Noble Metal-Based Catalysts for Selective Oxidation of HMF to FDCA: Progress in Reaction Mechanism and Active Sites
Abstract
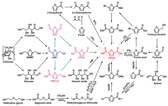
1. Introduction

2. Reaction Mechanism
2.1. Oxidation in Alkaline Solution via HMFCA Pathway
2.2. Oxidation Under Alkali-Free Conditions via DFF Pathway
3. Structure–Activity Relationship of Noble Metal-Based Catalysts
3.1. Metal Active Sites
3.2. Geometrical Effect of Metal Sites
3.3. Metal–Support Interactions

3.4. Confinement Effect
4. Summary
- (1)
- For clarifying the role of the catalytic mechanism of bifunctional or multifunctional sites on the HMF oxidation reaction, controllable synthesis and distinguishing the active sites for the reaction is still challenging. Advanced in situ characterization technologies, together with DFT calculation, have been used to clarify the reaction pathways. However, the tandem conversion process is so complex that it is difficult to obtain accurate structural information by one means of characterization alone, and may not be realized by calculation. The chemical states and coordination environment of the metal species and oxygen species may change in the reaction process. In particular, in the frequently reported liquid-phase reaction systems, noble metal catalysts often suffer from metal leaching or poisoning deactivation. Thus, in future research, more effects should be devoted to the development of in situ or operando characterization techniques.
- (2)
- The selective oxidation of HMF over the noble metal-based catalyst has been frequently reported in the last few years. However, many challenges remain to be addressed. In fact, a reduction in noble metal loading is desired, as the noble metal loading reported for Pt-, Pd-, Ru-, and Au-based catalysts is generally high (>0.5 wt.%). Non-noble metals are more prone to low activity and selectivity under the as-reported reaction process. So far, non-noble metal catalysts, especially those with high activity and stability, are still rarely reported. Thus, the screening and design of ultra-small non-noble metal clusters or single non-noble metal atoms should be significant for developing efficient non-noble metal catalysts. In particular, single non-noble metal atom catalysts have been realized via selective oxidation. On the other hand, the alloying of a noble metal with a second metal is an effective strategy to reduce the amount of noble metal. Moreover, some intermetallic compounds (nitrides, carbides, and phosphides, etc.) as well as high-entropy alloys, which possess similar characters to noble metals, will be promising candidates.
Author Contributions
Funding
Data Availability Statement
Conflicts of Interest
References
- Jing, Y.; Guo, Y.; Xia, Q.; Liu, X.; Wang, Y. Catalytic Production of Value-Added Chemicals and Liquid Fuels from Lignocellulosic Biomass. Chem 2019, 5, 2520–2546. [Google Scholar] [CrossRef]
- Wu, X.; Zhai, Z.; Wu, J.; Tan, K.; Li, Z.; Yin, S. Modulation of hydroxymethyl/aldehyde groups activation on V2O3 decorated CuCo for 5-hydroxymethylfurfural electrooxidation. Chem. Eng. J. 2024, 485, 149774. [Google Scholar] [CrossRef]
