Abstract
The Irawan Watershed in Puerto Princesa, Philippines, is an important resource that supports domestic, agricultural, and industrial water needs. This study applies the Water Evaluation and Planning (WEAP) model to project the impacts of climate change on future surface water availability, integrating the findings into an Integrated Water Resource Management (IWRM) framework. Using bias-corrected General Circulation Models (GCMs) under four shared socioeconomic pathways (SSPs), this study examines scenarios from low to high emissions (SSP126, SSP245, SSP370, and SSP585) for the assessment of potential variations in water supply. The results indicate a significant vulnerability to water availability, especially under SSP370 and SSP585, where climate warming is pronounced, leading to significant reductions in streamflow. Conversely, SSP126 suggests relatively stable conditions with less pronounced hydrological changes. The study also explores the socioeconomic drivers that affect water demand, including population growth and land use changes that influence agricultural water needs. The findings underscore the urgency of using adaptive management strategies to conserve water resources in the face of these anticipated challenges. Key recommendations include optimizing water use efficiency in all sectors, establishing protective zones around natural ecosystems, implementing climate-resilient infrastructure, and promoting community engagement in water management. These measures are critical for enhancing water security and promoting sustainable development within the watershed, contributing to the broader goals of Sustainable Development Goal (SDG) 6. This study offers decision-makers and resource managers an evidence-based framework for integrating hydrological modeling into IWRM, providing valuable insights to navigate the complexities of climate change and ensure the long- term sustainability of water resources in the Philippines.
1. Introduction
Water resources are necessary for both economic growth and human existence. Nevertheless, water supplies are in danger of becoming scarce and of low quality due to various socioeconomic and environmental variables, such as population increase, land use changes, and climate change [1,2,3]. As the frequency of extreme weather events rises and precipitation patterns are altered by climate change, more threats are being made to the watershed’s water resource availability and quality [4,5]. Globally, more than 2 million people live in countries experiencing high water stress, as demands on freshwater resources far exceed sustainable supply [6]. Climate change is exacerbating this issue, altering rainfall patterns and increasing the frequency of extreme weather events, such as droughts and floods, which both threaten the availability and quality of freshwater resources. These pressures require urgent and innovative water management solutions to ensure the resilience of water systems against these challenges [5,6].
Over 100 million people in Southeast Asia are adversely affected by resource mismanagement and water shortages [7]. The region’s varied temperature and environment cause significant variations in rainfall and river flows, which are made more erratic by climate change. Water abstraction has increased due to increased demands from industry, urbanization, and agriculture, which has led to pollution, biodiversity loss, and water degradation [8]. Inadequate infrastructure and lack of institutional capacity exacerbate these problems, making it difficult for Southeast Asian nations to successfully adopt sustainable water management techniques [7,9].
The physical and economic conditions of the Philippines make it susceptible to problems concerning water resources. The nation often experiences typhoons, floods, and extended dry periods, all of which impair the quality and availability of water [10]. Existing water supplies are severely strained by the fast organization and population increase, particularly in important areas like Metro Manila and Puerto Princesa [11]. The nation is also vulnerable to seasonal fluctuations and pollution because it relies on surface water sources and limited groundwater reserves.
There has never been a greater pressing need for a thorough and flexible approach to water management. The Irawan Watershed, located in Puerto Princesa, Philippines, is one of the most important sources of surface water in the area for agriculture and residential applications. However, the watershed is facing significant challenges due to climate change and socioeconomic factors, which will likely impact its future water supply. Finite freshwater resources are being steadily depleted by population increase, fast urbanization, and climate change, which affect both the quality and quantity of water [12,13]. Water scarcity and poor water quality are major concerns since institutional capacity is frequently constrained, especially in developing countries [14,15,16]. Scenario analysis and numerical quantification are extremely important for addressing important decision points and enabling focused action to address future water quality issues and forecast future conditions. However, like in other situations, water quality scenarios call for multidisciplinary methods that incorporate social science, hydrological science, climatic science, and local government. In order to get ready for a robust future and reach global goals like Sustainable Development Goal 6.0, it is critical to ensure that hydrological modeling and scenario analysis at the watershed level are understandable, relatable, and utilized by local policymakers [17].
Climate change is causing changes in precipitation patterns, resulting in water scarcity in many regions worldwide [18]. In addition, socioeconomic elements, including urbanization and population rise, are putting pressure on water resources, resulting in increased demand for water [19]. These elements working together have the potential to have a big influence on the availability of surface water in the future in the Irawan Watershed [20].
The difficulty is in implementing the IWRM concept into practice at the river basin level through suitable coordinating entities [21]. A prioritization study was conducted to determine strengths, such as the separation of water resource management and water service provision in implementing IWRM, and address the threat of increasing negative impacts of climate change in Puerto Princesa [22]. These observations were the driving force behind selecting the Irawan Watershed in Puerto Princesa as the pilot catchment for further study. Several studies have been carried out to investigate the impact of climate change and socioeconomic factors on water resources in various regions worldwide [23,24,25]. However, few studies have focused on the Irawan Watershed and incorporated it in IWRM. Given that Irawan is only one of millions of catchments globally, this makes sense. Nonetheless, the Irawan Watershed has unique characteristics that make it especially pertinent to IWRM research. The Irawan Watershed is a significant freshwater supply for local agriculture and residential use. Its tropical environment, which has distinct wet and dry seasons, puts strain on water resources during the dry season and causes seasonal variations in the water availability. The watershed is important ecologically because it sustains a variety of biodiversity and offers a habitat for a wide variety of flora and fauna, which helps to maintain the environmental sustainability of the area. The watershed is essential to the local economy and society since it provides water to the expanding urban population and sustains agricultural operations. Nevertheless, the watershed is confronted with issues including deforestation, changes in land use brought by urbanization, and rising water demand as a result of population increase. In order to manage conflicting water needs and maintain ecological health, the Irawan watershed is an ideal case study for analyzing the use of IWRM concepts. Although the significance of this matter to the local community and regional agriculture is high, research assessing how climate change affects water supply and demand in the research region has not yet been carried out by utilizing the results of General Circulation Models (GCMs). GCMs are widely used in climate studies to simulate the effects of different greenhouse gas emission scenarios on global and regional climates. Although RCMs provide higher spatial resolution and more comprehensive detail, they are often expensive and not always accessible, especially in data-limited regions. For this study, GCMs were chosen as a practical and valid tool to project future climate conditions in the Irawan Watershed. Their widespread application and established reliability in simulating large-scale climate processes make them suitable for evaluating climate impacts on water resources in this region. This study aims to examine the impact of socioeconomic and climate change factors on future surface water supply in the Irawan Watershed of Puerto Princesa, Philippines.
The Philippines is a fast-expanding nation (GDP above 7%), yet rapid urban expansion has been uncoordinated, and wastewater management infrastructure is inadequate [26]. Surface water supplies continue to be under extreme stress due to the direct discharge of wastewater. The deterioration of the water quality is made worse by a number of severe weather occurrences, such as floods and typhoons. In order to fill the gap in the watershed level in the land use planning process for incorporating climate change adaptation and mitigation strategies, a prioritization study was conducted to determine strengths, such as the separation of water resource management and water service provision in implementing IWRM, and address the threat of increasing negative impacts of climate change in Puerto Princesa [22]. These observations were the driving force behind selecting the Irawan Watershed in Puerto Princesa as the pilot catchment for further study. Further, the area was selected because the watershed is the main water source of the city and is experiencing a rapid industrial expansion. This has resulted in a sharp decrease in the quality of water, a rise in population, and a rapid shift in land use. The Water Evaluation and Planning (WEAP) model was chosen for this study because of its relevance to the hydrological dynamics of the Irawan Watershed, transparency, adaptability for data-scarce situations, and compatibility with the concepts of IWRM. The Irawan Watershed is one area where WEAP is very useful since it takes less complicated data inputs while still producing reliable estimates [27,28]. The watershed tropical climate and water requirements depend on surface- and groundwater, climatic variability, and seasonal demand changes, all of which are included in the model to account for supply and demand [29]. Furthermore, the intuitive interface of WEAP facilitates scenario analysis and stakeholder interaction, bolstering cooperative resource management initiatives [30,31]. Given its adaptability, WEAP is frequently used to assess various water use scenarios, which fits in nicely with the goal of this study, which is to balance ecological, agricultural, and household needs under IWRM [31,32,33].
Hydrological models, which replicate the flow, distribution, and quality of water within a watershed, offer a thorough understanding of water systems that is essential for sustainable management. These models are crucial tools for tackling the complexity of IWRM since they incorporate many hydrological processes and enable the assessment of alternative management scenarios. Hydrological modeling aids in IWRM by offering a comprehensive understanding of the water cycle, forecasting the effects of different environmental and human-caused changes, and guiding decision-making procedures. Hydrological model integration with IWRM facilitates the accomplishment of several important goals. Hydrological models are used to mimic various processes, such as precipitation, evapotranspiration, infiltration, runoff, and groundwater movement. These models aid in the comprehension of the flow of water through the environment and its interactions with various watershed components [34]. The amount of water that is accessible for various applications, such as domestic, industry, and agriculture, is estimated using models. This is necessary in order to create plans for the effective and equitable distribution of water resources [35]. Water conservation measures, land use changes, reservoir operations, and other management strategies can all be simulated using hydrological models. This aids in evaluating the possible advantages and disadvantages of different approaches by decision-makers [36]. The effects of temperature and precipitation variations on water resources can be predicted by integrating hydrological and climatic models. This is necessary in order to design adaptation strategies that will decrease the impact of climate change on water supply [37]. Hydrological models are essential for anticipating and controlling catastrophic weather occurrences like floods and droughts. To safeguard populations and ecosystems, they assist in identifying risk regions, predicting occurrences, and creating mitigation strategies [38].
