Next Article in Journal
Quantum-Based Relative Inertial Navigation with Velocity-Aided Alignment and Initialization
Previous Article in Journal
Optical Centroid Efficiency in Infrared Sensors
 
 
Font Type:
Arial Georgia Verdana
Font Size:
Aa Aa Aa
Line Spacing:
Column Width:
Background:
Proceeding Paper

Analysis of Baseband Algorithms for LEO PNT †

by
Fran Fabra
1,*,
José A. López-Salcedo
1,2 and
Gonzalo Seco-Granados
1,2
1
Institut d’Estudis Espacial de Catalunya (IEEC), 08034 Barcelona, Spain
2
Department of Telecommunication and Systems Engineering, Universitat Autònoma de Barcelona (UAB), 08193 Bellaterra, Spain
*
Author to whom correspondence should be addressed.
Presented at the European Navigation Conference 2023, Noordwijk, The Netherlands, 31 May–2 June 2023.
Eng. Proc. 2023, 54(1), 36; https://doi.org/10.3390/ENC2023-15458
Published: 29 October 2023
(This article belongs to the Proceedings of European Navigation Conference ENC 2023)

Abstract

:
This paper provides an analysis of the impact of transmitter dynamics on baseband algorithms for position, navigation and timing applications using a low Earth orbit constellation. In particular, the acquisition and tracking of signals with high dynamics have larger Doppler and Doppler drift values that might impair the use of standard methods. Our analysis combines a theoretical assessment of acquisition and tracking thresholds with a performance evaluation by means of a simulation. Three frequency bands are tested (UHF, S and Ka) and an open-source software receiver has been adapted for such a purpose. The results obtained show the potential feasibility of LEO-PNT at baseband level under minimal considerations.

1. Introduction

The high demand on Position Navigation and Timing (PNT) solutions, plus the advent of several Low Earth Orbit (LEO) constellations, has brought attention to the use of these signals for PNT applications [1,2,3]. Compared with traditional Global Navigation Satellite Systems (GNSS), LEO signals benefit from higher power transmission, a greater number of satellites, faster multipath conditions, and a lower cost of deployment, which enables the more frequent replacement of constellation generation.
From a baseband point of view, LEO-based PNT is characterized by high dynamics signals due to the larger Doppler shift induced by the relatively high velocity of the transmitter [4]. This means an increase in computation time during acquisition due to the larger search space. Moreover, in severe Doppler conditions, code-frequency offset (also referred to as code Doppler) can also be significant and needs to be compensated [5]. Considering that the visibility time window of a LEO satellite is also smaller, external aiding might be a mandatory condition for acquiring signals in certain frequency bands. Regarding tracking, the increase of Doppler-rate under high dynamics might cause phase, frequency and code deviations that cannot be followed using traditional tracking configurations in standard GNSS receivers (there is a larger probability of tracking loss due to dynamic stress error).
The analysis presented in this paper is split in two parts. First, a theoretical assessment is carried out to evaluate the acquisition and tracking thresholds for a set of signals considered (ranging from UHF to Ka bands) under the corresponding Doppler and Doppler rates from a LEO constellation. In the second part, the previous results are compared against a simulation analysis based on Monte Carlo realizations of the different signals under the selected scenarios.

2. Theoretical Assessment

In order to evaluate the potential frequency diversity of LEO-PNT systems, three bands have been preliminary selected in the present study: UHF, S and Ka. For each case, spread-spectrum GNSS-like signals have been considered, and no navigation message has been included.
In a standard LEO use case scenario, the dynamics will be mainly driven by the satellite motion. Table 1 shows the dynamics considered in the following analysis derived from the assumed LEO constellation (maximum values and comparison with GPS [6] as a reference).

