Abstract
Organic–inorganic building blocks are an important class of hybrid materials due to the synergistic versatility of organic compounds with the robust properties of inorganic materials. Currently, the growing interest in silica hybrid materials to modify the physical and chemical properties of the silica network has led to an increasing interest in organoalkoxysilanes. A general formula of R-[Si-(OR’)3]n, with OR’ as a hydrolysable alkoxy group and R acting as the organic functional group (n ≥ 1), has led to precursors for many molecules. By introducing adequate organic moieties (R), organoalkoxysilanes effectively engage in surface and matrix modification of silica-based materials with smart-responsive units, coupling agents, targeting moieties, bioactive moieties etc., opening promising applications, specifically biomedical ones. Several synthetic procedures have been established to introduce the alkoxysilane moieties, including hydrosilylation, coupling reactions, and addition reactions to isocyanates. Herein, we review synthetic routes to organoalkoxysilanes and the relationship between structural features to design appropriate organoalkoxysilanes for specific applications.
1. Introduction
Silicon is the second most abundant element in the Earth’s crust and is usually found bonded with oxygen, as in silica (or silicon dioxide) (SiO2) [1]. It is widespread in the biological world where organisms use biomolecules to build silica structures with nanoscale precision, as in the case of diatoms and silica sponges [2]. It is here that silica-based supramolecular chemistry materials take significant inspiration from nature to produce controlled hierarchical structures with superior properties [3].
The increasing interest in silica as a promising multifunctional material is due to its chemical inertness, versatility due to well-developed siloxane chemistry, and biocompatibility and degradability that arise from the ability of silica to decompose into relatively innocuous byproducts [4]. Synthetic amorphous silica nanoparticles are one of the most abundant synthetic nanoparticles used by the scientific community and are recognized as a safe material by the Food and Drug Administration (FDA) that degrades to the non-toxic monosilicic acid, Si(OH)4, a soluble silica source [5]. The great majority of silica materials are polymers consisting of a silicon–oxygen (Si-O-Si) backbone, featuring organic groups. The dynamic nature of polymeric silica is responsible for most of the properties of silica-based materials. The strong Si-O bond (~100 kcal/mol) is stable over time and electron delocalization, due to p(O) → d(Si) orbital overlap across the Si-O-Si bonds, promotes stability over a high temperature range [6,7]. These highly attractive properties endow silica and silica-based materials with a wide range of applications such as catalysis, drug delivery, nanomedicine, energy storage/conversion, food technology, and environmental nanoremediation, including wastewater treatment [8].
Several synthesis techniques have been developed to prepare silica nanoparticles (SiO2 NPs), such as plasma manufacturing, chemical vapor deposition, microemulsion synthesis, combustion processing, and hydrothermal processes [8,9], but the sol–gel synthesis is the most widely applied technique [10]. It is a versatile bottom-up methodology that takes advantage of a straightforward and easily controllable sol–gel condensation reaction. The sol–gel chemistry involves the hydrolysis, and subsequent condensation, of alkoxysilane precursors via acid or base catalysis [11]. These kinetically controlled reactions depend on pH, temperature, solvent, ionic strength, reaction time, catalyst, silica precursor concentration, water/silane molar ratio, and organo-functional groups [12]. Tetramethylorthosilicate (TMOS) and tetraethylorthosilicate (TEOS) are more frequent silica precursors and base catalysis of silica precursors with ammonia is the most used approach for NP generation [11]. As alkoxysilanes are not soluble in water, low molecular height alcohols are often added to the reaction mixture. During the sol–gel process, to obtain a stable morphology, it is important to maximize the number of Si-O-Si bonds while minimizing the number of silanol (Si-OH) and alkoxy (Si-OR’) groups, because otherwise the condensation slows but never stops. For in depth discussions of the silica condensation mechanism and the sol–gel process, there are reviews of the literature that cover the development in this field [12,13,14,15].
The combination of organic–inorganic building blocks within a single material is attractive due to the possibility to combine different organic functionalities with the advantages of a stable and robust silica framework. Surface modification of silica-based materials is usually achieved by silylation reaction with the free (≡Si-OH), geminal (=Si-(OH)2), and vicinal silanols accessible on the surface [16,17]. This post-synthesis grafting functionalization is needed not only to reduce the toxicity by decreasing the silanol group density but also to introduce molecules that are sensitive to the sol–gel reaction. Other approaches include co-condensation, in which organoalkoxysilanes are added to the one-pot sol–gel synthesis to incorporate organic groups into the silica framework and surface polymerization (including both “grafting to” and “grafting from”) to build a polymer coating [16]. The opportunities for functionalization, along with the multitude of synthesis pathways, are responsible for the development of several silica-based materials with tunable morphology, but it also provides a versatile platform to modify the surface with other materials, such as targeting moieties, polymers, peptides, carbohydrates, and nucleic acids (Figure 1).
Figure 1.
Schematic illustration of silica-based nanomaterials. (A) SiO2 NPs as multifunctional nanoplatforms. (B) Structural morphology: I: nonporous Stöber SiO2 NPs, II: mesoporous SiO2 NPs (MSN), III: hollow SiO2 NPs, and IV: core-shell SiO2 NPs. III and IV can also be porous silica shells. I-IV can be a stimuli-responsive silica framework. Scale bar: 50 nm.
Alkoxysilanes and organoalkoxysilanes are important precursors of silicones (R2SiO), polysiloxanes with organic substituents (R) on the silicon atom [18]. Organosilicon materials appeared in the 19th century and the introduction of several functional groups to produce materials with enhanced functions contributed to the wide range of applications in several fields such as food, cosmetics, pharmaceutical materials, electronic materials, etc. [18]. Organoalkoxysilanes are a type of organosilicon compound where the silicon atom is linked to one or more organic groups through an alkoxysilyl group (Si(OR’)3, where R’ denotes an alkyl or an aryl group. Although all organoalkoxysilanes belong to the category of organosilicon compounds, not all organosilicon compounds are classified as organoalkoxysilanes due to the specific functional groups present that impart different properties and reactivities to the compounds. Hydrolysis and condensation of silanes and organoalkoxysilanes lead to silica (SiO2) and silsesquioxane (RSiO1.5) materials, respectively [19,20]. Herein, the various synthetic methods to produce organoalkoxysilanes, which serve as important precursors to enhance the properties of silica-based materials, will be reviewed.
2. Organoalkoxysilanes
Organoalkoxysilanes (R-Si(OR’)3) are hybrid compounds, featuring both organic (R) and inorganic alkoxysilane (Si(OR’)3) structural elements, with OR’ as a hydrolysable alkoxy group. Bridged organoalkoxysilanes ((R’O)3-Si-R-Si(OR’)3) are also known in the literature to be incorporated into the three-dimensional silica network through two covalent bonds. These functionalized alkoxysilanes are usually co-condensed with tetraalkoxysilanes such as TEOS as the silica source. Conversely, polysilsesquioxanes (PSQs) are an important class of hybrid organic–inorganic nanostructures, obtained by sol–gel polymerization of monosilanes (Figure 2a) or bis-silanes (Figure 2b) without the addition of an external silica source [21]. Post-synthetic grafting allows modification of silica surfaces with organic groups without compromising the silica initial morphology. Therefore, it is the ability to design organoalkoxysilane architecture that is responsible for the polyfunctional nature exhibited by hybrid materials. In practice, this means that the combination of alkoxysilane end groups and introducing adequate organic (R) functionality will lead to the formation of tailor-made multifunctional organoalkoxysilanes. It is important to note that the reactive nature of alkoxysilanes also limits the reaction conditions required to introduce specific organic moieties and, usually, the introduction of the alkoxysilane moiety is the last synthetic step. Organoalkoxysilanes are known for their inherent tendency to undergo self-condensation and usually need to be kept refrigerated and in ethanolic solutions. Commercial siloxane reagents usually include amines, alkenes, aldehydes, and haloalkanes. These groups are frequently used to introduce moieties to amplify the properties of siloxanes such as targeting groups and smart-responsive units. There is a huge variety of organic moieties (R) for structural and functionalization of silica-based materials that it is not limited anymore to simple organic bridges such as ethylene, ethynylene, or phenylene [22]. New synthetic procedures have been established to synthesize organoalkoxysilane precursors, allowing the introduction of the inorganic alkoxysilanes in the organic moiety (Figure 3).
