Abstract
1,2-Bifunctional ligands are rare, in general, which holds especially for those with a P-N linkage. Herein, we report on the synthesis of P-tert-butyl substituted aminophosphane W(CO)5 complexes 3a-f (a: R = R’ = H; b: R = H, R = Me; c: R = H, R’ = ally; d: R = H, R’ = i-Pr; e: R = H, R’ = t-Bu; f: R = R’ = Me) obtained via formal N-H insertion reactions of Li/Cl phosphinidenoid complex 2 into NH bonds of ammonia and different amines. The 1,2-bifunctionality of 3b was addressed in targeted regioselective deprotonation reactions leading to amidophosphane complexes M-4b or M/N(H)Me phosphinidenoid complexes M-5b, respectively (M = Li, K). Remarkable was the observation that reactions of M-4b and M-5b with MeI as the electrophile resulted in the formation of the same product 7b. The constitution of all the compounds has been established by means of NMR and IR spectroscopy and mass spectrometry. Two possible reaction pathways were studied in detail using high-level DFT calculations.
1. Introduction
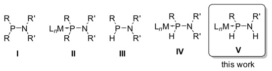
The first mention of aminophosphanes I (Figure 1) bearing no P-H functionality dates to 1957, when Harris reported the synthesis of (CF3)2P-NH2 via the reaction of bis(trifluoromethyl)chlorophosphane with two equivalents of ammonia in the gas phase [1]. Following this, Burg [2] and Smith [3] reported early examples using the aminolysis or treatment of chlorophosphanes with sodium amides. Transition metal complexes II with, e.g., iron(0), nickel(0) or molybdenum(0), were first reported in 1971 [4,5]. The synthesis of aminophosphanes III, which have a P-H functionality, remained unsuccessful for many years and may be also related to the firm belief that α-elimination under the formation of an amine H-NR2 and a phosphinidene R-P [6] could occur. Nevertheless, the corresponding complexes of secondary aminophosphanes IV have been known since 1975 [6] and have been frequently reported thereafter [7,8]. Two examples of IV were obtained from a phosphanido iron(0) complex [9].
Figure 1.
Aminophosphanes I, 1,1′-bifunctional aminophosphanes III and their complexes II and IV and 1,2-bifunctional aminophosphane complexes V (R, R’ = common organic substituent, M = transition metal, L = ligand).
In 1977, Niecke synthesized the first P-H containing derivative III, (Me3Si)2NP(H)-NHSiMe3 [10], and then the first primary aminophosphane (Me3Si)2N-PH2 [11], thus paving the way for further research in various directions. The strategy to use N-H insertion reactions to gain access to aminophosphane complexes of type II was first used in 1982 by Mathey [7] and, more recently, by Lammertsma [9]. The alternative use of Li/Cl phosphinidenoid complexes in the formation of aminophosphane complexes of type IV was first reported by us in 2012, using the formal N-H insertion [12,13]. The broader scope of this E-H insertion chemistry was reported more recently [14,15,16,17] including an overview of formal N-H insertion of Li/X phosphinidenoid complexes [18], adding first examples of V, but focusing on sterically demanding substituents, such as triphenylmethyl and bis(trimethylsilyl)methyl, together with W(CO)5 and Fe(CO)4 metal fragments [12,13,14,15,16,17,18,19]. Studies on the chemistry of 1,1′-bifunctional aminophosphane complexes V included reactions targeting the P–N bond with hydrogen halides [7] and the P–H bond via deprotonation [12,13,14,15,16,17,18]. The latter has resulted in new M/NR’2 phosphinidenoid complexes if the P-H deprotonation takes place. In contrast, the new 1,2-bifunctionality, i.e., the presence of a P–H and N–H bond, has allowed for initial investigations concerning N-functionalization and/or P/N bifunctional nucleophilicity, thus enabling to form three-membered P-heterocyclic ligands, if sterically demanding P-substituents were used [16].
Herein, 1,2-bifunctional aminophosphane complexes V were synthesized, bearing the sterically less demanding tert-butyl group [20], and used to address the quest for selective deprotonation and N- vs. P-functionalization. The latter part was also studied in great detail using DFT calculations.
2. Materials and Methods
General experimental details. The syntheses of all compounds were performed under an argon atmosphere using Schlenk techniques and dry solvents. Tetrahydrofuran (THF), diethyl ether, petroleum ether (PE) and n-pentane were dried over sodium wire/benzophenone, dichloromethane over calcium hydride and toluene over sodium and further purified by subsequent distillation. All NMR spectra were recorded on a Bruker AV I 300 (300.1 MHz for 1H, 75.5 MHz for 13C; 121.5 MHz for 31P), Bruker AV I 400 (400.1 MHz for 1H, 100.6 MHz for 13C; 162.0 MHz for 31P) and Bruker AV III HD Prodigy 500 (500.2 MHz for 1H, 125.8 MHz for 13C and 202.5 MHz for 31P) spectrometers at 25 °C. The 1H and 13C NMR spectra were referenced to the residual proton resonances and the 13C NMR signals of the deuterated solvents and 31P NMR spectra were referenced to 85% H3PO4 as external standards, respectively. Elemental analyses were carried out on a Vario EL gas chromatograph. Mass spectrometric data were collected on a micrOTOF-Q Bruker Daltonik TOF mass spectrometer (ESI, ACPI) or a MAT 90 Thermo Finnigan sector instrument (EI). IR spectra of all compounds were recorded on a Thermo Nicolet 380 FT-IR spectrometer with an attenuated total reflection (ATR) attachment or a Bruker Alpha Diamond ATR FTIR spectrometer.
Complex 1 was prepared according to the literature [21].
General protocol for the synthesis of aminophosphane complexes 3a-e. In a Schlenk tube [{tert-butyl(dichloro)phosphane-κP}pentacarbonyltungsten(0)], 1 (1.00 equiv.) was dissolved in THF (25 mmol/L) and 12-crown-4 (1.00 equiv.) was added at ambient temperature to the slightly yellow solution. After cooling to −100 °C and addition of t-BuLi (1.7 M in n-hexane, 1.10 equiv.), the corresponding amine or ammonia (NH3: 0.5 M in THF, MeNH2: 2 M in THF) (2.00 (3a,b,d) or 3.00 equiv. (3c,e)) was added dropwise within 5 min. The yellow solution, later suspension, is left to warm up to −20 °C and after completion of the reaction (monitored by 31P NMR spectroscopy), all volatiles were removed in vacuo (≈1 ∙ 10−2 mbar). The yellow residue is extracted three times with 10 mL of n-pentane (3a,b,d) or diethyl ether (3c) each. After removal of the solvent under reduced pressure (≈1 ∙ 10−2 mbar), a yellow to red oil was obtained.