- Cai, J.; Li, K.; Wu, S. Recent advances in catalytic conversion of biomass derived 5-hydroxymethylfurfural into 2,5-furandicarboxylic acid. Biomass Bioenergy 2022, 158, 106358. [Google Scholar] [CrossRef]
- Li, J.; Zhao, R.; Xu, Y.; Wu, X.; Bean, S.R.; Wang, D. Fuel ethanol production from starchy grain and other crops: An overview on feedstocks, affecting factors, and technical advances. Renew. Energy 2022, 188, 223–239. [Google Scholar] [CrossRef]
- Manikandan, S.; Subbaiya, R.; Biruntha, M.; Krishnan, R.Y.; Muthusamy, G.; Karmegam, N. Recent development patterns, utilization and prospective of biofuel production: Emerging nanotechnological intervention for environmental sustainability – A review. Fuel 2022, 314, 122757. [Google Scholar] [CrossRef]
- Mathew, G.M.; Raina, D.; Narisetty, V.; Kumar, V.; Saran, S.; Pugazhendi, A.; Sindhu, R.; Pandey, A.; Binod, P. Recent advances in biodiesel production: Challenges and solutions. Sci. Total Environ. 2021, 794, 148751. [Google Scholar] [CrossRef]
- Masera, K.; Hossain, A.K. Advancement of biodiesel fuel quality and NOx emission control techniques. Renew. Sustain. Energy Rev. 2023, 178, 113235. [Google Scholar] [CrossRef]
- Cousin, E.; Namhaed, K.; Pérès, Y.; Cognet, P.; Delmas, M.; Hermansyah, H.; Gozan, M.; Alaba, P.A.; Aroua, M.K. Towards efficient and greener processes for furfural production from biomass: A review of the recent trends. Sci. Total Environ. 2022, 847, 157599. [Google Scholar] [CrossRef]
- Racha, A.; Samanta, C.; Sreekantan, S.; Marimuthu, B. Review on Catalytic Hydrogenation of Biomass-Derived Furfural to Furfuryl Alcohol: Recent Advances and Future Trends. Energy Fuels 2023, 37, 11475–11496. [Google Scholar] [CrossRef]
- Liu, H.; Tang, X.; Zeng, X.; Sun, Y.; Ke, X.; Li, T.; Zhang, J.; Lin, L. Catalyst design strategy toward the efficient heterogeneously-catalyzed selective oxidation of 5-hydroxymethylfurfural. Green Energy Environ. 2022, 7, 900–932. [Google Scholar] [CrossRef]
- Prajapati, A.; Govindarajan, N.; Sun, W.; Huang, J.; Bemana, H.; Feaster, J.T.; Akhade, S.A.; Kornienko, N.; Hahn, C. Mechanistic Insights into the Electrochemical Oxidation of 5-Hydroxymethylfurfural on a Thin-Film Ni Anode. ACS Catal. 2024, 14, 10122–10131. [Google Scholar] [CrossRef]
- Yang, L.; Liu, J.; Cheng, F.; Zhou, S.; Xu, Q.; Yin, D.; Liu, X. V-doped MoO3 nanorods for highly selective oxidation of 5-hydroxymethylfurfural to bio-monomer 2, 5-furandicarboxylic acid. Renew. Energy 2024, 226, 120409. [Google Scholar] [CrossRef]
- Wang, W.; Xu, H.; Sang, T.; Ji, D.; Hao, J.; Li, Z. CuO–Ni(OH)2 heterostructure nanosheets: A high-performance electrocatalyst for 5-hydroxymethylfurfural oxidation. Chem. Commun. 2024, 60, 4214–4217. [Google Scholar] [CrossRef] [PubMed]
- Chen, B.; Abe, Y.; Guo, H.; Lee Smith, R. Selective oxidation of 5-hydroxymethylfurfural over MnOx-CeO2 catalyst prepared with co-precipitation method. Fuel 2024, 376, 132745. [Google Scholar] [CrossRef]
- Wang, J.-G.; Liu, X.-Q.; Zhu, J. From Furan to High Quality Bio-based Poly(ethylene furandicarboxylate). Chin. J. Polym. Sci. 2018, 36, 720–727. [Google Scholar] [CrossRef]
