Synthesis and Biological Activity of 5-Substituted-2,4-dihydro-1,2,4-triazole-3-thiones and Their Derivatives
Abstract
1. Introduction
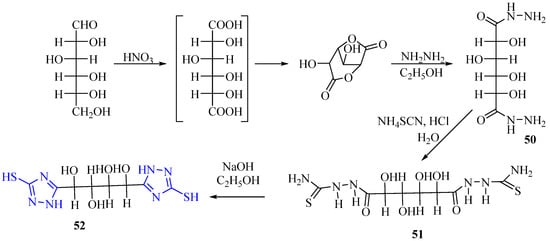
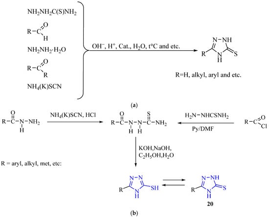
2. Synthesis of 5-Substituted-2,4-dihydro-1,2,4-triazole-3-thiones
3. Antibacterial and Antifungal Activity
4. Cytotoxic Activity
5. Anti-Inflammatory and Analgesic Activities
6. Pesticidal Activity
7. Other Types of Biological Activity
8. Conclusions
Author Contributions
Funding
Data Availability Statement
Conflicts of Interest
References
- Sharma, A.; Agrahari, A.K.; Rajkhowa, S.; Tiwari, V.K. Emerging Impact of Triazoles as Anti-Tubercular Agent. Eur. J. Med. Chem. 2022, 238, 114454. [Google Scholar] [CrossRef]
- Strzelecka, M.; Świątek, P. 1,2,4-Triazoles as Important Antibacterial Agents. Pharmaceuticals 2021, 14, 224. [Google Scholar] [CrossRef]
- Gao, F.; Wang, T.; Xiao, J.; Huang, G. Antibacterial Activity Study of 1,2,4-Triazole Derivatives. Eur. J. Med. Chem. 2019, 173, 274–281. [Google Scholar] [CrossRef]
- Abbas, S.; Zaib, S.; Ur Rahman, S.; Ali, S.; Hameed, S.; Tahir, M.N.; Munawar, K.S.; Shaheen, F.; Abbas, S.M.; Iqbal, J. Carbonic Anhydrase Inhibitory Potential of 1,2,4-Triazole-3-Thione Derivatives of Flurbiprofen, Ibuprofen and 4-Tert-Butylbenzoic Hydrazide: Design, Synthesis, Characterization, Biochemical Evaluation, Molecular Docking and Dynamic Simulation Studies. Med. Chem. 2019, 15, 298–310. [Google Scholar] [CrossRef]
- Sicak, Y. Design and Antiproliferative and Antioxidant Activities of Furan-Based Thiosemicarbazides and 1,2,4-Triazoles: Their Structure-Activity Relationship and SwissADME Predictions. Med. Chem. Res. 2021, 30, 1557–1568. [Google Scholar] [CrossRef]
- Zhang, Z.; Du, X.; Sheng, Q.; Shi, J.; Wang, J.; Chen, B. Method of Synthesizing 1,2,4-Triazole-3-Thione Compounds and Intermediates Thereof. U.S. Patent Application Pub. No: 2019/0127338 A1, 2 May 2019. [Google Scholar]
- Kaur, P.; Kaur, R.; Goswami, M. A Review on Methods of Synthesis of 1,2,4-Triazole Derivatives. Int. Res. J. Pharm. 2018, 9, 1–35. Available online: https://scispace.com/pdf/a-review-on-methods-of-synthesis-of-1-2-4-triazole-20parlw7sy.pdf (accessed on 31 August 2025). [CrossRef]
- Ziyaev, A.; Terenteva, E.; Okmanov, R.; Sasmakov, S.; Toshmurodov, T.; Khamidova, U.; Umarova, M.; Azimova, S. Synthesis and Evaluation of Cytotoxic and Antimicrobial Activity of Some 3-Aryl-6-Phenyl-7H-[1,2,4]Triazolo[3,4-b][1,3,4]Thiadiazines. Curr. Chem. Lett. 2024, 13, 549–556. [Google Scholar] [CrossRef]
- Sonawane, A.D.; Rode, N.D.; Nawale, L.; Joshi, R.R.; Joshi, R.A.; Likhite, A.P.; Sarkar, D. Synthesis and Biological Evaluation of 1,2,4-triazole-3-thione and 1,3,4-oxadiazole-2-thione as Antimycobacterial Agents. Chem. Biol. Drug Des. 2017, 90, 200–209. [Google Scholar] [CrossRef] [PubMed]
- Othman, A.A.; Kihel, M.; Amara, S. 1,3,4-Oxadiazole, 1,3,4-Thiadiazole and 1,2,4-Triazole Derivatives as Potential Antibacterial Agents. Arab. J. Chem. 2019, 12, 1660–1675. [Google Scholar] [CrossRef]
- Ghanaat, J.; Khalilzadeh, M.A.; Zareyee, D. Molecular Docking Studies, Biological Evaluation and Synthesis of Novel 3-Mercapto-1,2,4-Triazole Derivatives. Mol. Divers. 2021, 25, 223–232. [Google Scholar] [CrossRef]
- Ziyaev, A.; Sasmakov, S.; Okmanov, R.; Makhmudov, U.; Toshmurodov, T.; Ziyaeva, M.; Tosheva, N.; Azimova, S. Synthesis, Crystal Structure and Evaluation of the Cytotoxic, Antimicrobial Activity of Some S- and N-Derivatives of 5-Phenyl-1,2,4-Triazole-2,4-Dihydro-3-Thione. Chem. Data Collect. 2025, 56, 101182. [Google Scholar] [CrossRef]
- Emami, L.; Sadeghian, S.; Mojaddami, A.; Khabnadideh, S.; Sakhteman, A.; Sadeghpour, H.; Faghih, Z.; Fereidoonnezhad, M.; Rezaei, Z. Design, Synthesis and Evaluation of Novel 1,2,4-Triazole Derivatives as Promising Anticancer Agents. BMC Chem. 2022, 16, 91. [Google Scholar] [CrossRef]
- Glomb, T.; Minta, J.; Nowosadko, M.; Radzikowska, J.; Świątek, P. Search for New Compounds with Anti-Inflammatory Activity Among 1,2,4-Triazole Derivatives. Molecules 2024, 29, 6036. [Google Scholar] [CrossRef]
- El-Sebaey, S.A. Recent Advances in 1,2,4-Triazole Scaffolds as Antiviral Agents. ChemistrySelect 2020, 5, 11654–11680. [Google Scholar] [CrossRef]