[{Amino(tert-butyl)phosphane-κP}pentacarbonyltungsten(0)] (3a). Yield: 214 mg (0.50 mmol, 53%), yellow oil. 1H NMR (500.1 MHz, 298 K, C6D6): δ/ppm = 0.71 (d, 3JP,H = 16.9 Hz, 9H, C(CH3)3), 1.15–1.29 (m, 2H, NH2), 5.41 (dt, 1JP,H = 336.3 Hz, 3JH,H = 4.0 Hz, 1H, PH). 13C NMR (125.8 MHz, 298 K, C6D6): δ/ppm = 25.0 (d, 2JP,C = 7.1 Hz, C(CH3)3), 32.6 (d, 1JP,C = 33.7 Hz, C(CH3)3), 197.0 (dsat, 1JW,C = 124.6 Hz, 2JP,C = 7.3 Hz, cis-CO), 199.1 (dsat, 1JW,C = 143.2 Hz, 2JP,C = 21.9 Hz, trans-CO). 31P NMR (202.5 MHz, 298 K, C6D6): δ/ppm = 47.2 (ddqsat, 1JW,P = 241.3 Hz, 1JP,H = 336.3 Hz, 1JP,C = 33.7 Hz, 3JP,H = 16.9 Hz). IR (ATR) /cm−1 = 3476 (w, ν(NH)), 3384 (w, ν(NH)), 2289 (w, ν(PH)), 2071 (vs, ν(CO)), 1886 (s, ν(CO)) 1556 (s, δ(NH)). MS calcd. for C9H12NO5PW: 429.0; found (EI) m/z = 428.9. C9H12NO5PW (429.01): calcd. C 25.20, H 2.82 N 3.26; found C 28.23 H 3.53 N 3.03.
[{Tert-butyl(methylamino)phosphane-κP}pentacarbonyltungsten(0)] (3b). Yield: 627 mg (1.42 mmol, 69%), orange oil. 1H NMR (500.1 MHz, 298 K, C6D6): δ/ppm = 0.80 (d, 3JP,H = 16.5 Hz, 9H, C(CH3)3), 0.85 (br m, 1H, NH), 2.09 (dd, 3JP,H = 5.7 Hz, 3JH,H = 10.6 Hz, 3H, CH3), 5.41 (dd, 1JP,H = 337.9 Hz, 3JH,H = 5.2 Hz, 1H, PH). 13C NMR (125.8 MHz, 298 K, C6D6): δ/ppm = 26.1 (d, 2JP,C = 7.1 Hz, C(CH3)3), 35.6 (d, 1JP,C = 28.3 Hz, C(CH3)3), 36.6 (d, 2JP,C = 7.1 Hz, CH3), 197.3 (dsat, 1JW,C = 124.8 Hz, 2JP,C = 7.2 Hz, cis-CO), 199.3 (dsat, 1JW,C = 143.8 Hz, 2JP,C = 21.9 Hz, trans-CO). 31P NMR (202.5 MHz, 298 K, C6D6): δ/ppm = 68.5 (dmsat, 1JW,P = 239.1 Hz, 1JP,H = 337.9 Hz). IR (ATR) /cm−1 = 3436 (w, ν(NH)), 2286 (w, ν(PH)), 2070 (vs, ν(CO)), 1980 (w, ν(CO)), 1887 (s, ν(CO)). MS calcd. for C10H14NO5PW: 443.0; found (EI) m/z = 443.0. C10H14NO5PW (443.04): calcd. C 27.11, H 3.19 N 3.16; found C 26.70 H 3.22 N 3.11.
[{Tert-butyl(allylamino)phosphane-κP}pentacarbonyltungsten(0)] (3c). Yield: 388 mg (0.827 mmol, 80%), orange oil. 1H NMR (500.1 MHz, 298 K, C6D6): δ/ppm = 0.81 (d, 3JP,H = 16.7 Hz, 9H, C(CH3)3), 1.19 (br s, 1H, NH), 3.09 (m, 2H, NCH2CHCH2), 4.89 (dd, 3JH,H = 10.2 Hz, 4JH,H = 1.5 Hz, 1H, NCH2CHCH2), 4.93 (dd, 3JH,H = 17.1 Hz, 4JH,H = 1.6 Hz, 1H, NCH2CHCH2), 5.49 (ddt, 2JH,H = 17.1 Hz, 3JH,H = 10.6 Hz, 3JH,H = 5.5 Hz, 1H, NCH2CHCH2), 5.52 (dd, 1JP,H = 339.4 Hz, 3JH,H = 5.31 Hz, 1H, PH). 13C NMR (125.8 MHz, 298 K, C6D6): δ/ppm = 26.0 (d, 2JP,C = 7.2 Hz, C(CH3)3), 35.7 (d, 1JP,C = 28.3 Hz, C(CH3)3), 52.6 (d, 2JP,C = 7.0 Hz, NCH2CHCH2), 115.8 (s, NCH2CHCH2), 136.3 (d, 3JP,C = 4.2 Hz, CH2CHCH2), 197.3 (dsat, 1JW,C = 124.9 Hz, 2JP,C = 7.2 Hz, cis-CO), 199.1 (dsat, 1JW,C = 142.9 Hz, 2JP,C = 22.1 Hz, trans-CO). 31P NMR (202.5 MHz, 298 K, C6D6): δ/ppm = 62.8 (dmsat, 1JW,P = 240.2 Hz, 1JP,H = 339.4 Hz). IR (ATR) /cm−1 = 3421 (w, ν(NH)), 2294 (w, ν(PH)), 2070 (vs, ν(CO)), 1979 (w, ν(CO)), 1890 (s, ν(CO)). MS calcd. for [C12H17NO5PW + H+] 470.1; found (APCI) m/z = 470.0. C10H14NO5PW (469.03): calcd. C 30.73, H 3.44 N 2.99; found C 31.93 H 3.88 N 2.56.
