Efficient Numerical Modeling of Oil-Immersed Transformers: Simplified Approaches to Conjugate Heat Transfer Simulation
Abstract
1. Introduction
2. Development of Simplified Conjugate Heat Transfer Models for Oil-Immersed Power Transformer
2.1. Model Geometry Description
2.2. Different Types of Numerical Models
2.3. Material Properties
2.4. Governing Equations
2.5. Boundary Conditions
2.6. Meshing and Computational Information
3. Results
3.1. Study of Settings of Uniform Structured Mesh Without Explicit Resolution of Thermal Boundary Layer for Model #1
3.2. Study of Settings of Non-Uniform Structured Mesh Taken into Simulation of Explicit Resolution of Thermal Boundary Layer for Model #1
3.3. Domain Extension Study: Influence on Numerical Modeling
4. Discussion
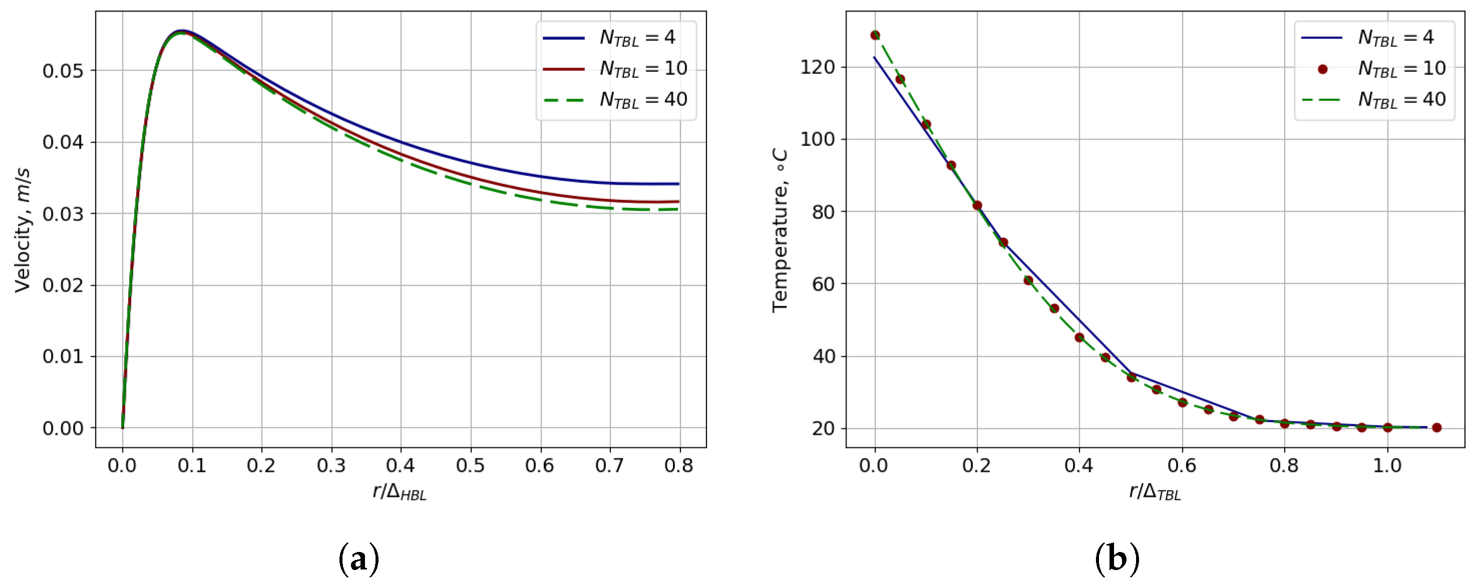
- The number of elements in the thermal boundary layer is . This parameter has a significant influence on both thermal and hydrodynamic designs, as reflected in the accurate temperature values obtained.
- The number of elements needed to resolve core flow is . The parameter reflects a weak influence on thermal design and does not introduce an impact on the hydrodynamic one.
- The number of elements in the solid parts is in the radial direction. The parameter reflects a weak influence on both thermal and hydrodynamic calculations.
