Abstract
Measuring urine pH and metabolite concentrations is crucial for detecting potential health issues like urinary tract infection, kidney failure, and metabolic disorders. To address this issue, we are working on the development of a Bio-FET system, a biosensor based on field-effect transistors. This system utilizes a microfabricated gold electrode to detect not only urine pH but also specific biomarkers. As a pH sensor, the developed system shows a good response, with a corresponding sensitivity of 2.20 µA/pH. For biomarker detection, the system successfully detected immunoglobulin G, with antigen–antibody binding causing a measurable change of approximately 4 µA.
1. Introduction
Urine is a promising biological fluid for diagnostics due its unique characteristics, such as painless and non-invasive collection, abundance of biomarkers, and the ability to detect diseases early, enabling timely intervention and improved patient outcomes [1]. Maintaining the balance of urine pH and urine metabolite concentrations is vital for good health, with abnormal levels indicating various conditions such as urinary tract infection, kidney failure, or metabolic disorders.
Urinalysis is commonly performed using traditional methods such as urine culture, urine microscopy, urine biochemistry, and dipsticks tests. While the former three are staples in clinical settings for assessing urinary tract health and diagnosing various conditions, they can be expensive, complex, and time-consuming [2]. Regarding dipstick tests, despite their widespread use due to their ease of use, quick response time, and low cost, interpreting results with the naked eye can be subjective, and they are further dependent on variations in lighting and/or individual visual perception, which affect color interpretation, leading to inaccuracies [3].
To overcome these limitations, biosensing and microfluidic technologies can be used, a challenge that we intend to tackle with this work. One approach that stands out is the use of field-effect transistor (FET)-based biosensors, which present key advantages in biological detection. These sensors demonstrate high sensitivity [4]. Additionally, they enable real-time monitoring, miniaturization, and are label-free, meaning that they do not require complex and costly labeling processes, simplifying the detection protocol and reducing processing time [4]. Their versatility also allows for the detection of a wide range of biomolecules, making them suitable for a variety of biomedical applications [4]. In this way, the main goal of this work is to develop a biosensor system based on FETs, known as a Bio-FET system, capable of measuring urine pH and multiple urine metabolites.
2. Materials and Methods
In our conception of the Bio-FET system, two essential components were considered: a custom-designed chip with microfabricated gold electrodes, working as extended-gates (EG) and referred to as the Paddy chip, which will be functionalized and exposed to the target analyte; and a readout circuit system responsible for recording and amplifying signals resulting from modifications of the gates’ electrical properties.
2.1. Paddy Chip Microfabrication
To test the optimal dimensions and form factor of the gold EG, a chip named the Paddy chip (Figure 1) was microfabricated at INESC-MN’s cleanroom facility. This chip included a total of 16 pads with different sizes and aspect ratios (length–width) divided into two different groups: the test pads and the reference pads. This latter group comprised two platinum pads located in the first and last positions of the sequence of pads, between which are the remaining 14 gold test pads. These gold (Au) pads comprise the functional layers of the chip. They are designed to be functionalized with specific bioreceptors that will interact with the target analytes during detection. In the future, each of these Au pads will be functionalized with a specific bioreceptor, providing a multiplexed means of detection and measuring different analytes. The platinum pads, acting as reference electrodes, enhance the signal-to-noise ratio by providing stable baseline signals. This combination will therefore enable the system to detect target analytes in a highly sensitive and specific manner.
Figure 1.
Paddy chip.
The microfabrication process, illustrated in Figure 2, was adapted from the one reported by Baldacchini et al. [5]. The manufacturing process was carried out in a glass substrate previously cleaned in an Alconox solution in an ultrasonic bath for 45 min and then rinsed with isopropyl alcohol (IPA) and deionized (DI) water and blow dried with nitrogen. Subsequently, three lithography steps were performed. The first lithography step defined the test electrodes. Herein, a 1.5 µm layer of a positive photoresist (JSR Micro PFR 7790G-27cP) was spin-coated onto the sample. This photoresist was then exposed using a 422 nm wavelength laser in a direct write laser machine (DWL, Heidelberg Instruments). On completing the exposure process, in order to obtain a soft mask containing the sensor patterns, the sample was dipped into a suitable developer (JSR Micro PTH70EG solvent). Then, through a magnetron sputtering system (Alcatel SCM 450), a Cr/Au thin film (5 nm/200 nm) was deposited followed by lift-off to remove the Cr/Au from the undesired locations on the top of the mask, thus obtaining the required pattern. A second lithography step, following the same procedure, was performed before the deposition of a Ti/Pt thin film (5 nm/300 nm) to define the reference electrodes. The deposition is also conducted in the Alcatel SCM 450 machine. After the fabrication of all electrodes, the sample was fully passivated by depositing 400 nm of Si3N4 using a plasma-enhanced chemical vapor deposition (PECVD) system (Oxford Plasma Pro 100 PECVD). Then, the final lithography step was undertaken to define the contact vias on the nitride, which were opened via reactive ion etching (LAM Research Rainbow Plasma Etcher), leaving the pads exposed for later biofunctionalization.