[{Tert-butyl(iso-propylamino)phosphane-κP}pentacarbonyltungsten(0)] (3d). Yield: 1.27 g (2.70 mmol, 69%), red oil. 1H NMR (400.1 MHz, 298 K, C6D6): δ/ppm = 0.73 (d, 3JH,H = 6.4 Hz, 3H, CH(CH3)2), 0.82 (d, 3JH,H = 6.3 Hz, 3H, CH(CH3)2), 0.85 (d, 3JP,H = 16.8 Hz, 9H, C(CH3)3), 0.95 (m, 1H, NH), 2.74 (m, 1H, CH), 5.58 (dd, 1JP,H = 334.0 Hz, 3JH,H = 4.7 Hz, 1H, PH). 13C NMR (100.6 MHz, 298 K, C6D6): δ/ppm = 25.0 (d, 3JP,C = 2.2 Hz, CH(CH3)2), 25.2 (d, 3JP,C = 4.9 Hz, CH(CH3)2) 25.9 (d, 2JP,C = 7.1 Hz, C(CH3)3), 35.1 (d, 1JP,C = 30.7 Hz, C(CH3)3), 51.7 (d, 2JP,C = 7.9 Hz, CH(CH3)2), 197.4 (dsat, 1JW,C = 124.8 Hz, 2JP,C = 7.3 Hz, cis-CO), 199.2 (dsat, 1JW,C = 143.3 Hz, 2JP,C = 21.9 Hz, trans-CO). 31P NMR (162.0 MHz, 298 K, C6D6): δ/ppm = 55.8 (dmsat, 1JW,P = 238.5 Hz, 1JP,H = 334.0 Hz). IR (ATR) /cm−1 = 3397 (w, ν(NH), 2289 (w, ν(PH)), 2080 (s, ν(CO)), 1914 (vs, ν(CO)). MS calcd. for [C12H18NO5PW] 471.0; found (EI) m/z = 471.1.
[{Tert-butyl(tert-butylamino)phosphane-κP}pentacarbonyltungsten(0)] (3e). 31P NMR (121.5 MHz, 298 K, THF): δ/ppm = 37.1 (dmsat, 1JW,P = 239.9 Hz, 1JP,H = 340.6 Hz).
[{Tert-butyl(dimethylamino)phosphane-κP}pentacarbonyltungsten(0)] (3f). In a 200 mL Schlenk tube, 1.01 g (2.09 mmol, 1.00 equiv.) of 1 are dissolved in 84 mL of THF and 365 µL (2.09 mmol, 1.00 equiv.) of 12-crown-4 are added to the slightly yellow solution. After cooling to −100 °C and addition of 1.3 mL (2.29 mmol, 1.10 equiv.) of t-BuLi (1.7 M in n-hexane), 3.1 mL (6.26 mmol, 3.00 equiv.) of Me2NH (2 M in THF) are added dropwise within 5 min. The yellow solution, later suspension, is left to warm up to −20 °C and the solvent is removed in vacuo (≈1 ∙ 10−2 mbar). The yellow-orange residue is extracted three times with 25 mL n-pentane each. After removal of the solvent under reduced pressure (≈1 ∙ 10−2 mbar), the orange residue is worked up by column chromatography (Al2O3, h = 5.5 cm, ø = 3 cm, 30 mL PE (40/65), 50 mL PE (40/65):Et2O = 9:1, 20 mL PE (40/65):Et2O = 4:1, 80 mL PE (40/65):Et2O = 1:1). The solvent is removed in vacuo (≈1 ∙ 10−2 mbar), yielding an orange oil that contains 88% of the product by NMR integration. Orange oil. 1H NMR (500.1 MHz, 298 K, C6D6): δ/ppm = 0.87 (d, 3JP,H = 16.0 Hz, 9H, C(CH3)3), 2.38 (d, 3JP,H = 9.1 Hz, 6H, N(CH3)2), 5.87 (d, 1JP,H = 346.8 Hz, 1H, PH). 31P NMR (202.5 MHz, 298 K, C6D6): δ/ppm = 91.4 ppm (dmsat, 1JW,P = 239.9 Hz, 1JP,H = 346.8 Hz). MS calcd. for [C11H16NO5PW + H+] 458.0; found (ESI(+)) m/z = 458.0.
Lithium[{tert-butyl(methylamido)phosphane-κP}pentacarbonyltungsten(0)] (Li-4b). In a 50 mL Schlenk tube, 202.2 mg (0.46 mmol, 1.00 equiv.) of 3b are dissolved in 18 mL of THF and after cooling to −80 °C, 0.37 mL (0.91 mmol, 1.00 equiv.) of n-BuLi (2.5 M in n-hexane) are added to the slightly yellow solution. The light-yellow suspension is left to warm up to room temperature and stirred overnight and the solvent is removed in vacuo (≈3 · 10−2 mbar). The orange residue is washed with 7 mL of PE 65/40 and 0.5 mL of Et2O twice and twice with 7 mL of PE 65/40. After removal of the solvent under reduced pressure (≈3 · 10−2 mbar), a yellow-orange solid is obtained. Yield: decomposition before determination, yellow solid. 1H NMR (300.1 MHz, 298 K, THF-d8): δ/ppm = 1.26 (d, 3JP,H = 15.8 Hz, 9H, C(CH3)3), 2.67 (d, 3JP,H = 6.0 Hz, 3H, NCH3), 5.78 (d, 1JP,H = 311.0 Hz, 1H, PH). 13C NMR (75.5 MHz, 298 K, THF-d8): δ/ppm = 27.9 (d, 2JP,C = 8.4 Hz, C(CH3)3), 31.2 (d, 2JP,C = 7.8 Hz, CH3), 32.6 (d, 1JP,C = 20.8 Hz, C(CH3)3), 209.6 (d, 2JP,C = 8.3 Hz, cis-CO), 216.6 (d, 2JP,C = 26.7 Hz, trans-CO). 31P NMR (121.5 MHz, 298 K, THF-d8): δ/ppm = 49.2 (dmsat, 1JW,P = 188.4 Hz, 1JP,H = 311.0 Hz). IR (ATR) /cm−1 = 2070 (vs, ν(CO)), 1906 (s, ν(CO)). MS calcd. for [C10H13LiNO5PW–Li+ + 2H+]: 444.0; found (EI) m/z = 444.0.
