Eigenval | 2653.1 | 4.6 |
| % explained variation | 99.0% | 1.0% |
| Character | F | p |
|---|---|---|
| SOD | 0.08 | 0.926 |
| CAT | 32.93 | 0.001 |
| ANR | 3.08 | 0.120 |
| MDA | 169.57 | 0.000 |
| GSH | 277.86 | 0.000 |
Disclaimer/Publisher’s Note: The statements, opinions and data contained in all publications are solely those of the individual author(s) and contributor(s) and not of MDPI and/or the editor(s). MDPI and/or the editor(s) disclaim responsibility for any injury to people or property resulting from any ideas, methods, instructions or products referred to in the content. |
© 2025 by the authors. Licensee MDPI, Basel, Switzerland. This article is an open access article distributed under the terms and conditions of the Creative Commons Attribution (CC BY) license (https://creativecommons.org/licenses/by/4.0/).
Share and Cite
Tošić, S.M.; Joković, N.; Vitorović, J.; Milošević, M.I.; Stojković, M.; Jovanović, N. Impact of Aphis fabae Scopoli Infestation on Biochemical and Physiological Stress Markers in Faba Bean (Vicia faba L.). Crops 2025, 5, 88. https://doi.org/10.3390/crops5060088
Tošić SM, Joković N, Vitorović J, Milošević MI, Stojković M, Jovanović N. Impact of Aphis fabae Scopoli Infestation on Biochemical and Physiological Stress Markers in Faba Bean (Vicia faba L.). Crops. 2025; 5(6):88. https://doi.org/10.3390/crops5060088
Chicago/Turabian StyleTošić, Svetlana M., Nataša Joković, Jelena Vitorović, Marijana Ilić Milošević, Milica Stojković, and Nikola Jovanović. 2025. "Impact of Aphis fabae Scopoli Infestation on Biochemical and Physiological Stress Markers in Faba Bean (Vicia faba L.)" Crops 5, no. 6: 88. https://doi.org/10.3390/crops5060088
APA StyleTošić, S. M., Joković, N., Vitorović, J., Milošević, M. I., Stojković, M., & Jovanović, N. (2025). Impact of Aphis fabae Scopoli Infestation on Biochemical and Physiological Stress Markers in Faba Bean (Vicia faba L.). Crops, 5(6), 88. https://doi.org/10.3390/crops5060088