- The number of elements in the solid parts is in the azimuthal direction. This parameter has a significant influence on hydrodynamic calculation.
| Type of Mesh | Heat Coefficient | Temperature, °C | Velocity, mm/s | |||
|---|---|---|---|---|---|---|
| HV | LV | Left | Middle | Right | ||
| Mesh # 1 from Section 3.1 | 31 | 29 | 12 | 20 | 9 | |
| 100 | 80 | 38 | 50 | 20 | ||
| Mesh # 2 from Section 3.2 | 33.6 | 30 | 10 | 15 | 5 | |
| 120 | 100 | 35 | 40 | 17 | ||
- For model #1, 1–2 min.
- For model #2, 2–4 h.
- For model #3, 10–13 h.
5. Conclusions
Author Contributions
Funding
Institutional Review Board Statement
Data Availability Statement
Conflicts of Interest
References
- Zhang, X.; Liu, Q.; Wang, Z.; Wilkinson, M. Comparisons of transformer thermal behaviours between conventional disc type and S disc type windings. IET Gener. Transm. Distrib. 2021, 16, 703–714. [Google Scholar] [CrossRef]
- Hill, J.; Wang, Z.; Liu, Q.; Krause, C.; Wilson, G. Analysing the Power Transformer Temperature Limitation for Bubble Formation. High Voltage 2019, 4, 210–216. [Google Scholar] [CrossRef]
- Koch, M.; Tenbohlen, S. Evolution of bubbles in oil-paper insulation influenced by material quality and ageing. Electr. Power Appl. IET 2011, 5, 168–174. [Google Scholar] [CrossRef]
- Smolyanov, I.; Shmakov, E.; Butusov, D.; Khalyasmaa, A.I. Review of Modeling Approaches for Conjugate Heat Transfer Processes in Oil-Immersed Transformers. Computation 2024, 12, 97. [Google Scholar] [CrossRef]
- Smolyanov, I.; Shmakov, E.; Lapin, A. Numerical Simulation of Natural Convection in the Power Transformer. In Proceedings of the 2023 International Russian Automation Conference (RusAutoCon), Sochi, Russia, 10–16 September 2023; pp. 936–941. [Google Scholar] [CrossRef]
- Wu, T.; Yang, F.; Farooq, U.; Li, X.; Jiang, J. An online learning method for constructing self-update digital twin model of power transformer temperature prediction. Appl. Therm. Eng. 2024, 237, 121728. [Google Scholar] [CrossRef]
- Wang, Z.; Bak, C.L.; Sørensen, H.; da Silva, F.F.; Wang, Q. Digital Twin Modeling and Simulation of the High-frequency Transformer Based on Electromagnetic-thermal Coupling Analysis. In Proceedings of the 2022 21st IEEE Intersociety Conference on Thermal and Thermomechanical Phenomena in Electronic Systems (iTherm), San Diego, CA, USA, 31 May—3 June 2022; pp. 1–7. [Google Scholar] [CrossRef]
- Swift, G.; Molinski, T.S.; Lehn, W. A fundamental approach to transformer thermal modeling. I. Theory and equivalent circuit. IEEE Trans. Power Deliv. 2001, 16, 171–175. [Google Scholar] [CrossRef]
- Swift, G.; Molinski, T.S.; Bray, R.; Menzies, R. A fundamental approach to transformer thermal modeling. II. Field verification. IEEE Trans. Power Deliv. 2001, 16, 176–180. [Google Scholar] [CrossRef]
- Tang, W.; Wu, Q.; Richardson, Z. A simplified transformer thermal model based on thermal-electric analogy. IEEE Trans. Power Deliv. 2004, 19, 1112–1119. [Google Scholar] [CrossRef]
- Susa, D.; Lehtonen, M.; Nordman, H. Dynamic thermal modelling of power transformers. IEEE Trans. Power Deliv. 2004, 20, 197–204. [Google Scholar] [CrossRef]