- Elzoheiry, M.A.; Elmehankar, M.S.; Aboukamar, W.A.; El-Gamal, R.; Sheta, H.; Zenezan, D.; Nabih, N.; Elhenawy, A.A. Fluconazole as Schistosoma Mansoni Cytochrome P450 Inhibitor: In Vivo Murine Experimental Study. Exp. Parasitol. 2022, 239, 108291. [Google Scholar] [CrossRef] [PubMed]
- Gao, D.X.; Song, S.; Kahn, J.S.; Cohen, S.R.; Fiumara, K.; Dumont, N.; Rosmarin, D. Treatment of Patients Experiencing Dupilumab Facial Redness with Itraconazole and Fluconazole: A Single-Institutional, Retrospective Medical Record Review. J. Am. Acad. Dermatol. 2022, 86, 938–940. [Google Scholar] [CrossRef] [PubMed]
- Shettar, A.; Shankar, V.K.; Ajjarapu, S.; Kulkarni, V.I.; Repka, M.A.; Murthy, S.N. Development and Characterization of Novel Topical Oil/PEG Creams of Voriconazole for the Treatment of Fungal Infections. J. Drug Deliv. Sci. Technol. 2021, 66, 102928. [Google Scholar] [CrossRef]
- Navarro-Triviño, F.J. Leishmaniasis cutánea tratada con itraconazol oral. Piel 2021, 36, 563–565. [Google Scholar] [CrossRef]
- Abbas, A.A.; Dawood, K.M. Recent Developments in the Chemistry of 1H- and 4H-1,2,4-Triazoles. In Advances in Heterocyclic Chemistry; Elsevier: Amsterdam, The Netherlands, 2023; Volume 141, pp. 209–273. ISBN 978-0-443-19318-7. [Google Scholar]
- Burman, B.; Drutman, S.B.; Fury, M.G.; Wong, R.J.; Katabi, N.; Ho, A.L.; Pfister, D.G. Pharmacodynamic and Therapeutic Pilot Studies of Single-Agent Ribavirin in Patients with Human Papillomavirus–Related Malignancies. Oral Oncol. 2022, 128, 105806. [Google Scholar] [CrossRef]
- Tian, Y.; Yang, W.; Yang, R.; Zhang, Q.; Hao, L.; Bian, E.; Yang, Y.; Huang, X.; Wu, Y.; Zhang, B. Ribavirin Inhibits the Growth and Ascites Formation of Hepatocellular Carcinoma through Downregulation of Type I CARM1 and Type II PRMT5. Toxicol. Appl. Pharmacol. 2022, 435, 115829. [Google Scholar] [CrossRef]
- Park, H.G.; Kim, J.H.; Dancer, A.N.; Kothapalli, K.S.; Brenna, J.T. The Aromatase Inhibitor Letrozole Restores FADS2 Function in ER+ MCF7 Human Breast Cancer Cells. Prostaglandins Leukot. Essent. Fat. Acids 2021, 171, 102312. [Google Scholar] [CrossRef]
- Slomovitz, B.M.; Filiaci, V.L.; Walker, J.L.; Taub, M.C.; Finkelstein, K.A.; Moroney, J.W.; Fleury, A.C.; Muller, C.Y.; Holman, L.L.; Copeland, L.J.; et al. A Randomized Phase II Trial of Everolimus and Letrozole or Hormonal Therapy in Women with Advanced, Persistent or Recurrent Endometrial Carcinoma: A GOG Foundation Study. Gynecol. Oncol. 2022, 164, 481–491. [Google Scholar] [CrossRef]
- Küçükgüzel, Ş.G.; Çıkla-Süzgün, P. Recent Advances Bioactive 1,2,4-Triazole-3-Thiones. Eur. J. Med. Chem. 2015, 97, 830–870. [Google Scholar] [CrossRef]
- Takahashi, K.; Yamagishi, G.; Hiramatsu, T.; Hosoya, A.; Onoe, K.; Doi, H.; Nagata, H.; Wada, Y.; Onoe, H.; Watanabe, Y.; et al. Practical Synthesis of Precursor of [N-Methyl-11C]Vorozole, an Efficient PET Tracer Targeting Aromatase in the Brain. Bioorganic Med. Chem. 2011, 19, 1464–1470. [Google Scholar] [CrossRef]
- Chokshi, A.; Vaishya, R.; Inavolu, R.; Potta, T. Intranasal Spray Formulation Containing Rizatriptan Benzoate for the Treatment of Migraine. Int. J. Pharm. 2019, 571, 118702. [Google Scholar] [CrossRef]
- Kastanayan, A.A.; Kartashova, E.A.; Zheleznyak, E.I. The Effect of Thiotriazoline on Energy Production in Conditions of Chronic Myocardial Ischemia. South Russ. J. Ther. Pract. 2020, 1, 84–90. [Google Scholar] [CrossRef]
- Jeschke, P. Progress of Modern Agricultural Chemistry and Future Prospects: Progress of Modern Agricultural Chemistry and Future Prospects. Pest. Manag. Sci. 2016, 72, 433–455. [Google Scholar] [CrossRef] [PubMed]
- Sarkar, D.; Deshpande, S.R.; Maybhate, S.P.; Likhite, A.P.; Sarkar, S.; Khan, A.; Chaudhry, P.M.; Chavan, S.R. 1,2,4-Triazole Derivatives and Their Antimycobacterial Activity. World Intellectual Property Organization (WIPO) Patent WO2011111077A1, 15 September 2011. [Google Scholar]
- Sadeghian, S.; Emami, L.; Mojaddami, A.; Khabnadideh, S.; Faghih, Z.; Zomorodian, K.; Rashidi, M.; Rezaei, Z. 1,2,4-Triazole Derivatives as Novel and Potent Antifungal Agents: Design, Synthesis and Biological Evaluation. J. Mol. Struct. 2023, 1271, 134039. [Google Scholar] [CrossRef]
- Gupta, O.; Pradhan, T.; Chawla, G. An Updated Review on Diverse Range of Biological Activities of 1,2,4-Triazole Derivatives: Insight into Structure Activity Relationship. J. Mol. Struct. 2023, 1274, 134487. [Google Scholar] [CrossRef]
