Artificial Intelligence-Based Effective Detection of Parkinson’s Disease Using Voice Measurements †
Abstract
1. Introduction
2. Related Works
3. Methodology
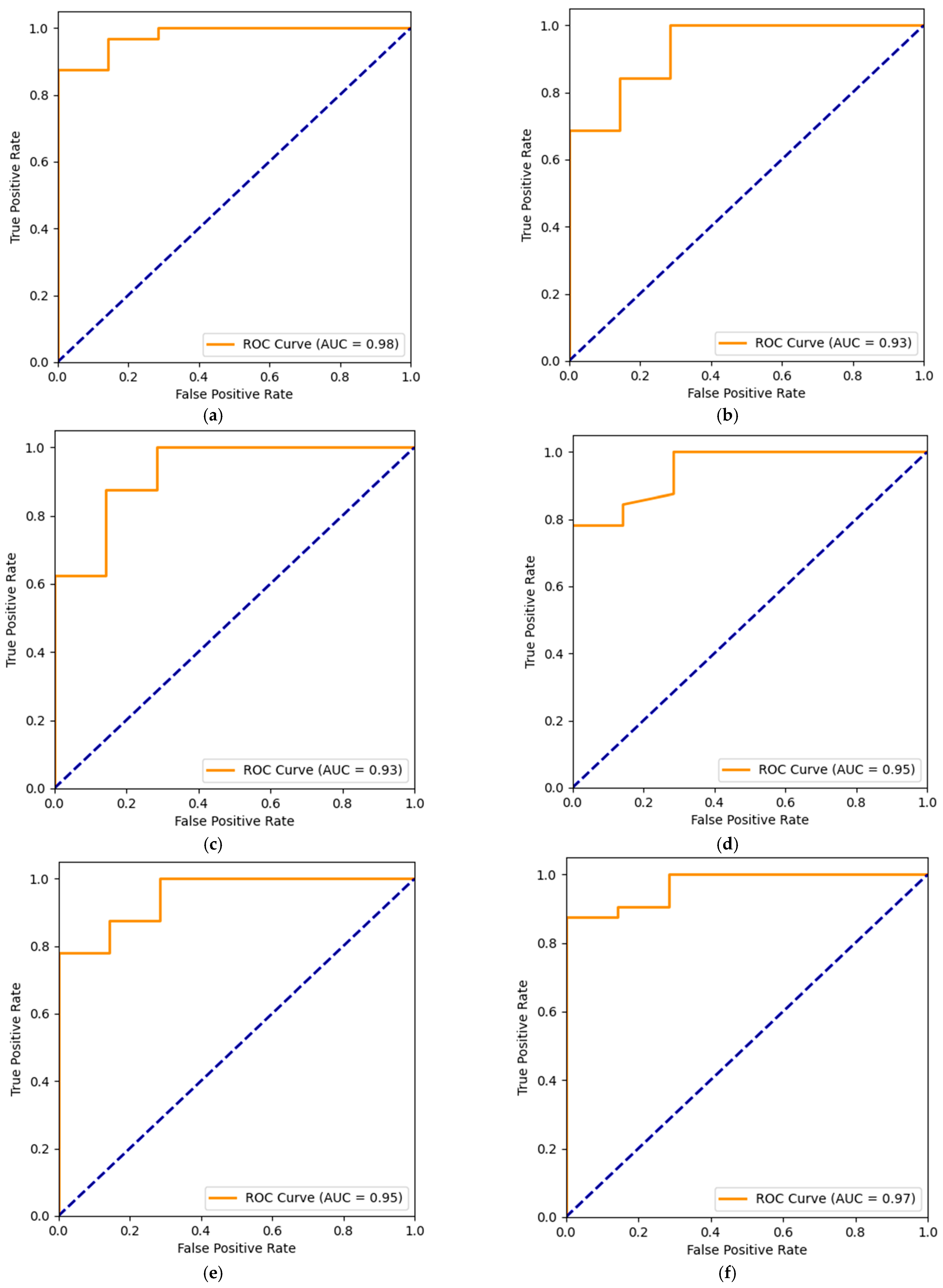
4. Results and Discussion
5. Conclusions
Author Contributions
Funding
Institutional Review Board Statement
Informed Consent Statement
Data Availability Statement
Conflicts of Interest
References
- Reddy, G.P.; Pavan Kumar, Y.V. A Beginner’s Guide to Federated Learning. In Proceedings of the 2023 Intelligent Methods, Systems, and Applications (IMSA), Giza, Egypt, 15 July 2023; IEEE: Piscataway, NJ, USA, 2023; pp. 557–562. [Google Scholar] [CrossRef]
- Reddy, G.P.; Pavan Kumar, Y.V.; Prakash, K.P. Hallucinations in Large Language Models (LLMs). In Proceedings of the 2024 IEEE Open Conference of Electrical, Electronic and Information Sciences (eStream), Vilnius, Lithuania, 25 April 2024; IEEE: Piscataway, NJ, USA, 2014; pp. 1–6. [Google Scholar] [CrossRef]
- Little, M.A.; McSharry, P.E.; Hunter, E.J.; Spielman, J.; Ramig, L.O. Suitability of Dysphonia Measurements for Telemonitoring of Parkinson’s Disease. IEEE Trans. Biomed. Eng. 2009, 56, 1015–1022. [Google Scholar] [CrossRef] [PubMed]
- Solana-Lavalle, G.; Galán-Hernández, J.-C.; Rosas-Romero, R. Automatic Parkinson Disease Detection at Early Stages as a Pre-Diagnosis Tool by Using Classifiers and a Small Set of Vocal Features. Biocybern. Biomed. Eng. 2020, 40, 505–516. [Google Scholar] [CrossRef]
- Soumaya, Z.; Drissi Taoufiq, B.; Benayad, N.; Yunus, K.; Abdelkrim, A. The Detection of Parkinson Disease Using the Genetic Algorithm and SVM Classifier. Appl. Acoust. 2021, 171, 107528. [Google Scholar] [CrossRef]
- Karan, B.; Sahu, S.S.; Mahto, K. Parkinson Disease Prediction Using Intrinsic Mode Function Based Features from Speech Signal. Biocybern. Biomed. Eng. 2020, 40, 249–264. [Google Scholar] [CrossRef]
- Zhang, T.; Zhang, Y.; Sun, H.; Shan, H. Parkinson Disease Detection Using Energy Direction Features Based on EMD from Voice Signal. Biocybern. Biomed. Eng. 2021, 41, 127–141. [Google Scholar] [CrossRef]