Hydrological modeling developments in recent years have improved the precision and usefulness of these techniques in IWRM [1,39]. The ability to simulate future climate scenarios and their effects on water resources is made possible by advancements in the coupling of hydrological models [40]. Through this combination, effective adaptation methods for managing water resources in the face of changing climate circumstances are developed [41]. Hydrological, ecological, and socioeconomic components combined in integrated models offer a comprehensive water resource management method. These models replicate how human activity and water resources interact, promoting sustainable management techniques [42]. Studies conducted recently have shown how useful hydrological models are for assisting IWRM. For example, Asadieh and Krakauer [43] evaluated the impact of climate change on water availability in the Middle East using hydrological models. Comparably, Xue et al. [44] estimated the water resources management plan in Chia’s coastal Binhai New Area using the WEAP model and suggested integrated risk reduction measures. These illustrations highlight how crucial it is to incorporate hydrological modeling into IWRM in order to improve water security and inform decision-making.
The purpose of this study is to look at how socioeconomic development and climate change affect the availability of surface water in the Irawan Watershed. This will be accomplished by examining several possibilities for the future, including SSPs. The application of a multi-scenario approach would facilitate the discovery of several factors, such as socioeconomic growth and climatic change, that affect the supply of water in different basins within the Irawan Watershed. An overview of the study area is presented, together with important features and current anticipated climatic forecasts for the region. Following this, the IWRM approach for the study area is a separate case study detailing strengths, weaknesses, opportunities, and threats [22,45]. In addition, this study seeks to assess how well hydrological modeling supports the Irawan Watershed in Integrated Water Resource Management (IWRM).
In light of the hydrological simulation findings, the local government ought to include suitable adaptation and mitigation countermeasures in its local policy. The results of this study will help to clarify how socioeconomic variables and climate change affect the water resources in the Irawan Watershed and offer guidance for the regional planning and management of the resources. The study seeks to demonstrate the critical role of hydrological modeling in developing and implementing effective IWRM plans, contributing to the sustainable management of water resources in the Irawan Watershed and similar regions.
2. Materials and Methods
2.1. Study Area
Situated between 9°47′ and 9°53′ in the north latitude and between 118°37′ and 118°43′ in the east longitude, the Irawan Watershed (Figure 1) is one of Puerto Princesa City’s principal watersheds [46]. The distance is roughly 14 km from the city center and 580 km from Manila [46]. It lies in Puerto Princesa City inside the political bounds of barangay Irawan and a tiny section of barangay Bacungan and has an area of 3679 hectares [46]. The area has seven sub-watersheds, each with a designated stream channel. The management of the watershed is currently overseen by the Puerto Princesa City Water District (PPCWD) [46].
Figure 1.
Location map of Irawan Watershed.
The warm season defines the Type III climate of the watershed. Generally, dry weather is seen from December to April, with wet weather the rest of the year. The Puerto Princesa City station gets rainfall ranging from 1489.6 to 2338.3 mm, with an average of around 1769.14 mm, according to data from the Philippine Atmospheric Geophysical and Astronomical Services Administration (PAGASA) for the previous five years (2007–2011). Conversely, the average temperature was 28.32 °C.
The 115,610 hectares of Puerto Princesa City’s watershed area are divided into five major and six smaller river basins. The eleven watersheds and the corresponding catchment areas are listed in Table 1. Among these, the Irawan River was chosen for this study because it serves as the primary water source in the city [47]. The Irawan Watershed faces distinct challenges, including rapid urban growth, rising water demand, and climate variability, making it especially vulnerable to potential water shortages [48,49]. By focusing on this watershed, this study can better assess how these pressures impact water availability and offer practical insights for sustainable management that may also benefit other basins facing similar challenges. The five river basins with the most catchment area in Puerto Princesa are the Babuyan, Montible, Langogan, Inagawan, and Bacungan Rivers, contributing 25, 20, 14, 12, and 10 percent of the total catchment area, respectively [46]. In comparison, the Irawan Watershed, which accounts for only 3% of the overall catchment area, plays a disproportionately critical role as the primary source of the city’s water supply. Despite covering only a small amount of the city’s total catchment area, the watershed provides approximately 51% for domestic use [46,50]. The remaining supply is allocated for other purposes, including agricultural irrigation, industrial processes, and maintaining environmental flows to support the watershed’s ecological health. This distribution highlights the watershed’s critical role in meeting both human and environmental water demands in the city.
Table 1.
Significant rivers and catchment regions in the watersheds of Puerto Princesa City [46].
2.2. WEAP Modeling in Irawan Watershed
2.2.1. Model Description
The scenarios in this study assess the impacts of climate change and socioeconomic development on the Irawan Watershed. Climate change scenarios explore varying levels of temperature rise and precipitation shifts to gauge water availability under different climate conditions. Socioeconomic development scenarios examine the effects of population growth and urbanization on water demand. Combined scenarios integrate these factors to evaluate how simultaneous changes in climate and socioeconomic conditions could impact water resources and future availability. IWRM models were built for each scenario at a monthly time step using the Water Evaluation and Planning System (WEAP). WEAP is a software application utilized for the purpose of integrating the planning and management of water resources [45,51,52]. The methodology employed involves a mass balance technique to determine the prioritized supply and demand at every node, including but not limited to demand sites, groundwater, aquifers, reservoirs, and water treatment facilities. These nodes are interconnected via transmission and return flow lines. The aforementioned tool facilitates the prediction of forthcoming water demands for diverse climate–socioeconomic scenarios by water planners and policymakers. This enables the formulation of suitable water resource policies to cater to future water demands. The object-oriented approach and all equations are detailed in Yates et al. [51]. Relevant WEAP application examples include the policy analysis of Syria and Spain for alternate groundwater management plans [53]; the impact of changing climate and socioeconomic conditions on the availability of surface water in the upper Indus Basin of Pakistan [54]; and projecting hydrological responses to climate change and urbanization in the main watersheds of the Bicol River Basin [40].
In this study, the WEAP software’s (Version 2023.0) soil moisture method, described by Sieber (2015) [11], was utilized to replicate catchment processes. The soil moisture model facilitated the regulation of soil and land characteristics during the streamflow process. When a basin is split into many sub-basins because of variations in land use or type, the water balance equation (Equation (1)) is computed separately for each sub-basin. The climate in each sub-basin is considered to be constant [11].
Relative storage, denoted by Z1,j, is the overall storage capacity, expressed in millimeters (mm), in the root zone of the soil in area j. The soil cover’s ability to retain dirt in area j is represented by Rdj. The Penman–Monteith technique, which takes into account the crop or plant coefficient (kc,j) unique to each covered area, is used to calculate PET (Potential Evapotranspiration). The effective precipitation is denoted by Pe, while the runoff resistance coefficient for the given region is shown by RRFj. Surface runoff is indicated by Pe(t)Z1,jRRFj, and inflow into the first soil layer is indicated by the term fj ks,jZ21j. The saturated root zone conductivity, expressed in millimeters per unit of time, is denoted by Ks,j. The distinction between horizontal and vertical flow dependent on topography, plant cover, and soil qualities is represented by the coefficient fj.
Climate, hydrological, socioeconomic, and water demand statistics are among the input data needed for the model, which is compiled in Table 2. It consists of the key datasets used in the WEAP simulation, each chosen to ensure that the model accurately reflects the Irawan Watershed’s specific climate, water demand, and socioeconomic conditions. Climate data are essential for modeling future temperature and rainfall patterns, allowing the simulation of different climate scenarios. Streamflow data, along with population and agricultural statistics, provide a picture of the current water demand and help in projecting future needs. Crop water requirements and other domestic water consumption data specific to the study area were also included to improve the accuracy of water use estimates across different sectors. These datasets are foundational for creating a model that captures the unique characteristics and water needs of the study area. This information comes from several agencies, including the Puerto Princesa City Water District (PPCWD), the Philippine Statistics Authority (PSA) [55], the Philippine Atmospheric, Geophysical and Astronomical Services Administration (PAGASA) [56], and the Puerto Princesa City Government (PPCG) [57].
Table 2.
List of the datasets used in WEAP simulation.
2.2.2. Model Set-Up
The WEAP model was used to evaluate the water balance in the basin following data collection and analysis. After combining the input data into monthly numbers and making important assumptions, the model was built for the potential future situations listed in Table 3. River water is used to supply the water demand requirements of the communities in the basin, which are the demand sites. The amount of water required for domestic use will depend on the annual per capita water use. Variables, like crop area and crop water needs, were provided by the pertinent literature in order to compute agricultural water demands. All of the supply and demand nodes utilized in the WEAP simulations are shown schematically in Figure 2. Before utilizing the CMIP6 climate data to power streamflow models in the future, bias correction was applied with respect to future climatic variables.