2.1. Acquisition Thresholds

We will evaluate here the impact of LEO dynamics on signal acquisition and compare the results obtained against those from GPS L1, which will serve as a reference. The first parameter that we can check is the number of Doppler bins needed to cover the whole dynamic range. For a given code length, such a parameter gives the number of cells that need to be scanned during a cold start, thus providing some information about its feasibility as a real-time application for a given receiver. Table 2 provides the number of Doppler bins (computed as one half of the inverse of the coherent integration time) for two values of coherent integration time (T co ): the code period of the corresponding component for each signal and 10 ms. The next step is to check the impact of the Doppler change during the coherent integration. For this purpose, Table 2 also provides the amount of Doppler drift as a percentage of the Doppler bin. The results obtained for 10 ms of coherent integration reveal the problems that would be faced when trying to acquire signals at high frequency bands, where the coherent accumulation would not efficiently increase the signal-to-noise ratio without external assistance to correct the Doppler drift.
Finally, we follow the procedure summarized in [7] to compute the probability of detection during the acquisition process as follows:
P d = 1 F ( χ 2 ( 2 K , β ) ) ( T h acq ) ,
where F ( χ 2 ( 2 K , β ) ) is the cumulative distribution function of a non-central χ 2 distribution with 2 K degrees of freedom (with K being the number of incoherent accumulations) and a non-centrality parameter β , which is approximated, because the delay and Doppler uncertainties are not accounted for:
β = C N 0 K T co .
The threshold value T h acq is computed from a desired probability of false alarm P fa as follows:
T h acq = F ( χ 2 ( 2 K ) ) 1 ( 1 P fa ) .
By combining the previous expressions and fixing desired values for P d and P fa , we can scan over C / N 0 to obtain the acquisition threshold. Table 3 shows the results obtained when considering the whole search space for each type of signal according to the code length and Doppler range.

2.2. Tracking Thresholds

We will evaluate here the tracking performance of the different signals under analysis. A set of representative configurations of the delay, frequency and phase lock loops will be analysed by following the procedures from [8].
In general, the rule-of-thumb for setting the tracking threshold is to apply the following:
σ track + e d / 3 T h track ,
where the particular values of tracking jitter σ track , dynamic stress error e d and threshold limit T h track for each type of loop are given in Table 4. Details on the jitter computation for delay (DLL), frequency (FLL) and phase lock loops (PLL) will be described later. The impact of these dynamics is mainly determined by the derivatives of the line-of-sight range ρ and the natural frequency of the loop filter of n-order ω 0 , which is proportional to the loop noise bandwidth B n . We take B n = 0.53 ω 0 for a second-order filter and B n = 0.7845 ω 0 for a third-order filter. Finally, the threshold limits for DLL depend on the early-to-late distance D of the discriminator. In the case of FLL, this value is a function of the integration time T, while for PLL it is fixed to 30 because we consider a data-less four-quadrant arctangent discriminator.
The general expression for thermal noise code tracking jitter σ DLL is given by the following:
σ DLL = c B n B f e / 2 B f e / 2 S s ( f ) sin 2 ( π f D T c ) d f ( 2 π ) 2 C / N 0 ( B f e / 2 B f e / 2 f S s ( f ) sin ( π f D T c ) d f ) 2 1 + B f e / 2 B f e / 2 S s ( f ) cos 2 ( π f D T c ) d f T C / N 0 ( B f e / 2 B f e / 2 f S s ( f ) cos ( π f D T c ) d f ) 2 ,
where c is the speed of light, B f e is the front-end bandwidth, S s ( f ) is the power spectral density of the signal, normalized to unit area over infinite bandwidth, T is the pre-detection integration time and T c = 1 / R c is the chip period (the inverse of the chipping rate).
Then, the tracking thresholds can be computed by determining the C / N 0 value required to obtain an equality in the aforementioned rule-of-thumb for the stress error level given by the LEO dynamics. Table 5 provides the results for DLL, where we can see the impact of dynamics in the improvement obtained when using third-order loop architectures in the LEO cases. The integration time is set to the corresponding T code (the wide-band component for the LEO cases).
The frequency tracking jitter due to thermal noise is given by the following:
σ FLL = 1 2 π T 4 F B n C / N 0 1 + 1 T C / N 0 ,
where the term F is set to 1 and changes to 2 when the result is near the threshold. The results obtained for the different signals and configurations are shown in Table 6. Again, we can see the improvement obtained when increasing the order of the filter in LEO cases, especially for low values of B n .
Finally, the phase tracking jitter due to thermal noise is given by the following:
σ PLL = 360 2 π B n C / N 0 1 + 1 2 T C / N 0 .
It is important to remark that we are neglecting two other relevant components of the total phase jitter: the Allan deviation oscillator noise and the vibration-induced noise. The reason for this is that we prefer to focus on the impact of dynamics in the present study. However, as described in [9], these terms are directly proportional to the carrier frequency, so their impact will be especially relevant for high frequency bands and thus should be carefully analyzed in the implementation of LEO PNT test platforms.
Table 7 provides the results obtained for the different signals and configurations. We can see how the dynamics in LEO disable the possibility of reaching acceptable values in most of the scenarios and that second-order loops are not a valid option.