- Bielski, R.; Grynkiewicz, G. Furan platform chemicals beyond fuels and plastics. Green Chem. 2021, 23, 7458–7487. [Google Scholar] [CrossRef]
- Lai, J.; Cheng, F.; Zhou, S.; Wen, S.; Guo, D.; Zhao, W.; Liu, X.; Yin, D. Base-free oxidation of 5-hydroxymethylfurfural to 2, 5-furan dicarboxylic acid over nitrogen-containing polymers supported Cu-doped MnO2 nanowires. Appl. Surf. Sci. 2021, 565, 150479. [Google Scholar] [CrossRef]
- Yue, X.; Queneau, Y. 5-Hydroxymethylfurfural and Furfural Chemistry Toward Biobased Surfactants. ChemSusChem 2022, 15, e202102660. [Google Scholar] [CrossRef]
- Anbu Anjugam Vandarkuzhali, S.; Karthikeyan, G.; Pachamuthu, M.P. Efficient oxidation of 5-Hydroxymethylfurfural to 2,5-furandicarboxylic acid over FeNPs@NH2-SBA-15 catalyst in water. Mol. Catal. 2021, 516, 111951. [Google Scholar] [CrossRef]
- Xia, H.; Xu, S.; Hu, H.; An, J.; Li, C. Efficient conversion of 5-hydroxymethylfurfural to high-value chemicals by chemo- and bio-catalysis. RSC Adv. 2018, 8, 30875–30886. [Google Scholar] [CrossRef]
- Hu, L.; Lin, L.; Wu, Z.; Zhou, S.; Liu, S. Recent advances in catalytic transformation of biomass-derived 5-hydroxymethylfurfural into the innovative fuels and chemicals. Renew. Sustain. Energy Rev. 2017, 74, 230–257. [Google Scholar] [CrossRef]
- Agarwal, B.; Kailasam, K.; Sangwan, R.S.; Elumalai, S. Traversing the history of solid catalysts for heterogeneous synthesis of 5-hydroxymethylfurfural from carbohydrate sugars: A review. Renew. Sustain. Energy Rev. 2018, 82, 2408–2425. [Google Scholar] [CrossRef]
- Pang, X.; Bai, H.; Zhao, H.; Fan, W.; Shi, W. Efficient Electrocatalytic Oxidation of 5-Hydroxymethylfurfural Coupled with 4-Nitrophenol Hydrogenation in a Water System. ACS Catal. 2022, 12, 1545–1557. [Google Scholar] [CrossRef]
- Sayed, M.; Pyo, S.-H.; Rehnberg, N.; Hatti-Kaul, R. Selective Oxidation of 5-Hydroxymethylfurfural to 5-Hydroxymethyl-2-furancarboxylic Acid Using Gluconobacter oxydans. ACS Sustain. Chem. Eng. 2019, 7, 4406–4413. [Google Scholar] [CrossRef]
- Zhou, P.; Pan, H.; Hai, G.; Liu, X.; Huang, X.; Wang, G. Expediting *OH accumulation kinetics on metal-organic frameworks-derived CoOOH with CeO2 “accelerator” for electrocatalytic 5-hydroxymethylfurfural oxidation valorization. J. Energy Chem. 2024, 98, 721–732. [Google Scholar] [CrossRef]
- Román-Leshkov, Y.; Chheda, J.N.; Dumesic, J.A. Phase Modifiers Promote Efficient Production of Hydroxymethylfurfural from Fructose. Science 2006, 312, 1933–1937. [Google Scholar] [CrossRef]
- Giannakoudakis, D.A.; Colmenares, J.C.; Tsiplakides, D.; Triantafyllidis, K.S. Nanoengineered Electrodes for Biomass-Derived 5-Hydroxymethylfurfural Electrocatalytic Oxidation to 2,5-Furandicarboxylic Acid. ACS Sustain. Chem. Eng. 2021, 9, 1970–1993. [Google Scholar] [CrossRef]
- Yang, M.; Yuan, Z.; Peng, R.; Wang, S.; Zou, Y. Recent Progress on Electrocatalytic Valorization of Biomass-Derived Organics. Energy Environ. Mater. 2022, 5, 1117–1138. [Google Scholar] [CrossRef]