Table 3.
Key assumptions in WEAP.
Figure 2.
Diagram of the Irawan study area for hydrological modeling with the WEAP framework. The illustration’s green dot denotes the catchment area, the red dots correspond to regions where agricultural, domestic, and rural water demand is felt, and the sky-blue lines depict the major river’s courses as the primary water supply sources. A solid green transmission line connects demand locations to the supply source, while a solid red return flow line indicates how much of the consumed water flows back into the river. A dotted blue line represents the runoff that originates from the catchment. A blue dot with arrows shows the catchment’s streamflow gauge, indicating the river’s terminus.
Equation (2) is used in the WEAP model to calculate water demand (WD). This formula takes into account a number of variables, including the monthly share (MS), expressed as a percentage (%), the annual activity level (AL), and the annual water usage (AWU), which is measured in cubic meters (m3). The population in the household sector, the number of production units in the industrial sector, and the agricultural area measured in square kilometers (km2) for farming activities are all related to the activity level (AL) [54].
2.2.3. Model Calibration and Validation
The allocation of water to the demand sites was carried out based on priority in practice. Nonetheless, for the purposes of this investigation, it was assumed that all demand sites held the same level of priority. Consequently, any modifications in either the supply or demand would have an equal effect on all demand sites.
The study involved calibrating the model for the period spanning 2011 to 2013, followed by validation for the years 2014 to 2016. This was performed using monthly climate data obtained from the meteorological stations of the PAGASA Puerto Princesa Synoptic Station, as well as streamflow data sourced from the gauges of Puerto Princesa City Water District (PPCWD). The present study utilized socioeconomic population data, water usage statistics, cultivable land metrics, and other relevant data from prior periods. These data were extracted from various literature sources, as well as governmental reports and datasets. The hydrologic model’s necessary parameters were estimated using the built-in parameter estimation tool (PEST) in WEAP for calibration purposes. The parameters under consideration encompassed crop coefficient, soil water capacity, deep water capacity, runoff resistance factor, root zone conductivity, deep conductivity, and preferred flow direction. The parameters were established according to the geographical characteristics of the study region and their permissible intervals, which were subsequently fine-tuned within those limits through the utilization of PEST. Supplementary Table S1 represents the ranges of the model’s parameters and the optimized values used in this study.
2.3. Scenario Development
The dynamics between water supply and demand were evaluated using potential future population and climate scenarios (Table 4). These scenarios are created by integrating the WEAP simulation predictions of population growth, agricultural land decline, domestic demand, and climate change scenarios to project water demand.
Table 4.
The sixteen pathways in WEAP simulations.
2.3.1. Climate Scenario
Several scenarios of climate change drove the hydrological model in the WEAP in order to anticipate future periods. The Intersectoral Impact Model Intercomparison Project (ISIMIP; [59]) provided three bias-corrected GCM forecasts, which included Alfred Wegener Institute Climate Model 1 (AWI-CM-1-1-MR [60]), Community Earth System Model version 2 (CESM2, [61]), and Meteorological Research Institute Earth System Model version 2.0 (MRI-ESM2-0, [62]), as listed in Table 5. Notably, these three GCMs were frequently utilized to drive the hydrological models on global and regional levels and support the hydrological models, providing reliable climate inputs for this study [54,63,64]. All GCMs are associated with shared socioeconomic pathways (SSPs), namely, SSP126, SSP245, SSP370, and SSP850. These paths cover a variety of predicted temperatures and emission levels to the end of the century. The underlying presumptions that underpin these projections relate to population growth, energy resources, economic activity, and other socioeconomic issues [65].
Table 5.
The three selected GCMs from CMIP6.
Given the limited availability of observed meteorological data and the sparse distribution of weather stations in the region, the spatial resolution of GCM data is less critical for the basin. Consequently, bias correction methods were applied to address the systematic errors in the GCM outputs, aligning them more closely with the observed climatic conditions. The bias-corrected values are listed in Tables S2 and S3. To reduce the uncertainties inherent in each GCM, this study employed a multi-model approach. Research suggests that a multi-model ensemble offers more robust and reliable projections compared to the use of a single model. By averaging projections from multiple climate models within the WEAP simulation, the study provides a more comprehensive assessment of future climate conditions.
The “peak-and-decline” scenario among these paths is exemplified by SSP126, in which radiative forcing peaks around 3.1 W/m2 by mid-century and then falls to 2.6 W/m2 by 2100. This scenario focuses on environmental preservation, renewal of energy technologies, and human well-being while enacting significant reductions in greenhouse gas (GHG) emissions [66]. SSP585, nevertheless, is a very high-emission scenario that calls for increasing emissions of greenhouse gases over the century, raising average world temperatures. While SSP370 portrays moderate situations where local and regional concerns are prioritized above global ones in policy, SSP245 reflects a routine operations scenario with limited advancements in sustainability and moderate levels of GHG emissions [65].
The bias-corrected CGM scenarios from ISIMIP were further downscaled using the quantile mapping (QM) approach [67,68]. The QM method aligns modeled empirical cumulative distribution functions (ECDFs) with observational ECDFs from the gauging station. It is a prevalent empirical and statistical correction technique applied to daily precipitation and temperature data [67,68,69].
Quantile Mapping Bias Correction of Meteorological Projections
Quantile mapping (QM) was employed in this study to correct biases in the meteorological data derived from GCMs, thereby improving the data accuracy of the hydrological projections and addressing systematic errors in GCM outputs. QM is a widely adopted post-processing technique that connects climate model simulations to practical impact assessments across various spatial scales [70]. This statistical approach aligns the statistical characteristics of GCM outputs with observed historical data, typically on a monthly basis [71]. By applying QM bias correction, the study preserves the overarching climate patterns represented by the GCMs while adjusting for local-scale discrepancies. The primary objective of QM is to identify a transformation that makes the distribution of the modeled variable (Pm) equivalent to that of the observed (Po), thereby ensuring that projections more accurately reflect local climate patterns [68]. The transformation is generally formulated, as shown in Equation (3).
Statistical transformation serves as a practical application of the probability integral transform [72]. When the distribution of the variable under study is established, the transformation is typically represented in the form shown in Equation (4).
Here, Fm denotes the cumulative distribution function (CDF) for Pm, while Fo−1 represents the inverse CDF associated with Po.
2.3.2. Water Demand Scenario
Domestic demand typically reflects the prevailing population distribution and socioeconomic factors within the designated service area. Domestic demand encompasses various sectors, such as residential, commercial, industrial, and institutional users. Factors influencing domestic water demand include population size, urbanization rate, economic activities, lifestyle patterns, and water conservation practices. Service Area Expansion (SAE) denotes the enlargement of the service region accompanied by an elevation in domestic water demand. Specifically, this increase has been observed to reach 30 m3/cap/yr for urban areas and m3/cap/yr for rural areas [11]. These modifications are essential to understanding the changing dynamics of demand estimates and patterns of water usage in various demographic contexts.
2.3.3. Population Growth Scenario
The primary information used to determine the traditional water demand in the region is the population. According to the Philippine Statistics Authority, the study area provides the following population statistics: LPG—low population growth (3.98% annually); HPG—high population growth (5% annually) [58,73]. These numbers are essential for comprehending the demographic changes that affect demand forecasts and patterns of water usage.
2.3.4. Agricultural Decline Scenario
The anticipated decrease in agricultural land as a result of industrialization is another important premise in the research. The region’s land area has been steadily declining at a rate of 0.5% per year, according to the Census of Agriculture (1991–2002) [55]. These data serve as the foundation for the low land decline (LLD) scenario, which takes into account an average yearly loss in agricultural land area of 0.5%. Furthermore, an estimated 1.2% reduction in the extent of agricultural land area is taken into account for the high land decline (HLD) scenario. These scenarios provide helpful observations into the probable ramifications of industrialization on agricultural land utilization in the area.
2.3.5. Combined Future Pathways
This study includes scenarios pertaining to climate change, water demand projections, population dynamics, water consumption trends, and local agricultural scenarios to create sixteen pathways (Table 4). These pathways were designed to forecast future water demands using the Water Evaluation and Planning System (WEAP). Each pathway represented a unique combination of these factors, providing insights into potential trajectories of water demand under different circumstances. The WEAP model facilitated the analysis of projected water demands against existing water supply capacities, infrastructure capabilities, and environmental sustainability considerations.
2.4. Development of IWRM Plan
Based on the model outputs and scenario analyses, recommendations for sustainable water resource management practices that address current and future challenges in the Irawan Watershed were developed. Further, a comprehensive IWRM plan that integrates hydrological modeling results and proposes management strategies to guide future water resource management efforts is recommended.
3. Results and Discussions
3.1. Model Calibration and Validation
The monthly streamflow data for the Irawan Watershed was analyzed using the WEAP model over the calibration period of 2011–2013 and the validation period of 2014–2016. The observed and simulated streamflow results are presented in Figure 3. The statistics on the quality of fit, namely, the Nash–Sutcliffe coefficient (NSE) and coefficient of determination (R2), are presented for both time periods.
