Exploring New Mitochondria-Targetable Theragnostic styrylBODIPYs †
Abstract
:1. Introduction
2. Results
2.1. Synthetic Development
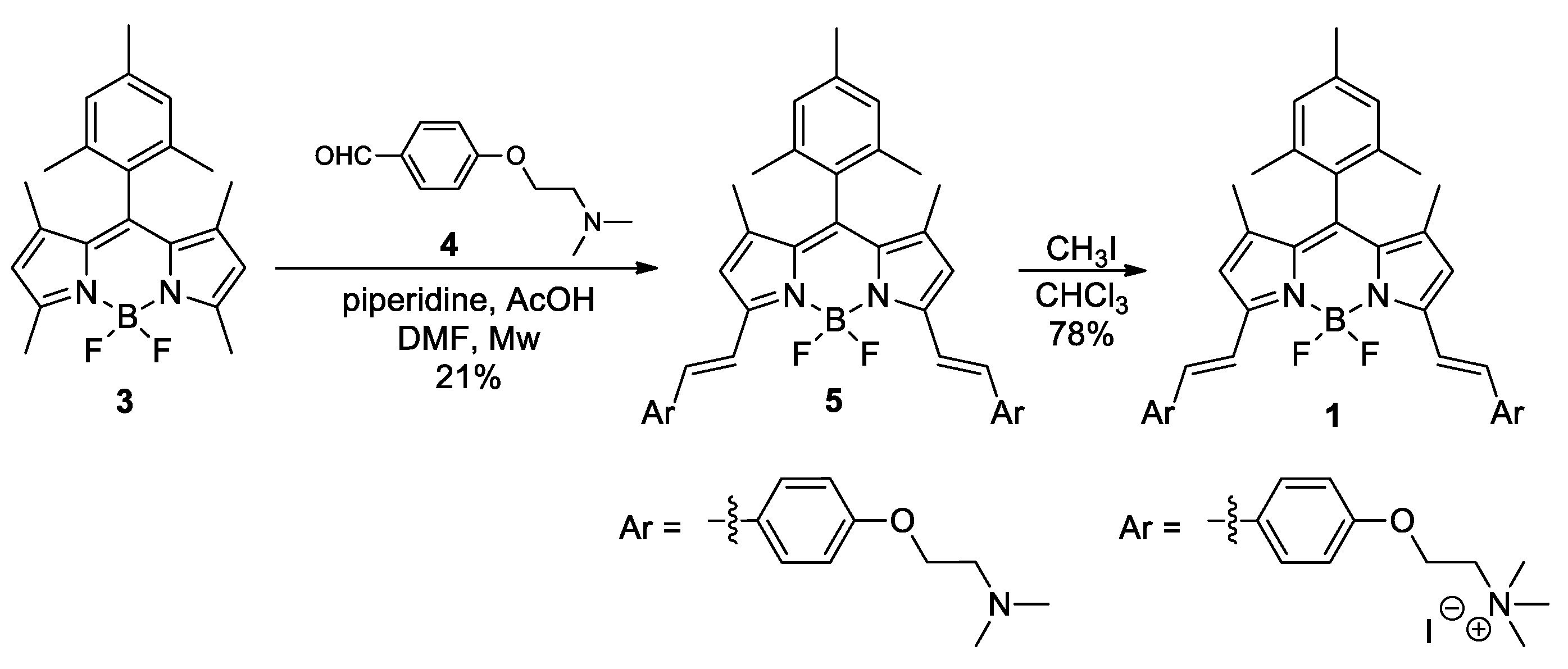
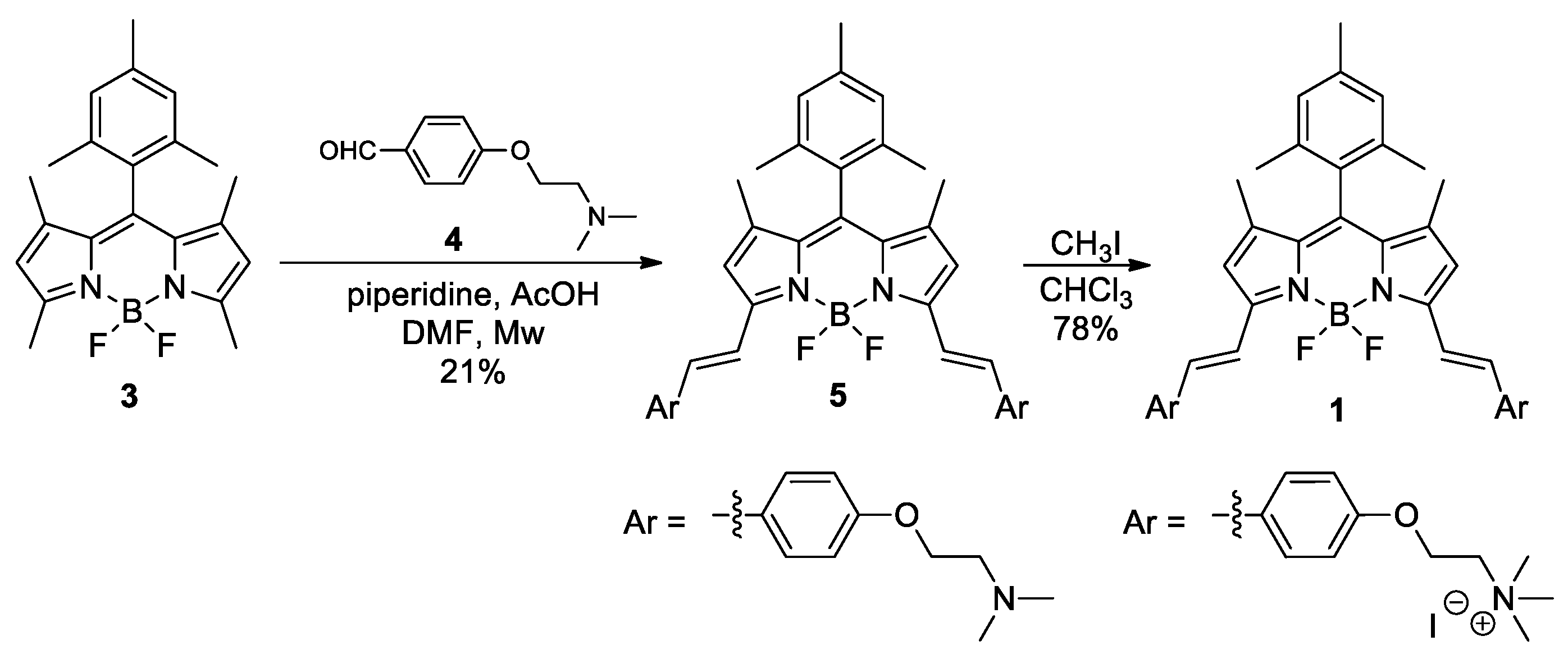
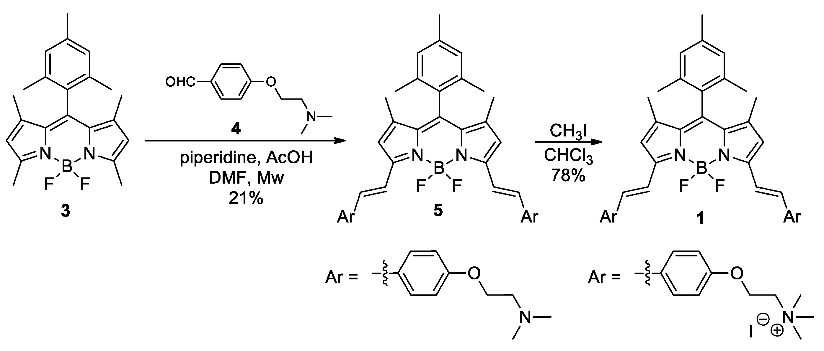
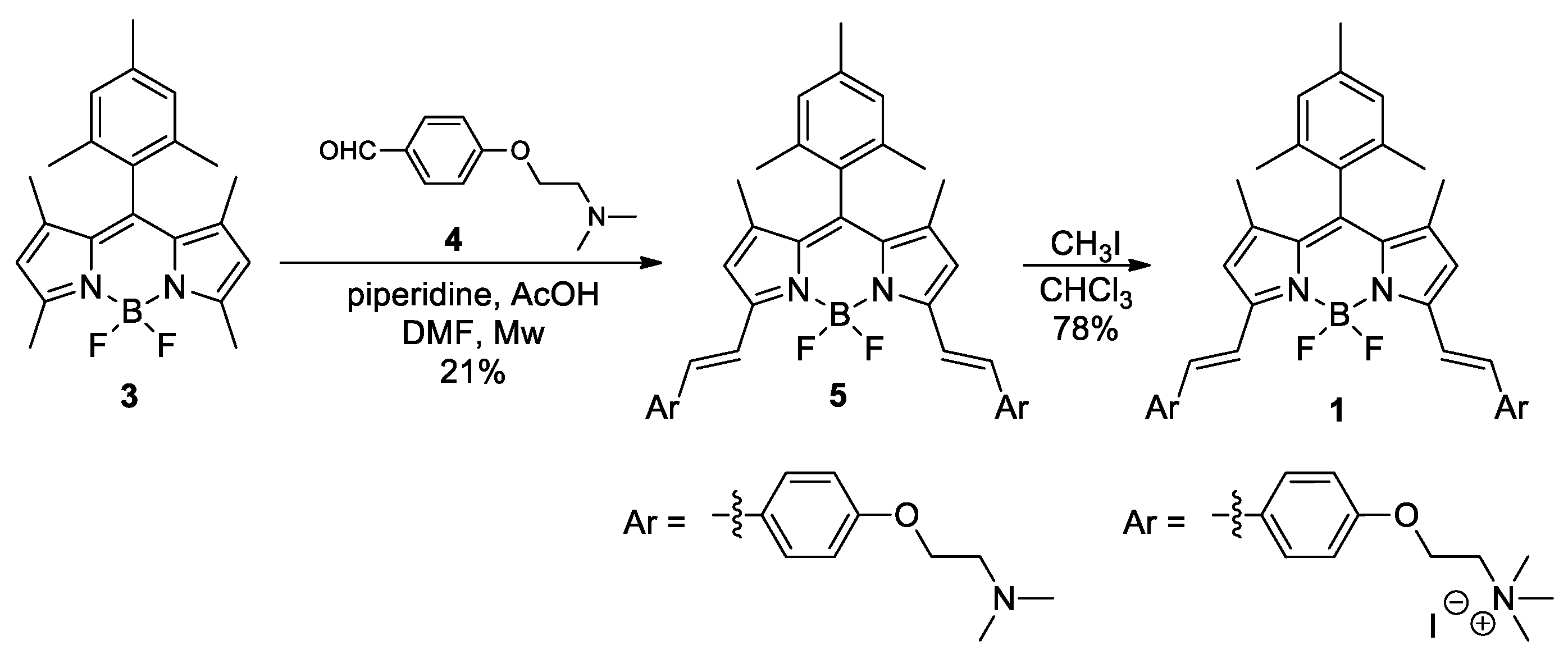
2.1.1. Synthesis of BODIPY 1
2.1.2. Synthesis of BODIPY 2
2.2. Photophysical Properties
2.3. Preliminary Biological Studies
2.3.1. Microscopy Studies
2.3.2. Photodynamic Therapy Studies
3. Conclusions
4. Materials and Methods
4.1. Synthetic Procedures
4.2. Photophysical Properties
4.3. Biological Studies
4.3.1. Fluorescence Microscopy
4.3.2. Cell Cultures
4.3.3. Localization Experiments
4.3.4. Photodynamic Therapy Protocols
Author Contributions
Funding
Institutional Review Board Statement
Informed Consent Statement
Data Availability Statement
Conflicts of Interest
References
- Boens, N.; Verbelen, B.; Ortiz, M.J.; Jiao, L.; Dehaen, W. Synthesis of BODIPY Dyes through Postfunctionalization of the Boron Dipyrromethene Core. Coord. Chem. Rev. 2019, 399, 213024. [Google Scholar] [CrossRef]
- Lu, H.; Mack, J.; Yang, Y.; Shen, Z. Structural Modification Strategies for the Rational Design of Red/NIR Region BODIPYs. Chem. Soc. Rev. 2014, 43, 4778–4823. [Google Scholar] [CrossRef] [PubMed] [Green Version]
- Ni, Y.; Wu, J. Far-Red and near Infrared BODIPY Dyes: Synthesis and Applications for Fluorescent pH Probes and Bio-Imaging. Org. Biomol. Chem. 2014, 12, 3774–3791. [Google Scholar] [CrossRef] [PubMed]
