Abstract
Coordination compounds of Co(II), Cu(II), Y(III), Zr(IV) and La(III) ions were synthesized from the N-salicylidene aniline (L) derived from the condensation of aniline with salicylaldhyde and 1,10-phenanthroline (phen) as a secondary mixed ligand. L, phen and their complexes were characterized using various physiochemical methods, such as elemental analyses (CHN), Fourier-transform infrared spectroscopy (FT-IR), molar conductance (Λ), magnetic susceptibility (μeff), proton nuclear magnetic resonance (1H NMR), ultraviolet–visible spectroscopy (UV–Vis) and thermogravimetric analysis (TG/DTG). The analytical and spectroscopic data supporting the chemical formulas of the metal complexes and chelation of L and phen with the metal ions forming octahedral complexes. FT-IR spectra demonstrated that L chelated with metal ions as a bidentate ligand via the oxygen atom of the phenolic group with a band in the range 3378–3437 cm−1 and the nitrogen atom of the azomethine group at 1612 cm−1. In addition, phen chelated through two nitrogen atoms in the range 1525–1565 cm−1. The 1H NMR results confirmed the IR assumption that the ligand connected to the metal ions via the phenolic’s oxygen atom. The molar conductance measurements of the complexes revealed high values of the electrolytic nature of these complexes in the range of 90.40–125.80 S cm2 mol−1. Thermal analysis (TG/DTG) was used to differentiate between coordinated and hydrated water molecules and the thermal stability of the complexes. Finally, the anti-microbial activities of the complexes were investigated against fungi (Candida albicans), Gram-negative bacteria (Escherichia coli and Salmonella typhimurium) and Gram-positive bacteria (Staphylococcus aureus and Micrococcus sp.) using the disc diffusion method. The La(III) complex was significant against C. albicans compared with all other compounds and reference standard control.
1. Introduction
Schiff base ligands contain N, O donor atoms that may be used in the reduction reaction of ketones, and oxidation of organic compounds, dyes, pigments, catalysts and polymers [1,2,3]. Schiff base chelated with metal ions forms stable complexes employed in biological, analytical, agricultural, industrial, and medicinal applications [3,4]. There are imine or azomethine groups in a number of natural, naturally derived, and synthetic substances. Such compounds are demonstrated to be crucial to their biological functions [5,6,7,8,9,10]. The first-row transition metals, in particular cobalt and copper, are significant to biology because they are linked to a variety of proteins that are crucial for vital physiological functions [11,12,13,14,15]. The prolate-shaped N-salicylidene anilines (Scheme 1A) belong to the class of liquid crystals with rod- and disc-shaped structural units [16,17,18,19,20] that have undergone extensive study and are employed in a wide range of scientific, technological, industrial domains and possess mesomorphism that have photochromic properties [21,22,23]. Some metals, such as Co, Ni, Cu, Rh, Pd and Pt, combine with N-salicylidene anilines, and the resulting complexes modify the geometric structure of molecules and exhibit smectic mesomorphism [24,25,26]. Phen (Scheme 1B) is a powerful nitrogen donor ligand that effectively chelates metal ions to form stable complexes and has supplemental features for complexes due to it possessing heteroaromatic and aromatic groups [27,28].
Scheme 1.
Structural formulae of (A) L N-salicylidene aniline and (B) 1,10-phenanthroline (phen).
The objectives of this research were to investigate the effects of changing atomic volume, atomic mass, and oxidation state of Co(II), Cu(II), Y(III), Zr(IV) and La(III) on the biological activity of the parent ligand (L) in presence of phen. These unique electolytic mononuclear metal complexes have been subjected to spectroscopic characterization using spectroscopic techniques, such as FT-IR, UV-Vis, 1H NMR, CHN, molar conductivity, magnetic susceptibility studies and thermal analyses. These compounds’ antimicrobial efficacy has been assessed in vitro against bacteria and fungi, as well as statistical analysis of the antimicrobial data.
2. Experimental Section
2.1. Materials and Instrumments
The highest purity analytical grade chemicals were used for all applications. Salicylaldhyde, aniline, phen, ethanol absolute, dimethylformamide (DMF), dimethyl sulfoxide (DMSO), cobalt chloride hexahydrate, copper chloride dihydrate, yttrium chloride hexahydrate, zirconium chloride octahydrate, lanthanum chloride heptahydrate, potassium chromate, concentrated sulfuric acid and silver nitrate from sigma, Aldrich and Fluka Chemical Co. All glasswares were submerged in a chromatic solution (K2Cr2O7 + concentrated H2SO4) before being thoroughly washed with bidistiled water and dried in an oven at 100 °C.
The range of 4000–400 cm−1 of the FT-IR spectra in KBr discs was recorded by using FT-IR 460 PLUS Spectrophotometer. DMSO-d6 was employed as the solvent to acquire the 1H NMR spectra on a Varian Mercury VX-300 NMR Spectrometer. UV-3101PC Shimadzu completed the electronic spectra. The absorption spectra were recorded as DMSO solutions. Shimadzu TGA-50H was used for implementation. TG-DTG measurements were performed in an environment of N2 at temperatures ranging from ambient °C to 1000 °C, and the sample mass was meticulously weighed out in an aluminum crucible. To quantify the M percent content, three analytical methods were used. This purposeful experiment included complexmetric titration, thermogravimetry by converting the solid products into metal oxide, and atomic absorption utilizing a spectrometer type PYE-UNICAM SP 1900 equipped with the appropriate lamp [29,30]. The percent of CHN was carried out using a Perkin Elmer 2400 CHN elemental analyzer. Melting points were measured on a Buchi device. With a Gouy balance and Hg[Co(CSN)4] as the signing material, the magnetic susceptibilities of the powdered materials were investigated on a Sherwood scientific magnetic scale. Using CONSORT K410, the molar conductance of 1 × 10−3 M solutions of the ligands and their complexes in DMF was examined. Each experiment used freshly made solutions and was conducted at room temperature.