Figure 3.
Simulated and observed streamflow at monthly time steps for Irawan Watershed. The corresponding model fit measures, coefficient of determination (R2), and Nash–Sutcliffe efficiency (NSE) are displayed for both periods.
The observed and simulated data show a moderate to strong correlation, as indicated by R2, which varies from 0.76 to 0.78. Furthermore, the NSE varies between 0.74 and 0.79, suggesting that the model reasonably simulates the basin’s hydrological characteristics. By keeping the calibrated parameters in place until the year 2100, these results offer assurance regarding the model’s capacity to forecast future flows with accuracy. Numerous research projects have effectively used this approach [54,74].
The differences observed between modeled and observed streamflow in Figure 3 highlight the limitations of the model in accurately capturing peak streamflow events. These inaccuracies can be attributed to several factors, including the resolution and accuracy of input climate data, such as precipitation intensity and distribution, and potential, which is a simplification of the hydrological processes represented in the model. Peak streamflows are often sensitive to extreme rainfall events, and the underestimation or overestimation of rainfall outputs can lead to deviations in the modeled results.
3.2. Climate Change and Streamflow Projections
Temperature and precipitation are two major determinants of the water supply in the study area, primarily dependent on streamflow. To evaluate the water availability in the area, this study involves simulating streamflow data (Figure 4) in several scenarios of climate change. The findings unequivocally show that both watersheds are expected to have warming trends in the future. Out of all the scenarios that were studied, SSP370 had the strongest warming trend, followed by SSP585, while SSP126 showed the least warming, and SSP245 showed moderate warming (Figure 5). The mean annual precipitation, on the other hand, showed no discernible trend in any of the scenarios (Figure 6). Additionally, the SSP370 scenario had the largest trend in streamflow, followed by SSP585 and SSP245, but SSP126 demonstrated the lowest trend in streamflow.
Figure 4.
Time series with Sen’s slope values and boxplots of ensemble mean of streamflow projections in Irawan Watershed for the period 2025 to 2100 (SSP, shared socioeconomic pathway).
Figure 5.
Time series with Sen’s slope values and boxplots of ensemble mean of average annual temperature from three global circulation model projections for Irawan Watershed for the period 2025 to 2100 (SSP, shared socioeconomic pathway).
Figure 6.
Time series with Sen’s slope values and boxplots of ensemble mean of average annual precipitation from three global circulation model projections in the Irawan Watershed for the period 2025 to 2100 (SSP, shared socioeconomic pathway).
3.3. Socioeconomic Scenarios
Socioeconomic transformations can precipitate several consequential shifts, including population escalation, enhancements in living standards, the proliferation of agricultural land, and the expansion of industrial endeavors. With an augmented populace, the demand for domestic water is bound to surge, especially in tandem with urbanization trends. This research employs quantitative scenarios delineated from the shared socioeconomic pathway (SSP) framework pioneered by Jones and O’Neill [75], which are accessible via the ISIMIP database [59]. These scenarios offer invaluable insights into the interplay between socioeconomic dynamics and water consumption patterns, thereby facilitating a comprehensive understanding of future trajectories and potential challenges.
The economy of Puerto Princesa exhibits diverse sectors, ranging from agriculture and fisheries to tourism and commerce. The availability and quality of water resources significantly impact key economic activities within these sectors. Reliable access to water is essential for sustaining agricultural productivity in the city. According to the Palawan Council for Sustainable Development (PCSD) [76], the city’s agricultural sector relies heavily on water resources for irrigation, particularly in rural areas where farming is a primary source of livelihood. Water plays a crucial role in supporting commercial and industrial activities, including manufacturing, aquaculture, and beverage production. Access to reliable water supply is essential for businesses to operate efficiently and sustainably. Access to dependable and clean water sources is fundamental to public health and community well-being in the city. The City Government of Puerto Princesa emphasizes the importance of providing all residents with clean water and sanitation facilities. Safeguarding equitable access to water resources is essential for promoting public health and reducing socioeconomic disparities [57]. The city faces various water-related challenges, including floods, droughts, and water pollution. Climate change exacerbates these risks, posing significant threats to socioeconomic development and community resilience. The PCSD advocates for climate resilience and disaster preparedness measures to mitigate the impacts of water-related disasters [76].
3.4. Water Supply and Demand Under Various Scenarios
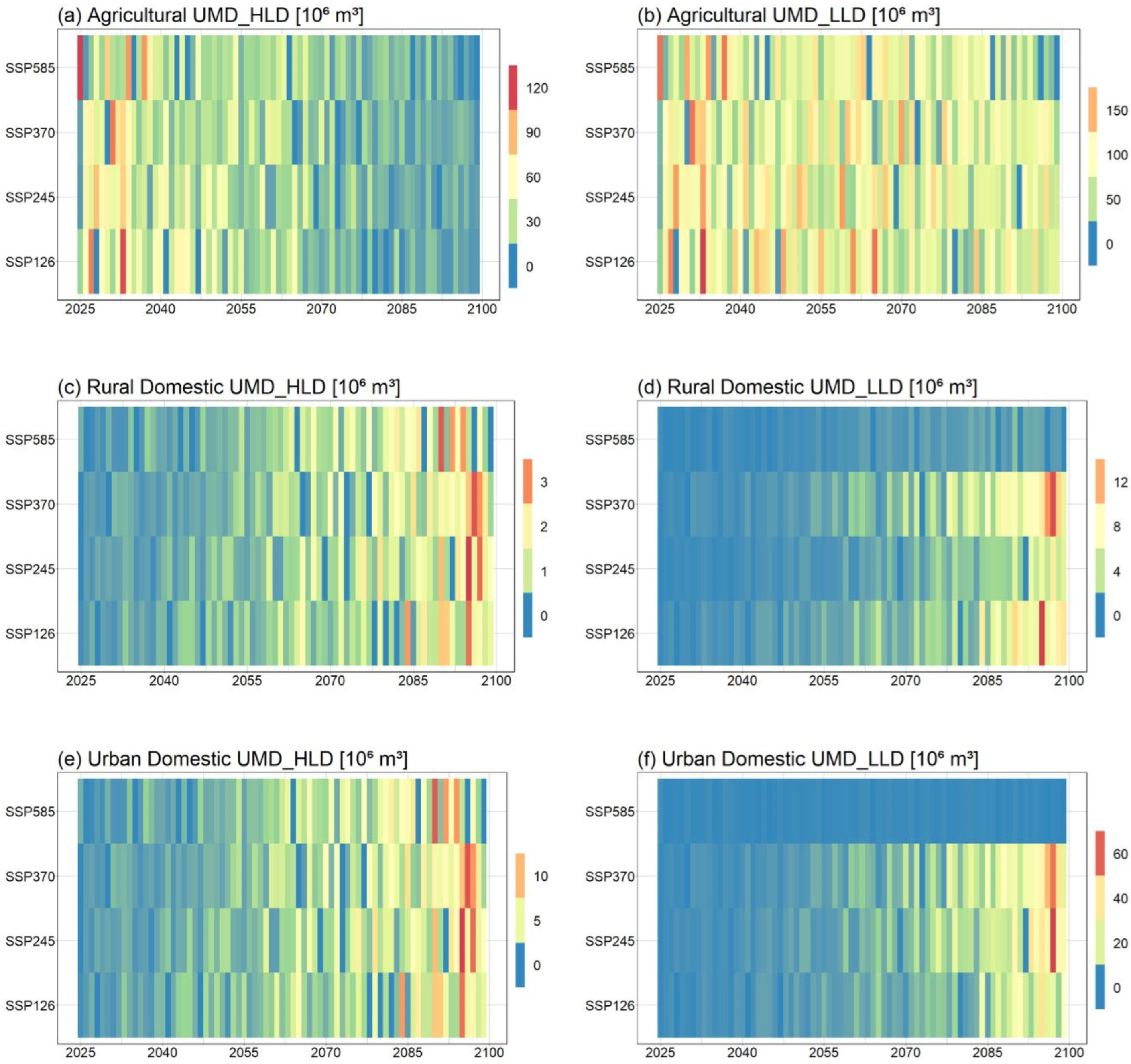
The heatmaps in Figure 7 illustrate the projected unmet water demand (UMD) across different sectors and demand scenarios (high land decline, HLD) and (low land decline, LLD) for agricultural, rural, and urban domestic water use under four SSPs (SSP126, SSP245, SSP370, and SSP585) from 2025 to 2100. Panels (a) and (b) display agricultural UMD under HLD and LLD conditions, respectively. High unmet water demand for agriculture is evident, especially under the SSP585 scenario in both demand levels, with unmet needs intensifying toward the end of the century. This suggests that agricultural water requirements may increasingly exceed supply, particularly in high-emission scenarios. Panels (c) and (d) depict rural domestic unmet demand under HLD and LLD conditions. Here, unmet demand is generally lower than for agriculture but shows periodic spikes, particularly in SSP585 under HLD conditions, indicating challenges in meeting rural water needs as demand and population increase. The LLD scenario, however, shows relatively low unmet demand across all SSP scenarios, indicating that managing demand could mitigate some of the pressure on rural water supply. Panels (e) and (f) represent urban domestic unmet demand under HLD and LLD conditions, respectively. While unmet demand in urban areas is moderate across most SSPs under LLD conditions, it becomes substantial in HLD conditions, particularly under SSP585 near the century’s end. This pattern underscores the potential challenges for urban water security, as rising urban demand and high emission scenarios may exacerbate water security in urban areas, even with conservative demand estimates. Across all sectors, SSP 585 consistently presents the highest unmet demand, emphasizing the compounding impact of high emissions and rapid socioeconomic change on water scarcity. Additionally, high-level demand scenarios generally show significantly more unmet demand across all sectors compared to LLD scenarios, highlighting the importance of demand management as a strategy for mitigating future water scarcity.