- Donnelly, J.L.; Offenbartl-Stiegert, D.; Marín-Beloqui, J.M.; Rizzello, L.; Battaglia, G.; Clarke, T.M.; Howorka, S.; Wilden, J.D. Exploring the Relationship between BODIPY Structure and Spectroscopic Properties to Design Fluorophores for Bioimaging. Chem. Eur. J. 2020, 26, 863–872. [Google Scholar] [CrossRef] [PubMed]
- Rurack, K.; Kollmannsberger, M.; Daub, J. Molecular Switching in the Near Infrared (NIR) with a Functionalized Boron–Dipyrromethene Dye. Angew. Chem. Int. Ed. 2001, 40, 385–387. [Google Scholar] [CrossRef]
- Peng, X.; Du, J.; Fan, J.; Wang, J.; Wu, Y.; Zhao, J.; Sun, S.; Xu, T. A Selective Fluorescent Sensor for Imaging Cd2+ in Living Cells. J. Am. Chem. Soc. 2007, 129, 1500–1501. [Google Scholar] [CrossRef] [PubMed]
- Kamkaew, A.; Lim, S.H.; Lee, H.B.; Kiew, L.V.; Chung, L.Y.; Burgess, K. BODIPY Dyes in Photodynamic Therapy. Chem. Soc. Rev. 2013, 42, 77–88. [Google Scholar] [CrossRef] [PubMed]
- Agostinis, P.; Berg, K.; Cengel, K.A.; Foster, T.H.; Girotti, A.W.; Gollnick, S.O.; Hahn, S.M.; Hamblin, M.R.; Juzeniene, A.; Kessel, D.; et al. Photodynamic Therapy of Cancer: An Update. CA Cancer J. Clin. 2011, 61, 250–281. [Google Scholar] [CrossRef] [PubMed]
- Kelkar, S.S.; Reineke, T.M. Theranostics: Combining Imaging and Therapy. Bioconjugate Chem. 2011, 22, 1879–1903. [Google Scholar] [CrossRef] [PubMed]