[Lithium(12-crown-4)][{tert-buty(methylamino)phosphanid-κP}pentacarbonyltungsten(0)] (Li-5b). In a 10 mL Schlenk tube, 38.5 mg (0.087 mmol, 1.00 equiv.) of 3b are dissolved in 3.5 mL of THF. After adding 30.5 µL (0.17 mmol, 2.00 equiv.) of 12-crown-4 and cooling to −80 °C, 0.07 mL (0.17 mmol, 2.00 equiv.) of n-BuLi (2.5 M in n-hexane) are added while stirring. From the light yellow reaction solution, an NMR sample is taken after 30 min. 31P NMR (121.5 MHz, 298 K, THF): δ/ppm = 89.9 (broad s).
[Potassium(18-crown-6)][{tert-buty(methylamino)phosphanid-κP}pentacarbonyltungsten(0)] (K-5b). In a 10 mL Schlenk tube, 45.0 mg (0.10 mmol, 1.00 equiv.) of 3b and 53.7 mg (0.20 mmol, 2.00 equiv.) of 18-crown-6 are dissolved in 1.5 mL of THF. After cooling to −80 °C, 40.5 mg (0.20 mmol, 2.00 equiv.) are dissolved in 2.5 mL of THF and are added while stirring. From the light yellow reaction solution, an NMR sample is taken after 30 min. 31P NMR (121.5 MHz, 298 K, THF): δ/ppm = 89.9 (broad s).
[{Tert-butyl(methyl)(methylamino)phosphane-κP}pentacarbonyltungsten(0)] (7b). In a 50 mL Schlenk tube, 104 mg (0.235 mmol, 1.00 equiv.) of 3b are dissolved in 9.4 mL of THF and 83 µL (0.470 mmol, 2.00 equiv.) of 12-crown-4 are added to the slightly yellow solution. After cooling to −80 °C and addition of 0.19 mL (0.470 mmol, 2.00 equiv.) of n-BuLi (2.5 M in n-hexane), 29 µL (0.470 mmol, 2.00 equiv.) of MeI are added dropwise within 5 min. The light-yellow suspension is to left warm up to room temperature and the solvent is removed in vacuo (≈ 1 ∙ 10−2 mbar). The yellow residue is extracted three times with 5 mL n-pentane each. After removal of the solvent under reduced pressure (≈ 1 ∙ 10−2 mbar), a yellow-orange oil is obtained. Yield: not determined due to 12-crown-4 present, yellow oil. 1H NMR (500.1 MHz, 298 K, C6D6): δ/ppm = 0.77 (d, 3JP,H = 15.0 Hz, 9H, C(CH3)3), 0.81 (br s, 1H, NH) 1.18 (d, 2JP,H = 5.4 Hz, 3H, PCH3), 2.08 (dd, 3JP,H = 5.7 Hz, 3JH,H = 11.0 Hz, 3H, NCH3), 3.49 (s, nH, 12-c-4). 13C NMR (125.8 MHz, 298 K, C6D6): δ/ppm = 25.4 (d, 2JP;C = 6.7 Hz, C(CH3)3), 36.2 (d, 1JP,C = 24.2 Hz, C(CH3)3), 36.6 (d, 2JP,C = 7.1 Hz, CH3), 198.2 (dsat, 1JW,C = 125.1 Hz, 2JP,C = 7.5 Hz, cis-CO), 199.6 (dsat, 1JW,C = 141.8 Hz, 2JP,C = 21.5 Hz, trans-CO). 31P NMR (202.5 MHz, 298 K, C6D6): δ/ppm = 70.7 (msat, 1JW,P = 252.0 Hz). IR (ATR) /cm−1 = 3440 (w, ν(NH)), 2067 (vs, ν(CO)), 1975 (w, ν(CO)), 1892 (s, ν(CO)). MS calcd. for C11H16NO5PW: 457.0; found (EI) m/z = 456.9.
Computational details. The quantum chemical DFT calculations have been performed with ORCA 4.2.1 [22]. The structures are fully optimized at the TPSS-D3/def2-TZVP + CPCM(THF) level of theory, which combines the TPSS [23] meta-GGA density functional with the BJ-damped DFT-D3 dispersion correction [24,25] and the def2-TZVP basis set [26,27], using the conductor-like screening model (CPCM) continuum solvation model [26,27,28] for THF solvent (dielectric constant ε = 7.58 and solvent radius Rsolv = 3.18 Å). The density-fitting RI-J approach [26,29,30] is used to accelerate the geometry optimization and numerical harmonic frequency calculations [31] in solution. The optimized structures are characterized by frequency analysis to identify the nature of located stationary points (no imaginary frequency for true minima and only one imaginary frequency for transition states). Single-point calculations were performed at the hybrid-meta-GGA PW6B95-D3 [32] level using a larger def2-QZVP basis set [27,28]. To help experimental 31P NMR assignment, nuclear magnetic shielding constants for various P-containing complexes are also computed using the GIAO (gauge including atomic orbital) method at the TPSS/def2-QZVP level [33]; the final 31P NMR chemical shifts are computed using the known 31P NMR signal of the complex 3b [W(CO)5PtBu(H)NHMe)] at 67.3 ppm in C6D6 solution as a reference.
3. Results and Discussion
3.1. Synthesis and Characterization of P–tert–Bu Substituted Aminophosphane Complexes
According to Tolman’s cone angle concept extrapolated from phosphine ligands to the organyl R substituent attached to P in computed (PBEh-3c level) R-PCl2-W(CO)5 compounds 1, the estimated cone angle for the trityl group (Θ = 178.4°) reveals a much higher steric protection at P than the t-Bu group (Θ = 143.5°) [34,35]. The addition of t-BuLi to a THF solution of dichloro(tert-butyl)phosphane complex 1 in the presence of 12-crown-4 at −100 °C generated the Li/Cl phosphinidenoid complex 2 [34,35], which reacted with ammonia and different amines (Scheme 1). Formal N-H insertion reactions led to the formation of 1,1′-bifuntional aminophosphane W(CO)5 complexes 3a–f (Scheme 1, Table 1).
Scheme 1.
Synthesis of aminophosphane complexes 3a–f via Li/Cl phosphinidenoid complex 2.
Table 1.
Selected NMR data in THF and yields of synthesized aminophosphane complexes 3a–f.