- Cheng, S.; Zhong, H.; Jin, F. A mini review of electrocatalytic upgrading of carbohydrate biomass—System, path, and optimization. Energy Sci. Eng. 2023, 11, 2944–2965. [Google Scholar] [CrossRef]
- Upare, P.P.; Clarence, R.E.; Shin, H.; Park, B.G. An Overview on Production of Lignocellulose-Derived Platform Chemicals Such as 5-Hydroxymethyl Furfural, Furfural, Protocatechuic Acid. Processes 2023, 11, 2912. [Google Scholar] [CrossRef]
- Wang, Y.; Wang, H.; Kong, X.; Zhu, Y. Catalytic Conversion of 5-Hydroxymethylfurfural to High-Value Derivatives by Selective Activation of C−O, C=O, and C=C Bonds. ChemSusChem 2022, 15, e202200421. [Google Scholar] [CrossRef] [PubMed]
- Song, Z.; Liu, L.; Zhu, X.; Ren, Z.; Bai, J. Cobalt-based catalysts for catalytic oxidation of biomass-derived 5-Hydromethylfurfural to value-added chemicals. Renew. Sustain. Energy Rev. 2024, 189, 114003. [Google Scholar] [CrossRef]
- Deshan, A.D.K.; Atanda, L.; Moghaddam, L.; Rackemann, D.W.; Beltramini, J.; Doherty, W.O.S. Heterogeneous Catalytic Conversion of Sugars Into 2,5-Furandicarboxylic Acid. Front. Chem. 2020, 8. [Google Scholar] [CrossRef]
- Lin, Z.; Chen, X.; Lu, L.; Yao, X.; Zhai, C.; Tao, H. Recent advances in electrocatalytic oxidation of 5-hydroxymethylfurfural to 2,5-furandicarboxylic acid: Mechanism, catalyst, coupling system. Nanotechnol. Rev. 2023, 12. [Google Scholar] [CrossRef]
- Gawade, A.B.; Nakhate, A.V.; Yadav, G.D. Selective synthesis of 2, 5-furandicarboxylic acid by oxidation of 5-hydroxymethylfurfural over MnFe2O4 catalyst. Catal. Today 2018, 309, 119–125. [Google Scholar] [CrossRef]
- Verma, S.; Nadagouda, M.N.; Varma, R.S. Porous nitrogen-enriched carbonaceous material from marine waste: Chitosan-derived carbon nitride catalyst for aerial oxidation of 5-hydroxymethylfurfural (HMF) to 2,5-furandicarboxylic acid. Sci. Rep. 2017, 7, 13596. [Google Scholar] [CrossRef]
- Li, X.; Zhu, R. Solvent-promoted and acid- controlled selectivity oxidation of 5-hydroxymethylfurfural over metal-free TEMPO catalyst. Appl. Catal. A Gen. 2022, 636, 118600. [Google Scholar] [CrossRef]
- Wu, J.; Xie, W.; Zhang, Y.; Ke, X.; Li, T.; Fang, H.; Sun, Y.; Zeng, X.; Lin, L.; Tang, X. Oxygen-vacancy-rich MnOx supported RuOx for efficient base-free oxidation of 5-hydroxymethylfurfural and 5-methoxymethylfurfural to 2,5-furandicarboxylic acid. J. Energy Chem. 2024, 95, 670–683. [Google Scholar] [CrossRef]
- Zhao, S.; Wang, K.; Mao, S.; Yang, B.; Zhao, Y. Toward Maximizing the Ag–CeO2 Interface and Rich Oxygen Vacancies for Efficient Photocatalytic Oxidation of 5-Hydroxymethylfurfural. ACS Sustain. Chem. Eng. 2025. [Google Scholar] [CrossRef]
- Cavallo, M.; Ramadhan, Z.R.; Somerville, S.V.; Han, E.; Webster, R.F.; Cheong, S.; Baldino, S.; Lessio, M.; Gooding, J.J.; Tilley, R.D. Enhancing the Electrocatalytic Oxidation of 5-Hydroxymethylfurfural (HMF) via Metallic Cobalt in Au–Co Nanoparticles. J. Phys. Chem. C 2025. [Google Scholar] [CrossRef]
- Chen, S.; Guo, X.; Ban, H.; Pan, T.; Zheng, L.; Cheng, Y.; Wang, L.; Li, X. Reaction Mechanism and Kinetics of the Liquid-Phase Oxidation of 5-Hydroxymethylfurfural to 2,5-Furandicarboxylic Acid. Ind. Eng. Chem. Res. 2021, 60, 16887–16898. [Google Scholar] [CrossRef]