- Shetty, Y.; Prabhu1, P.; Prabhakar, B. Emerging vistas in theranostic medicine. Int. J. Pharm. 2019, 558, 29–42. [Google Scholar] [CrossRef] [PubMed]
- Jeyamogan, S.; Khan, N.A.; Siddiquic, R. Application and Importance of Theranostics in the Diagnosis and Treatment of Cancer. Arch. Med. Res. 2021, 52, 131–142. [Google Scholar] [CrossRef]
- Karaman, O.; Almammadov, T.; Emre Gedik, M.; Gunaydin, G.; Kolemen, S.; Gunbas, G. Mitochondria-Targeting Selenophene-Modified BODIPY-Based Photosensitizers for the Treatment of Hypoxic Cancer Cells. ChemMedChem 2019, 14, 1879–1886. [Google Scholar] [CrossRef]
- Ortiz, M.J.; Moya Cerero, S.d.l.; Agarrabeitia, A.R.; Prieto Castañeda, A.; García-Garrido, F.; Villanueva, A.; Tabero, A. Nuevos Compuestos de Esqueleto Boradiazaindacénico y su Uso Como Agentes Teragnósticos Basados en Acumulación en Gotas Lipídicas. Patent ES2719000, 18 May 2020. [Google Scholar]
- Tabero, A.; García-Garrido, F.; Prieto-Castañeda, A.; Palao, E.; Agarrabeitia, A.R.; García-Moreno, I.; Villanueva, A.; Moya, S.d.l.; Ortiz, M.J. BODIPYs Revealing Lipid Droplets as Valuable Targets for Photodynamic Theragnosis. Chem. Commun. 2020, 56, 940–943. [Google Scholar] [CrossRef]
- Ortiz, M.J.; Agarrabeitia, A.R.; de la Moya, S.; Mazuelo-Santos, T.; Prieto-Castañeda, A.; Villanueva, A.; Tabero, A. Nuevos Colorants BODIPY Para Teragnosis Fotodinámica Basados en Acumulación en Mitocondrias. Patent ES2800548, 2 July 2021. [Google Scholar]