Figure 2.
Microfabrication process steps of the Paddy chip.
A second chip, named Paddy2.0 chip, was also microfabricated at the INESC-MN cleanroom facility. The main distinction between this chip and the initial one is that the reference pads on Paddy 2.0 chip were made of gold instead of platinum. Consequently, a second microfabrication process was performed using the same procedure as before but omitting the step for defining the platinum reference pads.
2.2. Microelectronic System
When the biorecognition elements on the gate electrode interact with the target biomolecules, it triggers a modification in the gate’s electrical properties that can be quantified using a proper microelectronic system. Our microelectronic system, illustrated in Figure 3, consisted of a sensing surface (Paddy chip) and the transducer element, the metal–oxide-semiconductor field-effect transistor (MOSFET) coupled with a readout circuit comprising an operational amplifier to amplify the drain-source current (), and an Arduino to process the transducer signals using homemade algorithms.
Figure 3.
(a) Schematic diagram of the microelectronic system for the Bio-FET device and (b) its breadboard assembly.
2.3. Surface Functionalization
The functionalization of the precleaned Paddy2.0 chip was realized via a multistep biofunctionalization process, shown in Figure 4. Prior to functionalization, the sample was cleaned with DI water and ethanol then treated with ultraviolet (UV) light for 30 min to eliminate any contaminants from the gold surfaces. The first step was to incubate the EG gold pads overnight, at room temperature, in an ethanolic solution of mercaptoundecanoic acid (MUA) and 11-mercapto-1-undecanol (MUD), both purchased from Aldrich Chem. Co., at a concentration ratio of 0.33 mM to 0.67 mM (1:2), respectively, to form a mixed self-assembly monolayer (SAM). Then, to remove unbound molecules, the EG pads were successively rinsed with ethanol and DI water and blow-dried with pure nitrogen. The activation of the carboxyl groups of the deposited SAM was achieved by incubating the sensor for 60 min in a solution of N-ethyl-N′-(3-(dimethylamino)propyl) carbodiimide (EDC)/N-hydroxysuccinimide (NHS), both purchased from Sigma-Aldrich, at a 0.4 M:0.1 M ratio in Millipore water. After incubation, the surface was rinsed with Millipore water and blow-dried with nitrogen. Then, the EG pads were incubated overnight at 4 °C with anti-immunoglobulin G (Anti-IgG) (Sigma-Aldrich, Burlington, Massachusetts, USA) at a concentration of 0.01 mg/mL. The sensor was then rinsed with DI water and blow-dried with nitrogen. Finally, to avoid nonspecific binding, the unbound sites on the electrode pads’ surfaces were blocked via incubation with a 1 mg/mL bovine serum albumin (BSA) (Sigma-Aldrich) solution in a phosphate-buffered saline (PBS) 1 solution at pH 7.4 for 60 min at room temperature.
Figure 4.
Schematic diagram of IgG immobilization on the Paddy2.0 chip surface.
2.4. Ellipsometric Measurements
Conventional ellipsometry is utilized to measure optical parameters and estimate the thickness of each layer. Measurements were performed in air at a 70° angle of incidence using a SE 400 Ellipsometer (Sentech Instruments) equipped with a He−Ne laser with a wavelength of 632.8 nm. A two-phase model (gold/air) is employed to determine the refractive index (ns) and adsorption coefficient (ks) of the EG surfaces. For layer thickness measurement on the gold surfaces, a three-phase model (gold/film/air) was applied. Assuming a constant refractive index (nu) of 1.480 [6] for each layer, thickness (Tu) and extinction coefficient (ku) were determined through data fitting.
2.5. Biosensing Experiments
2.5.1. pH Tests
To evaluate the functionality of the readout circuit system and the Paddy chip, pH tests were conducted in two sets of experiments. The first aimed to study, in real time, how the Bio-FET system reacts to changes in the solution’s pH, while the second group aimed to assess the system’s sensitivity to pH variations.