3. Simulation Analysis

Each of the LEO signals described have been simulated assuming a constellation at an altitude of 600 km. With the aim of covering most of the Doppler and Doppler drift ranges at each frequency band, seven satellites have been simultaneously generated at different elevations to build 4 s of raw samples. This datasets are then injected into a modified version of FGI-GSRx [10,11], an open-source GNSS receiver. In addition to the adaptation of the particular characteristics of our LEO signals (modulation and code properties), the modification includes code Doppler compensation in terms of acquisition and a new tracking loop engine that implements a second-order DLL with a third-order PLL aided by a second-order FLL.

3.1. Results for Acquisition

The acquisition analysis consists in performing 1000 realizations of data, with added white Gaussian noise (adapted to a given C / N 0 value), to obtain the corresponding metrics employed to determine the signal presence during the acquisition process. The value of the fifth percentile (5%), which would correspond to a probability of detection of 0.95, is compared to the acquisition threshold for a probability of false alarm of 0.001 (the computation of this term takes into account the total number of code-Doppler cells required during a full acquisition process). Figure 1 provides the results obtained for the same LEO cases shown previously in Table 3. We can see that there is a generally good agreement with the theoretical assessment, including the case at the Ka band with longer integration. Therefore, the lack of Doppler drift aiding does not have a strong impact in these scenarios.