- Wen, X.; Zhou, Y.; Zeng, J.; Liu, X. Recent Development of 1,2,4-Triazole-Containing Compounds as Anticancer Agents. Curr. Top. Med. Chem. 2020, 20, 1441–1460. [Google Scholar] [CrossRef]
- Vagish, C.B.; Sudeep, P.; Jayadevappa, H.P.; Ajay Kumar, K. 1,2,4-Triazoles: Synthetic and Medicinal Perspectives. Int. J. Curr. Res. 2020, 12, 12950–12960. [Google Scholar]
- Mostafa, M.S.; Radini, I.A.M.; El-Rahman, N.M.A.; Khidre, R.E. Synthetic Methods and Pharmacological Potentials of Triazolothiadiazines: A Review. Molecules 2024, 29, 1326. [Google Scholar] [CrossRef] [PubMed]
- Khramchikhin, A.V.; Skryl’nikova, M.A.; Esaulkova, I.L.; Sinegubova, E.O.; Zarubaev, V.V.; Gureev, M.A.; Puzyk, A.M.; Ostrovskii, V.A. Novel [1,2,4]Triazolo[3,4-b][1,3,4]Thiadiazine and [1,2,4]Triazolo[3,4-b][1,3,4]Thiadiazepine Derivatives: Synthesis, Anti-Viral In Vitro Study and Target Validation Activity. Molecules 2022, 27, 7940. [Google Scholar] [CrossRef] [PubMed]
- Bersani, M.; Failla, M.; Vascon, F.; Gianquinto, E.; Bertarini, L.; Baroni, M.; Cruciani, G.; Verdirosa, F.; Sannio, F.; Docquier, J.-D.; et al. Structure-Based Optimization of 1,2,4-Triazole-3-Thione Derivatives: Improving Inhibition of NDM-/VIM-Type Metallo-β-Lactamases and Synergistic Activity on Resistant Bacteria. Pharmaceuticals 2023, 16, 1682. [Google Scholar] [CrossRef] [PubMed]
- Elwahy, A.H.M.; Ginidi, A.R.S.; Shaaban, M.R.; Mohamed, A.H.; Gaber, H.M.; Ibrahim, L.I.; Farag, A.M.; Salem, M.E. Novel Bis([Triazolo[3,4-b]Thiadiazoles and Bis([Triazolo[3,4-b][Thiadiazines) with Antioxidant Activity. Arkivoc 2024, vii, 202412181. [Google Scholar] [CrossRef]
- Abdelli, A.; Azzouni, S.; Plais, R.; Gaucher, A.; Efrit, M.L.; Prim, D. Recent Advances in the Chemistry of 1,2,4-Triazoles: Synthesis, Reactivity and Biological Activities. Tetrahedron Lett. 2021, 86, 153518. [Google Scholar] [CrossRef]
- Kumar, S.; Khokra, S.L.; Yadav, A. Triazole Analogues as Potential Pharmacological Agents: A Brief Review. Future J. Pharm. Sci. 2021, 7, 106. [Google Scholar] [CrossRef]
- Legru, A.; Verdirosa, F.; Vo-Hoang, Y.; Tassone, G.; Vascon, F.; Thomas, C.A.; Sannio, F.; Corsica, G.; Benvenuti, M.; Feller, G.; et al. Optimization of 1,2,4-Triazole-3-Thiones toward Broad-Spectrum Metallo-β-Lactamase Inhibitors Showing Potent Synergistic Activity on VIM- and NDM-1-Producing Clinical Isolates. J. Med. Chem. 2022, 65, 16392–16419. [Google Scholar] [CrossRef]
- Jat, L.R.; Sharma, V.; Agarwal, R. A Review on Synthesis and Biological Activity of 1,2,4-Triazole Derivatives. Int. J. Pharm. Sci. Rev. Res. 2023, 79, 92–100. [Google Scholar] [CrossRef]
- Raman, A.P.S.; Aslam, M.; Awasthi, A.; Ansari, A.; Jain, P.; Lal, K.; Bahadur, I.; Singh, P.; Kumari, K. An Updated Review on 1,2,3-/1,2,4-Triazoles: Synthesis and Diverse Range of Biological Potential. Mol. Divers. 2025, 29, 899–964. [Google Scholar] [CrossRef]
- Raafat, C.; Ali, T.; Abuo-Rahma, G. Recent Advances in Pharmacologically Important 1,2,4-Triazoles as Promising Antifungal Agents against Candida Albicans. Octahedron Drug Res. 2023, 4, 11–33. [Google Scholar] [CrossRef]
- Shaker, R.M. The Chemistry of Mercapto- and Thione-Substituted 1,2,4-Triazoles and Their Utility in Heterocyclic Synthesis. ChemInform 2007, 38, chin.200721253. [Google Scholar] [CrossRef]
- Korol, N.I.; Slivka, M.V. Recent Progress in the Synthesis of Thiazolo[3,2-b][1,2,4]Triazoles (Microreview). Chem. Heterocycl. Comp. 2017, 53, 852–854. [Google Scholar] [CrossRef]
- Aly, A.A.; Hassan, A.A.; Makhlouf, M.M.; Bräse, S. Chemistry and Biological Activities of 1,2,4-Triazolethiones—Antiviral and Anti-Infective Drugs. Molecules 2020, 25, 3036. [Google Scholar] [CrossRef]
- Dai, J.; Tian, S.; Yang, X.; Liu, Z. Synthesis Methods of 1,2,3-/1,2,4-Triazoles: A Review. Front. Chem. 2022, 10, 891484. [Google Scholar] [CrossRef] [PubMed]
- Shi, Y.-J.; Song, X.-J.; Li, X.; Ye, T.-H.; Xiong, Y.; Yu, L.-T. Synthesis and Biological Evaluation of 1,2,4-Triazole and 1,3,4-Thiadiazole Derivatives as Potential Cytotoxic Agents. Chem. Pharm. Bull. 2013, 61, 1099–1104. [Google Scholar] [CrossRef] [PubMed]
- Hoggarth, E. 251. Compounds Related to Thiosemicarbazide. Part II. 1-Benzoylthiosemicarbazides. J. Chem. Soc. 1949, 1163–1167. [Google Scholar] [CrossRef]