Figure 7.
Projected annual unmet water demand (UMD) in Irawan Watershed under four climatic (SSP126, SSP245, SSP370, and SSP585) and two land decline (LLD and HLD) scenarios by 2100 (SSP, shared socioeconomic pathway; LLD, low land decline; HLD, high land decline).
In all cases, the estimated annual water demand is predicted to decline gradually between 2025 and 2100. This decline is mostly attributable to the study area’s industrialization-related loss of agricultural land. When it comes to the various scenarios, the high land decline (HLD) scenario shows a possible decline that is more pronounced than the low land decline (LLD) scenario on annual water demand. The predominant cause of this phenomenon is the heavy reliance of agriculture on water resources [74]. As industrialization progresses and agricultural land decreases, the water demand for agriculture also decreases, reducing UMD. These findings validate the significant water requirement of agricultural activities [54,77]. Conversely, expanding agricultural areas increases water demand, thereby escalating UMD. By the end of the study period, the estimated water supply–demand imbalance for the watershed under different agricultural and climatic scenarios shows a generally falling trend (Figure 7). The Irawan Watershed has a long-term water deficit, according to the results.
Predicated on the ensembled yearly unmet water demand statistics displayed in Figure 8, HLD has a significantly lower level in comparison to LLD. Notably, the lower limit of UMD lies at zero considering HLD among the examined scenarios. In the figure, each pair of bars corresponds to a specific combination of SSPs along with the key drivers and management strategies, such as domestic demand (DD), service area expansion (SAE), high population growth (HPG), and low population growth (LPG). The height of each bar indicates the level of UMD, while black whiskers represent a variability of uncertainty within each scenario, likely attributed to factors such as climate variability or modeling differences. The comparison between HLD and LLD scenarios indicates that high land decline scenarios tend to yield slightly higher unmet demand, suggesting that greater agricultural land decline correlates with increased water demand or reduced availability. This finding underscores the sensitivity of UMD to variations in socioeconomic conditions and changes in agricultural land use, highlighting the need for adaptive water resource management strategies in response to potential future pressure from land use and population growth in the Irawan Watershed.
Figure 8.
Annual unmet water demand (UMD) in Irawan Watershed under all sixteen climatic and urbanization scenarios (SSP, shared socioeconomic pathway; DD, domestic demand; DD_SAE, domestic demand with service area expansion; LPG, low population growth; HPG, high population growth; HLD, high land decline; LLD, low land decline).
Figure 8 illustrates the UMD across different SSPs and scenarios of agricultural land decline in the Irawan Watershed. The scenarios are categorized into two levels of land decline, HLD and LLD, represented by darker yellow and lighter yellow bars, respectively. The x-axis shows specific scenarios combining domestic demand (DD), service area expansion (SAE), and population growth factors under different SSPs. The y-axis represents the UMD in million cubic meters, with error bars indicating variability or uncertainty in the projections.
The results indicate that scenarios with HLD consistently exhibit lower UMD compared to those with LLD, suggesting that a higher reduction in agricultural land decreases water demand by reducing irrigation needs. Additionally, UMD values are generally higher under SSP126 and SSP370 compared to SSP585, reflecting greater water stress in these pathways due to increased domestic demand and population growth pressures. Scenarios incorporating SAE or HPG demonstrate higher UMD compared to scenarios with only DD, underscoring the additional pressures from infrastructure development and demographic changes. The error bars highlight the variability in the projections, with larger bars suggesting greater uncertainty in certain scenarios. This figure underscores the interplay between land use changes, socioeconomic factors, and water resource availability, providing insights into how these dynamics influence UMD in the watershed.
3.5. Effects of Changing Climate on the Water Balance
In terms of seasonal unmet water demand (UMD), it is noteworthy to observe that the LLD dry season scenario, in both domestic demand with SAE and domestic demand itself, demonstrates a higher incidence of unmet water demand, as depicted in Figure 9. A clear seasonal variability in UMD was observed, with notably higher unmet demand during the dry season (panels a and c) compared to the wet seasons (panels b and d). This disparity underscores the greater water stress during the dry season, a period marked by reduced rainfall, highlighting the watershed’s vulnerability to dry season conditions and the need for targeted water management strategies during these months. Additionally, a consistent pattern across panels shows that LLD scenarios result in higher UMD values than HLD scenarios. This trend suggests that the amount of land dedicated to agriculture influences water demand under LLD conditions, and more agricultural land leads to higher water demand. This finding underscores the role of land use changes, particularly agricultural land conversion, in shaping water demand patterns, which is critical for developing land use policies that contribute to water demand management.
Figure 9.
Average seasonal UMD for the years 2025–2100 in Irawan Watershed. (SSP, shared socioeconomic pathway; LLD, low land decline; HLD, high land decline; DD, domestic demand; DD + SAE, domestic demand with service area expansion.)
UMD values also vary across SSP scenarios, with some scenarios, such as SSP126 and SSP370, showing higher UMD than others. This variation highlights the impact of socioeconomic factors, like population growth, economic development, and technological advancement, on water demand, indicating that scenarios with higher population growth or more intensive development lead to increased water demand. The differences in UMD between panels (a) and (c), both representing the dry season, demonstrate the impact of including SAE in the projections. Scenarios with SAE (panels a and b) exhibit higher UMD values than those with only domestic demand (panels c and d), suggesting that expanding eater service areas due to infrastructure development or urban growth significantly increases water demand, especially in dry periods.
These findings have critical implications for water management in the study area. High UMD during the dry season indicates the need for strategies specifically targeting water scarcity during these months, potentially through seasonal water shortage or rationing measures. Additionally, considering the varying UMD across SSPs and demand drivers provides valuable insights for future planning.
Previous studies have acknowledged diminishing water availability during the dry season, exacerbated by rising temperatures [78]. These findings resonate with the current understanding of the intricate relationship between climate dynamics and water resource management. Specifically, the pronounced impact of temperature variations on water availability underscores the need for proactive measures to mitigate the adverse effects of climate change on water resources.
3.6. Integrated Water Resource Management (IWRM) Plan for the Irawan Watershed
The Irawan Watershed is a critical resource for Puerto Princesa, providing water for domestic, agricultural, and industrial use. However, the watershed faces challenges such as land use changes, climate variability, and increasing water demand. The goal of this IWRM plan is to address these challenges by implementing sustainable water resource management strategies tailored to the watershed’s specific conditions and projected future scenarios.
The objectives of the IWRM Plan are as follows:
- To manage water resources sustainably to fulfill the demands of current and coming generations;
- To increase the effectiveness of water use across all sectors;
- To preserve and rebuild natural ecosystems to sustain biodiversity and water quality;
- To create robust infrastructure to mitigate the effects of climate change;
- To improve governance and institutional capability for efficient water management.
3.6.1. Hydrological Modeling Results
Hydrological modeling using tools such as WEAP has provided insights into water availability, demand, and the impacts of different management scenarios and climate change projections. Key findings include variability in water availability due to seasonal changes and climate scenarios, the impact of land use changes on hydrological processes, and the effectiveness of different management strategies in enhancing water sustainability.
3.6.2. Proposed Management Strategies
Based on the findings, the following strategies are proposed to address the watershed’s specific challenges:
- Water Efficiency and Conservation
- Promote water-saving technologies in agriculture and urban areas;
- Implement public education campaigns on water conservation.
- Ecosystem Protection and Restoration
- Establish riparian buffer zones and protect wetlands;
- Implement reforestation and afforestation projects.
- Infrastructure Development
- Construct and maintain reservoirs and dams for water storage;
- Promote rainwater harvesting systems.
- Climate Adaptation
- Develop climate-resilient infrastructure;
- Establish a hydrological monitoring and forecasting system.
- Sustainable Land Use
- Implement zoning regulations to protect critical watershed areas;
- Encourage sustainable agricultural practices.
- Institutional Strengthening
- Provide capacity building for local institutions and communities;
- Develop and enforce supportive policies and legislation.
3.6.3. Implementation Plan
The implementation is composed of three phases. Phase 1: Immediate actions (1–2 years): to establish a hydrological monitoring system, followed by the initiation of public awareness campaigns and capacity-building programs and start pilot projects for rainwater harvesting and water-efficient technologies. Phase 2: Medium-term actions (3–5 years): to develop and implement zoning regulations and land use policies, construct key infrastructure, such as reservoirs and riparian buffers, and expand reforestation and ecosystem restoration projects. Phase 3: Long-Term Actions (6–10 years): to implement integrated water management practices fully, continuously monitor and adjust strategies based on hydrological data and stakeholder feedback, and assure long-term institutional support and financing for water management initiatives.