- Zhang, X.; Wang, Z. Assessment of Hydraulic Network Models in Predicting Reverse Flows in OD Cooled Disc Type Transformer Windings. IEEE Access 2019, 7, 139249–139257. [Google Scholar] [CrossRef]
- Lecuna, R.; Delgado, F.; Ortiz, A.; Castro, P.B.; Fernandez, I.; Renedo, C.J. Thermal-fluid characterization of alternative liquids of power transformers: A numerical approach. IEEE Trans. Dielectr. Electr. Insul. 2015, 22, 2522–2529. [Google Scholar] [CrossRef]
- Daghrah, M.; Zhang, X.; Wang, Z.; Liu, Q.; Jarman, P.; Walker, D. Flow and temperature distributions in a disc type winding-part I: Forced and directed cooling modes. Appl. Therm. Eng. 2020, 165, 114653. [Google Scholar] [CrossRef]
- Meyer, O.H.; Lervåg, K.Y.; Ervik, Å. A multiscale porous–resolved methodology for efficient simulation of heat and fluid transport in complex geometries, with application to electric power transformers. Appl. Therm. Eng. 2021, 183, 116133. [Google Scholar] [CrossRef]
- Zhang, X.; Wang, Z.; Liu, Q.; Jarman, P.; Negro, M. Numerical investigation of oil flow and temperature distributions for ON transformer windings. Appl. Therm. Eng. 2018, 130, 1–9. [Google Scholar] [CrossRef]
- Zhang, X.; Daghrah, M.; Wang, Z.; Liu, Q. Flow and temperature distributions in a disc type winding-Part II: Natural cooling modes. Appl. Therm. Eng. 2020, 165, 114616. [Google Scholar] [CrossRef]
- Liu, G.; Hu, W.; Hao, S.; Gao, C.; Liu, Y.; Wu, W.; Li, L. A fast computational method for internal temperature field in Oil-Immersed power transformers. Appl. Therm. Eng. 2024, 236, 121558. [Google Scholar] [CrossRef]
- Wang, L.; Dong, X.; Jing, L.; Li, T.; Zhao, H.; Zhang, B. Research on digital twin modeling method of transformer temperature field based on POD. Energy Rep. 2023, 9, 299–307. [Google Scholar] [CrossRef]
- Yang, F.; Wu, T.; Jiang, H.; Jiang, J.; Hao, H.; Zhang, L. A new method for transformer hot-spot temperature prediction based on dynamic mode decomposition. Case Stud. Therm. Eng. 2022, 37, 102268. [Google Scholar] [CrossRef]
- Garelli, L.; Ríos Rodriguez, G.; Storti, M.; Granata, D.; Amadei, M.; Rossetti, M. Reduced model for the thermo-fluid dynamic analysis of a power transformer radiator working in ONAF mode. Appl. Therm. Eng. 2017, 124, 855–864. [Google Scholar] [CrossRef]
- Rodriguez, G.R.; Garelli, L.; Storti, M.; Granata, D.; Amadei, M.; Rossetti, M. Numerical and experimental thermo-fluid dynamic analysis of a power transformer working in ONAN mode. Appl. Therm. Eng. 2017, 112, 1271–1280. [Google Scholar] [CrossRef]
- Li, P.; Zhang, S.; Zhu, M.; Li, Y. Hot spot prediction based on SVM and multi-physical field coupling. In Proceedings of the 4th International Conference on Information Science, Electrical, and Automation Engineering (ISEAE 2022), Hangzhou, China, 25–27 March 2022; Wang, L., Cen, M.M., Eds.; International Society for Optics and Photonics, SPIE: Bellingham, WA, USA, 2022; Volume 12257, p. 1225714. [Google Scholar] [CrossRef]
- Bragone, F.; Morozovska, K.; Hilber, P.; Laneryd, T.; Luvisotto, M. Physics-informed neural networks for modelling power transformer’s dynamic thermal behaviour. Electr. Power Syst. Res. 2022, 211, 108447. [Google Scholar] [CrossRef]