3.2. Results for Tracking

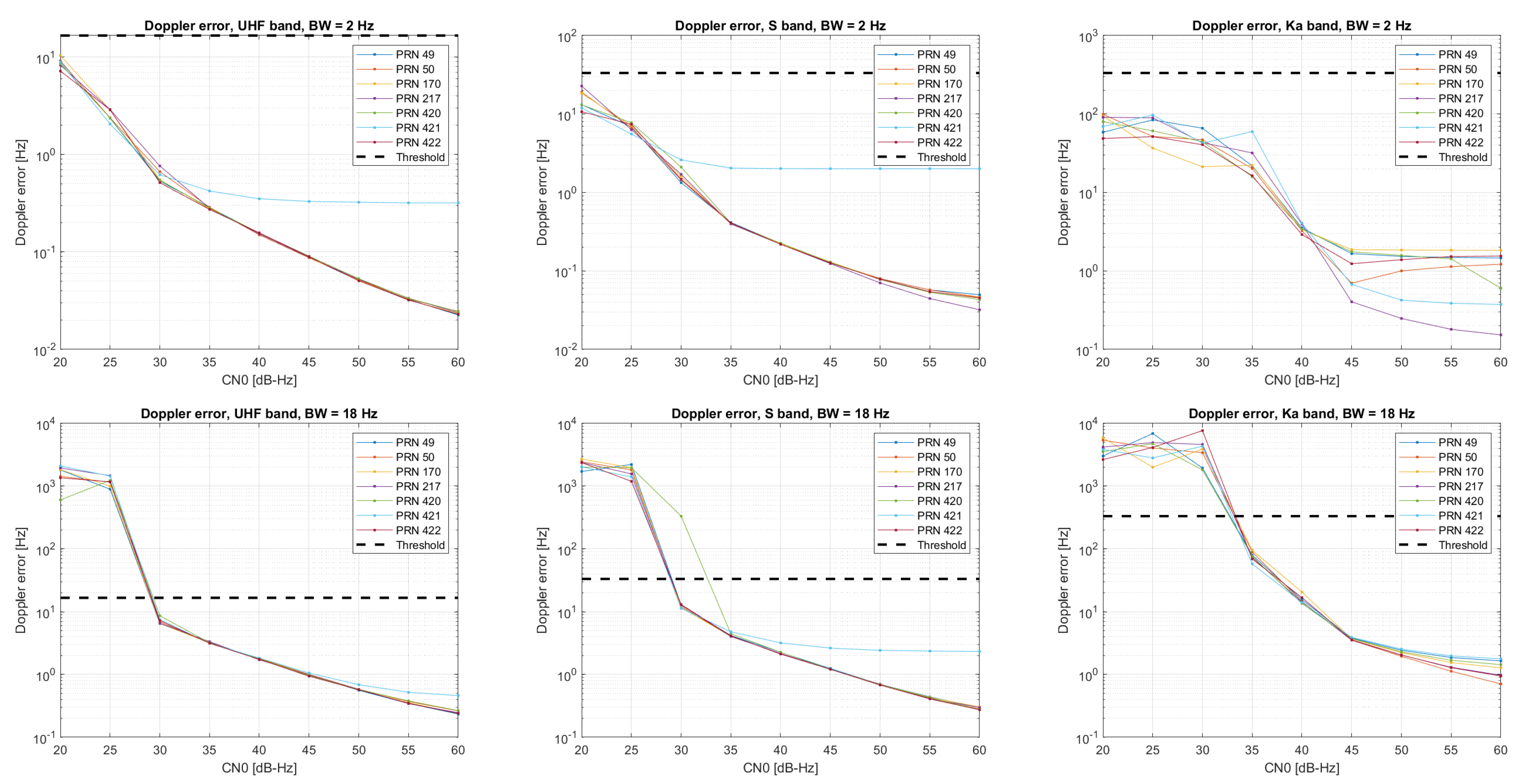
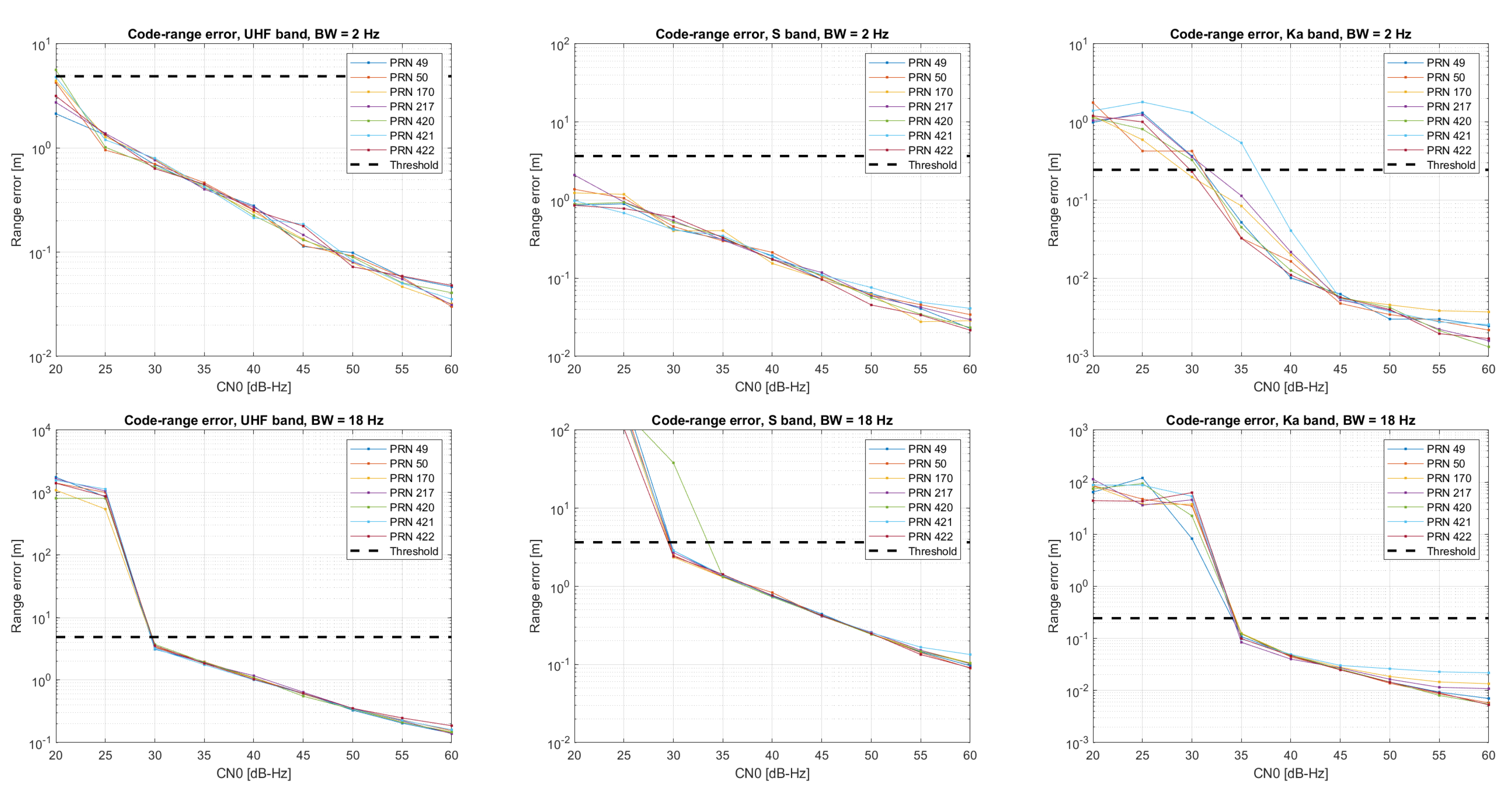
For tracking analysis, the procedure consists in performing the acquisition of noise-free data and starting tracking with a wide loop bandwidth (40 Hz) in order to safely reach a steady state in a short time interval and to then include additive white Gaussian noise and to set a given loop bandwidth. Then, the resultant code, phase and Doppler evolution are compared against the corresponding models to estimate the error values as the standard deviation of such differences over the given interval (from seconds 3 to 4) and averaged after 10 different iterations. Figure 2, Figure 3 and Figure 4 provide the code, phase and Doppler output error results for the loop bandwidth values employed during the theoretical assessment. In order to limit the number of different combinations, the same loop bandwidth is applied to the three different loops of the implemented architecture. The integration time is set to the code period of the corresponding wide band component. Regarding the obtained results, the code-tracking thresholds that can be derived from the graphs are well aligned with the theoretical values for third-order loops given in Table 5 (recall that our second-order DLL is aided by a third-order PLL/FLL loop). On the other hand, the frequency results seem to benefit from the combination with the phase discriminator in the loop architecture. However, such a combination also has an impact on the phase, which provides more robust results for B n = 2 Hz (tracking is achieved), while worsening the expectation when using a larger loop bandwidth value (the thresholds seem to be bounded by the performance of the FLL). It is also relevant to point out the results in frequency and phase from PRN 421, which are probably due to the fact that this was the satellite with the highest Doppler drift.