Figure 2.
Polysilsesquioxanes obtained from (a) organoalkoxy monosilane and (b) organoalkoxy bis-silane. (R)—organic functionality; R’—an alkyl or aryl group.
Figure 3.
Types of functional groups and possible synthetic strategies to obtain organoalkoxysilanes. * Indicates commercially available organoalkoxysilanes precursors.
3. Synthesis of Organoalkoxysilanes
3.1. Hydrosilylation
The transition-metal-catalyzed hydrosilylation, or hydrosilylation reaction, involves the anti-Markovnikov addition of silicon–hydrogen bonds (Si–H) across a π-bond for the synthesis of silicon–carbon bonds (Si-C) [23]. Suitable unsaturated functional groups include olefins, alkynes, ketones, carboxylate esters, amides, imines, nitriles, and pyridines, expanding the reaction applicability from industry to academia [23]. Speier’s catalyst and Karstedt’s catalyst, both platinum catalyzed hydrosilylation, have an important role in organosilicon chemistry [24]. Both follow Chalk–Harrod and modified Chalk–Harrod mechanisms, with high regioselectivity and reaction yields, and exhibit good functional group tolerance [24]. Currently, there has been an increasing interest in the development of sustainable and less expensive catalysts [23,24].
Stimuli-responsive strategies activated by internal and/or external stimuli have been applied as smart triggers to open molecular gates on SiO2 NPs or to disintegrate the silica network [25]. An enzyme-responsive silica shell was pioneered by Corma et al. on doxorubicin (DOX)-loaded liposomes (Liposome@Si*) (Scheme 1) [26]. The functionalized organoalkoxysilane was prepared by chloroplatinic acid-catalyzed hydrosilylation of pent-4-enoic acid allyl ester 3 and triethoxysilane in 70% yield. The organic–inorganic hybrid silica shell was prepared by co-condensing TEOS and the ester-bridged silsesquioxane precursor 4 by the sol–gel method using NaF as the catalyst. The Liposome@Si* were stable at the physiological pH of 7.5 and released the cargo upon endocytosis and exposition to esterase-type enzymes, which promoted the degradation of the silica shell. In another approach, Picchetti et al. designed a light-cleavable bis-alkoxysilane 7 to prepare light-breakable mesoporous silica nanoparticles (MSN) (Scheme 2) [27]. The photolabile organoalkoxysilane was synthesized by the introduction of two carbon–carbon double bonds in 5-hydroxy-2-nitrobenzyl alcohol 5 and subsequent hydrosilylation with triethoxysilane using Karstedt’s catalyst. The hydrosilylation reaction was found to proceed in 30% yield in the presence of a 2% catalyst loading. The light responsive MSN were prepared by a modified Stöber approach, using ammonia-catalyzed hydrolysis, cetyltrimethylammonium bromide (CTAB) as the structure-directing agent, and co-condensing TEOS and the photolabile alkoxysilane. As a hydrophobic test molecule with biological interest, 7-dehydrocholesterol (7-DH) was loaded into the NP pores and released due to degradation of the silica matrix promoted by UV-light irradiation.
Scheme 1.
Synthesis of the ester-bridged silsesquioxane precursor that was incorporated on a silica shell [26].
Scheme 2.
Synthesis of organoalkoxysilane 7 from 5-hydroxy-2-nitrobenzyl alcohol 5 [27]. Reaction conditions: (i) NaH, DMF, 0 °C; (ii) allyl bromide, DMF, 0 °C to r.t.; (iii) Karstedt’s catalyst, triethoxysilane, toluene, 50 °C.
Zhao et al. reported the hydrosilylation of 7-allyloxycoumarin dimer 9 with triethoxysilane employing Karstedt’s catalyst (3% catalyst loading) in high yield (87%) (Scheme 3) [28]. The sol–gel polymerizable coumarin photodimer 10 was used to prepare spherical nanoparticles that undergo a hard–soft transformation by direct irradiation with a UV light (254 nm).
Scheme 3.
Synthesis of coumarin photodimer 10 from 7-hydroxycoumarin 8 [28]. Reaction conditions: (i) allyl bromide, acetone, K2CO3. (ii) BF3.OEt2, irradiation with a 500 W Hg lamp at 10 °C for 36 h; (iii) Karstedt’s catalyst, triethoxysilane, benzene, 50 °C.
Organoalkoxysilane precursors based on carbohydrate derivatives have great potential to prepare target drug delivery systems. It has been known that carbohydrates are involved in several biological processes and that they can serve not only as energy sources and structural components but also as key elements in several molecular recognition events [29]. Most studies on silanes and carbohydrates linked by hydrosilylation are used to modify silicones. For example, Henkensmeier et al. prepared several allyl glucose derivatives that were used to modify poly(dimethylsiloxane)s [30]. In another approach, Buchan et al. prepared carbohydrate-derived silanes that were used in nickel-catalyzed hydrosilylation of ketones in good to high yields [31]. These sugar silanes undergo highly selective intramolecular glycosylation reactions [32]. Surprisingly, as far as is known, there is only one publication to prepare carbohydrate-modified organoalkoxysilanes by a hydrosilylation reaction. Xie et al. reported the iridium-catalyzed hydrosilylation of a glucose-derived allylic ether 11 with triethoxysilane in 70% yield (Scheme 4) [33]. The obtained organoalkoxysilane 12 is a valuable precursor to functionalize silica-based materials with carbohydrates of biomedical interest.
Scheme 4.
Hydrosilylation reaction of an allylic ether obtained from glucose 11 [33].
Eugenol (4-allyl-2-methoxyphenol), a natural occurring phenolic monoterpenoid, is known for its several biological activities [34]. Surface modification of nanoparticles with eugenol can enhance is therapeutic properties and its encapsulation can reduce not only its high volatility but also promote a sustained-release performance [35]. For instance, eugenol hydrogen bonded to the core-shell Fe2O3@SiO2 nanoparticle surface exhibited higher in vitro cytotoxic activity on cancer cells lines and good antimicrobial effects against tested microorganisms [36]. Alternatively, eugenol derivatives can be grafted on the silica matrix. Sokolnicki et al. synthesized several alkoxysilane coupling agents by hydrosilylation of eugenol derivative 14 with triethoxysilane in the presence of [Ir(cod)Cl]2 as the optimum catalyst in high yields and excellent regioselectivity (Scheme 5) [37]. The organoalkoxysilanes were obtained with different polymer-reactive functionalities such as epoxide, thiirane, thiocarbamoyl, and thioester moieties. By finding the best performing catalyst, the authors avoided tedious and difficult column chromatography purifications, since alkoxysilyl groups react easily with silanol groups on the silica surface. As eugenol 13 is a convenient natural occurring precursor in organic synthesis due to two highly reactive functional groups—an allyl group and a hydroxyl group—the approach used in this work can be easily extended to other organic compounds for the surface modification of silica-based materials.
Scheme 5.
Nucleophilic substitution reaction of eugenol 13 followed by hydrosilylation of the obtained derivatives [37].
3.2. Isocyanates Addition Reactions
Isocyanates are highly reactive compounds that contain two cumulated unsaturated bonds (-N=C=O). This organic functionality displays characteristic chemical reactions and easily reacts with active nucleophilic groups, such as alcohols or amines, to yield urethanes (carbamates) and urea bonds, respectively [38]. The simplicity of the isocyanate bond chemistry may further broaden the scope of its application to the synthesis of organoalkoxysilanes.