- Mane, M.M.; Pore, D.M. A Novel One Pot Multi-Component Strategy for Facile Synthesis of 5-Aryl-[1,2,4]Triazolidine-3-Thiones. Tetrahedron Lett. 2014, 55, 6601–6604. [Google Scholar] [CrossRef]
- Ramesh, R.; Lalitha, A. PEG-Assisted Two-Component Approach for the Facile Synthesis of 5-Aryl-1,2,4-Triazolidine-3-Thiones under Catalyst-Free Conditions. RSC Adv. 2015, 5, 51188–51192. [Google Scholar] [CrossRef]
- Ramesh, R.; Lalitha, A. Facile and Green Chemistry Access to 5-aryl-1,2,4-Triazolidine-3-thiones in Aqueous Medium. ChemistrySelect 2016, 1, 2085–2089. [Google Scholar] [CrossRef]
- Pore, D.M.; Hegade, P.G.; Mane, M.M.; Patil, J.D. The Unprecedented Synthesis of Novel Spiro-1,2,4-Triazolidinones. RSC Adv. 2013, 3, 25723. [Google Scholar] [CrossRef]
- Patil, J.D.; Pore, D.M. [C16MPy]AlCl3Br: An Efficient Novel Ionic Liquid for Synthesis of Novel 1,2,4-Triazolidine-3-Thiones in Water. RSC Adv. 2014, 4, 14314. [Google Scholar] [CrossRef]
- Masram, L.B.; Salim, S.S.; Barkule, A.B.; Gadkari, Y.U.; Telvekar, V.N. An Efficient and Expeditious Synthesis of 1,2,4-Triazolidine-3-Thiones Using Meglumine as a Reusable Catalyst in Water. J. Chem. Sci. 2022, 134, 94. [Google Scholar] [CrossRef]
- Rezaei, I.; Nobarzad, R.S.; Shahri, F.; Nazeriyeh, I. A Novel, Effective, Green and Recyclable α-Fe2O3@MoS2@Ni Magnetic Nanocatalyst in Preparation of a Series of 1,2,4-Triazolidine-3-Thiones and Spiro-Triazole Hybrids. Curr. Chem. Lett. 2024, 13, 725–736. [Google Scholar] [CrossRef]
- Godhani, D.R.; Jogel, A.A.; Sanghani, A.M.; Mehta, J.P. ChemInform Abstract: Synthesis and Biological Screening of 1,2,4-Triazole Derivatives. ChemInform 2015, 46, chin.201545146. [Google Scholar] [CrossRef]
- Dayama, D.S.; Khatale, P.N.; Khedkar, S.A.; Nazarkar, S.R.; Vedpathak, P.A. Synthesis and Biological Evaluation of Some Novel 1,2,4-Triazole Derivatives. Der Pharma Chem. 2014, 6, 123–127. [Google Scholar]
- Seelam, N.; Shrivastava, S.P.; Gupta, S. Synthesis and in Vitro Study of Some Fused 1,2,4-Triazole Derivatives as Antimycobacterial Agents. J. Saudi Chem. Soc. 2016, 20, 411–418. [Google Scholar] [CrossRef]
- Agrawal, R.; Pancholi, S.S. Synthesis, Characterization and Evaluation of Antimicrobial Activity of a Series of 1,2,4-Triazoles. Der Pharma Chem. 2011, 3, 32–40. [Google Scholar]
- Belkadi, M.; Othman, A.A. Regioselective Glycosylation: Synthesis, Characterization and Biological Evaluation of New Acyclo C-Nucleosides Bearing 5-(Substituted)-1,3,4-Oxadiazole-2-Thione, 5-(Substituted)-4-Amino-1,2,4-Triazole-3-Thiol and 5-(Substituted)-1,2,4-Triazole-3-Thiones Moieties. Trends Appl. Sci. Res. 2011, 6, 19–33. [Google Scholar]
- Datoussaid, Y.; Othman, A.A.; Kirsch, G. Synthesis and Antibacterial Activity of Some 5,5′-(1,4-Phenylene)-bis-1,3,4-Oxadiazole and bis-1,2,4-Triazole Derivatives as Precursors of New S-Nucleosides. South Afr. J. Chem. 2012, 65, 30–35. [Google Scholar]
- Andrews, B.; Ahmed, M. Synthesis and Characterization of Pyrimidine Bearing 1,2,4-Triazole Derivatives and Their Potential Antibacterial Action. Der Pharma Chem. 2014, 6, 162–169. [Google Scholar]
- Andrews, B.; Ahmed, M. Synthesis and Characterization of Pyrimidine Bearing 1,2,4-Triazole Derivatives and Their Potential Antifungal Action. Int. J. ChemTech Res. 2014, 6, 1013–1021. [Google Scholar]
- El-Feky, S.M.; Abou-Zeid, L.A.; Massoud, M.A.; George, S.K.; Eisa, H.M. Computational Design, Molecular Modeling and Synthesis of New 1,2,4-Triazole Analogs with Potential Antifungal Activities. SMU Med. J. 2014, 1, 224–242. [Google Scholar]
- Mali, R.K.; Somani, R.R.; Toraskar, M.P.; Mali, K.K.; Naik, P.P.; Shirodkar, P.Y. Synthesis of Some Antifungal and Anti-Tubercular 1,2,4-Triazole Analogues. Int. J. ChemTech Res. 2009, 1, 168–173. [Google Scholar]
- El Ashry, E.S.H.; El Tamany, E.S.H.; El Fattah, M.E.D.A.; Boraei, A.T.A.; Abd El-Nabi, H.M. Regioselective Synthesis, Characterization and Antimicrobial Evaluation of S-Glycosides and S,N-Diglycosides of 1,2-Dihydro-5-(1H-Indol-2-Yl)-1,2,4-Triazole-3-Thione. Eur. J. Med. Chem. 2013, 66, 106–113. [Google Scholar] [CrossRef]
- Amara, S.; Othman, A.A. A Convenient New Synthesis, Characterization and Antibacterial Activity of Double Headed Acyclo-C-Nucleosides from Unprotected d-Glucose. Arab. J. Chem. 2016, 9, S1840–S1846. [Google Scholar] [CrossRef]