- Chen, C.; Lv, M.; Hu, H.; Huai, L.; Zhu, B.; Fan, S.; Wang, Q.; Zhang, J. 5-Hydroxymethylfurfural and its Downstream Chemicals: A Review of Catalytic Routes. Adv. Mater. 2024, 36, 2311464. [Google Scholar] [CrossRef] [PubMed]
- Yang, X.; Zhang, Y.; Sun, P.; Peng, C. A review on renewable energy: Conversion and utilization of biomass. Smart Mol. 2024, 2, e20240019. [Google Scholar] [CrossRef]
- Kay Lup, A.N.; Abnisa, F.; Daud, W.M.A.W.; Aroua, M.K. A review on reaction mechanisms of metal-catalyzed deoxygenation process in bio-oil model compounds. Appl. Catal. A Gen. 2017, 541, 87–106. [Google Scholar] [CrossRef]
- Zhang, D.; Dumont, M.-J. Advances in polymer precursors and bio-based polymers synthesized from 5-hydroxymethylfurfural. J. Polym. Sci. Part A Polym. Chem. 2017, 55, 1478–1492. [Google Scholar] [CrossRef]
- Liu, Y.; Chen, Y.; Li, Y.; Guan, W.; Xia, Q.; Cao, M.; Huo, P.; Zhang, Y. Oxygen vacancy-driven strong metal-support interactions on AuPd/TiO2 catalysts for high-efficient air-oxidation of 5-hydroxymethylfurfural. Chem. Eng. J. 2023, 476, 146874. [Google Scholar] [CrossRef]
- Lu, X.; Wu, K.-H.; Zhang, B.; Chen, J.; Li, F.; Su, B.-J.; Yan, P.; Chen, J.-M.; Qi, W. Highly Efficient Electro-reforming of 5-Hydroxymethylfurfural on Vertically Oriented Nickel Nanosheet/Carbon Hybrid Catalysts: Structure–Function Relationships. Angew. Chem. Int. Ed. 2021, 60, 14528–14535. [Google Scholar] [CrossRef]
- Zhang, Y.; Liu, Y.; Guan, W.; Cao, M.; Chen, Y.; Huo, P. Strong metal-support interaction between AuPd nanoparticles and oxygen-rich defect ZrO2 for enhanced catalytic 5-hydroxymethylfurfural oxidation. Chin. Chem. Lett. 2024, 35, 108932. [Google Scholar] [CrossRef]
- Liao, W.; Lin, H.; Zhang, J.; Wang, J.; Yang, K.; Su, T.; Lü, H.; Zhu, Z. Au/Sn-Beta catalyst with metal-Lewis acid cooperative sites steers aerobic oxidation of 5-hydroxymethylfurfural. Appl. Surf. Sci. 2023, 608, 155154. [Google Scholar] [CrossRef]
- Wang, Y.; Yu, K.; Lei, D.; Si, W.; Feng, Y.; Lou, L.-L.; Liu, S. Basicity-Tuned Hydrotalcite-Supported Pd Catalysts for Aerobic Oxidation of 5-Hydroxymethyl-2-furfural under Mild Conditions. ACS Sustain. Chem. Eng. 2016, 4, 4752–4761. [Google Scholar] [CrossRef]
- Zhao, D.; Su, T.; Len, C.; Luque, R.; Yang, Z. Recent advances in the oxidative esterification of 5-hydroxymethylfurfural to furan-2,5-dimethylcarboxylate. Green Chem. 2022, 24, 6782–6789. [Google Scholar] [CrossRef]
- Rao, B.S.; Hidajat, M.J.; Yun, G.-N.; Hwang, D.W. Highly active and stable Ru–(OH)-based catalysts supported on Ni–manganite for the base-free aerobic oxidation of 5-hydroxymethyl furfural to 2,5-furan dicarboxylic acid in a noble water–organic solvent system. Catal. Sci. Technol. 2023, 13, 6921–6936. [Google Scholar] [CrossRef]
- Cui, X.; Zheng, L.; Li, Q.; Guo, Y. Nitrogen-Doped and Pt–Pd-Decorated Porous Carbon Catalyst Derived from Biotar for 2,5-Furandicarboxylic Acid Production from Selective Oxidation of 5-Hydroxymethylfurfural in an Alkali-Free Environment. Ind. Eng. Chem. Res. 2023, 62, 14973–14985. [Google Scholar] [CrossRef]