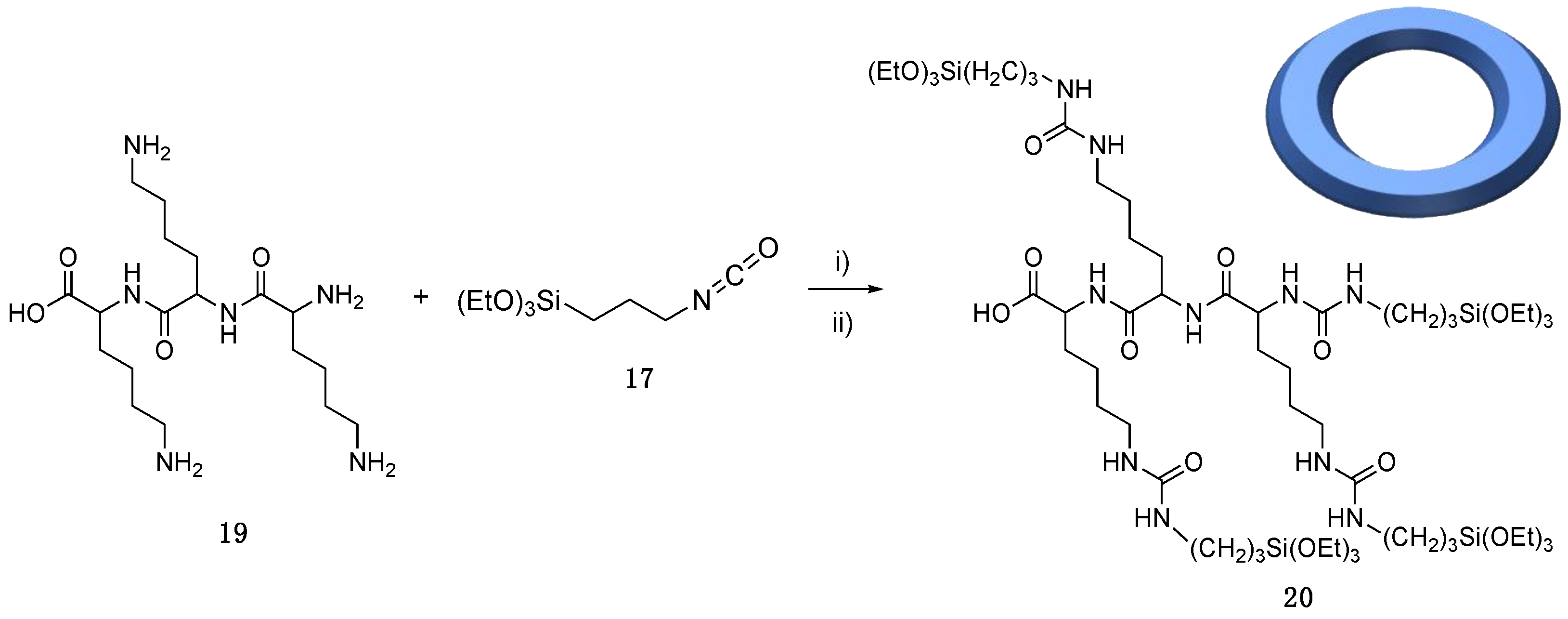
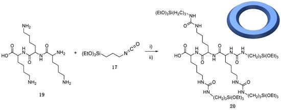
Curcumin (diferuloylmethane) is a biphenolic bioactive compound isolated from turmeric (C. longa) [39]. Besides its use as a natural fluorescent dye, it has a broad spectrum of biological features for human health, such as anti-inflammatory, anti-hypertensive, antioxidant, anti-tumoral, and other activities. However, due to its low aqueous solubility, the integration of curcumin into nanocarriers has been a strategy to improve its bioavailability [40]. The group of Bein reported the synthesis of a curcumin-bridged organoalkoxysilane by reaction of curcumin 16 and 3-(triethoxysilyl)propyl isocyanate (TESPIC) 17 to introduce carbamate-linked silyl groups in 49% yield (Scheme 6) [41]. This precursor 18 was used in a sol–gel reaction without the addition of TEOS to obtain fluorescent periodic mesoporous organosilica (PMO) nanoparticles with a high organic content (50 wt%). In a different approach, Maggini and co-workers developed enzymatically degradable silica nanodonuts by incorporating a multi-silylated peptidic moiety into the silica matrix (Scheme 7) [42]. The hybrid tri-L-lysine organoalkoxysilane 20 was prepared in situ with TESPIC 17, which was subjected to a modified Stöber method with CTAB as the template. After template removal, the ring-shaped hybrid silica material had a high organic content (ca. 70%) and was used as a nanocarrier for doxorubicin in cancer cell lines.
Scheme 6.
Reaction of curcumin 16 and 3-(triethoxysilyl)propyl isocyanate (TESPIC) 17 to form curcumin-based organoalkoxysilane 18 under anhydrous basic conditions [41].
Scheme 7.
Schematic representation of the synthesis of tri-L-lysine 19 doped silica nanodonuts [42]. Reaction conditions: (i) NEt3, DMF, r.t. 30 min.; (ii) CTAB, NH4OH, H2O, 50 °C, 2 h.
Hybrid silica–porphyrin systems have received great attention due to π-π stacking interactions promoted by their immobilization in a silica network that enhances their capability for electron transfer. The silylation reaction is usually achieved by condensing the amino functions of the porphyrin ring 21 with TESPIC 17 in the presence of triethylamine (Scheme 8) [43]. These ureido porphyrin precursors 22 have been employed in sol–gel synthesis and found applications in electrocatalysts for oxygen reduction [44], two-photon photodynamic therapy [45], and photocatalysis [46].
Scheme 8.
Synthesis of porphyrin-based organoalkoxysilane [43].
The preparation of silica nanoparticles with enhanced degradation in an aqueous environment in the absence of additional reagents is still a challenge. To address this issue, Gao et al. prepared a sorbitol-based silsesquioxane precursor containing carbamate linkages 24 (Scheme 9) [47]. The silylated compound was obtained by a reaction of sorbitol 23 and TESPIC 17 in DMF in the presence of triethylamine at 90 °C for 3 days. The obtained organoalkoxysilane was co-condensed with TEOS and yielded SiO2 NPs that degraded in water at neutral and acidic pH due to carbamate linkage hydrolysis.
Scheme 9.
Synthesis of sorbitol-based organoalkoxysilane 24 [47].
The development of three-dimensional (3D) bioprinting hydrogels obtained by the sol–gel process is a potential strategy to obtain bioactive hydrogels in one step by combining organoalkoxysilane building blocks. In a study by Valot et al., a bis-silylated polyethylene glycol (PEG) 26 was used as a model material to optimize a generic method for sol–gel 3D bioprinting (Scheme 10) [48]. The urethane linkage between the PEG monomer 25 and TESPIC 17 was obtained in 99% yield. This methodology could be easily extended to obtain other silylated biomolecules such as peptides, proteins, or carbohydrates.
Scheme 10.
Synthesis of bis-silylated PEG2000 26 that was used in sol–gel hydrogel formation [48]. Reaction conditions: (i) NEt3, anhydrous THF, reflux 48 h.
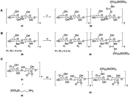
Silylated materials obtained from carbohydrates through sol–gel reaction have been described for hyaluronic acid, dextrin 27, chitosan 29, and pectin 31 (Scheme 11) [49]. The hybrid biopolymers were obtained by functionalization with TESPIC 17, taking advantage of the functional groups displayed by the carbohydrate units (primary amine and hydroxyl group). For pectin silylation, the authors used a different silylation protocol and the carboxylic acid group was functionalized with 3-aminopropyltriethoxysilane (APTES) 32 by N-ethyl-N′-(3-dimethylaminopropyl)carbodiimide hydrochloride (EDC)-mediated coupling.
Scheme 11.