- Fu, L.; Jiang, F.-L.; Fortin, D.; Harvey, P.D.; Liu, Y. A Reaction-Based Chromogenic and Fluorescent Chemodosimeter for Fluoride Anions. Chem. Commun. 2011, 47, 5503–5505. [Google Scholar] [CrossRef]
- Liew, K.-F.; Chan, K.-L.; Lee, C.-Y. Blood–Brain Barrier Permeable Anticholinesterase Aurones: Synthesis, Structure–Activity Relationship, and Drug-like Properties. Eur. J. Med. Chem. 2015, 94, 195–210. [Google Scholar] [CrossRef] [PubMed]
- Cui, A.; Peng, X.; Fan, J.; Chen, X.; Wu, Y.; Guo, B. Synthesis, Spectral Properties and Photostability of Novel Boron–Dipyrromethene Dyes. J. Photochem. Photobiol. A 2007, 186, 85–92. [Google Scholar] [CrossRef]
- Jiménez, J.; Díaz-Norambuena, C.; Serrano, S.; Ma, S.C.; Moreno, F.; Maroto, B.L.; Bañuelos, J.; Muller, G.; Moya, S.d.l. BINOLated Aminostyryl BODIPYs: A Workable Organic Molecular Platform for NIR Circularly Polarized Luminescence. Chem. Commun. 2021, 57, 5750–5753. [Google Scholar] [CrossRef] [PubMed]







| Compound | Solvent | λab (nm) | εmax (104 M–1·cm–1) | λfl (nm) | ΔυSt (cm–1) | φ |
|---|---|---|---|---|---|---|
| 1 | EtOH | 633.0 | 7.09 | 645.0 | 294 | 0.36 |
| 2 | EtOH | 619.0 | 7.3 | 628.0 | 232 | 0.86 |
| H2O | 615.0 | 4.5 | 626.5 | 298 | 0.57 |
Publisher’s Note: MDPI stays neutral with regard to jurisdictional claims in published maps and institutional affiliations. |