2.2. Preparation of N-Salicylidene Aniline (L)
Light yellow solid compound (L) was obtained by the reaction of 20 mmol aniline (1.82 mL) with 10 mmol of salicylaldhyde (2.08 mL) (Scheme 2) using absolute ethanol and refluxed with constant stirring for 5 h in presence of 1 mL glacial acetic acid and concentrated to 8 mL in a water bath and allowed to cool at 0 °C. The formed precipitate was filtered off and dried over anhydrous CaCl2.
Scheme 2.
Preparation of N-salicylidene aniline (L).
2.3. Synthesis of Metal Complexes
The dark green solid complex [Co(L)(phen)(H2O)2]Cl2.6H2O (1) was created by combining 1 mmol of L (0.197 g) with 1 mmol of phen (0.198 g) in 20 mL of ethanol. After 10 min of stirring the mixture, we added 1 mmol (0.237 g) of CoCl2·6H2O in 20 mL ethanol dropwise and refluxed for 6 h. The dark green precipitate was dried over anhydrous CaCl2 under vacuum. Dark brown complex [Cu(L)(phen)(H2O)2]Cl2 (2), dark blue [Y(L)(phen)(H2O)2]Cl3·5H2O (3), green [ZrO(L)(phen)(H2O)]Cl2 (4) and yellow [La(L)(phen)(H2O)2]Cl3 (5) were made in a similar way to that previously described, using ethanol. CoCl2.6H2O, YCl3.6H2O, ZrOCl2.8H2O, LaCl3.7H2O, respectively in 1:1:1 (L:phen:M) molar ratio.
2.4. Antimicrobial Investigation
Five standard microbial strains, two Gram-negative bacteria (Escherichia coli ATCC 10536 and Salmonella typhimurium ATCC 14028), two Gram-positive bacteria (Staphylococcus aureus ATCC 6538 and Micrococcus sp. TCC 10240) and one fungi (Candida albicans ATCC 10231) were obtained as pure cultures from the microbial collection of the School of Agricultural, Forestry, Food and Environmental Sciences (SAFE), University of Basilicata, Potenza, Italy. The antimicrobial activity of the tested samples was determined at the Laboratory of Phytopathology, SAFE, University of Basilicata by using the disc diffusion method according to Clinical Laboratory and Standards Institute Guidelines [31,32] (CLSI, 2012). The microbial strains were inoculated into Mueller-Hinton broth and incubated at 35 °C until it reached a turbidity equivalent to or greater than that of the 0.5 McFarland standard. The turbidity of the suspension was adjusted with sterile saline to achieve a turbidity equivalent to that of a 0.5 McFarland standard. Sterile Mueller–Hinton agar plates were poured aseptically. A sterile cotton swab should ideally be dipped into the modified suspension within 15 min of altering the inoculum suspension’s turbidity. The swab should be turned around many times and firmly pressed against the interior tube wall above the fluid level. By doing this, the swab’s extra inoculum will be removed. By streaking the swab across the whole sterile agar surface of a Mueller-Hinton agar plate’s dried surface, the plate is infected. To ensure an evenly distributed inoculum, streak the plate two more times while rotating it by about 60 degrees each time. The rim of the agar is swabbed as a last step. Before using the drug-impregnated discs, the lid may be left open for 3 to 5 min, but no longer than 15 min, to allow any excess surface moisture to be absorbed. To ensure full contact with the agar surface, sterile filter paper discs of about 5 mm in diameter that were impregnated with 8 L of the test samples were placed on the plates. The diameter of the inhibitory zones was determined after the plates were inverted and incubated at 37 °C for 16 to 20 h [31,33,34]. Inhibition of microbial growth was calculated in relation to the positive control. Using the equation, the compounds’ activity index percent was calculated. The whole experiment was carried out twice with three replicates, and the obtained data are illustrated as mean values ± SDs.
3. Results and Discussion
The physical characteristics and the analytical data of our complexes are mentioned in Table 1, and, according to the obtained data, the complexes are formed of 1:1:1 (L:phen:Metal) stoichiometry. All the complexes are hydrates except Zr(IV) complex with high melting points, air-stable at room temperature and insoluble in most organic solvents but soluble in DMF and DMSO mediums. The molar conductance measurements in 10−3 M DMF of 1, 3, 4 and 5 complexes are in 90.40–125.80 Ω cm2 mol−1 range; these high values revealed the electrolytic nature of these complexes [35,36]. Qualitative data demonstrated the existence of chloride within the complex sphere.
Table 1.
Elemental analysis and Physico-analytical data for L, Phen and their complexes.