Synthesis of organoalkoxysilanes from (A) dextrin, (B) chitosan, and (C) pectin [49]. Reaction conditions: (i) 17, NEt3, DMSO anhydrous, 70 °C; (ii) 17, NEt3, DMSO anhydrous, 70 °C; (iii) EDC Oxyma, DMSO anhydrous, 70 °C.
3.3. Nucleophilic Substitution Reactions
Vivero-Escoto et al. reported the preparation of a bis-silane derivative of Gd(III) diethylenetriamine pentaacetate 36 using a thiol displacement reaction with (3-mercaptopropyl)triethoxysilane (MPTES) 35 with good yield (66%) (Scheme 12) [50]. This monomer was used for the synthesis of Gd-PSQ as in vitro contrast agents via magnetic resonance imaging (MRI). From a chemistry point of view, this SN2 type nucleophilic substitution mechanism [51] allows the introduction of a siloxane moiety while maintaining the redox-responsive disulfide bond. This approach helps to introduce the reactive siloxane moiety in the last synthetic step. As several redox-sensitive linkers containing disulfide have been developed to build drug delivery carriers [52], the thiol–disulfide exchange with MPTES can be easily applied to other substrates.
Scheme 12.
Synthesis of Gd chelates functionalized with trialkoxysilanes by thiol displacement reaction of complex 34 with commercially available organoalkoxysilane 35 [50].
The growing interest in the chemistry of selenium (Se) compounds has been motivated by the discovery of the 21st proteinogenic amino acid, selenocysteine, at the active site of glutathione peroxidase, establishing the role of selenium in mammals [53]. Recently, the bioactivity of selenium nanoparticles has attracted the interest of many researchers, but their toxicity is still a major concern [54]. The development of selenium delivery systems, such as silica-based nanoparticles, can substantially improve its therapeutic potential [52]. Another characteristic of Se chemistry is the higher sensitivity of diselenide bonds (Se-Se) to low concentrations of oxidative agents when compared with disulfide bonds (S-S) [52]. Incorporation of redox-responsive Se-Se linkers in the nanoparticle matrix has the potential to control both the degradation and the drug release. For instance, a dual oxidative/redox responsive nanoplatform was developed by incorporating a diselenide bond into the matrix of MSN to deliver “on-demand” protein therapeutics for cancer therapy [55]. The diselenide-bond-containing organoalkoxysilane, namely bis[3-(triethoxysilyl)propyl]diselenide 38, was prepared from the commercially available (3-chloropropyl)triethoxysilane 37 and freshly prepared sodium selenide as a selenide nucleophilic source with a yield of 18% (Scheme 13).
Scheme 13.
Synthesis of bis[3-(triethoxysilyl)propyl]diselenide 38 from commercially available (3-chloropropyl)triethoxysilane 37 [55].
Taking advantage of commercially available amine functional siloxanes, nucleophilic acyl substitution reactions can be used as a strategy to couple an organoalkoxysilane to an acyl compound of interest. Fatieiev and coworkers prepared an oxamide-bridged alkoxysilane 40 by coupling oxalyl chloride 39 and APTES 32 in dichloromethane, using triethylamine as the base catalyst at 0 °C (Scheme 14) [56]. The precursor was obtained as an unusual crystalline product in 95% yield and used to prepare enzymatically degradable bridged silsesquioxane nanomaterials with a high organic content (50%). In this context, Croissant et al. used the same precursor to prepare mesoporous organosilica nanoparticles (MON) by co-condensing it with 1,4-bis(triethoxysilyl)benzene in the absence of an additional silica source [57]. The obtained MON with oxamide–phenylene bridges were composed of 50% organic content and were suitable to load both hydrophilic and hydrophobic compounds.
Scheme 14.
Synthetic route for the oxamide-bridged alkoxysilane precursor 40 [56].
3.4. Nucleophilic Addition Reactions
Primary amines, R-NH2 or ArNH2, can react with aldehydes or ketones by nucleophilic addition to give hemiaminals that dehydrate to substituted imines. Consequently, commercially available siloxanes containing amines or aldehydes are useful building blocks to obtain functional organoalkoxysilanes. Liu et al. reported MON with pH-responsive enhanced degradability for the release of anti-cancer drugs [58]. The Schiff base precursor 42 was prepared by coupling APTES 32 with terephthaldehyde 41 in ethanol at 80 °C (Scheme 15A). This bis(triethoxy)silane precursor was also incorporated in MSN [59] and in pH-responsive silica coatings for protection of colloidal nanoparticles [60]. In this last work, it was possible to study the effect of the organic unit on the nanoparticles morphology. Negatively charged polystyrene nanoparticles (PSNPs) (100 nm) were coated with SiO2 via a sol–gel route by co-condensation of TEOS and the diimine organosilane 42. The resulting silica shells ranged from 8 to 20 nm in thickness and the introduction of the pH-responsive moiety led to hybrid core–shell nanoparticles that changed the morphology from smooth and homogeneous to a raspberry-like silica shell (Scheme 15B).
Scheme 15.
(A) Synthesis of the pH-responsive organoalkoxysilane 42 and (B) TEM images of polystyrene silica core–shell nanoparticles without (left) and with the pH-responsive organoalkoxysilane 42 incorporated in the silica network (Adapted with permission from [60]. Copyright American Chemical Society 2022 licensed under CC BY 4.0). Scale bar: 100 nm.
3.5. Click Chemistry Tools
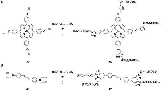
Click chemistry is a highly efficient collection of organic reactions that occur rapidly and selectively under mild conditions to covalently link two functionalized chemical entities [61]. Therefore, azide–alkyne cycloaddition can broaden the scope of well-defined siloxanes as molecular building blocks. Croissant and coworkers prepared organic–inorganic hybrid biodegradable bridged silsesquioxane nanomaterials for two-photon-excited (TPE) imaging and therapy in vitro [62]. A tetra-alkoxysilylated porphyrin photosensitizer 45 was prepared via copper-catalyzed azide–alkyne cycloaddition (CuAAC) click coupling (Scheme 16A). The tetrapropargyled porphyrin precursor 43 reacted with the commercially available (3-azidopropyl)triethoxysilane 44 under microwave irradiation in quantitative yield. The same synthetic strategy was used to prepare a tetra-alkoxysilylated diamino-diphenylbutadiene photosensitizer 47 (Scheme 16B) [63].
Scheme 16.
(A) Synthesis of tetra-alkoxysilylated porphyrin 45 and (B) diamino-diphenylbutadiene 47 photosensitizer precursors by click chemistry. Reaction conditions: (i) Cu(I), THF, 20 min., 100 °C, 200 mW.
4. Direct Application of Commercial Organoalkoxysilanes in Silica-Based Materials
The commercial availability of organoalkoxysilanes has enabled the surface modification of SiO2 nanomaterials with organic molecules, providing an opportunity to adjust the surface charge of nanoparticles or to serve as a bridge to other organic moieties. As an example, von Baeckmann and coworkers investigated different organic linkers on the SiO2 NP surface and their influence on the attachment of PEG chains [64]. The commercially organoalkoxysilanes used were TESPIC 17, APTES 32, MPTES 35, and (3-glycidyloxypropyl)trimethoxysilane (epoxy) 48 (Scheme 17). The authors found that the PEG-silane, thiol-maleimide, or isocyanate-amine coupling promoted the highest PEGylation efficiency. In another work, to study the quantification of surface ligands and for tracking chemical modifications on SiO2 nanoparticles by solution NMR spectroscopy, Crucho et al. covalently modified the SiO2 surface with amine, thiol, alkene, and carboxylic acid (obtained after nitrile hydrolysis) groups from commercially available siloxanes [65]. The SiNP surface was covalently modified with four different organoalkoxysilanes: APTES 32, trimethoxy(7-octen-1-yl)silane (TMOenS) 49, 3-(triethoxysilyl)propionitrile (TESPN) 50, and (3-mercaptopropyl)triethoxysilane (MPTMS) 51 (Scheme 17). The authors found that combining in situ dissolution of the SiO2 NPs and standard quantitative analysis by NMR spectra are suitable for tracking small amounts of surface-bound ligands.