4. Discussion

The analysis presented in this paper shows the potential feasibility of LEO-PNT at baseband level. Compared with the standard GNSS, LEO-PNT will typically have higher demanding acquisition thresholds which can be compensated for with higher received power levels. The large Doppler ranges imply a higher number of Doppler cells, thus significantly increasing the total number of search cells. Although this might not be a limitation in terms of acquisition thresholds, it can have a strong impact on real-time implementations. However, this effect could be compensated for by means of Doppler aiding. The most relevant aspect in our software-based GNSS receiver is the necessity of including code Doppler correction to enable longer integration times.
Regarding tracking, the theoretical assessment shows that only high-order loops can be used to properly track the LEO dynamics (even considering a static receiver). Despite this, the tracking loop architecture implemented has shown the capability of successfully tracking the selected signals in the different bands under analysis. However, it is worth mentioning that neither clock- or vibration-induced errors have been included, which have an important impact on high frequency bands.

Author Contributions

Conceptualization, F.F., J.A.L.-S. and G.S.-G.; methodology, F.F.; software, F.F.; formal analysis, F.F.; writing—original draft preparation, F.F.; writing—review and editing, J.A.L.-S. and G.S.-G.; project administration, G.S.-G.; funding acquisition, J.A.L.-S. and G.S.-G. All authors have read and agreed to the published version of the manuscript.

Funding

This research was carried out under a programme funded by the European Space Agency (ESA): project ESA AO/1-10372/20/NL/CRS “LEO Positioning Navigation and Timing from User Equipment”. The views expressed herein can in no way be taken to reflect the official opinion of the European Space Agency.

Institutional Review Board Statement

Not applicable.

Informed Consent Statement

Not applicable.

Data Availability Statement

Data sharing is not applicable due to privacy restrictions.

Acknowledgments

The authors would like to acknowledge the contributions of Lea Castel, Rami Ali-Ahmad, Romain Crapart and Simon Naws from Thales Alenia Space France in providing the raw data samples from the different LEO signals.

Conflicts of Interest

The authors declare no conflict of interest.

Abbreviations

The following abbreviations are used in this manuscript:
LEOLow Earth Orbit
PNTPositioning, Navigation and Timing
UHFUltra-High Frequency
GNSSGlobal Navigation Satellite System
GPSGlobal Positioning System
DLLDelay Lock Loop
FLLFrequency Lock Loop
PLLPhase Lock Loop