- Das, A.K.; Chatterjee, S. Finite element method-based modelling of flow rate and temperature distribution in an oil-filled disc-type winding transformer using COMSOL multiphysics. IET Electr. Power Appl. 2017, 11, 664–673. [Google Scholar] [CrossRef]
- Torriano, F.; Picher, P.; Chaaban, M. Numerical investigation of 3D flow and thermal effects in a disc-type transformer winding. Appl. Therm. Eng. 2012, 40, 121–131. [Google Scholar] [CrossRef]
- Kulkarni, S.V.; Kumbhar, G.B. Analysis of Short Circuit Performance of Split-Winding Transformer Using Coupled Field-Circuit Approach. In Proceedings of the 2007 IEEE Power Engineering Society General Meeting, Tampa, FL, USA, 24–28 June 2007; p. 1. [Google Scholar] [CrossRef]
- Zhao, S.; Liu, Q.; Wilkinson, M.; Wilson, G.; Wang, Z. A Reduced Radiator Model for Simplification of ONAN Transformer CFD Simulation. IEEE Trans. Power Deliv. 2022, 37, 4007–4018. [Google Scholar] [CrossRef]
- Stebel, M.; Kubiczek, K.; Rios Rodriguez, G.; Palacz, M.; Garelli, L.; Melka, B.; Haida, M.; Bodys, J.; Nowak, A.J.; Lasek, P.; et al. Thermal analysis of 8.5 MVA disk-type power transformer cooled by biodegradable ester oil working in ONAN mode by using advanced EMAG–CFD–CFD coupling. Int. J. Electr. Power Energy Syst. 2022, 136, 107737. [Google Scholar] [CrossRef]
- Barros, R.M.; da Costa, E.G.; Araujo, J.F.; de Andrade, F.L.; Ferreira, T.V. Contribution of inrush current to mechanical failure of power transformers windings. High Volt. 2019, 4, 300–307. [Google Scholar] [CrossRef]
- Fernández, I.; Delgado, F.; Ortiz, F.; Ortiz, A.; Fernández, C.; Renedo, C.J.; Santisteban, A. Thermal degradation assessment of Kraft paper in power transformers insulated with natural esters. Appl. Therm. Eng. 2016, 104, 129–138. [Google Scholar] [CrossRef]
- Yuan, F.T.; Wang, Y.; Tang, B.; Yang, W.T.; Jiang, F.; Han, Y.L.; Han, S.S.; Ding, C. Heat dissipation performance analysis and structural parameter optimization of oil-immersed transformer based on flow-thermal coupling finite element method. Therm. Sci. 2022, 26, 3241–3253. [Google Scholar] [CrossRef]
- Altay, R.; Santisteban, A.; Olmo, C.; Renedo, C.J.; Fernandez, A.O.; Ortiz, F.; Delgado, F. Use of Alternative Fluids in Very High-Power Transformers: Experimental and Numerical Thermal Studies. IEEE Access 2020, 8, 207054–207062. [Google Scholar] [CrossRef]
- Luo, C.; Zhao, Z.G.; Wang, Y.Y.; Liang, K.; Zhang, J.H.; Li, Y.N.; Li, C. Influence of insulation paper on the hot spot temperature of oil-immersed transformer winding. Mod. Phys. Lett. B 2021, 35, 2140021. [Google Scholar] [CrossRef]
- Kundu, P.K.; Cohen, I.M.; Dowling, D.R. Chapter 4—Conservation Laws. In Fluid Mechanics, 6th ed.; Kundu, P.K., Cohen, I.M., Dowling, D.R., Eds.; Academic Press: Boston, MA, USA, 2016; pp. 109–193. [Google Scholar] [CrossRef]
- Córdoba, P.A.; Dari, E.; Silin, N. A 3D numerical model of an ONAN distribution transformer. Appl. Therm. Eng. 2019, 148, 897–906. [Google Scholar] [CrossRef]
- Tsili, M.A.; Amoiralis, E.I.; Kladas, A.G.; Souflaris, A.T. Power transformer thermal analysis by using an advanced coupled 3D heat transfer and fluid flow FEM model. Int. J. Therm. Sci. 2012, 53, 188–201. [Google Scholar] [CrossRef]