Scheme 17.
Commercially available organoalkoxysilanes that were used to functionalize silica nanoparticles [64,65].
In another work, Meng et al. designed a nanovalve delivery system on MSNs. The authors used -cyclodextrin (-CD) as the cap and tested several stalks by reacting chloromethyltrimethoxysilane 52 with a series of aromatic amines, including 1-Methyl-1H-benzimidazole (MBI) 53 (Scheme 18) [66]. In a similar approach, Porta and coworkers built folic acid-modified mesoporous silica nanoparticles, in which the pores were capped by a cyclodextrin (-CD) structure (Scheme 19) [67]. In this work, the nanoparticle surface was first modified with APTES 32, which was further reacted with 2-(2-(2-Azidoethoxy)ethoxy)ethyltoluensulfonate 55 to introduce an azide terminal functional group. Next, the particles reacted with an alkyne derivative of folic acid by CuAAC.
Scheme 18.
Schematic representation of 1-Methyl-1H-benzimidazole (MBI) 53 modified MSNs [66].
Scheme 19.
Schematic representation of MSNs modified with an azide terminal functional group [67].
The commercially available bis[3-(triethoxysilyl)-propyl]disulfide (TESPDS) 56—an organoalkoxysilane containing a disulfide bridge—was used to build PLGA@Silica core shell nanoparticles, with a redox-responsive silica shell (6–10 nm) (Scheme 20) [68]. In another work, Croissant et al. reported PMO with control size and morphology from nanospheres to nanorods by co-condensing TESPDS and bis(triethoxysilyl)ethylene in various weight ratios [69]. Maggini et al. prepared breakable MSNs by co-condensing TEOS and TESPDS in a molar ratio of 70:30 considering the silica source [70]. The disulfide-doped silica nanoparticles were found to be redox-responsive even inside glioma C6 cancer cells.
Scheme 20.
Schematic representation of PLGA@Silica core shell nanoparticles with redox-responsive disulfide molecular gates [68].
To prepare a light-responsive mesoporous silica, Chen and coworkers used APTES 32 to attach a carboxylic acid-terminated photosensitive spiropyran. The commercially available perfluorodecyltriethoxysilane (PFDTES) was also grafted on the SiO2 surface to tune its hydrophobicity [71]. Rivero-Buceta et al. reported the use of APTES 32 grafted on the surface of MSN to covalently attach a 2′-hemissucinate docetaxel derivative (DTX) 57 by a coupling reaction promoted by HATU along with Hünig’s base (N,N-diisopropylethylamine, DIPEA) to form an amide bond (Scheme 21) [72].
Scheme 21.
Synthetic route to covalent modification of MSNs with DTX 57 via surface modification with APTES [72].
Surface modification of SiO2 NPs can also be used for surface-initiated polymerization (SIP) reactions from the nanoparticle surface with the growth of polymer brushes (“grafting-from”) [73]. Grafting an organic polymer shell influences not only the conformation of the polymeric chains but also the physicochemical properties of the nanomaterials [74]. Balis et al. reported the preparation of thermoresponsive poly(N-isopropylacrylamide) (PNIPAM) polymer brushes-grafted MSN [75]. In the first step, the authors built an APTES 32 layer on the nanoparticle surface that was used to attach the atom transfer radical polymerization (ATRP) initiator α-bromoisobutyryl bromide (BIBB) 58 through amide bond formation (Scheme 22). Recently, a polymer shell of poly(D,L-lactide-co-glycolide) (PLGA) was grafted on Stöber silica nanoparticles by surface-initiated ring opening polymerization (ROP) according to a procedure reported by Raj and coworkers [76]. In this study, the nanoparticles with an average diameter of 31 nm were modified by tethering (3-glycidyloxypropyl)trimethoxysilane 48 to their surface, followed by epoxide ring opening. The more accessible hydroxyl end groups were used as co-initiators for the ROP, resulting in a polymer shell with a 50:50 ratio of lactic acid and glycolic acid with 86% conversion.
Scheme 22.
Scheme of the experimental route for the polymer initiator coating of solid core mesoporous shell (SCMS) silica nanoparticles.
5. Conclusions
The sol–gel synthesis is a well-known and reliable process for obtaining silica-based nanomaterials. Much of the work with organoalkoxysilane compounds was to develop precursors for bridged silsesquioxane nanoparticles to maximize the organic content of the resulting nanomaterial. These materials are expected to show higher stability in aqueous solutions. However, it is important to note that high incorporation levels of organoalkoxysilanes in the silica matrix can compromise the silica structural stability [77] and the bulkiness of bridging groups can affect the sol–gel reaction [21]. Bridged organoalkoxysilanes are more popular in the literature, as grafting of single molecules on SiO2 NPs can be accomplished by using commercial organoalkoxysilanes as linkers.
Functional organoalkoxysilanes have been recognized as a valuable strategy to obtain safer and targeted silica-based drug delivery systems and the development stimuli-responsive systems have become a popular strategy of current research. As mentioned already, organoalkoxysilanes have been used to silylate molecules with biological interest such as carbohydrates, polymers, and peptides [78].
A few different methods have been proposed for the synthesis of organoalkoxysilanes by selection of specific precursors. During the synthesis, it is important to find the optimum condition for the preparation of pure silanes with high yields to avoid tedious purification steps. Purification by column chromatography could be achieved by adding ethanol (1–2%) to the eluent system. As organoalkoxysilanes may undergo self-condensation to yield polysiloxane structures, the compounds are usually stored at low temperatures and in ethanolic solutions.
The design of silica hybrid materials with fine-tune functionalities depends on the nature of the organoalkoxysilane precursors, which are only limited by the researcher creativity. Therefore, the combination of organic–inorganic building blocks will continue to be a fertile area of research. We sincerely hope this review kindles the interest in the potential of organoalkoxysilanes and silica-based nanomaterials and serves as a source for inspiration for the development of design strategies to obtain other relevant silylated molecules with potential biomedical interest.
Funding
The author acknowledges the financial support from Fundação para a Ciência e a Tecnologia (FCT) [Decree-law 57/2016 and law 57/2017].
Acknowledgments
Carina I. C. Crucho acknowledges Liga Portuguesa Contra o Cancro Terry/Fox Research Grant and L’Oréal for financial support.
Conflicts of Interest
The author declares no conflict of interest.