References

  1. Benzerrouk, H.; Nguyen, Q.; Fang, X.; Amrhar, A.; Rasaee, H.; Landry, R. LEO satellites Based Doppler Positioning Using Distributed nonlinear Estimation. IFAC-PapersOnLine 2019, 52, 496–501. [Google Scholar] [CrossRef]
  2. Cheng, L.; Dai, Y.; Guo, W.; Zheng, J. Structure and Performance Analysis of Signal Acquisition and Doppler Tracking in LEO Augmented GNSS Receiver. Sensors 2021, 21, 525. [Google Scholar] [CrossRef] [PubMed]
  3. Kassas, Z.; Morales, J.; Khalife, J. New-age satellite-based navigation–STAN: Simultaneous tracking and navigation with LEO satellite signals. Inside GNSS Mag. 2019, 14, 56–65. [Google Scholar]
  4. Ali, I.; Al-Dhahir, N.; Hershey, J.E. Doppler Characterization for LEO Satellites. IEEE Trans. Commun. 1998, 46, 309–313. [Google Scholar] [CrossRef]
  5. Cheng, U.; Hurd, W.J.; Statman, J.I. Spread-Spectrum Code Acquisition in the Presence of Doppler Shift and Data Modulation. IEEE Trans. Commun. 1990, 38, 241–250. [Google Scholar] [CrossRef]
  6. Misra, P.; Enge, P. Global Positioning System, Signals, Measurements, and Performance, 2nd ed.; Ganga-Jamuna Press: Lincoln, MA, USA, 2006. [Google Scholar]
  7. Foucras, M.; Julien, O.; Macabiau, C.; Ekambi, B.; Bacard, F. Assessing the Performance of GNSS Signal Acquisition: New Signals and GPS L1 C/A Code. Inside GNSS, Inside GNSS Media LLC. 2014, pp. 68–79. Available online: https://insidegnss.com/wp-content/uploads/2018/01/IGM_julaug14-WP.pdf (accessed on 10 January 2023).
  8. Kaplan, E.D.; Hegarty, C.J. Understanding GPS: Principles and Applications, 2nd ed.; Artech House: Boston, MA, USA, 2006. [Google Scholar]
  9. Irsigler, M.; Eissfeller, B. PLL tracking performance in the presence of oscillator phase noise. GPS Solut. 2002, 5, 45–57. [Google Scholar] [CrossRef]
  10. FGI-GSRx Software Receiver. Available online: https://github.com/nlsfi/FGI-GSRx (accessed on 15 May 2023).
  11. Borre, K.; Fernández-Hernández, I.; Lopez-Salcedo, J.A.; Bhuiyan, M.Z.H. GNSS Software Receivers; Cambridge University Press: Cambridge, UK, 2022; in press. [Google Scholar]
Figure 1. Acquisition results from simulation analysis. A dashed line indicates the corresponding threshold limit for a probability of false alarm of 0.001. Columns from left to right: results from UHF, S and Ka bands. Upper row: T co = T code . Bottom row: T co = 10 ms (10.4 ms for UHF).
Figure 1. Acquisition results from simulation analysis. A dashed line indicates the corresponding threshold limit for a probability of false alarm of 0.001. Columns from left to right: results from UHF, S and Ka bands. Upper row: T co = T code . Bottom row: T co = 10 ms (10.4 ms for UHF).
Engproc 54 00036 g001
Figure 2. Tracking code results from simulation analysis. A dashed line indicates the corresponding threshold limit. Columns from left to right: results from UHF, S and Ka bands. Upper row: B n = 2 Hz. Bottom row: B n = 10 Hz.
Figure 2. Tracking code results from simulation analysis. A dashed line indicates the corresponding threshold limit. Columns from left to right: results from UHF, S and Ka bands. Upper row: B n = 2 Hz. Bottom row: B n = 10 Hz.
Engproc 54 00036 g002
Figure 3. Tracking frequency results from simulation analysis. A dashed line indicates the corresponding threshold limit. Columns from left to right: results from UHF, S and Ka bands. Upper row: B n = 2 Hz. Bottom row: B n = 10 Hz.
Figure 3. Tracking frequency results from simulation analysis. A dashed line indicates the corresponding threshold limit. Columns from left to right: results from UHF, S and Ka bands. Upper row: B n = 2 Hz. Bottom row: B n = 10 Hz.
Engproc 54 00036 g003