Highly selective reactions were observed in case of derivatives 3a–d, which were isolated as yellow to red oils in moderate to good yields (Table 1). In the case of 3e and 3f, the desired products could be detected only by 31P NMR; hence, 3f was only partly characterized in an inseparable mixture containing 88% of 3f.
Surprisingly, the reactions of 2 with other primary and secondary amines, such as ethyl amine, aniline or diethyl amine, did not yield the desired products but an inseparable mixture of compounds, which were not further characterized. In comparison to, e.g., the CPh3-substituent, the tert-butyl substituent exerts a reduced steric shielding onto the phosphorus centre according to Tolman’s cone angle concept [20]. This makes this finding particularly astonishing, as a lesser steric shielding onto the phosphorus centre should allow for these reactions to happen, especially as the same reactions had proceeded selectively for the P-CPh3 substituted analogue of complex 2 [16].
The 31P NMR resonance signals of complexes 3a–f were observed in the range of 37 to 91 ppm and are highfield-shifted compared to the starting material 1. The analogous P-CPh3 substituted complexes are 5–10 ppm highfield-shifted [15,16], indicating that the tert-butyl substituent leads to a slightly lower shielding of the P nucleus. Two substituents at the nitrogen centre shift the resonance to the downfield region. The observed 1JW,P and 1JP,H coupling constants of 3a–f are of similar magnitude, as expected from related derivatives [12,13,15,16,17].
The FT-IR spectra of 3a displays the asymmetric and symmetric NH2 vibration modes at 3476 cm−1 and 3384 cm−1, while the bending vibration mode is found at 1556 cm−1. Complexes 3b–d show their N–H bond vibration modes between 3436 cm−1 and 3421 cm−1. An unscaled value of 3479 cm−1 was computed for 3b at the working level of theory (see Computational Details). The values for the stretching vibrations are slightly higher than for known complexes, e.g., the P-CPh3 substituted derivatives, which display values at 3400 cm−1 to 3350 cm−1. The absorption bands due to P-H vibration modes are measured at about 2290 cm−1 with only slight variations in all complexes 3a–f.
3.2. Regioselective Deprotonation of 1,2-Bifunctional Aminophosphane Complexes
Compared to P-CPh3 or P-CH(SiMe3)2 derivatives, the tert-Bu substituent seemed to have a clear influence on the outcome of otherwise feasible reactions. Therefore, the quest of regioselective deprotonation of 1,2-bifunctional aminophosphane complexes 3a–f emerged. Previous deprotonation studies of the related, but sterically more demanding, 1,2-bifunctional complexes have shown that one equivalent of base is sufficient, in the presence of a crown ether, to achieve full conversion to the M/N(H)R’ phosphinidenoid complex [12,13,15,16,17]. To study the system in hand, the following three bases were tested with respect to the deprotonation of 3a–c: KHMDS, which was used before [15,16,17], MeLi and n-BuLi, varying in basicity and nature of the counter ion. In particular, the Li cation can be expected to display stronger P–Li and/or N–Li interactions, compared to interactions with the significantly larger K cation.
In contrast to previous studies, the reaction of 3a–c with one equivalent of base in THF did not lead to any of the desired products M-4a–c or M-5a–c (Scheme 2). Instead, mixtures of 3a, 3b or 3c, respectively, and several unknown phosphorus compounds were formed. This finding was independent from other reaction conditions, such as temperature and concentration.
Scheme 2.
Regioselective deprotonation of 1,2-bifunctional aminophosphane complex 3b.
Further investigations of 3b in THF showed that the use of two equivalents of any of the bases mentioned above leads to the N-H deprotonation product M-4b (Scheme 2). In the row of bases, KHMDS provided the worst and n-BuLi the best result concerning selectivity, which could be tentatively attributed to the highest basicity of the latter. The reaction outcome was temperature independent, and the reaction could also be conducted at room temperature.
To check the effect of a more separated counter cation, two equivalents of a base and two equivalents of the corresponding crown ether were added to a THF solution of 3b at −80 °C, which resulted in P-H deprotonation, instead, yielding the mono-metalated aminophosphane complex M-5b selectively (Scheme 2). The same behaviour in regioselective deprotonation of 1,2-bifunctional complexes could be confirmed by NMR spectroscopy for complexes 3a and 3c.
Table 2 contains selected 31P NMR data of the Li/K-4b and Li/K-5b in THF solution. The comparison of the two metalated derivatives M-4b and M-5b revealed that their experimentally observed resonances were almost invariant, i.e., there was no clear cation dependency. The values are very close to the computed (GIAO/TPSS-D3/def2-QZVP//CPCMthf/TPSS-D3/def2-TZVPecp) values for the respective naked anions, which most likely parallels the occurrence of solvent and/or crown ether separated ion pairs in solution.
Table 2.
Selected experimental and calculated NMR data (THF) of species that might result in the deprotonation processes.
In silico, the N- and P-deprotonations of 3b were computed (CPCMthf/PW6B95-D3/def2-QZVPecp//CPCMthf/TPSS-D3/def2-TZVPecp) using MeLi as the model in THF (with four explicit molecules), which proceeds exergonically by ΔEZPE = −47.07 or −53.07 kcal/mol (ΔG = −11.13 or −17.63 kcal/mol), respectively, with the formation of methane and the [Li(thf)4]+ salts of 4b− and 5b−v anions. The higher thermodynamic stability of 5b− arises from the delocalization of the negative charge over the neighbouring metal fragment. Moreover, the anionic N-centre in 4b−v donates electron density into the P–N bond yielding double bond character with an MBOP-N of 1.66, an effect that was not observed the other way around in 5b−v with an MBOP-N of just 0.96. The SOPT (second order perturbation theory) analysis in NBO basis for 4b−v unveils a remarkable electron donation from the σ(P-H) to the π*(P=N) orbital and from the π*(P=N) to the σ*(P-H) orbital (amounting to 100.66 and 19.95 kcal/mol, respectively), which would explain the destabilization of the P–H bond in 4b−v with an MBOP-H of 0.84, in comparison with 3f MBOP-H of 0.95. The latter may further enhance the formation of 5b−v from 4b−v and, therefore, 7b in the end. Coordination to the K cation shows little influence on the P–N/P–H bonding situation in 4b−v with MBOP-N 1.50 and MBOP-H 0.88.