3.1. FT-IR Spectra
To monitor the complexation of the transition metal ions by the organic ligand, FT-IR spectroscopy can be a useful analytical technique. To verify the mixed ligand’s mechanism of binding to the appropriate metal ions in the complexes, the FT-IR spectra of L and phen were compared to those of the metal complexes (Figure S1). We initially paid attention to the vibrations of the metal complexes, phenolic and azomethine groups because this supports the mechanism that was hypothesized for the interaction between L and the metal cations. The broad and medium intensity bands observed in the range 3378–3437 cm−1 (Table 2) in FT-IR spectra of complexes are assigned to O–H stretching vibrations of the phenolic group, lattice and coordinated water [11,12,13,14,37]. The chelation mode and structures of complexes are shown in Scheme 3. According to the provided information, v(Zr=O) is a medium band at 846 cm−1 [38]. The vibrational mode v(C=N) of azomethine group for L was visible at 1612 cm−1; this band shifted to lower frequencies around 1600 cm−1 in all metal complexes, which indicates chelation with the metal [13,14]. Phen was matched with metal ions through the two nitrogen atoms and displayed bidentate ligand behavior, as evidenced by the free phen peak at 1586 cm−1. After chelation, this peak shifted to lower values at 1525–1565 cm−1 [37,38]. The decrease of v(C=N) resulted from the decrease in the stretching force constant of the C=N bond as a consequence of the coordination of the nitrogen atom of the azomethine group to the metal ions [39,40,41,42]. New bands with varying intensities at 758, 663 cm−1 for complex (1), at 756, 621 cm−1 for complex (2), at 726, 657 cm−1, for complex (3), at 756, 652 cm−1 for complex (4) and at 721, 630 cm−1 for complex (5), which are absent in the spectra of L and phen indicate the chelation of L and phen with metal ion [43,44,45].
Table 2.
Infrared wavenumber (cm−1) of L, phen and their complexes.
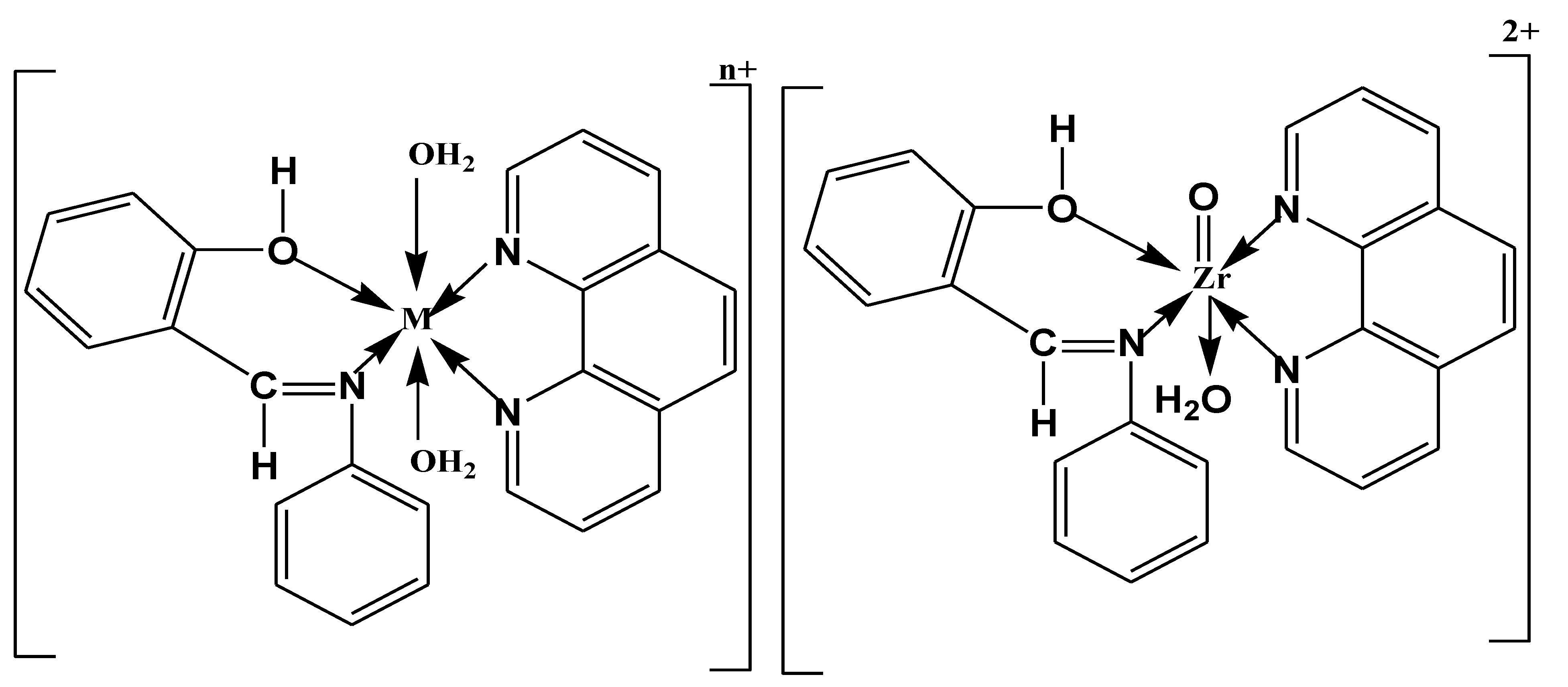
Scheme 3.
The chelation mode of L, phen with Co(II), Cu(II), Zr(IV), Y(III) and La(III) metals ion. M = Co(II), Cu(II) for n = 2 and M = La(III) and Y(III) for n = 3.