- Hireš, M.; Gazda, M.; Drotár, P.; Pah, N.D.; Motin, M.A.; Kumar, D.K. Convolutional Neural Network Ensemble for Parkinson’s Disease Detection from Voice Recordings. Comput. Biol. Med. 2022, 141, 105021. [Google Scholar] [CrossRef] [PubMed]
- Srinivasan, S.; Ramadass, P.; Mathivanan, S.K.; Panneer Selvam, K.; Shivahare, B.D.; Shah, M.A. Detection of Parkinson Disease Using Multiclass Machine Learning Approach. Sci. Rep. 2024, 14, 13813. [Google Scholar] [CrossRef]
- Dadu, A.; Satone, V.; Kaur, R.; Hashemi, S.H.; Leonard, H.; Iwaki, H.; Makarious, M.B.; Billingsley, K.J.; Bandres-Ciga, S.; Sargent, L.J.; et al. Identification and Prediction of Parkinson’s Disease Subtypes and Progression Using Machine Learning in Two Cohorts. NPJ Park. Dis. 2022, 8, 172. [Google Scholar] [CrossRef] [PubMed]
- Hällqvist, J.; Bartl, M.; Dakna, M.; Schade, S.; Garagnani, P.; Bacalini, M.-G.; Pirazzini, C.; Bhatia, K.; Schreglmann, S.; Xylaki, M.; et al. Plasma Proteomics Identify Biomarkers Predicting Parkinson’s Disease up to 7 Years Before Symptom Onset. Nat. Commun. 2024, 15, 4759. [Google Scholar] [CrossRef]
- Ahmadi Rastegar, D.; Ho, N.; Halliday, G.M.; Dzamko, N. Parkinson’s Progression Prediction Using Machine Learning and Serum Cytokines. NPJ Park. Dis. 2019, 5, 14. [Google Scholar] [CrossRef]
- Yang, Y.; Yuan, Y.; Zhang, G.; Wang, H.; Chen, Y.-C.; Liu, Y.; Tarolli, C.G.; Crepeau, D.; Bukartyk, J.; Junna, M.R.; et al. Artificial Intelligence-Enabled Detection and Assessment of Parkinson’s Disease Using Nocturnal Breathing Signals. Nat. Med. 2022, 28, 2207–2215. [Google Scholar] [CrossRef]
- Balaji, E.; Brindha, D.; Balakrishnan, R. Supervised Machine Learning Based Gait Classification System for Early Detection and Stage Classification of Parkinson’s Disease. Appl. Soft Comput. 2020, 94, 106494. [Google Scholar] [CrossRef]
- Loh, H.W.; Ooi, C.P.; Palmer, E.; Barua, P.D.; Dogan, S.; Tuncer, T.; Baygin, M.; Acharya, U.R. GaborPDNet: Gabor Transformation and Deep Neural Network for Parkinson’s Disease Detection Using EEG Signals. Electronics 2021, 10, 1740. [Google Scholar] [CrossRef]