- Ledeţi, I.; Bercean, V.; Alexa, A.; Şoica, C.; Şuta, L.-M.; Dehelean, C.; Trandafirescu, C.; Muntean, D.; Licker, M.; Fuliaş, A. Preparation and Antibacterial Properties of Substituted 1,2,4-Triazoles. J. Chem. 2015, 2015, 879343. [Google Scholar] [CrossRef]
- Manikrao, A.M.; Fursule, R.A.; Sable, P.M.; Kunjwani, H.K. Accelerated Synthesis of 3-(N-Substituted Carboxamidomethylthio)-4(H)-1,2,4-Triazoles Under Microwave Irradiation. Int. J. ChemTech Res. 2009, 1, 1268–1272. [Google Scholar]
- Farhan, M.; Assy, M. Heterocyclization of Isoniazid: Synthesis and Antimicrobial Activity of Some New Pyrimidine 1, 3-Thiazole, 1, 2, 4-Thiadiazole, and 1, 2, 4-Triazole, Derivatives Derived from Isoniazid. Egypt. J. Chem. 2019, 62, 171–180. [Google Scholar] [CrossRef]
- Barbuceanu, S.-F.; Draghici, C.; Barbuceanu, F.; Bancescu, G.; Saramet, G. Design, Synthesis, Characterization and Antimicrobial Evaluation of Some Heterocyclic Condensed Systems with Bridgehead Nitrogen from Thiazolotriazole Class. Chem. Pharm. Bull. 2015, 63, 694–700. [Google Scholar] [CrossRef][Green Version]
- Tratrat, C.; Haroun, M.; Paparisva, A.; Geronikaki, A.; Kamoutsis, C.; Ćirić, A.; Glamočlija, J.; Soković, M.; Fotakis, C.; Zoumpoulakis, P.; et al. Design, Synthesis and Biological Evaluation of New Substituted 5-Benzylideno-2-Adamantylthiazol[3,2-b][1,2,4]Triazol-6(5 H)Ones. Pharmacophore Models for Antifungal Activity. Arab. J. Chem. 2018, 11, 573–590. [Google Scholar] [CrossRef]
- Venkatachalam, T.; Sasi, P.; Senthilkumar, N.; Muthukrishnan, M.; Asrar Ahamed, A.; Premkumar, R. Design, Synthesis, and In-Vitro Anti-Tuberculosis Activity of 2-Substituted-1,5-Diphenyl-1,2-Dihydro-3H-1,2,4-Triazole-3-Thione Derivatives. J. Phys.: Conf. Ser. 2024, 2801, 012016. [Google Scholar] [CrossRef]
- Hozien, Z.A.; EL-Mahdy, A.F.M.; Abo Markeb, A.; Ali, L.S.A.; El-Sherief, H.A.H. Synthesis of Schiff and Mannich Bases of New s-Triazole Derivatives and Their Potential Applications for Removal of Heavy Metals from Aqueous Solution and as Antimicrobial Agents. RSC Adv. 2020, 10, 20184–20194. [Google Scholar] [CrossRef]
- Cui, J.; Jin, J.; Chaudhary, A.S.; Hsieh, Y.; Zhang, H.; Dai, C.; Damera, K.; Chen, W.; Tai, P.C.; Wang, B. Design, Synthesis and Evaluation of Triazole-Pyrimidine Analogues as SecA Inhibitors. ChemMedChem 2016, 11, 43–56. [Google Scholar] [CrossRef] [PubMed]
- Holota, S.; Derkach, H.; Antoniv, O.; Slyvka, N.; Kutsyk, R.; Gzella, A.; Lesyk, R. Study of 1,2,4-triazole-3(5)-thiol Behavior in Reactions with 1-phenyl-1H-pyrrole-2,5-dione Derivatives and 3-bromodihydrofuran-2(3H)-one and Antimicrobial Activity of Products. Chem. Proc. 2021, 3, 68. [Google Scholar] [CrossRef]
- Mioc, M.; Avram, S.; Tomescu, A.B.; Chiriac, D.V.; Heghes, A.; Voicu, M.; Voicu, A.; Citu, C.; Kurunczi, L. Docking Study of 3-Mercapto-1,2,4-Triazole Derivatives as Inhibitors for VEGFR and EGFR. Rev. Chim. 2017, 68, 500–503. [Google Scholar] [CrossRef]
- Mioc, M.; Avram, S.; Bercean, V.; Balan Porcarasu, M.; Soica, C.; Susan, R.; Kurunczi, L. Synthesis, Characterization and Antiproliferative Activity Assessment of a Novel 1H-5-Mercapto-1,2,4 Triazole Derivative. Rev. Chim. 2017, 68, 745–747. [Google Scholar] [CrossRef]
- Mioc, M.; Soica, C.; Bercean, V.; Avram, S.; Balan-Porcarasu, M.; Coricovac, D.; Ghiulai, R.; Muntean, D.; Andrica, F.; Dehelean, C.; et al. Design, Synthesis and Pharmaco-Toxicological Assessment of 5-Mercapto-1,2,4-Triazole Derivatives with Antibacterial and Antiproliferative Activity. Int. J. Oncol. 2017, 50, 1175–1183. [Google Scholar] [CrossRef]
- Mioc, M.; Avram, S.; Bercean, V.; Kurunczi, L.; Ghiulai, R.M.; Oprean, C.; Coricovac, D.E.; Dehelean, C.; Mioc, A.; Balan-Porcarasu, M.; et al. Design, Synthesis and Biological Activity Evaluation of S-Substituted 1H-5-Mercapto-1,2,4-Triazole Derivatives as Antiproliferative Agents in Colorectal Cancer. Front. Chem. 2018, 6, 373. [Google Scholar] [CrossRef] [PubMed]
- Aliabadi, A.; Mohammadi-Frarni, A.; Azizi, M.; Ahmadi, F. Design, Synthesis and Cytotoxicity Evaluation of N-(5-Benzylthio)-4H-1,2,4-Triazol-3-YL)-4-Fluorobenzamide Derivatives as Potential Anticancer Agents. Pharm. Chem. J. 2016, 49, 694–699. [Google Scholar] [CrossRef]
- Pachuta-Stec, A.; Rzymowska, J.; Mazur, L.; Mendyk, E.; Pitucha, M.; Rzączyńska, Z. Synthesis, Structure Elucidation and Antitumour Activity of N-Substituted Amides of 3-(3-Ethylthio-1,2,4-Triazol-5-Yl)Propenoic Acid. Eur. J. Med. Chem. 2009, 44, 3788–3793. [Google Scholar] [CrossRef] [PubMed]