3.2. Electronic Spectra and Magnetic Moment Measurements
UV–visible spectral data for L, phen and their mixed complexes were recorded in the wavelength range 200–800 nm in DMSO solvent. The intra-ligand transitions (π–π* and n–π*) for L were accountable at 270, 302, 318 and 340 nm (Figure S2) and Table 3 [11,12]. In addition, phen shows bands at 273, 310 and 350 nm, which may be assigned to π–π* and n–π* transitions [13,14,37,38]. The shifting of the absorption bands of π–π* and n–π* to higher or lower frequencies indicates the formation of complexes. For our complexes, the presence of new peaks in the range 460–480 nm may be assigned to ligand–metal charge transfer [46]. Co(II) complex’s electronic spectrum exhibits an absorption band at 16,528 cm−1, which equates to 4T1g (F) → 4T1g (P) transitions, and a noticeable magnetic moment estimate of 5.11 B.M, demonstrating that the complex seems to have a high spin octahedral with 10 dq 198 kJ/mole and CFSE 198+2p [45,46]. The band observed at 17,241 cm−1 for Cu(II) complex may be assigned to 2B1g → 2Eg transition [11,12,13,14,47,48], the magnetic moment of the complex at 1.70 B. M, which was within the typical range for octahedral Cu(II) complexes with 10 dq 206 kJ/mole and CFSE 206+4p [47]. No d–d transitions were noticed for the complexes Y(III), Zr(IV), and La(III) since these complexes are diamagnetic as expected given their electron configuration (d0). Complexes’ molar absorptivity (ε), as determined by their electronic spectra, was published (Table 3) utilizing the following equation: A = εcl, where c = 1 × 10−3 M and l is the length of the cell (1 cm).
Table 3.
UV-Vis. spectra of L, phen and their complexes.
3.3. 1HNMR Spectra
In d6-dimethylsulfoxide (DMSO) solution, the 1H NMR spectra of L, phen and their complexes were recorded using tetramethylsilane (TMS) as an internal reference (Figure S3) Table 4. The 1H NMR spectrum of L and phen ligand showed a band at δ: 2.48 corresponding to N=CH aliphatic and at δ: 6.96–8.96 ppm for–CH aromatic [49]. Figure S3 demonstrates a singlet (OH) at δ: 13.09 ppm, which may be assigned to the phenolic OH [50]. It is implied that L is coordinated through the oxygen atom of the phenolic proton since the phenolic proton OH is observable in the spectra of the complexes with chemical shift. Due to the presence of water molecules in the complexes, the 1H NMR spectra for all of the complexes reveal a distinct signal in the interval of 3.36–4.35 ppm [50,51]. All signals from the free ligands are evident in the complexes’ spectra when compared to L, phen, with some changes resulting from the ligand’s interaction with the metal.
Table 4.
H NMR values (ppm) and tentative assignments for L, phen and their complexes.
3.4. Thermal Analysis (TG and DTG)
The thermogravimetric analyses (TG and DTG) for L, phen and their complexes were done. The TG data and their assignments are summarized in Table 5 and displayed in Figure S4. The results of thermal study showed good consistency with the molecular formula obtained from the elemental analysis data. The TG of L advanced through one step with an estimated mass loss of 99.68% (calc: as 100.00%) at Tmax 200 °C corresponding to 2C4H2 + H2O + 0.5N2 + 2.5C2H2. The literature review reported the thermal degradation of phen at Tmax 95 °C with loss weight 8.98% (calc: 9.08%) to loss H2O. The second step with Tmax 278 °C and weight loss of 90.87% (calc: 90.92%) corresponded to the loss of 2C4H2 + 2C2H2 + N2 with activation energy 117.83 kJ/mole [52,53]. Complexes (1) and (3) have nearly identical thermal behavior and break down with three stages: The first one corresponds to the loss of lattice water molecules at Tmax 41 and 85 °C. The second decompostion stage at Tmax 172, 285 and 150, 283 °C with loss of 6C2H2 + C2N2 + H2O + 2C4H2 + 0.5O2 and 2H2O + 12C2H2, respectively. The third step involves decomposition at 330, 432, 657 and 475, 810 °C maxima (Table 5). According to TG curve complexes (2), (4) and (5) are thermally stable up to 170 °C and then decompose in two steps: The first one of degradation matches to loss of 2H2O + 4C2H2, 3C4H2 and 2H2O with a mass loss of 25.51% (calc 25.57%), 17.40% (calc 17.44%) and 5.40% (calc 5.47%). The second step corresponds to loss of 4C4H2 + CO + 2HCl + 1.5N2 + 0.5H2, 2C4H2 + CO + 2HCl + 3NH3 and 9C2H2 + C2N2 + CO + HCN + 1.5Cl2 with Tmax 495, 530, 428 and 506 °C.
Table 5.
The maximum temperature Tmax (°C) and weight loss for L, phen and their complexes.
3.5. Antimicrobial Investigation
The antimicrobial property of L, phen, and their metal complexes versus distinct bacterial and fungal species was assessed utilizing the disc diffusion method. Generally, the findings shown in Figure 1 illustrated that the prepared complexes have promising antifungal and antibacterial properties. Following the revelation that chelating compounds can suppress the development of bacteria when complexed with a variety of metals, the antibacterial properties of transition metal complexes have been specifically explored in great detail. The created compounds were discovered to have exceptional bactericidal properties. However, it is intriguing to note that, as shown in Table 6, when biological activity undergoes complexation with the metal ions, it increases in comparison to the examined standards.
Figure 1.
Antimicrobial activity of L, phen and their complexes.
Table 6.
The inhibition diameter zone (mm) and the activity index (%) values for L, Phen and their complexes.
Regarding the antifungal activity, complex (5) possesses significant activity against C. albicans compared to L and phen. On the basis of chelation theory, this increased activity of the metal complexes can be explained [54,55]. The permeability of the cell membrane and the lipid composition of the studied microbial cells’ cell walls enable the easier passage of soluble compounds through the cell, which is a significant aspect of assessing an antimicrobial agent’s efficacy [54,55]. This suggests that chelation may facilitate metal complex diffusion across the lipid layer of the cell membrane to the site of action [56,57,58,59,60]. Table 6 and Figure 2 provide measurements of the compounds’ activity indices.