References
- Jaroniec, M. Silicon beyond the valley. Nat. Chem. 2009, 1, 166. [Google Scholar] [CrossRef] [PubMed]
- Gröger, C.; Lutz, K.; Brunner, E. Biomolecular Self-assembly and its Relevance in Silica Biomineralization. Cell Biochem. Biophys. 2008, 50, 23–29. [Google Scholar] [CrossRef] [PubMed]
- Foo, C.W.P.; Huang, J.; Kaplan, D.L. Lessons from seashells: Silica mineralization via protein templating. TRENDS Biotechnol. 2004, 22, 577–585. [Google Scholar] [CrossRef] [PubMed]
- Liberman, A.; Mendez, N.; Trogler, W.C.; Kummel, A.C. Synthesis and surface functionalization of silica nanoparticles for nanomedicine. Surf. Sci. Rep. 2014, 69, 132–158. [Google Scholar] [CrossRef]
- Croissant, J.G.; Butler, K.S.; Zink, J.I.; Brinker, C.F. Synthetic amorphous silica nanoparticles: Toxicity, biomedical and environmental implications. Nat. Rev. Mater. 2020, 5, 886–909. [Google Scholar] [CrossRef]
- Putro, W.S.; Lee, V.Y.; Sato, K.; Choi, J.-C.; Fukaya, N. From SiO2 to Alkoxysilanes for the Synthesis of Useful Chemicals. ACS Omega 2021, 6, 35186–35195. [Google Scholar] [CrossRef] [PubMed]
- Dankert, F.; von Hanisch, C. Siloxane Coordination Revisited: Si-O Bond Character, Reactivity and Magnificent Molecular Shapes. Eur. J. Inorg. Chem. 2021, 2021, 2907–2927. [Google Scholar] [CrossRef]
- Nayl, A.A.; Abd-Elhamid, A.I.; Aly, A.A.; Brase, S. Recent progress in the applications of silica-based nanoparticles. RSC Adv. 2022, 12, 13706–13726. [Google Scholar] [CrossRef] [PubMed]
- Singh, P.; Srivastava, S.; Singh, S.K. Nanosilica: Recent Progress in Synthesis, Functionalization, Biocompatibility, and Biomedical Applications. ACS Biomater. Sci. Eng. 2019, 5, 4882–4898. [Google Scholar] [CrossRef] [PubMed]
- Gonçalves, M.C. Sol-Gel Silica Nanoparticles in Medicine: A Natural Choice. Design, Synthesis and Products. Molecules 2018, 23, 2021. [Google Scholar] [CrossRef]
- Akhter, F.; Rao, A.A.; Abbasi, M.N.; Wahocho, S.A.; Mallah, M.A.; Annes-ur-Rehman, H.; Chandio, Z.A. A Comprehensive Review of Synthesis, Applications and Future Prospects for Silica Nanoparticles (SNPs). Silicon 2022, 14, 8295–8310. [Google Scholar] [CrossRef]
- Issa, A.A.; Luyt, A.S. Kinetics of Alkoxysilanes and Organoalkoxysilanes Polymerization: A Review. Polymers 2019, 11, 537. [Google Scholar] [CrossRef] [PubMed]
- Manning, J.R.H.; Brambila, C.; Patwardhan, S.V. Unified mechanistic interpretation of amine-assisted silica synthesis methods to enable design of more complex materials. Mol. Syst. Des. Eng. 2021, 6, 170–196. [Google Scholar] [CrossRef]
- Carcouët, C.C.M.C.; van de Put, M.W.P.; Mezari, B.; Magusin, P.C.M.M.; Laven, J.; Bomans, P.H.H.; Friedrich, H.; Esteves, A.C.C.; Sommerdijk, N.A.J.M.; van Benthem, R.A.T.M.; et al. Nucleation and Growth of Monodisperse Silica Nanoparticles. Nano Lett. 2014, 14, 1433–1438. [Google Scholar] [CrossRef] [PubMed]
- Ghimire, P.P.; Jaroniec, M. Renaissance of Stöber method for synthesis of colloidal particles: New developments and opportunities. J. Colloid Interface Sci. 2021, 584, 838–865. [Google Scholar] [CrossRef] [PubMed]
- Bagheri, E.; Ansari, L.; Abnous, K.; Taghdisi, S.M.; Charbgoo, F.; Ramezani, M.; Alibolandi, M. Silica based hybrid materials for drug delivery and bioimaging. J. Contr. Rel. 2018, 277, 57–76. [Google Scholar] [CrossRef]
- Zhuravlev, L.T. The surface chemistry of amorphous silica. Zhuravlev model. Colloids Surf. A Physicochem. Eng. Asp. 2000, 173, 1–38. [Google Scholar] [CrossRef]
- Zuo, Y.; Liang, X.; Yin, J.; Gou, Z.; Lin, W. Understanding the significant role of SiAOASi bonds: Organosilicon materials as powerful platforms for bioimaging. Coord. Chem. Rev. 2021, 447, 214166. [Google Scholar] [CrossRef]
- Croissant, J.G.; Cattoën, X.; Durand, J.O.; Wong Chi Man, M.; Khashab, N.M. Organosilica hybrid nanomaterials with a high organic content: Syntheses and applications of silsesquioxanes. Nanoscale 2016, 8, 19945–19972. [Google Scholar] [CrossRef]
- Noureddine, A.; Brinker, C.F. Pendant/bridged/mesoporous silsesquioxane nanoparticles: Versatile and biocompatible platforms for smart delivery of therapeutics. J. Chem. Eng. 2018, 340, 125–147. [Google Scholar] [CrossRef]
- Rathnayake, H.; White, J.; Dawood, S. Polysilsesquioxane-Based Organic—Inorganic Hybrid Nanomaterials and Their Applications Towards Organic Photovoltaics. Synth. Met. 2021, 273, 116705. [Google Scholar] [CrossRef]
- Urata, C.; Yamada, H.; Wakabayashi, R.; Aoyama, Y.; Hirosawa, S.; Arai, S.; Takeoka, S.; Yamauchi, Y.; Kuroda, K. Aqueous Colloidal Mesoporous Nanoparticles with Ethenylene-Bridged Silsesquioxane Frameworks. J. Am. Chem. Soc. 2011, 133, 8102–8105. [Google Scholar] [CrossRef] [PubMed]
- Lipke, M.C.; Liberman-Martin, A.L.; Tilley, T.D. Electrophilic Activation of Silicon-Hydrogen Bonds in Catalytic Hydrosilations. Angew. Chem. 2016, 56, 2260–2294. [Google Scholar] [CrossRef] [PubMed]
- Hofman, R.J.; Vlatković, M.; Wiesbrock, F. Fifty Years of Hydrosilylation in Polymer Science: A Review of Current Trends of Low-Cost Transition-Metal and Metal-Free Catalysts, Non-Thermally Triggered Hydrosilylation Reactions, and Industrial Applications. Polymers 2017, 9, 534. [Google Scholar] [CrossRef]
- Corma, A.; Botella, P.; Rivero-Buceta, E. Silica-Based Stimuli-Responsive Systems for Antitumor Drug Delivery and Controlled Release. Pharmaceutics 2022, 14, 110. [Google Scholar] [CrossRef]
- Corma, A.; Díaz, U.; Arrica, M.; Fernández, E.; Ortega, I. Organic–Inorganic Nanospheres with Responsive Molecular Gates for Drug Storage and Release. Angew. Chem. Int. Ed. 2009, 48, 6247–6250. [Google Scholar] [CrossRef]
- Picchetti, P.; DiMarco, B.N.; Travaglini, L.; Zhang, Y.; Ortega-Liebana, M.C.; De Cola, L. Breaking with Light: Stimuli-Responsive Mesoporous Organosilica Particles. Chem. Mater. 2020, 32, 392–399. [Google Scholar] [CrossRef]
- Zhao, L.; Loy, D.A.; Shea, K.J. Photodeformable Spherical Hybrid Nanoparticles. J. Am. Chem. Soc. 2006, 128, 14250–14251. [Google Scholar] [CrossRef]
- Crucho, C.I.C.; Barros, M.T. Sweet as sucrose. Nat. Chem. 2023, 15, 154. [Google Scholar] [CrossRef]