© 2021 by the authors. Licensee MDPI, Basel, Switzerland. This article is an open access article distributed under the terms and conditions of the Creative Commons Attribution (CC BY) license (https://creativecommons.org/licenses/by/4.0/).
Share and Cite
Mazuelo, T.; Serrano, S.; García-Garrido, F.; Jiménez, J.; Díaz-Norambuena, C.; Maroto, B.L.; Moreno, F.; Bañuelos, J.; Agarrabeitia, A.R.; Villanueva, Á.; et al. Exploring New Mitochondria-Targetable Theragnostic styrylBODIPYs. Chem. Proc. 2022, 8, 41. https://doi.org/10.3390/ecsoc-25-11677
Mazuelo T, Serrano S, García-Garrido F, Jiménez J, Díaz-Norambuena C, Maroto BL, Moreno F, Bañuelos J, Agarrabeitia AR, Villanueva Á, et al. Exploring New Mitochondria-Targetable Theragnostic styrylBODIPYs. Chemistry Proceedings. 2022; 8(1):41. https://doi.org/10.3390/ecsoc-25-11677
Chicago/Turabian StyleMazuelo, Tania, Sergio Serrano, Fernando García-Garrido, Josué Jiménez, Carolina Díaz-Norambuena, Beatriz L. Maroto, Florencio Moreno, Jorge Bañuelos, Antonia R. Agarrabeitia, Ángeles Villanueva, and et al. 2022. "Exploring New Mitochondria-Targetable Theragnostic styrylBODIPYs" Chemistry Proceedings 8, no. 1: 41. https://doi.org/10.3390/ecsoc-25-11677
APA StyleMazuelo, T., Serrano, S., García-Garrido, F., Jiménez, J., Díaz-Norambuena, C., Maroto, B. L., Moreno, F., Bañuelos, J., Agarrabeitia, A. R., Villanueva, Á., Moya, S. d. l., & Ortiz, M. J. (2022). Exploring New Mitochondria-Targetable Theragnostic styrylBODIPYs. Chemistry Proceedings, 8(1), 41. https://doi.org/10.3390/ecsoc-25-11677