Figure 2.
Activity index % for L, phen, and their complexes.
4. Conclusions
The chelation of oxygen, nitrogen of L and nitrogen of phen has been shown through the complexation process with Co(II), Cu(II), Y(III), Zr(IV) and La(III) which supported by spectroscopic data. The new mixed metal complexes have been characterized using spectroscopic and physicochemical techniques. The data supported the proposed coordination of six coordinated metal ions with distorted octahedral geometry formed by the ligands. The indicated molecular formulae of the complexes were supported by thermal studies, which also served to assess the stability of the compounds. In addition, the molar conductance statistics indicate that all complexes are electrolytic with chloride ions as counter ions. The antibacterial activity of each generated complex and the two parent ligands has been tested against a variety of food- and phytopathogen-causing microorganisms. In addition, complex (5) demonstrated significant activity against C. albicans compared to the parent ligands L and phen and other complexes.
Supplementary Materials
The following supporting information can be downloaded at https://www.mdpi.com/article/10.3390/compounds3010022/s1. Figure S1: Infrared spectra for L, phen and their metal complexes. Figure S2: Electronic absorption spectra for L, phen and their metal complexes. Figure S3: 1H NMR spectra for L, phen and their metal complexes. Figure S4: TG and DTG diagrams for L, phen and their metal complexes.
Author Contributions
Conceptualization, H.S.E. and S.A.S.; formal analysis, A.A.N. and A.A.M.; investigation, H.S.E.; methodology, A.A.N. and A.A.M.; supervision, H.S.E. and S.A.S.; validation, A.A.N. and S.A.S.; visualization, A.A.M.; writing—original draft, H.S.E., A.A.N. and A.A.M.; writing—review and editing, S.A.S. All authors have read and agreed to the published version of the manuscript.
Funding
This research received no external funding.
Data Availability Statement
Not applicable.
Conflicts of Interest
The authors declare no conflict of interest.
References
- Roat-Malone, R.M. Bioinorganic Chemistry: A short Course; John Wiley and Sons, Inc.: New York, NY, USA, 2002. [Google Scholar]
- Crichton, R.R. Biological Inorganic Chemistry an Introduction; Elsevier: Amsterdam, The Netherlands, 2008. [Google Scholar]
- Prakash, O.; Kumar, R.; Tyagi, P.; Kuhad, R.C. Organoiodine(III) mediated synthesis of 3,9-diaryl- and 3,9-difuryl-bis-1,2,4-triazolo[4,3-a][4,3-c]pyrimidines as antibacterial agents. Eur. J. Med. Chem. 2007, 42, 868–872. [Google Scholar] [CrossRef]
- Zhang, N.; Ayral-Kaloustian, S.; Nguyen, T.; Hernandez, R.; Beyer, C. 2-Cyanoaminopyrimidines as a class of antitumor agents that promote tubulin polymerization. Bioorg. Med. Chem. Lett. 2007, 17, 3003–3005. [Google Scholar] [CrossRef]
- Lanier, M.C.; Feher, M.; Ashweek, N.J.; Loweth, C.J.; Rueter, J.K.; Slee, D.H.; Williams, J.P.; Zhu, Y.F.; Sullivan, S.K.; Brown, M.S. Selection, synthesis, and structure–activity relationship of tetrahydropyrido[4,3-d]pyrimidine-2,4-diones as human GnRH receptor antagonists. Bioorg. Med. Chem. 2007, 15, 5590–5603. [Google Scholar] [CrossRef]
- EL-Shwiniy, W.A.; Ibrahim, A.G.; Sadeek, S.A.; Zordok, W.A. Synthesis, structural elucidation, molecular modeling and antimicrobial studies of 6-(2-hydroxyphenylimine)-2-thioxotetrahydropyrimidin-4 (1H)-one (L) Schiff base metal complexes. Appl. Organomet. Chem. 2021, 35, e6174. [Google Scholar] [CrossRef]
- Abu-Dief, A.M.; El-khatib, R.M.; Aljohani, F.S.; Alzahrani, S.O.; Mahran, A.; Khalifa, M.E.; El-Metwaly, N.M. Synthesis and intensive characterization for novel Zn(II), Pd(II), Cr(III) and VO(II)-Schiff base complexes; DNA-interaction, DFT, drug-likeness and molecular docking studies. J. Mol. Struct. 2021, 1242, 130693. [Google Scholar] [CrossRef]
- Munshi, A.M.; Bayazeed, A.A.; Abualnaja, M.; Morad, M.; Alzahrani, S.; Alkhatib, F.; Shah, R.; Zaky, R.; El-Metwaly, N.M. Ball-milling synthesis technique for Cu(II)-Schiff base complexes with variable anions; characterization, potentiometric study and in-vitro assay confirmed by in-silico method. Inorg. Chem. Commun. 2021, 127, 108542. [Google Scholar] [CrossRef]
- Rajesh, P.; Gunasekaran, S.; Manikandan, A. Structural, spectral analysis of ambroxol using DFT methods. J. Mol. Struct. 2017, 1144, 379–388. [Google Scholar] [CrossRef]