- Murty, M.S.R.; Ram, K.R.; Rao, B.R.; Rao, R.V.; Katiki, M.R.; Rao, J.V.; Pamanji, R.; Velatooru, L.R. Synthesis, Characterization, and Anticancer Studies of S and N Alkyl Piperazine-Substituted Positional Isomers of 1,2,4-Triazole Derivatives. Med. Chem. Res. 2014, 23, 1661–1671. [Google Scholar] [CrossRef]
- Zhu, X.-P.; Lin, G.-S.; Duan, W.-G.; Li, Q.-M.; Li, F.-Y.; Lu, S.-Z. Synthesis and Antiproliferative Evaluation of Novel Longifolene-Derived Tetralone Derivatives Bearing 1,2,4-Triazole Moiety. Molecules 2020, 25, 986. [Google Scholar] [CrossRef]
- Shahzad, S.A.; Yar, M.; Khan, Z.A.; Shahzadi, L.; Naqvi, S.A.R.; Mahmood, A.; Ullah, S.; Shaikh, A.J.; Sherazi, T.A.; Bale, A.T.; et al. Identification of 1,2,4-Triazoles as New Thymidine Phosphorylase Inhibitors: Future Anti-Tumor Drugs. Bioorganic Chem. 2019, 85, 209–220. [Google Scholar] [CrossRef]
- Mruthyunjaya, J.H.; Gopalakrishna, B. Synthesis and Antitumor Activity of New 2-(Pyridin-4-yl)thiazolo[3,2-b][1,2,4]triazol-6(5H)-one Derivatives. UJPBS 2013, 1, 46–51. [Google Scholar]
- El-Sherief, H.A.M.; Youssif, B.G.M.; Abbas Bukhari, S.N.; Abdelazeem, A.H.; Abdel-Aziz, M.; Abdel-Rahman, H.M. Synthesis, Anticancer Activity and Molecular Modeling Studies of 1,2,4-Triazole Derivatives as EGFR Inhibitors. Eur. J. Med. Chem. 2018, 156, 774–789. [Google Scholar] [CrossRef] [PubMed]
- Aouad, M.R.; Al-Mohammadi, H.M.; Al-blewi, F.F.; Ihmaid, S.; Elbadawy, H.M.; Althagfan, S.S.; Rezki, N. Introducing of Acyclonucleoside Analogues Tethered 1,2,4-Triazole as Anticancer Agents with Dual Epidermal Growth Factor Receptor Kinase and Microtubule Inhibitors. Bioorganic Chem. 2020, 94, 103446. [Google Scholar] [CrossRef]
- Holota, S.; Komykhov, S.; Sysak, S.; Gzella, A.; Cherkas, A.; Lesyk, R. Synthesis, Characterization and In Vitro Evaluation of Novel 5-Ene-Thiazolo[3,2-b][1,2,4]Triazole-6(5H)-Ones as Possible Anticancer Agents. Molecules 2021, 26, 1162. [Google Scholar] [CrossRef]
- Zhou, W.; Xu, C.; Dong, G.; Qiao, H.; Yang, J.; Liu, H.; Ding, L.; Sun, K.; Zhao, W. Development of Phenyltriazole Thiol-Based Derivatives as Highly Potent Inhibitors of DCN1-UBC12 Interaction. Eur. J. Med. Chem. 2021, 217, 113326. [Google Scholar] [CrossRef]
- El-Wahab, H.A.A.A.; Ali, A.M.; Abdel-Rahman, H.M.; Qayed, W.S. Synthesis, Biological Evaluation, and Molecular Modeling Studies of Acetophenones-tethered 1,2,4-triazoles and Their Oximes as Epidermal Growth Factor Receptor Inhibitors. Chem. Biol. Drug Des. 2022, 100, 981–993. [Google Scholar] [CrossRef]
- Boraei, A.T.A.; Gomaa, M.S.; El Ashry, E.S.H.; Duerkop, A. Design, Selective Alkylation and X-Ray Crystal Structure Determination of Dihydro-Indolyl-1,2,4-Triazole-3-Thione and Its 3-Benzylsulfanyl Analogue as Potent Anticancer Agents. Eur. J. Med. Chem. 2017, 125, 360–371. [Google Scholar] [CrossRef]
- Manikrao, A.M.; Fursule, R.A.; Rajesh, K.S.; Kunjwani, H.K.; Sabale, P.M. Synthesis and Biological Screening of Novel Derivatives of 3-(N-Substituted Carboxamidoethylthio)-(4H)-1,2,4-triazoles. Indian J. Chem. B 2010, 49, 1642–1647. [Google Scholar] [CrossRef]
- Manikrao, A.M.; Chaple, D.R.; Khatale, P.N.; Sable, P.M.; Jawarkar, R.D. Impact of Tautomery of 3-(4H-1,2,4-Triazol-3-Ylthio)-N-Phenylpropanamide on the COX-1 Inhibitory Mechanism. J. Enzym. Inhib. Med. Chem. 2013, 28, 523–529. [Google Scholar] [CrossRef]
- Uzgören-Baran, A.; Tel, B.C.; Sarıgöl, D.; Öztürk, E.İ.; Kazkayası, İ.; Okay, G.; Ertan, M.; Tozkoparan, B. Thiazolo[3,2-b]-1,2,4-Triazole-5(6H)-One Substituted with Ibuprofen: Novel Non-Steroidal Anti-Inflammatory Agents with Favorable Gastrointestinal Tolerance. Eur. J. Med. Chem. 2012, 57, 398–406. [Google Scholar] [CrossRef]
- Cetin, A.; Gecibesler, I. Evaluation as Antioxidant Agents of 1,2,4-Triazole Derivatives: Effects of Essential Functional Groups. J. App Pharm. Sci. 2015, 5, 120–126. [Google Scholar] [CrossRef]
- Tozkoparan, B.; Küpeli, E.; Yeşilada, E.; Ertan, M. Preparation of 5-Aryl-3-Alkylthio-l,2,4-Triazoles and Corresponding Sulfones with Antiinflammatory–Analgesic Activity. Bioorganic Med. Chem. 2007, 15, 1808–1814. [Google Scholar] [CrossRef]
- Muneer, C.P.; Begum, T.S.; Shafi, P.M. Synthesis, Characterization and Antioxidant Study of a Few 3-Substituted 1,2,4-Triazole-5-thiones and Their Derivatives. Int. J. Chem. Sci. 2014, 12, 129–135. [Google Scholar]