The 31P resonances of the amide complexes M-4b were found to be 20 ppm highfield-shifted compared to 3b and showed significantly decreased 1JW,P and 1JP,H coupling constant magnitudes. This trend is in accordance with the observations made earlier for the P-CPh3 substituted derivative [16]. As shown by the calculations (vide supra), N-H deprotonation significantly strengthens the PN bond, which weakens the other phosphorus bonds and decreases the respective J values (4b¯: MBOPN 1.66; 3b: MBOPN 1.08). The significant decrease in the 1JP,C coupling constant to 20.8 Hz in Li-4b from 28.3 Hz in 3b is in line with these findings.
Li-4b could be isolated as a yellow solid, which was very sensitive towards air and moisture. It decomposed over hours in solution and in the solid state, even under inert atmosphere, reforming the starting material, but also leading to two unknown phosphorus compounds (δ(31P)/ppm = 71.5 (1JW,P = 233 Hz, 1JP,H = 338 Hz), 89.8 (no detectable Table 1 JW,P, 1JP,H = 278 Hz)). The 13C{1H} NMR spectrum of Li-4b showed a 10 to 20 ppm downfield shift of the CO resonance signals, which fits with an increased electron density in the PN bond. In comparison to 3b, all 1H NMR resonance signals of Li-4b were approximately 0.4 ppm downfield-shifted. Remarkably, the 1H NMR spectrum also revealed the presence of one THF molecule in the complex, which remained after washing and drying. Therefore, it seems to be tightly bound to the lithium cation (vide infra) and to be necessary for the stabilization (calculated Li-O distance in Li(thf)-4b of 1.91 Å, with MBOLi-O 0.56). In the FT-IR spectrum of Li-4b, the N-H vibration mode was not present and, hence, confirmed the proposed composition.
The 31P resonance signals of M-5b are 20 ppm downfield-shifted in comparison to 3b, in general, which is in accordance to previously observed M/N(H)R phosphinidenoid complexes [15,16,17]. In addition, the 1JW,P coupling constant has a characteristically small value [12,13,14,15,16,17,18,19]. Presumably related to the decomposition of crown ethers in basic media at ambient temperatures, M-5b turned out to be thermally unstable and could not be further characterized, in contrast to previous studies, which even allowed for the isolation of a K/N(H)R phosphinidenoid complex [16,17], but not for the isolation of the corresponding amide complex. Upon warming up, M-5b decomposed, providing first the amide complex M-4b and, afterwards, a mixture of four not further characterized main products, displaying signals in the 31P NMR spectrum at 41.9 ppm (no JW,P, no 1JP,H), 86.1 ppm (1JW,P = 226 Hz), 91.5 ppm (1JW,P = 230 Hz, 1JP,H = 276 Hz) and 99.8 ppm (1JW,P = 228 Hz, 1JP,H = 283 Hz) (see ESI).
However, the presence of Li-5b in solution could be further proven by a follow-up reaction with MeI as an electrophile and giving rise to the expected P-methylated complex 7b, possessing a resonance at 70.7 ppm (1JW,P = 252.0 Hz) (Scheme 3). Due to its similarity to the aminophosphane complex 3b, the analytical data do not differ too much, except for those corresponding to the missing PH unit, such as the vibration mode in the FT-IR spectrum.
Scheme 3.
Reactions of P-amido complex Li-4b and phosphinidenoid complex Li-5b with MeI as the electrophile, yielding complex 7b as the final product in both cases.
Interestingly, also the reaction of Li-4b with MeI yielded the same product 7b, and not the expected N-methylation product 3f. For 7b to form from both compounds Li-4b and Li-5b, a proton transfer has to occur in the former, which will be discussed below. The 31P NMR spectroscopic reaction monitoring of the formation of 7b showed an intermediate that displayed a 31P resonance signal at 55.0 ppm without a 1JP,H coupling and a 1JW,P coupling of 196.5 ppm, being somehow similar to values of the amide complexes M-4b. Based on these observations, the structure of this intermediate can be tentatively assigned to the P-methylated amide complex 6b (cf. Scheme 3). Intermediate 6b and compound 7b are initially formed in a ratio of 86:14 (at room temperature), while after 4.5 h, it changed to 23:77, with solely 7b remaining in the end (see ESI). The existence of a dianionic complex, bearing neither a P-H nor a N-H function, was excluded based on the 31P NMR parameter.
3.3. Theoretical Investigations on the Mechanism
To further unveil the very surprising formation of 7b in both methylation reactions and particularly from Li-4b (Scheme 4), quantum chemical calculations were performed. As stated beforehand, initial N-coordination of the solvated MeLi reagent favours N-deprotonation of 3b to afford complexes Li(thf)-4b or Li(thf)2-4b, used here merely as simplified models of Li-coordinated amide salts. Noteworthy is the higher stability of the former, bearing only one THF molecule bound, despite featuring a less coordinatively saturated Li+ cation, in agreement with the experimental observations (vide supra). Formation of the Li(thf)2I adduct of the final product, [Li(thf)2I]7b, could proceed through (barrierless) P-methylation of LiN(thf)2-5b, but this would require the P-to-N hydrogen shift in Li(thf)2-4b, which is kinetically hampered (ΔΔEZPE‡ = 55.23 kcal/mol), as in the above-mentioned case of the naked anions (4b−v → 5b−v). A somewhat lower barrier (ΔΔEZPE‡ = 50.64 kcal/mol) was obtained by an additional explicit THF molecule-assisted hydrogen shift (see ESI). A lower energy path would produce [Li(thf)2I]7b through tungsten-methylation of Li(thf)2-4b, W-to-P methyl group shift (reductive coupling), lower barrier P-to-N trans-protonation (ΔΔEZPE‡ = 42.43 kcal/mol) and P-complexation (Scheme 4). However, we assume that the tentatively proposed PH group-lacking intermediate 6b is indeed Li(thf)2-5bN, whose formation could be alternatively explained not via intra- but intermolecular trans-protonation (not computed) from Li(thf)2-4b.
Scheme 4.
Mechanistic proposal for the transformation of aminophosphane complex 3b into the P-methylation product 7b via P-amido complex Li-4b. Relative zero point-corrected energies (kcal/mol) are quoted in square brackets.