4. Conclusions
A number of important aspects are primarily highlighted in the assessment of future water usage estimates within the research area: domestic demand, domestic demand with service expansion, and population growth projections. All these elements together offer important information about the projected demands on the region’s water supplies in the ensuing decades. However, amidst these projections, a noteworthy pattern shows a decline in the projected annual water demand from 2025 to 2100.
The decrease in the projected water demand is in contrast to conventional expectations, which often expect increased water use over time, especially in rapidly developing regions. However, the observed trend emphasizes a unique dynamic within the study area, mainly related to the change in land use patterns driven by the industrialization of the region. In particular, the progressive reduction in agricultural lands due to the expansion of industrial activities appears to be a significant factor contributing to the downward trajectory in projected water demand. As vast agricultural lands are reused for industrial and urban development, the water requirements associated with agricultural irrigation and cultivation are decreasing accordingly. This change in land use changes the socioeconomic landscape and influences the overall dynamics of demand for water resources within the region.
Along with the patterns that have been noted, this research emphasizes how important land use changes are in reducing future water demand in the Irawan Watershed. The water requirement related to agriculture is drastically decreasing as urbanization drives the shift of agricultural lands to urban and industrial use. This change highlights the dynamic balance between conflicting socioeconomic influence, as a decline in water-intensive agriculture practices offsets the rising demand from population increase and service area expansion for domestic use. The watershed’s susceptibility to climatic fluctuations is further shown by the seasonal patterns of UMD, especially during dry seasons when water supplies are naturally scarce. The significance of adaptive solutions in the IWRM plan to take into consideration both the short-term changes caused by seasonal and climatic causes as well as the long-term effects of land use transformation is highlighted by this seasonal UMD. The results show that in order to guarantee sustainable water security for future generations, successful water management in the area necessitates a flexible approach that is always sensitive to changing socioeconomic and environmental challenges.
Furthermore, it is important to recognize the interconnectedness of various socioeconomic and environmental factors in shaping future water demand scenarios. Although population growth and domestic service expansion may put upward pressure on water use, the overall effect of land use change caused by industrialization introduces a countervailing force, resulting in a net decrease in the expected demand for water for a long time.
Across the analysis of all scenarios, it became apparent that the most significant levels of unmet water demand consistently occurred during the dry season, from December to April. This observation emphasizes the great influence of temperature, especially at this time, on the diminishing availability of water in the watershed. The gradual decrease in unmet water demand witnessed at the end of the century can be mainly attributed to the reduction in the area of agricultural land, with climate warming playing a secondary role in this trend.
Sustainable water resource management is outlined in detail in the Irawan Watershed IWRM plan. The plan integrates management practices and results from hydrological modeling to support ecological health and water security and encourage sustainable development in the area. Long-term sustainability will be supported by zoning rules, reforestation, and capacity building. Through these efforts, Puerto Princesa can safeguard its water resources, ensuring resilience and prosperity for the future. A conventional blueprint that can be executed all at once is not feasible, according to the assessment of the action plan for IWRM; instead, the implementation of IWRM must be a work in progress.
Supplementary Materials
The following supporting information can be accessed at: https://www.mdpi.com/article/10.3390/earth5040047/s1, Table S1. Range and optimized values of hydrological parameters used in the study. Table S2. Bias-corrected values of precipitation. Table S3. Bias-corrected values of temperature.
Author Contributions
Conceptualization, J.C.C. and M.S.M.; methodology, J.C.C. and M.S.M.; validation, J.C.C.; formal analysis, J.C.C. and E.N.B.; investigation, J.C.C.; software, J.C.C. and E.N.B.; resources, J.C.C.; data curation, J.C.C. and E.N.B.; writing—original draft preparation, J.C.C.; writing—review and editing, E.N.B. and M.S.M.; visualization, J.C.C. and E.N.B.; supervision, M.S.M. All authors have read and agreed to the published version of the manuscript.
Funding
This research was funded by the Department of Science and Technology–Engineering Research and Development for Technology (DOST-ERDT).
Data Availability Statement
Data are available upon request.
Acknowledgments
The authors would like to extend their sincerest gratitude to the following: the Department of Science and Technology–Engineering Research and Development for Technology (DOST-ERDT) for providing financial support; the University of San Carlos (USC) School of Engineering for the opportunity of professional advancement; the government agencies; Puerto Princesa City; the Puerto Princesa City Water District (PPCWD); the Philippine Statistics Authority (PSA); the Philippine Atmospheric, Geophysical, and Astronomical Services Administration (PAGASA); and the National Economic Development Authority (NEDA), which were the primary sources of data used in the study.
Conflicts of Interest
The authors declare no conflicts of interest.
References
- Chuma, G.B.; Mondo, J.M.; Wellens, J.; Majaliwa, J.M.; Egeru, A.; Bagula, E.M.; Lucungu, P.B.; Kahindo, C.; Mushagalusa, G.N.; Karume, K.; et al. Effectiveness of wetlands as reservoirs for integrated water resource management in the Ruzizi plain based on water evaluation and planning (WEAP) approach for a climate-resilient future in eastern D.R. Congo. Sci. Rep. 2024, 14, 21577. [Google Scholar] [CrossRef] [PubMed]
- Gemechu, Y.T.; Goshime, D.W.; Bushira, K.M.; Asnake, A.B. Modeling of surface water allocation under current and future climate change in Keleta Catchment, Awash River Basin, Ethiopia. Sustain. Water Resour. Manag. 2024, 10, 176. [Google Scholar] [CrossRef]
- Zhang, Y.; Jiang, Y.; Wei, T.; Wang, Y.; Liu, Y.; Xu, L.; He, J.; Wang, X. A quantitative analysis framework for analyzing impacts of climate change on water-food-energy-ecosystem nexus in irrigation areas based on WEAP-MODFLOW. J. Clean. Prod. 2024, 470, 143315. [Google Scholar] [CrossRef]
- Mayar, M.A.; Hamidov, A.; Akramkhanov, A.; Helming, K. Consideration of the Environment in Water-Energy-Food Nexus Research in the Aral Sea Basin. Water 2024, 16, 658. [Google Scholar] [CrossRef]
- IPCC. Climate Change 2021: The Physical Science Basis. 9 August 2021. Available online: https://www.ipcc.ch/report/sixth-assessment-report-working-group-i/ (accessed on 6 June 2024).
- UNESCO. UN World Water Development Report 2020: Water and Climate Change; UNESCO: Paris, France, 2020. [Google Scholar]
- Asian Development Bank. Asian Water Development Outlook 2020; Asian Development Bank: Mandaluyong, Philippines, 2020; p. 156. [Google Scholar]
- Sakthivadivel, A.K.R.; Seckler, D. Water Scarcity and the Role of Storage in Development; International Water Management Institute: Colombo, Sri Lanka, 2000. [Google Scholar]
- Mancosu, N.; Snyder, R.L.; Kyriakakis, G.; Spano, D. Water Scarcity and Future Challenges for Food Production. Water 2015, 7, 975–992. [Google Scholar] [CrossRef]
- Department of Environment and Natural Resources; Forest Management Bureau. Watershed Characterization and Vulnerability Assessment Using Geographic Information System and Remote Sensing, 1st ed.; Forest Management Bureau: Quezon City, Philippines, 2011; p. 199.
- National Economic and Development Authority. MIMAROPA Water Supply and Sanitation Databook and Regional Roadmap. 2021. Available online: https://neda.gov.ph/wp-content/uploads/2021/09/04B-Region-4B-Databook-and-Roadmap_4June2021.pdf (accessed on 24 October 2023).