- Oliveira, G.C.; Ngo, Q.C.; Passos, L.A.; Papa, J.P.; Jodas, D.S.; Kumar, D. Tabular Data Augmentation for Video-Based Detection of Hypomimia in Parkinson’s Disease. Comput. Methods Programs Biomed. 2023, 240, 107713. [Google Scholar] [CrossRef] [PubMed]
- Allebawi, M.F.; Dhieb, T.; Neji, M.; Farhat, N.; Smaoui, E.; Hamdani, T.M.; Damak, M.; Mhiri, C.; Neji, B.; Beyrouthy, T.; et al. Parkinson’s Disease Detection From Online Handwriting Based on Beta-Elliptical Approach and Fuzzy Perceptual Detector. IEEE Access 2024, 12, 56936–56950. [Google Scholar] [CrossRef]
- Quan, C.; Ren, K.; Luo, Z. A Deep Learning Based Method for Parkinson’s Disease Detection Using Dynamic Features of Speech. IEEE Access 2021, 9, 10239–10252. [Google Scholar] [CrossRef]
- Wang, W.; Lee, J.; Harrou, F.; Sun, Y. Early Detection of Parkinson’s Disease Using Deep Learning and Machine Learning. IEEE Access 2020, 8, 147635–147646. [Google Scholar] [CrossRef]
- Noaman Kadhim, M.; Al-Shammary, D.; Sufi, F. A Novel Voice Classification Based on Gower Distance for Parkinson Disease Detection. Int. J. Med. Inform. 2024, 191, 105583. [Google Scholar] [CrossRef]



| S. No. | Classifier | Training Accuracy (%) | Testing Accuracy (%) | Precision (%) | Sensitivity (%) | F1 Score (%) | AUC (%) |
|---|---|---|---|---|---|---|---|
| 1 | LR | 86.5 | 89.7 | 89 | 100 | 94 | 84 |
| 2 | DT | 100 | 92 | 94 | 97 | 95 | 84 |
| 3 | RF | 100 | 95 | 94 | 100 | 97 | 92 |
| 4 | KNN | 95 | 95 | 94 | 100 | 97 | 98 |
| 5 | SVM | 90 | 90 | 91 | 97 | 94 | 80 |
| 6 | GNB | 69 | 72 | 92 | 72 | 81 | 78 |
| 7 | MLP | 100 | 95 | 94 | 100 | 97 | 98 |
| 8 | XGB | 100 | 95 | 94 | 100 | 97 | 93 |
| 9 | ADB | 100 | 85 | 88 | 94 | 91 | 91 |
| 10 | SGD | 83 | 77 | 87 | 84 | 86 | 71 |
| 11 | GBM | 100 | 95 | 94 | 100 | 97 | 93 |
| 12 | ETC | 100 | 95 | 94 | 100 | 97 | 95 |
| 13 | LGBM | 100 | 95 | 94 | 100 | 97 | 95 |
| 14 | CB | 100 | 95 | 94 | 100 | 97 | 97 |
| 15 | BNB | 72 | 74 | 92 | 75 | 83 | 87 |
| 16 | CNB | 74 | 69 | 88 | 72 | 79 | 77 |
| 17 | MNB | 82 | 90 | 89 | 100 | 94 | 77 |