4. Conclusions
Effective synthesis of 1,2-bifunctional aminophosphane complexes 3a–f was achieved using the reaction of a sterically less demanding Li/Cl phosphinidenoid W(CO)5 complex with ammonia and amines RR’NH. A new M/N(H)Me phosphinidenoid complex Li-5b was accessed via selective deprotonation of 1,2-bifunctional aminophosphane complex 3b using n-BuLi as base in presence of 12-crown-4, and the phosphanylamido complex Li-4b (Supplementary Materials) was obtained as isolable, but not bottleable product in absence of the crown ether. Subsequent reactions of both Li-4b and Li-5b with MeI revealed the formation of the same P-methylated complex 7b via a common intermediate 6b. On the basis of quantum chemical calculations, the observed 31P NMR shifts were assigned to the structures in the solution. Furthermore, insights into P–N and P–H bond strengths were obtained and the preferred path of the solvent separated P-anion 5b−v to form 7b via the methylation analyzed.
Supplementary Materials
The following supporting information can be downloaded at: https://www.mdpi.com/article/10.3390/org3030013/s1, Figure S1: NMR spectra of complex 3a; Figure S2: NMR spectra of complex 3b; Figure S3: NMR spectra of complex 3c; Figure S4: NMR spectra of complex 3d; Figure S5: NMR spectra of complex 3e; Figure S6: NMR spectra of complex 3f in product mixture; Figure S7: NMR spectra of compound Li-4b in product mixture; Figure S8: NMR spectra of compound Li-5b in reaction mixture; Figure S9: NMR spectra of compound K-5b in reaction mixture; Figure S10: NMR spectra of compound 7 in product mixture; Figure S11: Decomposition of Li-5b in THF solution on warming up from −80 °C; Figure S12: NMR spectra measured for the reaction of 3b with MeLi in presence of 12-crown-4 and n-BuLi, followed by treatment with MeI; Cartesian coordinates and energies for all computed species; Table S1: Computed 31P chemical shifts (in ppm).
Author Contributions
Conceptualization, A.E.F. and R.S.; methodology, validation and formal analysis, T.T.; investigation, T.T., P.J. and A.S.; resources, A.E.F. and R.S.; data curation, A.E.F. and R.S.; writing—original draft preparation, including review and editing, A.E.F. and R.S.; supervision, R.S.; project administration, R.S.; funding acquisition, R.S. All authors have read and agreed to the published version of the manuscript.
Funding
This research was funded by the Deutsche Forschungsgemeinschaft, grant number STR 411/26-3 and STR 411/46-1.
Data Availability Statement
Data supporting the reported results can be found in the ESI.
Acknowledgments
We are grateful to Stefan Grimme in combination with the Mulliken Center (University of Bonn) and the Servicio de Cálculo Científico (University of Murcia) for technical support and the computational resources.
Conflicts of Interest
The authors declare no conflict of interest.
References
- Harris, G.S. The Reaction of Chloro(bistrifluoromethyl)phosphine with Amines and Ammonia. Proc. Chem. Soc. 1957, 105–128, 118–119. [Google Scholar] [CrossRef]
- Burg, A.B.; Slota, P.J. Dimethylaminodimethylphosphine. J. Am. Chem. Soc. 1958, 80, 1107–1109. [Google Scholar] [CrossRef]
- Sisler, H.; Smith, N. Some N-Substituted Aminodiphenylphosphines. J. Org. Chem. 1961, 26, 611–613. [Google Scholar] [CrossRef]
- Atkinson, L.K.; Smith, D.C. Molybdenum carbonyl complexes of (dialkylamino)-diphenylphosphines (R2NPPh2). J. Organomet. Chem. 1971, 33, 189–194. [Google Scholar] [CrossRef]
- Kroshefsky, R.D.; Verkade, J.G.; Pipal, J.R. Coordination properties of constrained aminophosphanes. Phosphorus Sulfur Relat. Elem. 1979, 6, 377–389. [Google Scholar] [CrossRef]
- Huttner, G.; Müller, H.-D. Stabilization of Unknown Phosphanes: Secondary Amino- and Alkoxyphosphanes as Complex Ligands. Angew. Chem. Int. Ed. Engl. 1975, 14, 571–572. [Google Scholar] [CrossRef]
- Marinetti, A.; Mathey, F. Stabilization of R-P(H)A species (A = OH, OR, S, NH2, NHR, NR2, Cl, Br, I) by complexation with chromium and tungsten pentacarbonyls. Organometallics 1982, 1, 1488–1492. [Google Scholar] [CrossRef]
- Mathey, F. Phospha-Organic Chemistry: Panorama and Perspectives. Angew. Chem. Int. Ed. Engl. 2003, 42, 1578–1604. [Google Scholar] [CrossRef]
- Wit, J.B.M.; de Jong, G.B.; Schakel, M.; Lutz, M.; Ehlers, A.W.; Slootweg, J.C.; Lammertsma, K. iPr2N–P=Fe(CO)4 in Olefinic Solvents: A Reservoir of a Transient Phosphinidene Complex Capable of Substrate Hopping. Organometallics 2016, 35, 1170–1176. [Google Scholar] [CrossRef]
- Niecke, E.; Ringel, G. Synthesis of a secondary aminophosphine. Angew. Chem. Int. Ed. Engl. 1977, 16, 486–487, Erratum in Angew. Chem. 1977, 89, 501–502. [Google Scholar] [CrossRef]
- Niecke, E.; Rüger, R. Bis(trimethylsilyl)aminophosphane. Angew. Chem. Int. Ed. Engl. 1982, 21, 62–71. [Google Scholar] [CrossRef]
- Duan, L.; Schnakenburg, G.; Daniels, J.; Streubel, R. P-OR functional phosphanido and/or Li/OR phosphinidenoid complexes? Eur. J. Inorg. Chem. 2012, 2012, 3490–3499. [Google Scholar] [CrossRef]
- Junker, P.; Qu, Z.-W.; Kalisch, T.; Schnakenburg, G.; Espinosa Ferao, A.; Streubel, R. A case study on the conversion of Li/Cl phosphinidenoid into phosphinidene complexes. Dalton Trans. 2021, 50, 739–745. [Google Scholar] [CrossRef] [PubMed]