Regarding the first group of tests, to study the Bio-FET system’s real-time response to variations in solution pH, the source-drain current () was measured. Herein, platinum and gold pads of the Paddy chip were used as reference and test pads, respectively. A buffer solution of pH 7 was applied onto the pads’ surfaces, and constant voltages, both between drain and source terminals () and at the gate electrode (), were applied. Then, hydrochloric acid () (1 M, Sigma-Aldrich) and sodium hydroxide () (1 M, Sigma-Aldrich) were sequentially added to the buffer solution to induce pH changes. The current over time curve was obtained.
In the second set of experiments, the same pair of pads was used, and six solutions with different pH values (10.36, 8.60, 7.40, 7.00, 4.00, and 2.91) were tested. The solutions were delivered to the pads using a micropipette. Herein, an electrical potential difference applied to the gate was scanned over a range of 0 to 2 V, maintaining a constant potential between the source and the drain (). The current–voltage () curves for each solution were obtained and compared. Then, a gate voltage value was selected within the linear operating region of the MOSFET, and for each pH value, the respective value was recorded, allowing for the determination of the calibration curve ().
2.5.2. Immunoglobulin G Tests
To study the Bio-FET system’s real-time response to the presence of immunoglobulin G (IgG) (Sigma-Aldrich) and evaluate the biosensor surface regeneration process, PBS was initially applied to the pads of Paddy2.0 chip, followed by the addition of IgG (0.1 mg/mL), to observe the system’s response, namely, the value. Subsequently, glycine-HCl was introduced to the system to regenerate the biosensor’s surface. Herein, constant voltages, both between drain and source terminals () and at the gate electrode (), were applied, and the current over time curve was obtained.
Then, to assess the limit of detection (LOD), linear range, and sensitivity of the system, PBS solutions spiked with IgG at different concentrations (0.01, 0.03, 0.05, and 0.07 mg/mL) were placed onto the pads using a micropipette and tested. For a constant drain-source voltage () and gate voltage value ranging from 0 to 1.2 V, the current–voltage curve () for each PBS-IgG solution was obtained.
3. Results and Discussion
3.1. pH Tests
Regarding the first set of tests, the changes in the drain-source current over time are shown in the plot of Figure 5.
Figure 5.
over time curve after adding 20 µL of and 20 µL of to a pH 7 solution.
The results show a clear relationship between solution pH and drain-source current. Adding the acidic solution (HCl) caused a decrease in current, while the basic solution (NaOH) led to an increase. This indicates that higher pH values correspond to higher drain-source currents.
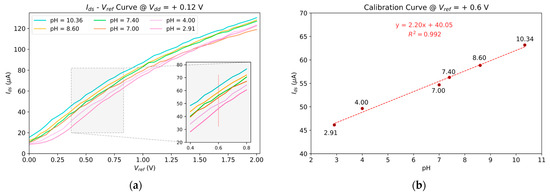
To assess the system sensitivity to pH variations, the current–voltage () curves of the six tested solutions were obtained and compared, as illustrated in Figure 6a. The inset plot shows the response of the MOSFET when operating in the linear region (0.4 V to 0.8 V).
Figure 6.
Results obtained in the second set of pH tests: (a) current–voltage curves for the six tested solutions (the current–voltage curves in the linear operating region of the MOSFET are shown in the inset plot); (b) calibration curve.
The results showed that the current–voltage curves differed depending on the pH of the solution. Higher pH values gave rise to higher current values, which agrees with the results obtained in the previous group of tests.
To obtain the calibration curve, a voltage value was selected within the linear operating region of the MOSFET (), represented by a red vertical line in the inset plot of Figure 6a, and the respective drain-source current value was recorded for each pH value. In Figure 6b, the calibration curve is shown to be linear with a sensitivity of 2.20 µA/pH, which corresponds to a sensitivity of 29.4 mV/pH.
Several studies have explored pH detection using FETs. For instance, Dong et al. [7] reported an ion-sensitive FET-based sensor with a pH sensitivity of 10.7 mV/pH. Similarly, Batista et al. [8] employed a ZnO extended-gate FET sensor, achieving a sensitivity of 36 mV/pH. In comparison. Our study demonstrated a sensitivity of 29.4 mV/pH, which is comparable to the sensor developed by Batista et al. and significantly higher than the sensitivity reported by Dong et al. [7].
3.2. Ellipsometric Measurements
Each stage of the functionalization process and subsequent surface modification was analyzed and confirmed using ellipsometry. This technique enabled us to measure the thickness of each deposited layer, as the optical thickness determined via ellipsometry is intimately related to the surface coverage and molecular packing. In Figure 7, the thicknesses of each deposited layer for the pair of pads used in the IgG tests are illustrated.