- Abd El-Hamid, S.M.; Sadeek, S.A.; El-Farargy, A.F.; Abd El-Lattif, N.S. Synthesis, structural characterization and ne-maticidal studies of some new N2O2 Schiff base metal complexes. Bull. Chem. Soc. Ethiop. 2021, 35, 315–335. [Google Scholar] [CrossRef]
- Mahmoud, W.H.; Deghadi, R.G.; Mohamed, G.G. Metal complexes of novel Schiff base derived from iron sandwiched organometallic and 4-nitro-1,2- phenylenediamine: Synthesis, characterization, DFT studies, antimicrobial activities and molecular docking. Appl. Organomet. Chem. 2018, 32, e4289. [Google Scholar] [CrossRef]
- Anacona, J.R.; Ruiz, K.; Loroño, M.; Celis, F. Antibacterial activity of transition metal complexes containing a tridentate NNO phenoxymethylpenicillin- based Schiff base. An anti-MRSA iron (II) complex. Appl. Organomet. Chem. 2019, 33, e47744. [Google Scholar] [CrossRef]
- Golbedaghi, R.; Tabanez, A.M.; Esmaeili, S.; Fausto, R. Biological Applications of Macrocyclic Schiff Base Ligands and Their Metal Complexes: A Survey of the Literature(2005–2019). Appl. Organomet. Chem. 2020, 34, e5884. [Google Scholar] [CrossRef]
- Mahmoud, W.H.; Omar, M.M.; Ahmed, Y.M.; Mohamed, G.G. Transition metal complexes of Schiff base ligand based on 4,6-diacetyl resorcinol. Appl. Organomet. Chem. 2020, 34, e5528. [Google Scholar] [CrossRef]
- Jastrzab, R.; Kaczmarek, M.T.; Nowak, M.; Trojanowska, A.; Zabiszak, M. Complexes of polyamines and their derivatives as living system active compounds. Coord. Chem. Rev. 2017, 351, 32–44. [Google Scholar] [CrossRef]
- Abd El-Hamid, S.M.; Sadeek, S.A.; Abd El-Lattif, N.S. Study of the chemical structure and their nematicidal activity of N2O2 tetradentate Schiff base metal complexes. Appl. Organomet. Chem. 2019, 33, e5010. [Google Scholar] [CrossRef]
- Polarz, S.; Landsmann, S.; Klaiber, A. Hybrid Surfactant Systems with Inorganic Constituents. Angew. Chem. Int. Ed. 2014, 53, 946. [Google Scholar] [CrossRef]
- Hubin, T.J.; Amoyaw, P.N.A.; Roewe, K.D.; Simpson, N.C.; Maples, R.D.; Freeman, T.N.C.; Cain, A.N.; Le, J.G.; Archibald, S.J.; Khan, S.I.; et al. Synthesis and antimalarial activity of metal complexes of cross-bridged tetraazamacrocyclic ligands. Bioorg. Med. Chem. 2014, 22, 3239. [Google Scholar] [CrossRef] [PubMed]
- Khan, S.A.; Asiri, A.M.; Al-Amry, K.; Malik, M.A. Synthesis, Characterization, Electrochemical Studies, and In Vitro Antibacterial Activity of Novel Thiosemicarbazone and Its Cu(II), Ni(II), and Co(II) Complexes. Sci. World J. 2014, 2014, 592375. [Google Scholar] [CrossRef]
- Ma, D.Y.; Zhang, L.X.; Rao, X.Y.; Wu, T.L.; Li, D.H.; Xie, X.Q.; Guo, H.F.; Qin, L. Structures, luminescence, and antibacterial studies of two transition metal complexes involving Schiff bases. J. Coord. Chem. 2013, 66, 3261. [Google Scholar] [CrossRef]
- Kursunlu, A.N.; Guler, E.; Sevgi, F.; Ozkalp, B. Synthesis, spectroscopic characterization and antimicrobial studies of Co(II), Ni(II), Cu(II) and Zn(II) complexes with Schiff bases derived from 5-bromo-salicylaldehyde. J. Mol. Struct. 2013, 1048, 476. [Google Scholar] [CrossRef]
- Keypour, H.; Shayesteh, M.; Rezaeivala, M.; Chalabian, F.; Elerman, Y.; Buyukgungor, O. Synthesis, spectral characterization, structural investigation and antimicrobial studies of mononuclear Cu(II), Ni(II), Co(II), Zn(II) and Cd(II) complexes of a new potentially hexadentate N2O4 Schiff base ligand derived from salicylaldehyde. J. Mol. Struct. 2013, 1032, 62. [Google Scholar] [CrossRef]
- Dhanaraj, C.J.; Johnson, J.; Joseph, J.; Joseyphus, R.S. Quinoxaline-based Schiff base transition metal complexes: Review. J. Coord. Chem. 2013, 66, 1416. [Google Scholar] [CrossRef]
- Ahmad, Z.; Chauhan, N.P.S.; Zarrintaj, P.; Khiabani, A.B.; Saeb, M.R.; Mozafari, M. Experimental procedures for assessing electrical and thermal conductivity of polyaniline. In Fundamentals and Emerging Applications of Polyaniline; Elsevier: Amsterdam, The Netherlands, 2019; Chapter 13; pp. 227–258. [Google Scholar]
- de Souza, A.O.; Galetti, F.C.S.; Silva, C.L.; Bicalho, B.; Parma, M.M.; Fonscca, S.F. Antimycobacterial and cytotoxicity activity of synthetic and natural compounds. Quim. Nova 2007, 30, 6. [Google Scholar] [CrossRef]
- Guo, Z.; Xing, R.; Liu, S.; Zhong, Z.; Ji, X.; Wang, L. Antifungal Properties of Schiff Bases of Chitosan, N-Substituted Chitosan and Quaternized Chitosan. Carbohydr. Res. 2007, 342, 1329–1332. [Google Scholar] [CrossRef]