- Henkensmeier, D.; Abele, B.C.; Candussio, A.; Thiem, J. Synthesis and Characterisation of Terminal Carbohydrate Modified Poly(dimethylsiloxane)s. Macromol. Chem. Phys. 2004, 205, 1851–1857. [Google Scholar] [CrossRef]
- Buchan, Z.A.; Bader, S.J.; Montgomery, J. Ketone Hydrosilylation with Sugar Silanes Followed by Intramolecular Aglycone Delivery: An Orthogonal Glycosylation Strategy. Angew. Chem. Int. Ed. Engl. 2009, 48, 4840–4844. [Google Scholar] [CrossRef] [PubMed]
- Walk, J.T.; Buchan, Z.A.; Montgomery, J. Sugar silanes: Versatile reagents for stereocontrolled glycosylation via intramolecular aglycone delivery. Chem. Sci. 2015, 6, 3448. [Google Scholar] [CrossRef] [PubMed]
- Xie, X.; Zhang, X.; Yang, H.; Ji, X.; Li, J.; Ding, S. Iridium-Catalyzed Hydrosilylation of Unactivated Alkenes: Scope and Application to Late-Stage Functionalization. J. Org. Chem. 2019, 84, 1085–1093. [Google Scholar] [CrossRef]
- Ulanowska, M.; Olas, B. Biological Properties and Prospects for the Application of Eugenol—A Review. Int. J. Mol. Sci. 2021, 22, 3671. [Google Scholar] [CrossRef] [PubMed]
- Zhang, T.; Lu, Z.; Wang, J.; Shen, J.; Hao, Q.; Li, Y.; Yang, J.; Niu, Y.; Xiao, Z.; Chen, L. Preparation of mesoporous silica nanoparticle with tunable pore diameters for encapsulating and slowly releasing eugenol. Chin. Chem. Lett. 2021, 32, 1755–1758. [Google Scholar] [CrossRef]
- Shahabadi, N.; Akbari, A.; Karampour, F.; Falsafi, M. Cytotoxicity and antibacterial activities of new chemically synthesized magnetic nanoparticles containing eugenol. J. Drug Deliv. Sci. Technol. 2019, 49, 113–122. [Google Scholar] [CrossRef]
- Sokolnicki, T.; Franczyk, A.; Janowski, B.; Walkowiak, J. Synthesis of Bio-Based Silane Coupling Agents by the Modification of Eugenol. Adv. Synth. Catal. 2021, 363, 5493–5500. [Google Scholar] [CrossRef]
- Delebecq, E.; Pascault, J.-P.; Boutevin, B.; Ganachaud, F. On the Versatility of Urethane/Urea Bonds: Reversibility, Blocked Isocyanate, and Non-isocyanate Polyurethane. Chem. Rev. 2013, 113, 80–118. [Google Scholar] [CrossRef]
- Filho, J.G.O.; Egea, M.B. Edible Bioactive Film with Curcumin: A Potential “Functional” Packaging? Int. J. Mol. Sci. 2022, 23, 5638. [Google Scholar] [CrossRef]
- Karthikeyan, A.; Senthil, N.; Min, T. Nanocurcumin: A Promising Candidate for Therapeutic Applications. Front. Pharmacol. 2020, 11, 487. [Google Scholar] [CrossRef]
- Datz, S.; Engelke, H.; Schirnding, C.; Nguyen, L.; Bein, T. Lipid Bilayer-Coated Curcumin-based Mesoporous Organosilica Nanoparticles for Cellular Delivery. Microporous Mesoporous Mater. 2016, 225, 371–377. [Google Scholar] [CrossRef]
- Maggini, L.; Travaglini, L.; Cabrera, I.; Castro-Hartmann, P.; De Cola, L. Biodegradable Peptide–Silica Nanodonuts. Chem. Eur. J. 2016, 22, 3697–3703. [Google Scholar] [CrossRef] [PubMed]
- Lerouge, F.; Cerveau, G.; Corriu, R.J.P.; Stern, C.; Guilard, R. Self-organization of porphyrin units induced by magnetic field during sol–gel polymerization. Chem. Commun. 2007, 15, 1553–1555. [Google Scholar] [CrossRef] [PubMed]
- Fuerte, A.; Corma, A.; Iglesias, M.; Morales, E.; Sànchez, F. Approaches to the synthesis of heterogenised metalloporphyrins Application of new materials as electrocatalysts for oxygen reduction. J. Mol. Catal. A Chem. 2006, 246, 109–117. [Google Scholar] [CrossRef]
- Aggad, D.; Jimenez, C.M.; Dib, S.; Croissant, J.G.; Lichon, L.; Laurencin, D.; Richeter, S.; Maynadier, M.; Alsaiari, S.K.; Boufatit, M.; et al. Gemcitabine Delivery and Photodynamic Therapy in cancer cells via Porphyrin-Ethylene-Based Periodic Mesoporous Organosilica Nanoparticles. ChemNanoMat 2018, 4, 46–51. [Google Scholar] [CrossRef]
- Mahy, J.G.; Paez, C.A.; Carcel, C.; Bied, C.; Tatton, A.S.; Damblon, C.; Heinrichs, B.; Man, M.C.M.; Lambert, S.D. Porphyrin-, based hybrid silica-titania as visible-light photocatalyst. J. Photochem. Photobiol. A Chem. 2019, 373, 66–76. [Google Scholar] [CrossRef]
- Gao, Z.; Moghaddam, S.P.H.; Ghandehari, H.; Zharov, I. Synthesis of water-degradable silica nanoparticles from carbamate-containing bridged silsesquioxane precursor. RSC Adv. 2018, 8, 4914–4920. [Google Scholar] [CrossRef]
- Valot, L.; Maumus, M.; Montheil, T.; Martinez, J.; Noel, D.; Mehdi, A.; Subra, G. Biocompatible Glycine-Assisted Catalysis of the Sol-Gel Process: Development of Cell-Embedded Hydrogels. ChemPlusChem 2019, 84, 1720–1729. [Google Scholar] [CrossRef]
- Montheil, T.; Raimond, L.; Valot, L.; Maumus, M.; Simon, M.; Martinez, J.; Amblard, M.; Noel, D.; Mehdi, A.; Subra, G. Controlled Silylation of Polysaccharides: Attractive Building Blocks for Biocompatible Foams and Cell-Laden Hydrogels. ACS Appl. Polym. Mater. 2022, 4, 4087–4097. [Google Scholar] [CrossRef]
- Vivero-Escoto, J.L.; Rieter, W.J.; Lau, H.; Huxford-Phillips, R.C.; Lin, W. Biodegradable Polysilsesquioxane Nanoparticles as Efficient Contrast Agents for Magnetic Resonance Imaging. Small 2013, 9, 3523–3531. [Google Scholar] [CrossRef]
- Nagy, P. Kinetics and Mechanisms of Thiol–Disulfide Exchange Covering Direct Substitution and Thiol Oxidation-Mediated Pathway. Antioxid. Redox Signal. 2013, 18, 1623–1641. [Google Scholar] [CrossRef] [PubMed]
- Mollazadeh, S.; Mackiewicz, M.; Yazdimamaghani, M. Recent Advances in the Redox-Responsive Drug Delivery Nanoplatforms: A Chemical Structure and Physical Property Perspective. Mater. Sci. Eng. C 2021, 118, 111536. [Google Scholar] [CrossRef]
- Vimal, K.J. Chapter 1: An Overview of Organoselenium Chemistry: From Fundamentals to Synthesis. In Organoselenium Compounds in Biology and Medicine: Synthesis, Biological and Therapeutic Treatments; Royal Society of Chemistry: London, UK, 2017; pp. 1–33. [Google Scholar]
- Bisht, N.; Phalswal, P.; Khanna, P.K. Selenium nanoparticles: A review on synthesis and biomedical applications. Mater. Adv. 2022, 3, 1415–1431. [Google Scholar] [CrossRef]
- Shao, D.; Li, M.; Wang, Z.; Zheng, X.; Lao, Y.H.; Chang, Z.; Zhang, F.; Lu, M.; Yue, J.; Hu, H.; et al. Bioinspired Diselenide-Bridged Mesoporous Silica Nanoparticles for Dual-Responsive Protein Delivery. Adv. Mater. 2018, 30, 1801198. [Google Scholar] [CrossRef] [PubMed]