Figure 7.
Estimated layer thickness obtained via ellipsometry. SAM—self-assembly monolayer; BSA—bovine serum albumin.
According to the literature, the mixed-SAM thickness can be calculated by multiplying its number of C-C bonds by the C-C length of 0.154 nm and by sin(60º), considering the C-C bond angle [9]. Since both the components used in this mixed-SAM have the same number of C-C bonds, their thicknesses are equal to 1.34 nm (). From the plot in Figure 7, it can be seen that the thicknesses of the mixed-SAM for both pads are quite similar and agree with the expected value of 1.34 nm.
Additionally, Figure 7 shows that incubating the EG test pads with the antibody solution resulted in increased film thickness, indicating successful immobilization of the antibody on the EG surface.
Moreover, comparing the BSA layer thicknesses on both pads shows that the reference pad has a thicker layer than the test pad. This difference can be attributed to the number of binding sites available to block. The BSA layer on the test pad is thin, indicating minimal non-specific binding sites to block. In contrast, the reference pad has a thicker BSA layer as it was not incubated with Anti-IgG, resulting in more blocked non-specific binding areas.
3.3. IgG Tests
In Figure 8, the current over time curve obtained when first IgG and then glycine-HCl were added to the PBS solution is shown.
Figure 8.
over time curve after adding 30 µL of IgG and 30 µL of glycine-HCl to PBS. The black line represents the real-time measurements of the current () over time. The red line shows the mean current values, providing a reference level for comparison against changes after each addition.
The results show that when IgG was added to the solution, there was an increase in the value, showing that the binding event between the IgG and the immobilized biorecognition element, in this case, Anti-IgG, affects the drain-source current. Additionally, when glycine-HCl was added to the system, the current value returned to its initial value without IgG.
The current–voltage curves obtained for each PBS-IgG solution tested are shown in the plot of Figure 9. The results show that the current–voltage curves differed depending on the IgG concentration of the solution, with higher IgG concentrations being associated with higher current values.
Figure 9.
Current–voltage curves for the four PBS-IgG solutions tested. The current–voltage curves in the linear operating region of the MOSFET are represented in the inset plot.
In IgG detection, conventional methods include enzyme-linked immunosorbent assays (ELISA), surface plasmon resonance (SPR) [10], and electrochemical transducers [11]. Unlike these methods, which can be complex and time-consuming, our system potentially offers a relatively simple and cost-effective design, providing clear advantages in terms of ease of use. Moreover, while traditional methods such as ELISA and SPR often require longer processing times due to multiple steps, our system potentially enables the rapid detection of analytes, making it more suitable for real-time monitoring and point-of-care diagnostics.
4. Conclusions and Future Directions
As a pH sensor, the Bio-FET system shows a good response, demonstrating a linear relationship with a sensitivity of 2.20 µA/pH. Additionally, it was observed that the Bio-FET system was sensitive to the presence of IgG, and that glycine-HCl was a promising cleaning solution, allowing for the regeneration of the sensor surface.
As a conclusion, the key parameters of our chip, including sensitivity and response time in the range of seconds, demonstrate some advantages over traditional sensors used for pH and IgG detection. Moreover, the simplicity of the chip’s design potentially facilitates low-cost fabrication and scalability.
Despite the good response of the system to IgG presence, further tests using different PBS-IgG solutions with higher concentrations of IgG are being conducted to evaluate the LOD, linear range, and sensitivity of the Bio-FET system as an IgG sensor. At the same time, reusability tests are being carried out to evaluate the number of times that the sensor surface can be regenerated without compromising the system’s functionality. As a future direction, since our main goal is to detect variations in urine, these same tests will be conducted again but now using both conditions that simulate real urine samples and real urine samples. Finally, we want to expand the number of urinary biomarkers capable of being simultaneously detected by our Bio-FET system.
Author Contributions
Conceptualization and methodology, B.S.-A. and H.A.F.; investigation, formal analysis, and writing—original draft preparation, B.S.-A.; writing—review and editing, B.S.-A. and H.A.F.; microfabrication of the sensors at INESC MN, B.S.-A. and A.F.M.; surface functionalization B.S.-A. and A.S.V.; supervision, project administration, and funding acquisition, N.M., S.C., and H.A.F. All authors have read and agreed to the published version of the manuscript.