- Liu, G.; Zheng, Z.; Yuan, D.; Li, L.; Wu, W. Simulation of Fluid-Thermal Field in Oil-Immersed Transformer Winding Based on Dimensionless Least-Squares and Upwind Finite Element Method. Energies 2018, 11, 2357. [Google Scholar] [CrossRef]
- Zhang, X.; Wang, Z.; Liu, Q. Interpretation of Hot Spot Factor for Transformers in OD Cooling Modes. IEEE Trans. Power Deliv. 2018, 33, 1071–1080. [Google Scholar] [CrossRef]


















| Symbol | Value | Description |
|---|---|---|
| 370 mm | The radius of the core | |
| 417 mm | The internal radius of the LV coils | |
| 488 mm | The external radius of the LV coils | |
| 546 mm | The internal radius of the HV coils | |
| 642 mm | The external radius of the HV coils | |
| 58 mm | The width of right channel | |
| 58 mm | The width of nozzles and pipe branch | |
| 1660 mm | The height of windings and core | |
| 800 mm | The height of extra domain |
| Marker of the Model | Including Domains |
|---|---|
| Model #1 | Core, HV and LV windings, left, right and middle channels |
| Model #2 | Model #1 domains and extra domain |
| Model #3 | Model #2 domains and pipe branch domain |
| Materials | Winding | Core | Oil |
|---|---|---|---|
| Mass density, kg/m3 | 8940 | 7550 | 879 |
| Heat capacity, J/(kg·K) | 385 | 446 | 1711 |
| Thermal conductivity, W/(m·K) | 407 | 72 | 0.11 |
| Dynamic viscosity, Pa·s | - | - | 0.02 |
| Heat Coefficient | Comparing Model | LV | HV | ||
|---|---|---|---|---|---|
| Absolute | Relative | Absolute | Relative | ||
| Model #1 | 0.2 | 0.6% | 1 | 3% | |
| Model #2 | 0.05 | 0.2% | 0.1 | 0.2% | |
| Model #1 | 4.25 | 7% | 8 | 11% | |
| Model #2 | 1 | 1.6% | 5 | 7% | |
| Model #1 | 11 | 12.5% | 21 | 20% | |
| Model #2 | 3 | 3.5% | 10 | 10% | |
Disclaimer/Publisher’s Note: The statements, opinions and data contained in all publications are solely those of the individual author(s) and contributor(s) and not of MDPI and/or the editor(s). MDPI and/or the editor(s) disclaim responsibility for any injury to people or property resulting from any ideas, methods, instructions or products referred to in the content. |
© 2024 by the authors. Licensee MDPI, Basel, Switzerland. This article is an open access article distributed under the terms and conditions of the Creative Commons Attribution (CC BY) license (https://creativecommons.org/licenses/by/4.0/).
Share and Cite
Smolyanov, I.; Shmakov, E. Efficient Numerical Modeling of Oil-Immersed Transformers: Simplified Approaches to Conjugate Heat Transfer Simulation. Modelling 2024, 5, 1865-1888. https://doi.org/10.3390/modelling5040097
Smolyanov I, Shmakov E. Efficient Numerical Modeling of Oil-Immersed Transformers: Simplified Approaches to Conjugate Heat Transfer Simulation. Modelling. 2024; 5(4):1865-1888. https://doi.org/10.3390/modelling5040097
Chicago/Turabian StyleSmolyanov, Ivan, and Evgeniy Shmakov. 2024. "Efficient Numerical Modeling of Oil-Immersed Transformers: Simplified Approaches to Conjugate Heat Transfer Simulation" Modelling 5, no. 4: 1865-1888. https://doi.org/10.3390/modelling5040097
APA StyleSmolyanov, I., & Shmakov, E. (2024). Efficient Numerical Modeling of Oil-Immersed Transformers: Simplified Approaches to Conjugate Heat Transfer Simulation. Modelling, 5(4), 1865-1888. https://doi.org/10.3390/modelling5040097