- Mekonnen, M.M.; Hoekstra, A.Y. Sustainability: Four billion people facing severe water scarcity. Sci. Adv. 2016, 2, 1–7. [Google Scholar] [CrossRef] [PubMed]
- Pahl-Wostl, C.; Knieper, C.; Lukat, E.; Meergans, F.; Schoderer, M.; Schütze, N.; Schweigatz, D.; Dombrowsky, I.; Lenschow, A.; Stein, U.; et al. Enhancing the capacity of water governance to deal with complex management challenges: A framework of analysis. Environ. Sci. Policy 2020, 107, 23–35. [Google Scholar] [CrossRef]
- Hosseini, N.; Johnston, J.; Lindenschmidt, K.-E. Impacts of Climate Change on the Water Quality of a Regulated Prairie River. Water 2017, 9, 199. [Google Scholar] [CrossRef]
- Kumar, P.; Johnson, B.A.; Dasgupta, R.; Avtar, R.; Chakraborty, S.; Kawai, M.; Magcale-Macandog, D.B. Participatory Approach for More Robust Water Resource Management: Case Study of the Santa Rosa Sub-Watershed of the Philippines. Water 2020, 12, 1172. [Google Scholar] [CrossRef]
- Kumar, P.; Masago, Y.; Mishra, B.K.; Fukushi, K. Evaluating future stress due to combined effect of climate change and rapid urbanization for Pasig-Marikina River, Manila. Groundw. Sustain. Dev. 2018, 6, 227–234. [Google Scholar] [CrossRef]
- Kumar, P. Numerical quantification of current status quo and future prediction of water quality in eight Asian megacities: Challenges and opportunities for sustainable water management. Environ. Monit. Assess. 2019, 191, 319. [Google Scholar] [CrossRef] [PubMed]
- Bates, B.C.; Kundzewicz, S.W.Z.W.; Palutikof, J.P. Climate Change and Water Management; Intergovernmental Panel on Climate Change: Geneva, Switzerland, 2008; pp. 51–52. [Google Scholar]
- United Nations. World Population Prospects 2019; Department of Economic and Social Affairs, Population Division: New York, NY, USA, 2021. [Google Scholar]
- Sieber, J. User Guide for WEAP 21; Stockholm Environment Institute: Stockholm, Sweden, 2015. [Google Scholar]
- Kumar, M.D.; Batchelor, C.; James, A.J. Chapter 11—Operationalizing IWRM concepts at the basin level: From theory to practice. In Current Directions in Water Scarcity Research, Volume 1; Kumar, M.D., Reddy, V.R., James, A.J., Eds.; Elsevier: Amsterdam, The Netherlands, 2019; pp. 299–329. [Google Scholar]
- Cacal, J.C.; Taboada, E.B.; Mehboob, M.S. Strategic Implementation of Integrated Water Resource Management in Selected Areas of Palawan: SWOT-AHP Method. Sustainability 2023, 15, 2922. [Google Scholar] [CrossRef]
- Wei, X.; Cai, S.; Ni, P.; Zhan, W. Impacts of climate change and human activities on the water discharge and sediment load of the Pearl River, southern China. Sci. Rep. 2020, 10, 16743. [Google Scholar] [CrossRef]
- Li, Z.; Li, W.; Li, Z.; Lv, X. Responses of Runoff and Its Extremes to Climate Change in the Upper Catchment of the Heihe River Basin, China. Atmosphere 2023, 14, 539. [Google Scholar] [CrossRef]
- Gain, A.K.; Giupponi, C.; Renaud, F.G. Climate Change Adaptation and Vulnerability Assessment of Water Resources Systems in Developing Countries: A Generalized Framework and a Feasibility Study in Bangladesh. Water 2012, 4, 345–366. [Google Scholar] [CrossRef]
- Felipe, J.; Estrada, G. Why Has the Philippines’s Growth Performance Improved? From Disappointment to Promising Success; ADB Economics Working Paper Series, no. 542; Asian Development Bank: Mandaluyong, Philippines, 2018. [Google Scholar]
- Hamdi, A.; Abdulhameed, I.; Mawlood, I. Application of WEAP Model for Managing Water Resources in Iraq: A Review. IOP Conf. Ser. Earth Environ. Sci. 2023, 1222, 012032. [Google Scholar] [CrossRef]
- Naeem, K.; Zghibi, A.; Elomri, A.; Mazzoni, A.; Triki, C. A Literature Review on System Dynamics Modeling for Sustainable Management of Water Supply and Demand. Sustainability 2023, 15, 6826. [Google Scholar] [CrossRef]
- Shahraki, A.S.; Shahraki, J.; Monfared, S.A.H. An Application of WEAP Model in Water Resources Management Considering the Environmental Scenarios and Economic Assessment Case Study: Hirmand Catchment. Mod. Appl. Sci. 2016, 10, 49. [Google Scholar] [CrossRef]
- Alamanos, A. Sustainable water resources management under water-scarce and limited-data conditions. Central Asian J. Water Res. 2021, 7, 1–19. [Google Scholar] [CrossRef]
- Berredjem, A.F.; Boumaiza, A.; Hani, A. Simulation of current and future water demands using the WEAP model in the Annaba province, Northeastern Algeria: A case study. AQUA Water Infrastruct. Ecosyst. Soc. 2023, 72, 1815–1824. [Google Scholar] [CrossRef]
- Mersha, A.N.; Masih, I.; De Fraiture, C.; Wenninger, J.; Alamirew, T. Evaluating the Impacts of IWRM Policy Actions on Demand Satisfaction and Downstream Water Availability in the Upper Awash Basin, Ethiopia. Water 2018, 10, 892. [Google Scholar] [CrossRef]
- Genjebo, M.G.; Kemal, A.; Nannawo, A.S. Assessment of surface water resource and allocation optimization for diverse demands in Ethiopia’s upper Bilate Watershed. Heliyon 2023, 9, e20298. [Google Scholar] [CrossRef] [PubMed]
- Beven, K. Rainfall-Runoff Modelling: The Primer; John Wiley & Sons: Hoboken, NJ, USA, 2012. [Google Scholar]
- Thompson, S.E.; Basu, N.B.; Lascurain, J.; Aubeneau, A.; Rao, P.S.C. Relative dominance of hydrologic versus biogeochemical factors on solute export across impact gradients. Water Resour. Res. 2011, 47, 1–20. [Google Scholar] [CrossRef]
- Arnold, J.G.; Moriasi, D.N.; Gassman, P.W.; Abbaspour, K.C.; White, M.J.; Srinivasan, R.; Santhi, C.; Harmel, R.D.; van Griensven, A.; Van Liew, M.W.; et al. SWAT: Model use, calibration, and validation. Trans. ASABE 2012, 55, 1491–1508. [Google Scholar] [CrossRef]
- Hattermann, F.F.; Krysanova, V.; Gosling, S.N.; Dankers, R.; Daggupati, P.; Donnelly, C.; Flörke, M.; Huang, S.; Motovilov, Y.; Buda, S.; et al. Cross-scale intercomparison of climate change impacts simulated by regional and global hydrological models in eleven large river basins. Clim. Change 2017, 141, 561–576. [Google Scholar] [CrossRef]
- Alfieri, L.; Burek, P.; Feyen, L.; Forzieri, G. Global warming increases the frequency of river floods in Europe. Hydrol. Earth Syst. Sci. 2015, 19, 2247–2260. [Google Scholar] [CrossRef]
- Chang, I.-S.; Zhao, M.; Chen, Y.; Guo, X.; Zhu, Y.; Wu, J.; Yuan, T. Evaluation on the integrated water resources management in China’s major cities—Based on City Blueprint® Approach. J. Clean. Prod. 2020, 262, 121410. [Google Scholar] [CrossRef]
- Bañares, E.N.; Mehboob, M.S.; Khan, A.R.; Cacal, J.C. Projecting hydrological response to climate change and urbanization using WEAP model: A case study for the main watersheds of Bicol River Basin, Philippines. J. Hydrol. Reg. Stud. 2024, 54, 101846. [Google Scholar] [CrossRef]
- Dankers, R.; Arnell, N.W.; Clark, D.B.; Falloon, P.D.; Fekete, B.M.; Gosling, S.N.; Heinke, J.; Kim, H.; Masaki, Y.; Satoh, Y.; et al. First Look at Changes in Flood Hazard in the Inter-Sectoral Impact Model Intercomparison Project ensemble. Proc. Natl. Acad. Sci. USA 2013, 111, 3257–3261. [Google Scholar] [CrossRef]
- Letcher, R.; Jakeman, A.; Calfas, M.; Linforth, S.; Baginska, B.; Lawrence, I. A comparison of catchment water quality models and direct estimation techniques. Environ. Model. Softw. 2002, 17, 77–85. [Google Scholar] [CrossRef]
- Asadieh, B.; Krakauer, N.Y. Global change in streamflow extremes under climate change over the 21st century. Hydrol. Earth Syst. Sci. 2017, 21, 5863–5874. [Google Scholar] [CrossRef]
- Li, X.; Zhao, Y.; Shi, C.; Sha, J.; Wang, Z.-L.; Wang, Y. Application of Water Evaluation and Planning (WEAP) model for water resources management strategy estimation in coastal Binhai New Area, China. Ocean Coast. Manag. 2015, 106, 97–109. [Google Scholar] [CrossRef]
- Mehta, V.K.; Aslam, O.; Dale, L.; Miller, N.; Purkey, D.R. Scenario-based water resources planning for utilities in the Lake Victoria region. Phys. Chem. Earth Parts A/B/C 2013, 61–62, 22–31. [Google Scholar] [CrossRef]
- Cacal, J.C.; Austria, V.C.A.; Taboada, E.B. Extreme Event-based Rainfall-runoff Simulation Utilizing GIS Techniques in Irawan Watershed, Palawan, Philippines. Civ. Eng. J. 2023, 9, 220–232. [Google Scholar] [CrossRef]
- Puerto Princesa City Government. (2019, June 24). Water Resources. Available online: https://puertoprincesa.ph/?q=about-our-city/water-resources (accessed on 15 September 2022).