- Fatieiev, Y.; Croissant, J.G.; Julfakyan, K.; Deng, L.; Anjum, D.H.; Gurinov, A.; Khashab, N.M. Enzymatically degradable hybrid organic– inorganic bridged silsesquioxane nanoparticles for in vitro imaging. Nanoscale 2015, 7, 15046–15050. [Google Scholar] [CrossRef]
- Croissant, J.G.; Fatieiev, Y.; Julfakyan, K.; Lu, J.; Emwas, A.-H.; Anjum, D.H.; Omar, H.; Tamanoi, F.; Zink, J.I.; Khashab, N.M. Biodegradable Oxamide-Phenylene-Based Mesoporous Organosilica Nanoparticles with Unprecedented Drug Payloads for Delivery in Cells. Chem. Eur. J. 2016, 22, 14806–14811. [Google Scholar] [CrossRef]
- Liu, L.; Kong, C.; Huo, M.; Liu, C.; Peng, L.; Zhao, T.; Wei, Y.; Qian, F.; Yuan, J. Schiff base interactions tuned mesoporous organosilica nanoplatforms with pH-responsive degradability for efficient anti-cancer drug delivery in vivo. Chem. Commun. 2018, 54, 9190–9193. [Google Scholar] [CrossRef] [PubMed]
- Travaglini, L.; Picchetti, P.; Totovao, R.; Prasetyanto, E.A.; De Cola, L. Highly degradable imine-doped mesoporous silica particles. Mater. Chem. Front. 2019, 3, 111–119. [Google Scholar] [CrossRef]
- Lima, M.; Avó, J.; Berberan-Santos, M.N.; Crucho, C.I.C. pH-responsive Silica Coatings: A Generic Approach for Smart Protection of Colloidal Nanoparticles. ACS Appl. Nano Mater. 2022, 5, 9460–9468. [Google Scholar] [CrossRef]
- Devaraj, N.K.; Finn, M.G. Introduction: Click Chemistry. Chem. Rev. 2021, 121, 6697–6698. [Google Scholar] [CrossRef]
- Croissant, J.G.; Mauriello-Jimenez, C.; Maynadier, M.; Cattoën, X.; Wong Chi Man, M.; Raehm, L.; Mongin, O.; Blanchard-Desce, M.; Garcia, M.; Gary-Bobo, M.; et al. Synthesis of Disulfide-Based Biodegradable Bridged Silsesquioxane Nanoparticles for Two-Photon Imaging and Therapy of Cancer Cells. Chem. Commun. 2015, 51, 12324–12327. [Google Scholar] [CrossRef]
- Croissant, J.; Maynadier, M.; Mongin, O.; Hugues, V.; Blanchard-Desce, M.; Chaix, A.; Cattoën, X.; Wong Chi Man, M.; Gallud, A.; Gary-Bobo, M.; et al. Enhanced Two-Photon Fluorescence Imaging and Therapy of Cancer Cells via Gold@Bridged Silsesquioxane Nanoparticles. Small 2015, 11, 295–299. [Google Scholar] [CrossRef]
- von Baeckmann, C.; Kahlig, H.; Lindén, M.; Kleitz, F. On the importance of the linking chemistry for the PEGylation of mesoporous silica nanoparticles. J. Colloid Interface Sci. 2021, 589, 453–461. [Google Scholar] [CrossRef] [PubMed]
- Crucho, C.I.C.; Baleizão, C.; Farinha, J.P.S. Functional group coverage and conversion quantification in nanostructured silica by 1H-NMR. Anal. Chem. 2017, 89, 681–687. [Google Scholar] [CrossRef]
- Meng, H.; Xue, M.; Xia, T.; Zhao, Y.-L.; Tamanoi, F.; Stoddart, J.F.; Zink, J.I.; Nel, A.E. Autonomous in Vitro Anticancer Drug Release from Mesoporous Silica Nanoparticles by pH-Sensitive Nanovalves. J. Am. Chem. Soc. 2010, 132, 12690–12697. [Google Scholar] [CrossRef]
- Porta, F.; Lamers, G.E.M.; Morrhayim, J.; Chatzopoulou, A.; Schaaf, M.; den Dulk, H.; Backendorf, C.; Zink, J.I.; Kros, A. Folic Acid-Modified Mesoporous Silica Nanoparticles for Cellular and Nuclear Targeted Drug Delivery. Adv. Healthcare Mater. 2012, 2, 281–286. [Google Scholar] [CrossRef] [PubMed]
- Quesada, M.; Muniesa, C.; Botella, P. Hybrid PLGA-Organosilica Nanoparticles with Redox-Sensitive Molecular Gates. Chem. Mater. 2013, 13, 2597–2602. [Google Scholar] [CrossRef]
- Croissant, J.; Cattoën, X.; Wong Chi Man, M.; Gallud, A.; Raehm, L.; Trens, P.; Maynadier, M.; Durand, J.-O. Biodegradable Ethylene-Bis(Propyl)Disulfide-Based Periodic Mesoporous Organosilica Nanorods and Nanospheres for Efficient In-Vitro Drug Delivery. Adv. Mater. 2014, 26, 6174–6180. [Google Scholar] [CrossRef]
- Maggini, L.; Cabrera, I.; Ruiz-Carretero, A.; Prasetyanto, E.A.; Robinet, E.; De Cola, L. Breakable mesoporous silica nanoparticles for targeted drug delivery. Nanoscale 2016, 8, 7240. [Google Scholar] [CrossRef] [PubMed]
- Chen, L.; Wang, W.; Su, B.; Wen, Y.; Li, C.; Zhou, Y.; Li, M.; Shi, X.; Du, H.; Song, Y.; et al. A light-responsive release platform by controlling the wetting behaviour of hydrophobic surface. ACS Nano 2014, 8, 744–751. [Google Scholar] [CrossRef]
- Rivero-Buceta, E.; Vidaurre-Agut, C.; Vera-Donoso, C.D.; Benlloch, J.M.; Moreno-Manzano, V.; Botella, P. PSMA-Targeted Mesoporous Silica Nanoparticles for Selective Intracellular Delivery of Docetaxel in Prostate Cancer Cells. ACS Omega 2019, 4, 1281–1291. [Google Scholar] [CrossRef]
- Zhang, L.; Bei, H.P.; Piao, Y.; Wang, Y.; Yang, M.; Zhao, X. Polymer-brush-grafted mesoporous silica nanoparticles for triggered drug delivery. ChemPhysChem 2018, 19, 1956–1964. [Google Scholar] [CrossRef]
- Hore, M.J.A. Polymers on nanoparticles: Structure & dynamics. Soft Matter 2019, 15, 1120–1134. [Google Scholar]
- Balis, A.; Wolski, K.; Zapotoczny, S. Thermoresponsive polymer gating system on mesoporous shells of silica particles serving as smart nanocontainers. Polymers 2020, 12, 888. [Google Scholar] [CrossRef] [PubMed]
- Raj, R.; Pinto, S.N.; Crucho, C.I.C.; Das, S.; Baleizão, C.; Farinha, J.P.S. Optically traceable PLGA-Silica Nanoparticles for Cell-Triggered Doxorubicin Delivery. Colloids Surf. B 2022, 220, 112872. [Google Scholar] [CrossRef] [PubMed]
- Quignard, S.; Masse, S.; Laurent, G.; Coradin, T. Introduction of disulfide bridges within silica nanoparticles to control their intra-cellular degradation. Chem. Commun. 2013, 49, 3410–3412. [Google Scholar] [CrossRef] [PubMed]
- Montheil, T.; Simon, M.; Noel, D.; Mehdi, A.; Subra, G.; Echalier, C. Silylated biomolecules: Versatile components for bioinks. Front. Bioeng. Biotechnol. 2022, 10, 888437. [Google Scholar] [CrossRef]
Disclaimer/Publisher’s Note: The statements, opinions and data contained in all publications are solely those of the individual author(s) and contributor(s) and not of MDPI and/or the editor(s). MDPI and/or the editor(s) disclaim responsibility for any injury to people or property resulting from any ideas, methods, instructions or products referred to in the content. |
© 2023 by the author. Licensee MDPI, Basel, Switzerland. This article is an open access article distributed under the terms and conditions of the Creative Commons Attribution (CC BY) license (https://creativecommons.org/licenses/by/4.0/).
