Figure 4. Tracking phase results from simulation analysis. A dashed line indicates the corresponding threshold limit. Columns from left to right: results from UHF, S and Ka bands. Upper row: B n = 2 Hz. Bottom row: B n = 10 Hz.
Figure 4. Tracking phase results from simulation analysis. A dashed line indicates the corresponding threshold limit. Columns from left to right: results from UHF, S and Ka bands. Upper row: B n = 2 Hz. Bottom row: B n = 10 Hz.
Engproc 54 00036 g004
Table 1. User–satellite range dynamics for LEO scenario and GPS.
Table 1. User–satellite range dynamics for LEO scenario and GPS.
Range DerivativeLEOGPS
ρ ˙ 7000 m/s800 m/s
ρ ¨ 90 m/s 2 0.14 m/s 2
ρ 1 m/s 3 0.000122 m/s 3
Table 2. Acquisition parameters for the different signals under analysis.
Table 2. Acquisition parameters for the different signals under analysis.
Frequency BandGPS L1UHFSKa
Doppler bins (T co = T code )1730117115
Doppler drift over bin [%]0.00010.0150.0370.003
Doppler bins (T co = 10 ms)169382 1232828627
Doppler drift over bin [%]0.012.55 114.96184.03
1 Actual T co for UHF is 10.4 ms to be an integer multiple of the corresponding T code .
Table 3. Acquisition threshold to achieve P d = 0.95 with a P fa = 0.001 [dB-Hz].
Table 3. Acquisition threshold to achieve P d = 0.95 with a P fa = 0.001 [dB-Hz].
Frequency BandGPS L1UHFSKa
T co = T code 47.648.951.262.1
T co = 10 ms37.938.2 138.738.9
1 Actual T co for UHF is 10.4 ms to be an integer multiple of the corresponding T code .
Table 4. Terms for tracking threshold computation depending on type of loop.
Table 4. Terms for tracking threshold computation depending on type of loop.
TermDLLFLLPLL
σ track σ DLL σ FLL σ PLL
e d ρ e = d n ρ / d t n ω 0 n f e = d n + 1 ρ / d t n + 1 λ ω 0 n θ e = 360 λ d n ρ / d t n ω 0 n
T h track D / 6 1 / 12 T 30
Table 5. Tracking threshold for DLL [dB-Hz].
Table 5. Tracking threshold for DLL [dB-Hz].
Frequency BandGPS L1UHFSKa
B n = 2  Hz, 2nd order22.720.725.9-
B n = 2  Hz, 3rd order22.718.620.025.0
B n = 18  Hz, 2nd order27.924.525.630.1
B n = 18  Hz, 3rd order27.924.525.629.7
Table 6. Tracking threshold for FLL [dB-Hz].
Table 6. Tracking threshold for FLL [dB-Hz].
Frequency BandGPS L1UHFSKa
B n = 2  Hz, 1st order24.423.541.5-
B n = 2  Hz, 2nd order24.421.522.727.2
B n = 18  Hz, 1st order30.228.629.733.1
B n = 18  Hz, 2nd order30.228.329.032.4
Table 7. Tracking threshold for PLL [dB-Hz].
Table 7. Tracking threshold for PLL [dB-Hz].
Frequency BandGPS L1UHFSKa
B n = 2  Hz, 2nd order24.0---
B n = 2  Hz, 3rd order21.416.8--
B n = 18  Hz, 2nd order27.224.2--
B n = 18  Hz, 3rd order27.120.821.826.2
Disclaimer/Publisher’s Note: The statements, opinions and data contained in all publications are solely those of the individual author(s) and contributor(s) and not of MDPI and/or the editor(s). MDPI and/or the editor(s) disclaim responsibility for any injury to people or property resulting from any ideas, methods, instructions or products referred to in the content.

Share and Cite

MDPI and ACS Style

Fabra, F.; López-Salcedo, J.A.; Seco-Granados, G. Analysis of Baseband Algorithms for LEO PNT. Eng. Proc. 2023, 54, 36. https://doi.org/10.3390/ENC2023-15458

AMA Style

Fabra F, López-Salcedo JA, Seco-Granados G. Analysis of Baseband Algorithms for LEO PNT. Engineering Proceedings. 2023; 54(1):36. https://doi.org/10.3390/ENC2023-15458

Chicago/Turabian Style

Fabra, Fran, José A. López-Salcedo, and Gonzalo Seco-Granados. 2023. "Analysis of Baseband Algorithms for LEO PNT" Engineering Proceedings 54, no. 1: 36. https://doi.org/10.3390/ENC2023-15458

APA Style

Fabra, F., López-Salcedo, J. A., & Seco-Granados, G. (2023). Analysis of Baseband Algorithms for LEO PNT. Engineering Proceedings, 54(1), 36. https://doi.org/10.3390/ENC2023-15458

Article Metrics

Back to TopTop