- Shiradkar, M.R.; Ghodake, M.; Bothara, K.G.; Bhandari, S.V.; Nikalje, A.; Akula, K.C.; Desai, N.C.; Burange, P.J. Synthesis and Anticonvulsant Activity of Clubbed Thiazolidinone–Barbituric Acid and Thiazolidinone-Triazole Derivatives. ARKIVOC 2007, 14, 58–74. [Google Scholar] [CrossRef]
- Makovik, Y.V. Synthesis, Physical-Chemical and Biological Properties of S-Derivatives 5-(3-Pyridyl)- and 5-(3-Pyridyl)-4-Phenyl-1,2,4-Triazol-3-Thione [Dissertation]; National Medical Academy of Postgraduate Education named after P.L. Shupik: Kyiv, Ukraine, 2008. [Google Scholar]
- Naseer, M.A.; Husain, A. Studies on Chromene Based 2, 6-Disubstituted-Thiazolo [3,2-B] [1,2,4] Triazole Derivatives: Synthesis and Biological Evaluation. J. Drug Deliv. Ther. 2019, 9, 236–242. [Google Scholar] [CrossRef]
- Krutov, I.A.; Gavrilova, E.L.; Burangulova, R.N.; Kornilov, S.S.; Valieva, A.A.; Samigullina, A.I.; Gubaidullin, A.T.; Sinyashin, O.G.; Semina, I.I.; Nikitin, D.O.; et al. Modification of Diphenylphosphorylacetic Hydrazide with Thiosemicarbazide and Triazole Units. Russ. J. Gen. Chem. 2017, 87, 2794–2800. [Google Scholar] [CrossRef]
- Navidpour, L.; Shabani, S.; Heidari, A.; Bashiri, M.; Ebrahim-Habibi, A.; Shahhosseini, S.; Shafaroodi, H.; Abbas Tabatabai, S.; Toolabi, M. 5-[Aryloxypyridyl (or Nitrophenyl)]-4H-1,2,4-Triazoles as Novel Flexible Benzodiazepine Analogues: Synthesis, Receptor Binding Affinity and Lipophilicity-Dependent Anti-Seizure Onset of Action. Bioorganic Chem. 2021, 106, 104504. [Google Scholar] [CrossRef] [PubMed]
- Sert-Ozgur, S.; Tel, B.C.; Somuncuoglu, E.I.; Kazkayasi, I.; Ertan, M.; Tozkoparan, B. Design and Synthesis of 1,2,4-Triazolo[3,2-b]-1,3,5-thiadiazine Derivatives as a Novel Template for Analgesic/Anti-Inflammatory Activity. Arch. Der Pharm. 2017, 350, e1700052. [Google Scholar] [CrossRef]
- Toma, A.; Mogoşan, C.; Vlase, L.; Leonte, D.; Zaharia, V. Heterocycles 39. Synthesis, Characterization and Evaluation of the Anti-Inflammatory Activity of Thiazolo[3,2-b][1,2,4]Triazole Derivatives Bearing Pyridin-3/4-Yl Moiety. Med. Chem. Res. 2017, 26, 2602–2613. [Google Scholar] [CrossRef]
- Cristina, A. HETEROCYCLES 46. SYNTHESIS, CHARACTERIZATION AND BIOLOGICAL EVALUATION OF THIAZOLO[3,2-b][1,2,4]TRIAZOLES BEARING BENZENESULFONAMIDE MOIETY. FARMACIA 2018, 66, 883–893. [Google Scholar] [CrossRef]
- Mauler-Machnik, A.; Rosslenbroich, H.J.; Dutzmann, S.; Applegate, J.; Jautelat, M. JAU 6476—A New Dimension DMI Fungicide. In Proceedings of the Brighton Crop Protection Conference—Pests and Diseases, Brighton, UK, 19–22 November 1990; BCPC: Farnham, Surrey, UK, 2002; pp. 389–394. [Google Scholar]
- Häuser-Hahn, I.; Baur, P.; Schmitt, W. Prothioconazole—A New Dimension DMI. Biochemistry, Mode of Action, Systemic Effects. Pflanzenschutz-Nachrichten Bayer. 2004, 57, 237–248. [Google Scholar]
- Dutzmann, S.; Suty-Heinze, A. Prothioconazole: A Broad Spectrum Demethylation-Inhibitor (DMI) for Arable Crops. Pflanzenschutz-Nachrichten Bayer. 2004, 57, 249–264. [Google Scholar]
- Davies, P.; Muncey, M. Prothioconazole for control of Sclerotinia sclerotiorum in oilseed rape/canola. Pflanzenschutz-Nachrichten Bayer. 2004, 57, 283–293. [Google Scholar]
- Kuck, K.H.; Mehl, A. Prothioconazole: Sensitivity profile and anti-resistance strategy. Pflanzenschutz-Nachrichten Bayer. 2004, 57, 225–236. [Google Scholar]
- Yano, T.; Yoshii, T.; Ueda, T.; Hori, M.; Hirai, K. Synthesis and Herbicidal Activity of New 2-(1-Carbamoyl-1,2,4-triazol-3-ylsulfonyl)alkanoates. J. Pestic. Sci. 2002, 27, 97–105. [Google Scholar] [CrossRef][Green Version]
- Knyazyan, A.M. Synthesis of 5-(2-Thioxo-3H-thiazol-5-yl)-[1,2,4]triazole-3-thione Derivatives Exhibiting Fungicidal and Growth-Stimulating Activity. Khimičeskij žurnal Armen. 2012, 65, 94–104. [Google Scholar]
- Chai, B.; Qian, X.; Cao, S.; Liu, H.; Song, G. Synthesis and Insecticidal Activity of 1,2,4-Triazole Derivatives. ARKIVOC 2003, ii, 141–145. [Google Scholar] [CrossRef]
- Othman, M.S.; Naz, H.; Rahim, F.; Ullah, H.; Hussain, R.; Taha, M.; Khan, S.; Fareid, M.A.; Aboelnaga, S.M.; Altaleb, A.T.; et al. New Cholinesterase Inhibitors Based on 1,2,4-Triazole Bearing Benzenesulfonohydrazide Skeleton: Synthesis, in Vitro and in Silico Studies. Results Chem. 2024, 10, 101717. [Google Scholar] [CrossRef]