- Schmer, A.; Volk, N.; Espinosa Ferao, A.; Streubel, R. Access and unprecedented reaction pathways of Li/Cl phosphinidenoid iron(0) complexes. Dalton Trans. 2019, 48, 339–345. [Google Scholar] [CrossRef] [PubMed]
- Majhi, P.K.; Kyri, A.W.; Schmer, A.; Schnakenburg, G.; Streubel, R. Synthesis and deprotonation of aminophosphane complexes: Potassium phosphinidenoid complexes and a new synthetic protocol for complexes with three-membered P-ring ligands. Chem. Eur. J. 2016, 22, 15413–15419. [Google Scholar] [CrossRef]
- Streubel, R.; Schmer, A.; Kyri, A.W.; Schnakenburg, G. 1,1′-Bifunctional Aminophosphane Complexes via N–H Bond Insertions of a Li/Cl Phosphinidenoid Complex and First Studies on N/P Mono Functionalizations. Organometallics 2017, 36, 1488–1495. [Google Scholar] [CrossRef]
- Schmer, A.; Terschüren, T.; Schnakenburg, G.; Espinosa Ferao, A.; Streubel, R. Access to 1,1′-Bifunctional Phosphane Iron(0) Complexes via P-N Bond-Forming Reactions and Selective P-Functionalizations. Eur. J. Inorg. Chem. 2019, 2019, 1604–1611. [Google Scholar] [CrossRef]
- Schmer, A.; Junker, P.; Espinosa Ferao, A.; Streubel, R. M/X Phosphinidenoid Metal Complex Chemistry. Acc. Chem. Res. 2021, 54, 1754–1765. [Google Scholar] [CrossRef]
- Streubel, R.; Kyri, A.W.; Duan, L.; Schnakenburg, G. Synthesis of Li/OR phosphinidenoid complexes: On the evidence for intramolecular O–Li donation and the effect of cation encapsulation. Dalton Trans. 2014, 43, 2088–2097. [Google Scholar] [CrossRef]
- Tolman, C.A. Steric effects of phosphorus ligands in organometallic chemistry and homogeneous catalysis. Chem. Rev. 1977, 77, 313–348. [Google Scholar] [CrossRef]
- Marinetti, A.; Bauer, S.; Ricard, L.; Mathey, F. The “Phospha-Wittig” Reaction: A New Method for Building Phosphorus Carbon Double and Single Bonds from Carbonyl Compounds. Organometallics 1990, 9, 793–798. [Google Scholar] [CrossRef]
- Neese, F. The ORCA program system. Wiley Interdiscip. Rev. Comput. Mol. Sci. 2012, 2, 73–78. [Google Scholar] [CrossRef]
- Tao, J.; Perdew, J.P.; Staroverov, V.N.; Scuseria, G.E. Climbing the Density Functional Ladder: Nonempirical Meta–Generalized Gradient Approximation Designed for Molecules and Solids. Phys. Rev. Lett. 2003, 91, 146401. [Google Scholar] [CrossRef] [PubMed] [Green Version]
- Grimme, S.; Antony, J.; Ehrlich, S.; Krieg, H. A consistent and accurate ab initio parametrization of density functional dispersion correction (DFT-D) for the 94 elements H-Pu. J. Chem. Phys. 2010, 132, 154104–154119. [Google Scholar] [CrossRef] [PubMed] [Green Version]
- Grimme, S.; Ehrlich, S.; Goerigk, L. Effect of the damping function in dispersion corrected density functional theory. J. Comput. Chem. 2011, 32, 1456–1465. [Google Scholar] [CrossRef]
- Weigend, F.; Häser, M.; Patzelt, H.; Ahlrichs, R. RI-MP2: Optimized auxiliary basis sets and demonstration of efficiency. Chem. Phys. Lett. 1998, 294, 143–152. [Google Scholar] [CrossRef]
- Weigend, F.; Ahlrichs, R. Balanced basis sets of split valence, triple zeta valence and quadruple zeta valence quality for H to Rn: Design and assessment of accuracy. Phys. Chem. Chem. Phys. 2005, 7, 3297–3305. [Google Scholar] [CrossRef]
- Weigend, F.; Furche, F.; Ahlrichs, R. Gaussian basis sets of quadruple zeta valence quality for atoms H–Kr. J. Chem. Phys. 2003, 119, 12753–12762. [Google Scholar] [CrossRef]
- Eichkorn, K.; Weigend, F.; Treutler, O.; Ahlrichs, R. Auxiliary basis sets for main row atoms and transition metals and their use to approximate Coulomb potentials. Theor. Chem. Acc. 1997, 97, 119–124. [Google Scholar] [CrossRef]
- Weigend, F. Accurate Coulomb-fitting basis sets for H to Rn. Phys. Chem. Chem. Phys. 2006, 8, 1057–1065. [Google Scholar] [CrossRef]
- Deglmann, P.; May, K.; Furche, F.; Ahlrichs, R. Nuclear second analytical derivative calculations using auxiliary basis set expansions. Chem. Phys. Lett. 2004, 384, 103–107. [Google Scholar] [CrossRef]
- Zhao, Y.; Truhlar, D.G. Design of Density Functionals That Are Broadly Accurate for Thermochemistry, Thermochemical Kinetics, and Nonbonded Interactions. J. Phys. Chem. A 2005, 109, 5656–5667. [Google Scholar] [CrossRef] [PubMed]
- Schreckenbach, G.; Ziegler, T. Calculation of NMR Shielding Tensors Using Gauge-Including Atomic Orbitals and Modern Density Functional Theory. J. Phys. Chem. 1995, 99, 606–611. [Google Scholar] [CrossRef]
- Fassbender, J.; Schnakenburg, G.; Espinosa Ferao, A.; Streubel, R. Effects of diminished steric protection at phosphorus on stability and reactivity of oxaphosphirane complexes. Dalton Trans. 2018, 47, 9347–9354. [Google Scholar] [CrossRef] [PubMed]
- Müller, T.E.; Mingos, D.M.P. Determination of the Tolman cone angle from parameters and a statistical analysis using the Data Base. Transit. Met. Chem. 1995, 20, 533–539. [Google Scholar] [CrossRef]
Publisher’s Note: MDPI stays neutral with regard to jurisdictional claims in published maps and institutional affiliations. |
© 2022 by the authors. Licensee MDPI, Basel, Switzerland. This article is an open access article distributed under the terms and conditions of the Creative Commons Attribution (CC BY) license (https://creativecommons.org/licenses/by/4.0/).