| 18 | HistGB | 100 | 92 | 94 | 97 | 95 | 95 |
| 19 | NC | 74 | 74 | 89 | 78 | 83 | 76 |
| 20 | RNC | 74 | 82 | 82 | 100 | 90 | 58 |
| 21 | LR+EN | 85 | 90 | 89 | 100 | 94 | 83 |
| 22 | ELM | 99 | 82 | 96 | 81 | 88 | 83 |
| 23 | RC | 91 | 92 | 91 | 100 | 96 | 82 |
| 24 | HC | 76 | 64 | 91 | 63 | 74 | 75 |
| 25 | PC | 80 | 87 | 91 | 94 | 92 | 83 |
| 26 | VC | 100 | 95 | 94 | 100 | 97 | 92 |
Disclaimer/Publisher’s Note: The statements, opinions and data contained in all publications are solely those of the individual author(s) and contributor(s) and not of MDPI and/or the editor(s). MDPI and/or the editor(s) disclaim responsibility for any injury to people or property resulting from any ideas, methods, instructions or products referred to in the content. |
© 2024 by the authors. Licensee MDPI, Basel, Switzerland. This article is an open access article distributed under the terms and conditions of the Creative Commons Attribution (CC BY) license (https://creativecommons.org/licenses/by/4.0/).
Share and Cite
Pradeep Reddy, G.; Rohan, D.; Kumar, Y.V.P.; Prakash, K.P.; Srikanth, M. Artificial Intelligence-Based Effective Detection of Parkinson’s Disease Using Voice Measurements. Eng. Proc. 2024, 82, 28. https://doi.org/10.3390/ecsa-11-20481
Pradeep Reddy G, Rohan D, Kumar YVP, Prakash KP, Srikanth M. Artificial Intelligence-Based Effective Detection of Parkinson’s Disease Using Voice Measurements. Engineering Proceedings. 2024; 82(1):28. https://doi.org/10.3390/ecsa-11-20481
Chicago/Turabian StylePradeep Reddy, Gogulamudi, Duppala Rohan, Yellapragada Venkata Pavan Kumar, Kasaraneni Purna Prakash, and Mandarapu Srikanth. 2024. "Artificial Intelligence-Based Effective Detection of Parkinson’s Disease Using Voice Measurements" Engineering Proceedings 82, no. 1: 28. https://doi.org/10.3390/ecsa-11-20481
APA StylePradeep Reddy, G., Rohan, D., Kumar, Y. V. P., Prakash, K. P., & Srikanth, M. (2024). Artificial Intelligence-Based Effective Detection of Parkinson’s Disease Using Voice Measurements. Engineering Proceedings, 82(1), 28. https://doi.org/10.3390/ecsa-11-20481