- Sadeek, S.A.; Abd El-Hamid, S.M. Synthesis spectroscopic, thermal analysis and in vitro biological properties of some new metal complexes with gemifloxacin and 1,10-phenanthroline. J. Therm. Anal. Calorim. 2016, 124, 547–562. [Google Scholar] [CrossRef]
- Kucková, L.; Jomová, K.; Švorcová, A.; Valko, M.; Segľa, P.; Moncoľ, J.; Kožíšek, J. Synthesis, crystal structure, spectroscopic properties and potential biological activities of salicylate–neocuproine ternary Copper(II) complexes. Molecules 2015, 20, 2115–2137. [Google Scholar] [CrossRef] [PubMed]
- Salem, A.E.; Mohammed, S.F.; Sadeek, S.A.; Zordok, W.A.; El-Attar, M.S. Synthesis, structural elucidation, molecular modeling, and antimicrobial studies of some nanoparticles mixed ligands complexes of cetirizine in presence of 2,2′-bipyridine. Appl. Organomet. Chem. 2022, 35, e6715. [Google Scholar] [CrossRef]
- Elshafie, H.S.; Sadeek, S.A.; Camele, I.; Mohamed, A.A. Biochemical characterization of new gemifloxacin schiff base (GMFX-o-phdn) metal complexes and evaluation of their antimicrobial activity against some phyto- or human pathogens. Int. J. Mol. Sci. 2022, 23, 2110. [Google Scholar] [CrossRef]
- Beecher, D.J.; Wong, A.C. Identification of hemolysin BL-producing Bacillus cereus isolates by a discontinuous hemolytic pattern in blood agar. Appl. Environ. Microbiol. 1994, 60, 1646. [Google Scholar] [CrossRef]
- Elshafie, H.S.; Sakr, S.; Bufo, S.A.; Camele, I. An attempt of biocontrol the tomato-wilt disease caused by Verticillium dahliae using Burkholderia gladioli pv. agaricicola and its bioactive secondary metabolites. Int. J. Plant Biol. 2017, 8, 57–60. [Google Scholar] [CrossRef]
- Sofo, A.; Elshafie, H.S.; Scopa, A.; Mang, S.M.; Camele, I. Impact of airborne zinc pollution on the antimicrobial activity of olive oil and the microbial metabolic profiles of Zn-contaminated soils in an Italian olive orchard. J. Trace Elem. Med. Biol. 2018, 49, 276–284. [Google Scholar] [CrossRef]
- Wayne, P.A. CLSI Document M07-A9; Methods for Dilutionantimicrobial Susceptibility Tests for Bacteria that Growaerobically; Clinical and Laboratory Standard Institute: Wayne, NY, USA, 2012. [Google Scholar]
- Geary, W.J. The use of conductivity measurements in organic solvents for the characterisation of coordination compounds. Coord. Chem. Rev. 1971, 7, 81–122. [Google Scholar] [CrossRef]
- Abd El-Hamid, S.M.; Sadeek, S.A.; Mohammed, S.F.; Ahmed, F.M.; El-Gedamy, M.S. N2O2-chelate metal complexes with Schiff base ligand:Synthesis, characterisation and contribution as a promising antiviral agent against human cytomegalovirus. Appl. Organomet. Chem. 2023, 37, e6958. [Google Scholar] [CrossRef]
- Elshafie, H.S.; Sadeek, S.A.; Camele, I.; Awad, H.M.; Mohamed, A.A. Biological and Spectroscopic Investigations of New Tenoxicam and 1.10-Phenthroline Metal Complexes. Molecules 2020, 25, 1027. [Google Scholar] [CrossRef] [PubMed]
- Sadeek, S.A.; Mohamed, A.A. Ligational and biological studies of Fe(III), Co(II), Ni(II), Cu(II), and Zr(IV) complexes with carbamazepine as antiepileptic drug. Appl. Organomet. Chem. 2021, 35, e6178. [Google Scholar]
- EL Amane, M.; Bouhdada, M. Synthesis and Characterization of the mixed ligand Complexes [M (Ac) 2 (caf) 2] M = Ni (II), Co (II), Zn (II), [Cu2 (μ-Ac) 4 (caf) 2], Ac = CH3COO-, caf = caffeine. Int. J. Chemtech. Res. 2014, 6, 1430. [Google Scholar]
- Rentschler, E.; Von Malotki, C. Spin transition in three-dimensional bridged coordination polymers of iron(II)–urea-triazoles. Inorg. Chim. Acta 2008, 361, 3646. [Google Scholar] [CrossRef]
- Dilip, C.S.; Kumar, V.S.; Venison, S.J.; Potheher, I.V.; Subahashini, D.R. Synthesis, structural characterisation, bio-potential efficiency and DNA cleavage applications of nicotinamide metal complexes. J. Mol. Struct. 2013, 1040, 192–205. [Google Scholar] [CrossRef]
- El-Ghamry, M.A.; Saleh, A.A.; Khalil, S.M.E.; Mohammed, A.A. Mono, bi- and trinuclear metal complexes derived from new benzene-1,4-bis(3-pyridin-2-ylurea) ligand. Spectral, magnetic, thermal and 3D molecular modeling studies. Spectrochim. Acta A 2013, 110, 205–216. [Google Scholar] [CrossRef]
- Hassan, W.M.I.; Badawy, M.A.; Mohamed, G.G.; Moustafa, H.; Elramly, S. Synthesis, spectroscopic, thermal and DFT calculations of 2-(3-amino-2-hydrazono-4-oxothiazolidin-5-yl) acetic acid binuclear metal complexes. Spectrochim. Acta A 2013, 111, 169–177. [Google Scholar] [CrossRef]