- Mahajan, P.G.; Dige, N.C.; Vanjare, B.D.; Raza, H.; Hassan, M.; Seo, S.-Y.; Kim, C.-H.; Lee, K.H. Synthesis and Biological Evaluation of 1,2,4-Triazolidine-3-Thiones as Potent Acetylcholinesterase Inhibitors: In Vitro and in Silico Analysis through Kinetics, Chemoinformatics and Computational Approaches. Mol. Divers. 2020, 24, 1185–1203. [Google Scholar] [CrossRef]
- Salerno, L.; Siracusa, M.; Guerrera, F.; Romeo, G.; Pittalà, V.; Modica, M.; Mennini, T.; Russo, F. Synthesis of New 5-Phenyl[1,2,4]Triazole Derivatives as Ligands for the 5-HT1A Serotonin Receptor. Arkivoc 2004, 2004, 312–324. [Google Scholar] [CrossRef]
- Samelyuk, Y.G.; Kaplaushenko, A.G.; Pruglo, Y.S. Synthesis and Actoprotective Activity of Salts of 2-(5-(4-Methoxyphenyl(3,4,5-trimethoxyphenyl))-1,2,4-Triazole-3-ylthio)acetic Acids. Zaporozh. Med. J. 2014, 83, 107–111. [Google Scholar]
- Dovbnia, D.; Frolova, Y.; Kaplaushenko, A. A Study of Hypoglycemic Activity of Acids and Salts Containing 1,2,4-Triazole. Ceska Slov. Farm. 2023, 72, 113–124. [Google Scholar] [CrossRef]
- Fateev, I.V.; Sasmakov, S.A.; Abdurakhmanov, J.M.; Ziyaev, A.A.; Khasanov, S.S.; Eshboev, F.B.; Ashirov, O.N.; Frolova, V.D.; Eletskaya, B.Z.; Smirnova, O.S.; et al. Synthesis of Substituted 1,2,4-Triazole-3-Thione Nucleosides Using E. coli Purine Nucleoside Phosphorylase. Biomolecules 2024, 14, 745. [Google Scholar] [CrossRef] [PubMed]
- Hadjadj, H.; Kahloula, K.; Meddah, B.; Slimani, M. 5-Phenyl-1, 2, 4-Triazole- 3- Thiol Subchronic Exposure Induce Neuro-Comportemental Desorder in Wistar Rats. South Asian J. Exp. Biol. 2019, 8, 178–186. [Google Scholar] [CrossRef]
- Aggarwal, R.; Kumar, P.; Hooda, M.; Kumar, S. Serendipitous N,S-Difunctionalization of Triazoles with Trifluoromethyl-β-Diketones: Access to Regioisomeric 1-Trifluoroacetyl-3-Aryl-5-(2-Oxo-2-Arylethylthio)-1,2,4-Triazoles as DNA-Groove Binders. RSC Adv. 2024, 14, 6738–6751. [Google Scholar] [CrossRef]
- Ebdrup, S.; Sørensen, L.G.; Olsen, O.H.; Jacobsen, P. Synthesis and Structure–Activity Relationship for a Novel Class of Potent and Selective Carbamoyl-Triazole Based Inhibitors of Hormone Sensitive Lipase. J. Med. Chem. 2004, 47, 400–410. [Google Scholar] [CrossRef]











































































Disclaimer/Publisher’s Note: The statements, opinions and data contained in all publications are solely those of the individual author(s) and contributor(s) and not of MDPI and/or the editor(s). MDPI and/or the editor(s) disclaim responsibility for any injury to people or property resulting from any ideas, methods, instructions or products referred to in the content. |
© 2025 by the authors. Licensee MDPI, Basel, Switzerland. This article is an open access article distributed under the terms and conditions of the Creative Commons Attribution (CC BY) license (https://creativecommons.org/licenses/by/4.0/).
Share and Cite
Ziyaev, A.A.; Sasmakov, S.A.; Toshmurodov, T.T.; Abdurakhmanov, J.M.; Ikramov, S.A.; Khasanov, S.S.; Ashirov, O.N.; Ziyaeva, M.A.; Begimqulova, D.B. Synthesis and Biological Activity of 5-Substituted-2,4-dihydro-1,2,4-triazole-3-thiones and Their Derivatives. Organics 2025, 6, 41. https://doi.org/10.3390/org6030041
Ziyaev AA, Sasmakov SA, Toshmurodov TT, Abdurakhmanov JM, Ikramov SA, Khasanov SS, Ashirov ON, Ziyaeva MA, Begimqulova DB. Synthesis and Biological Activity of 5-Substituted-2,4-dihydro-1,2,4-triazole-3-thiones and Their Derivatives. Organics. 2025; 6(3):41. https://doi.org/10.3390/org6030041
Chicago/Turabian StyleZiyaev, Abdukhakim A., Sobirdjan A. Sasmakov, Turdibek T. Toshmurodov, Jaloliddin M. Abdurakhmanov, Saidazim A. Ikramov, Shukhrat Sh. Khasanov, Oybek N. Ashirov, Mavluda A. Ziyaeva, and Dilrabo B. Begimqulova. 2025. "Synthesis and Biological Activity of 5-Substituted-2,4-dihydro-1,2,4-triazole-3-thiones and Their Derivatives" Organics 6, no. 3: 41. https://doi.org/10.3390/org6030041
APA StyleZiyaev, A. A., Sasmakov, S. A., Toshmurodov, T. T., Abdurakhmanov, J. M., Ikramov, S. A., Khasanov, S. S., Ashirov, O. N., Ziyaeva, M. A., & Begimqulova, D. B. (2025). Synthesis and Biological Activity of 5-Substituted-2,4-dihydro-1,2,4-triazole-3-thiones and Their Derivatives. Organics, 6(3), 41. https://doi.org/10.3390/org6030041