- Cruz, M.A.V.D.; Hanasaki, N.; Boulange, J.; Nakamura, S. Impact of Climate and Social Changes on Water Availability in Puerto Princesa City, Palawan Philippines. In Proceedings of 2018 Annual Conference, Japan Society of Hydrology and Water Resources; Japan Society of Hydrology and Water Resources: Tokyo, Japan, 2018; Volume 31, p. 254. [Google Scholar]
- Cruz, M.A.D.; Nakamura, S.; Hanasaki, N.; Boulange, J. Integrated Evaluation of Changing Water Resources in an Active Ecotourism Area: The Case of Puerto Princesa City, Palawan, Philippines. Sustainability 2021, 13, 4826. [Google Scholar] [CrossRef]
- Abalus, R.O.; Cruz RV, O.; Carandang, W.M.; Santos, E.P. Vulnerability Assessment of Irawan Watershed in Puerto Princesa City, Philippines using the GeoREVIEW Model. Ecosyst. Dev. J. 2018, 8, 22–40. [Google Scholar]
- Yates, D.; Sieber, J.; Purkey, D.; Huber-Lee, A. WEAP21—A Demand-, Priority-, and Preference-Driven Water Planning Model. Water Int. 2005, 30, 487–500. [Google Scholar] [CrossRef]
- Sieber, J.; Purkey, D. Water Evaluation and Planning System User Guide for Weap21; Stockholm Environment Institute, US Center: Somerville, MA, USA, 2007. [Google Scholar]
- Droubi, A.; Al-Sibai, M.; Abdallah, A.; Zahra, S.; Obeissi, M.; Wolfer, J.; Huber, M.; Hennings, V. A Decision Support System (DSS) for Water Resources Management—Design and Results from a Pilot Study in Syria. In Climatic Changes and Water Resources in the Middle East and North Africa; Springer: Berlin/Heidelberg, Germany, 2009; pp. 199–225. [Google Scholar]
- Mehboob, M.S.; Kim, Y. Effect of climate and socioeconomic changes on future surface water availability from mountainous water sources in Pakistan’s Upper Indus Basin. Sci. Total Environ. 2021, 769, 144820. [Google Scholar] [CrossRef] [PubMed]
- Philippine Statistics Authority. Economic Growth: Agriculture. Agricultural Indicators System, PSA Complex, East Avenue Diliman, Quezon City, ISSN-2012-0435, 2023. Available online: https://psa.gov.ph/content/agricultural-indicators-system-economic-growth-agriculture (accessed on 24 May 2024).
- Hilario, F.D.; Juanillo, E.L.; De Guzman, R.G. Observed Climate Trends and Projected Climate Change in the Philippines; PAGASA: Quezon City, Philippines, 2018.
- Puerto Princesa City Government. (2020, 5 June 2024). Socio-Economic Profile. Available online: https://puertoprincesa.ph/?q=investment-profile/economy-and-employment (accessed on 20 May 2024).
- PhilAtlas. (2024, 15 January 2024). Irawan, City of Puerto Princesa. Available online: https://www.philatlas.com/luzon/mimaropa/puerto-princesa/irawan.html (accessed on 15 January 2024).
- Warszawski, L.; Frieler, K.; Huber, V.; Piontek, F.; Serdeczny, O.; Schewe, J. The Inter-Sectoral Impact Model Intercomparison Project (ISI–MIP): Project framework. Proc. Natl. Acad. Sci. USA 2014, 111, 3228–3232. [Google Scholar] [CrossRef]
- Tido, S.; Sergey, D.; Thomas, R.; Dmitry, S.; Dirk, B.; Jan, H.; Dmitry, S.; Qiang, W.; Thomas, J. AWI AWI-CM1.1MR Model Output Prepared for CMIP6 CMIP, 1st ed.; Earth System Grid Federation, 2018. Available online: https://esgf.llnl.gov/ (accessed on 20 May 2024).
- Danabasoglu, G. IPCC DDC: NCAR CESM2 Model Output Prepared for CMIP6 CDRMIP, 1st ed.; World Data Center for Climate (WDCC) at DKRZ: Hamburg, Germany, 2023. [Google Scholar]
- Yukimoto, S.; Koshiro, T.; Kawai, H.; Oshima, N.; Yoshida, K.; Urakawa, S.; Tsujino, H.; Deushi, M.; Tanaka, T.; Hosaka, M.; et al. IPCC DDC: MRI MRI-ESM2.0 Model Output Prepared for CMIP6 CMIP, 1st ed.; World Data Center for Climate (WDCC) at DKRZ: Hamburg, Germany, 2023. [Google Scholar]
- Gorguner, M.; Kavvas, M.L. Modeling impacts of future climate change on reservoir storages and irrigation water demands in a Mediterranean basin. Sci. Total Environ. 2020, 748, 141246. [Google Scholar] [CrossRef]
- Haro-Monteagudo, D.; Palazón, L.; Beguería, S. Long-term sustainability of large water resource systems under climate change: A cascade modeling approach. J. Hydrol. 2020, 582, 124546. [Google Scholar] [CrossRef]
- Riahi, K.; Van Vuuren, D.P.; Kriegler, E.; Edmonds, J.; O’Neill, B.C.; Fujimori, S.; Bauer, N.; Calvin, K.; Dellink, R.; Fricko, O.; et al. The Shared Socioeconomic Pathways and their energy, land use, and greenhouse gas emissions implications: An overview. Glob. Environ. Change 2017, 42, 153–168. [Google Scholar] [CrossRef]
- van Vuuren, D.P.; Smith, S.J.; Riahi, K. Downscaling socioeconomic and emissions scenarios for global environmental change research: A review. WIREs Clim. Change 2010, 1, 393–404. [Google Scholar] [CrossRef]
- Themeßl, M.J.; Gobiet, A.; Leuprecht, A. Empirical-statistical downscaling and error correction of daily precipitation from regional climate models. Int. J. Climatol. 2011, 31, 1530–1544. [Google Scholar] [CrossRef]
- Montenegro, M.; Campozano, L.; Urdiales-Flores, D.; Maisincho, L.; Serrano-Vincenti, S.; Borbor-Cordova, M.J. Assessment of the Impact of Higher Temperatures Due to Climate Change on the Mortality Risk Indexes in Ecuador Until 2070. Front. Earth Sci. 2022, 9, 794602. [Google Scholar] [CrossRef]
- Räisänen, J.; Räty, O. Projections of daily mean temperature variability in the future: Cross-validation tests with ENSEMBLES regional climate simulations. Clim. Dyn. 2013, 41, 1553–1568. [Google Scholar] [CrossRef]
- Sangelantoni, L.; Russo, A.; Gennaretti, F. Impact of bias correction and downscaling through quantile mapping on simulated climate change signal: A case study over Central Italy. Theor. Appl. Clim. 2019, 135, 725–740. [Google Scholar] [CrossRef]
- Mendez, M.; Maathuis, B.; Hein-Griggs, D.; Alvarado-Gamboa, L.-F. Performance Evaluation of Bias Correction Methods for Climate Change Monthly Precipitation Projections over Costa Rica. Water 2020, 12, 482. [Google Scholar] [CrossRef]
- Angus, J.E. The Probability Integral Transform and Related Results. SIAM Rev. 1994, 36, 652–654. [Google Scholar] [CrossRef]
- Philippine Statics. Authority. Population of Puerto Princesa City. Available online: https://rssomimaropa.psa.gov.ph/content/highlights-population-density-palawan-and-city-puerto-princesa-2020-census-population-and (accessed on 8 August 2023).
- Goyburo, A.; Rau, P.; Lavado-Casimiro, W.; Buytaert, W.; Cuadros-Adriazola, J.; Horna, D. Assessment of Present and Future Water Security under Anthropogenic and Climate Changes Using WEAP Model in the Vilcanota-Urubamba Catchment, Cusco, Perú. Water 2023, 15, 1439. [Google Scholar] [CrossRef]
- Jones, B.; O’neill, B.C. Spatially explicit global population scenarios consistent with the Shared Socioeconomic Pathways. Environ. Res. Lett. 2016, 11, 084003. [Google Scholar] [CrossRef]
- Palawan Council for Sustainable Development. (2023, 5 June 2024). PCSDS and KOICA Discuss the Roject ENRIS for Food Security and Water Quality Improvement in Palawan. Available online: https://pcsd.gov.ph/PCSDS-and-KOICA-dis/ (accessed on 5 June 2023).
- Ougougdal, H.A.; Khebiza, M.Y.; Messouli, M.; Lachir, A. Assessment of Future Water Demand and Supply under IPCC Climate Change and Socio-Economic Scenarios, Using a Combination of Models in Ourika Watershed, High Atlas, Morocco. Water 2020, 12, 1751. [Google Scholar] [CrossRef]
- Tena, T.M.; Mudenda, F.; Nguvulu, A.; Mwaanga, P.; Gathenya, J.M. Analysis of River Tributaries’ Streamflow Contribution Using WEAP Model: A Case of the Ngwerere and Kanakatampa Tributaries to the Chongwe River in Zambia. J. Water Resour. Prot. 2021, 13, 309–323. [Google Scholar] [CrossRef]
Disclaimer/Publisher’s Note: The statements, opinions and data contained in all publications are solely those of the individual author(s) and contributor(s) and not of MDPI and/or the editor(s). MDPI and/or the editor(s) disclaim responsibility for any injury to people or property resulting from any ideas, methods, instructions or products referred to in the content. |
© 2024 by the authors. Licensee MDPI, Basel, Switzerland. This article is an open access article distributed under the terms and conditions of the Creative Commons Attribution (CC BY) license (https://creativecommons.org/licenses/by/4.0/).