- Yousef, T.A.; Abu El-Reash, G.M.; El-Gammal, O.A.; Bedier, R.A. Synthesis, characterization, optical band gap, in vitro antimicrobial activity and DNA cleavage studies of some metal complexes of pyridyl thiosemicarbazone. J. Mol. Struct. 2013, 1035, 307–317. [Google Scholar] [CrossRef]
- Uivarosi, V. Metal Complexes of Quinolone Antibiotics and Their Applications: An Update. Molecules 2013, 18, 11153–11197. [Google Scholar] [CrossRef]
- Jena, V. Electronic Spectra of Transition Metal Complexes; Lulu Press Inc.: New York, NY, USA, 2015. [Google Scholar]
- Cotton, F.A.; Wilkinson, G.; Murillo, C.A.; Bochmann, M. Advanced Inorganic Chemistry, 6th ed.; Wiley: New York, NY, USA, 1999. [Google Scholar]
- Sadeek, S.A.; EL-Shwiniy, W.H. Metal complexes of the third generation quinolone antibacterial drug sparfloxacin: Preparation, structure, and microbial evaluation. J. Coord. Chem. 2010, 63, 3471. [Google Scholar] [CrossRef]
- Macias, B.; Martinez, M.; Sanchez, A.; Dominguez-Gil, A.A. Physico-chemical study of the interaction of ciprofloxacin and ofloxacin with polivaientcations. Int. J. Pharm. 1994, 106, 229–235. [Google Scholar]
- Elshafie, H.S.; Mohamed, A.A.; Sadeek, S.A.; Zordok, W.A. Meloxicam and Study of Their Antimicrobial Effects Against Phyto- and Human Pathogens. Molecule 2021, 26, 1480. [Google Scholar] [CrossRef]
- Mohamed, A.A.; Ahmed, F.M.; Zordok, W.A.; EL-Shwiniy, W.H.; Sadeek, S.A.; Elshafie, H.S. Novel Enrofloxacin Schiff Base Metal Complexes: Synthesis, Spectroscopic Characterization, Computational Simulation and Antimicrobial Investigation against Some Food and Phyto-Pathogens. Inorganics 2022, 10, 177. [Google Scholar] [CrossRef]
- Sadeek, S.A.; Abd El-Hamid, S.M. Preparation, characterization and cytotoxicity studies of some transition metal complexes with ofloxacin and 1,10-phenanthroline mixed ligand. J. Mol. Struct. 2016, 1122, 175–185. [Google Scholar] [CrossRef]
- Ringer, A.L.; Sherrill, C.D.; King, R.A.; Crawford, T.D. Low-lying singlet excited states of isocyanogen. Int. J. Quant. Chem. 2008, 108, 1137–1140. [Google Scholar] [CrossRef]
- Hoban, D.J.; Bouchillon, S.K.; Johnson, J.L.; Zhanel, G.G.; Butler, D.L.; Miller, L.A. Poupard JA Comparative in vitro activity of gemifloxacin, ciprofloxacin, levofloxacin and ofloxacin in a North American surveillance study. Diagn. Microbiol. Infect. Dis. 2001, 40, 51–57. [Google Scholar] [CrossRef]
- Fernández-Roblas, R.; Cabria, F.; Esteban, J.; López, J.C.; Gadea, I.; Soriano, F. In vitro activity of gemifloxacin (SB 265805) compared with 14 other antimicrobials against intestinal pathogens. J. Antimicrob. Chemother. 2000, 46, 1023–1027. [Google Scholar] [CrossRef]
- Elshafie, H.S.; Camele, I.; Sofo, A.; Mazzone, G.; Caivano, M.; Masi, S.; Caniani, D. Mycoremediation effect of Trichoderma harzianum strain T22 combined with ozonation in diesel-contaminated sand. Chemosphere 2020, 252, 126597. [Google Scholar] [CrossRef]
- Saravolatz, L.; Manzor, O.; Check, C.; Pawlak, J.; Belian, B. Antimicrobial activity of moxifloxacin, gatifloxacin, and six fluoroquinolones against Streptococcus pneumoniae. J. Antimicrob. Chemother. 2001, 47, 875. [Google Scholar] [CrossRef][Green Version]
- Cottagnoud, P.; Acosta, F.; Cottagnoud, M.; Tauber, M.G. Gemifloxacin is efficacious against penicillin-resistant and quinolone-resistant pneumococci in experimental meningitis. Antimicrob. Agents Chemother. 2002, 46, 1607–1609. [Google Scholar] [CrossRef] [PubMed]
- Sakr, S.H.; Elshafie, H.S.; Camele, I.; Sadeek, S.A. Synthesis, Spectroscopic, and Biological Studies of Mixed Ligand Com-plexes of Gemifloxacin and Glycine with Zn(II), Sn(II), and Ce(III). Molecules 2018, 23, 1182. [Google Scholar] [CrossRef] [PubMed]
- Scheld, W.M. Maintaining fluoroquinolone class efficacy: Review of influencing factors. Emerg. Infect Dis. 2003, 9, 1–9. [Google Scholar] [CrossRef] [PubMed]
Disclaimer/Publisher’s Note: The statements, opinions and data contained in all publications are solely those of the individual author(s) and contributor(s) and not of MDPI and/or the editor(s). MDPI and/or the editor(s) disclaim responsibility for any injury to people or property resulting from any ideas, methods, instructions or products referred to in the content. |
© 2023 by the authors. Licensee MDPI, Basel, Switzerland. This article is an open access article distributed under the terms and conditions of the Creative Commons Attribution (CC BY) license (https://creativecommons.org/licenses/by/4.0/).