- Zhang, H.; Gao, T.; Zhang, Q.; Gu, B.; Tang, Q.; Cao, Q.; Fang, W. Synergistic catalysis in loaded PtRu alloy nanoparticles to boost base-free aerobic oxidation of 5-hydroxymethylfurfural. Mater. Today Catal. 2023, 3, 100013. [Google Scholar] [CrossRef]
- Tharat, B.; Ngamwongwan, L.; Seehamongkol, T.; Rungtaweevoranit, B.; Nonkumwong, J.; Suthirakun, S.; Faungnawakij, K.; Chanlek, N.; Plucksacholatarn, A.; Nimsaila, W.; et al. Hydroxy and surface oxygen effects on 5-hydroxymethylfurfural oxidation to 2,5-furandicarboxylic acid on β-MnO2: DFT, microkinetic and experiment studies. Nanoscale 2024, 16, 678–690. [Google Scholar] [CrossRef]
- Zhu, W.; Meng, Y.; Yang, C.; Zhao, J.; Wang, H.; Hu, W.; Lv, G.; Wang, Y.; Deng, T.; Hou, X. Effect of Coordination Environment Surrounding a Single Pt Site on the Liquid-Phase Aerobic Oxidation of 5-Hydroxymethylfurfural. ACS Appl. Mater. Interfaces 2021, 13, 48582–48594. [Google Scholar] [CrossRef]
- Cheng, X.; Li, S.; Liu, S.; Xin, Y.; Yang, J.; Chen, B.; Liu, H. Highly efficient catalytic oxidation of 5-hydroxymethylfurfural to 2,5-furandicarboxylic acid using bimetallic Pt–Cu alloy nanoparticles as catalysts. Chem. Commun. 2022, 58, 1183–1186. [Google Scholar] [CrossRef]
- Zhang, H.; Zhang, R.; Zhang, W.; Gu, B.; Tang, Q.; Cao, Q.; Fang, W. Base-free selective oxidation of 5-hydroxymethylfurfural over Pt nanoparticles on surface Nb-enriched Co-Nb oxide. Appl. Catal. B Environ. 2023, 330, 122670. [Google Scholar] [CrossRef]
- Liu, X.; Chen, L.; Xu, H.; Jiang, S.; Zhou, Y.; Wang, J. Straightforward synthesis of beta zeolite encapsulated Pt nanoparticles for the transformation of 5-hydroxymethyl furfural into 2,5-furandicarboxylic acid. Chin. J. Catal. 2021, 42, 994–1003. [Google Scholar] [CrossRef]
- Zhang, H.; Fan, B.; Bian, L.; Tang, Q.; Cao, Q.; Fang, W. Influence of NiO-calcination on Pt-supported catalyst for selective oxidation of 5-hydroxymethylfurfural. Catal. Commun. 2023, 184, 106791. [Google Scholar] [CrossRef]
- Salakhum, S.; Prasertsab, A.; Pornsetmetakul, P.; Saenluang, K.; Iadrat, P.; Chareonpanich, M.; Wattanakit, C. Pt Nanoparticles on ZSM-5 Nanoparticles for Base-Free Oxidation of 5-Hydroxymethylfurfural to 2,5-Furandicarboxylic Acid. ACS Appl. Nano Mater. 2021, 4, 14047–14059. [Google Scholar] [CrossRef]
- Zhou, C.; Shi, W.; Wan, X.; Meng, Y.; Yao, Y.; Guo, Z.; Dai, Y.; Wang, C.; Yang, Y. Oxidation of 5-hydroxymethylfurfural over a magnetic iron oxide decorated rGO supporting Pt nanocatalyst. Catal. Today 2019, 330, 92–100. [Google Scholar] [CrossRef]
- Antonyraj, C.A.; Huynh, N.T.T.; Lee, K.W.; Kim, Y.J.; Shin, S.; Shin, J.S.; Cho, J.K. Base-free oxidation of 5-hydroxymethyl-2-furfural to 2,5-furan dicarboxylic acid over basic metal oxide-supported ruthenium catalysts under aqueous conditions. J. Chem. Sci. 2018, 130, 156. [Google Scholar] [CrossRef]
- Mishra, D.K.; Lee, H.J.; Kim, J.; Lee, H.-S.; Cho, J.K.; Suh, Y.-W.; Yi, Y.; Kim, Y.J. MnCo2O4 spinel supported ruthenium catalyst for air-oxidation of HMF to FDCA under aqueous phase and base-free conditions. Green Chem. 2017, 19, 1619–1623. [Google Scholar] [CrossRef]