Funding
This work was partially funded by Fundação para a Ciência e Tecnologia (FCT) under the project UIDB/00645/2020 (https://doi.org/10.54499/UIDB/00645/2020), project UIDB/05367/2020 (https://doi.org/10.54499/UIDB/05367/2020), project UIBD/00100/2020 (https://doi.org/10.54499/UIDB/00100/2020), project UIPD/00100/2020 (https://doi.org/10.54499/UIDP/00100/2020), project LA/P/0056/2020 (https://doi.org/10.54499/LA/P/0056/2020) and grant 22023.00474.BDANA. This work was also partially funded by project HfPT (Health from Portugal), with the reference n.ºC644937233-00000047, and co-funded by Component C5—Capitalisation and Business Innovation, under the Portuguese Resilience and Recovery Plan through the Next Generation EU Fund.
Institutional Review Board Statement
Not applicable.
Informed Consent Statement
Not applicable.
Data Availability Statement
Data are contained within the article.
Conflicts of Interest
B.S.-A., N.M., and H.A.F. are consultants for and co-founders of Exotictarget Lda, a point-of-care urinalysis device company. The funders had no role in the design of the study; in the collection, analyses, or interpretation of data; in the writing of the manuscript; or in the decision to publish the results.
References
- Sequeira-Antunes, B.; Ferreira, H.A. Urinary Biomarkers and Point-of-Care Urinalysis Devices for Early Diagnosis and Management of Disease: A Review. Biomedicines 2023, 11, 1051. [Google Scholar] [CrossRef] [PubMed]
- Masajtis-Zagajewska, A.; Nowicki, M. New markers of urinary tract infection. Clin. Chim. Acta 2017, 471, 286–291. [Google Scholar] [CrossRef] [PubMed]
- Hwang, C.; Lee, W.-J.; Kim, S.D.; Park, S.; Kim, J.H. Recent Advances in Biosensor Technologies for Point-of-Care Urinalysis. Biosensors 2022, 12, 1020. [Google Scholar] [CrossRef] [PubMed]
- Janićijević, Ž.; Nguyen-Le, T.-A.; Baraban, L. Extended-gate field-effect transistor chemo-and biosensors: State of the art and perspectives. Next Nanotechnol. 2023, 3, 100025. [Google Scholar]
- Baldacchini, C.; Montanarella, A.F.; Francioso, L.; Signore, M.A.; Cannistraro, S.; Bizzarri, A.R. A reliable biofet immunosensor for detection of p53 tumour suppressor in physiological-like environment. Sensors 2020, 20, 6364. [Google Scholar] [CrossRef] [PubMed]
- Arwin, H. Optical properties of thin layers of bovine serum albumin, γ-globulin, and hemoglobin. Appl. Spectrosc. 1986, 40, 313–318. [Google Scholar]
- Dong, Z.; Wejinya, U.C.; Elhajj, I.H. Fabrication and testing of ISFET based pH sensors for microliter target solutions. Sens. Actuators A Phys. 2013, 194, 181–187. [Google Scholar] [CrossRef]
- Batista, P.; Mulato, M. ZnO extended-gate field-effect transistors as pH sensors. Appl. Phys. Lett. 2005, 87, 143508. [Google Scholar] [CrossRef]
- Phan, H.T.; Bartelt-Hunt, S.; Rodenhausen, K.B.; Schubert, M.; Bartz, J.C. Investigation of bovine serum albumin (BSA) attachment onto self-assembled monolayers (SAMs) using combinatorial quartz crystal microbalance with dissipation (QCM-D) and spectroscopic ellipsometry (SE). PLoS ONE 2015, 10, e0141282. [Google Scholar]
- Ertürk, G.; Uzun, L.; Tümer, M.A.; Say, R.; Denizli, A. Fab fragments imprinted SPR biosensor for real-time human immunoglobulin G detection. Biosens. Bioelectron. 2011, 28, 97–104. [Google Scholar] [CrossRef] [PubMed]
- Liang, A.A.; Hou, B.H.; Tang, C.S.; Sun, D.L.; Luo, E.A. An advanced molecularly imprinted electrochemical sensor for the highly sensitive and selective detection and determination of Human IgG. Bioelectrochemistry 2021, 137, 107671. [Google Scholar]
Disclaimer/Publisher’s Note: The statements, opinions and data contained in all publications are solely those of the individual author(s) and contributor(s) and not of MDPI and/or the editor(s). MDPI and/or the editor(s) disclaim responsibility for any injury to people or property resulting from any ideas, methods, instructions or products referred to in the content. |
© 2024 by the authors. Licensee MDPI, Basel, Switzerland. This article is an open access article distributed under the terms and conditions of the Creative Commons Attribution (CC BY) license (https://creativecommons.org/licenses/by/4.0/).