- Gao, T.; Chen, J.; Fang, W.; Cao, Q.; Su, W.; Dumeignil, F. Ru/MnXCe1OY catalysts with enhanced oxygen mobility and strong metal-support interaction: Exceptional performances in 5-hydroxymethylfurfural base-free aerobic oxidation. J. Catal. 2018, 368, 53–68. [Google Scholar] [CrossRef]
- Zhu, Z.; Gao, X.; Wang, X.; Yin, M.; Wang, Q.; Ren, W.; Wang, B.; Lü, H.; Liao, W. Rational construction of metal–base synergetic sites on Au/Mg-beta catalyst for selective aerobic oxidation of 5-hydroxymethylfurfural. J. Energy Chem. 2021, 62, 599–609. [Google Scholar] [CrossRef]
- Megías-Sayago, C.; Lolli, A.; Ivanova, S.; Albonetti, S.; Cavani, F.; Odriozola, J.A. Au/Al2O3 – Efficient catalyst for 5-hydroxymethylfurfural oxidation to 2,5-furandicarboxylic acid. Catal. Today 2019, 333, 169–175. [Google Scholar] [CrossRef]
- Ferraz, C.P.; Costa, N.J.S.; Teixeira-Neto, E.; Teixeira-Neto, Â.A.; Liria, C.W.; Thuriot-Roukos, J.; Machini, M.T.; Froidevaux, R.; Dumeignil, F.; Rossi, L.M.; et al. 5-Hydroxymethylfurfural and Furfural Base-Free Oxidation over AuPd Embedded Bimetallic Nanoparticles. Catalysts 2020, 10, 75. [Google Scholar] [CrossRef]
- Lv, G.; Zhang, Z.; Liu, S.; Tao, F.; Wang, J.; Meng, Y.; Yang, Y. Atom level revelation of the synergistic effect between Pd and Au atoms in PdAu nanoalloy catalyst for aerobic oxidation of 5-hydroxymethylfurfural. Chem. Eng. J. 2023, 453, 139816. [Google Scholar] [CrossRef]
- Guan, W.; Zhang, Y.; Wei, Y.; Li, B.; Feng, Y.; Yan, C.; Huo, P.; Yan, Y. Pickering HIPEs derived hierarchical porous nitrogen-doped carbon supported bimetallic AuPd catalyst for base-free aerobic oxidation of HMF to FDCA in water. Fuel 2020, 278, 118362. [Google Scholar] [CrossRef]
- He, M.; Cao, Y.; Ji, J.; Li, K.; Huang, H. Superior catalytic performance of Pd-loaded oxygen-vacancy-rich TiO2 for formaldehyde oxidation at room temperature. J. Catal. 2021, 396, 122–135. [Google Scholar] [CrossRef]
- Dong, J.; Li, D.; Zhang, Y.; Chang, P.; Jin, Q. Insights into the CeO2 facet-depended performance of propane oxidation over Pt-CeO2 catalysts. J. Catal. 2022, 407, 174–185. [Google Scholar] [CrossRef]
- Rui, T.; Lu, G.-P.; Zhao, X.; Cao, X.; Chen, Z. The synergistic catalysis on Co nanoparticles and CoNx sites of aniline-modified ZIF derived Co@NCs for oxidative esterification of HMF. Chin. Chem. Lett. 2021, 32, 685–690. [Google Scholar] [CrossRef]
- Ma, J.; Wang, J.; Liu, J.; Li, X.; Sun, Y.; Li, R. Electron-rich ruthenium encapsulated in nitrogen-doped carbon for efficient hydrogen evolution reaction over the whole pH. J. Colloid Interface Sci. 2022, 620, 242–252. [Google Scholar] [CrossRef]
- Zhang, H.; Gao, T.; Cao, Q.; Fang, W. Tailoring the Reactive Oxygen Species in Mesoporous NiO for Selectivity-Controlled Aerobic Oxidation of 5-Hydroxymethylfurfural on a Loaded Pt Catalyst. ACS Sustain. Chem. Eng. 2021, 9, 6056–6067. [Google Scholar] [CrossRef]
- Fu, M.; Yang, W.; Yang, C.; Zhang, Y.; Shen, C. Mechanistic insights into CoOx–Ag/CeO2 catalysts for the aerobic oxidation of 5-hydroxymethylfurfural to 2,5-furandicarboxylic acid. Catal. Sci. Technol. 2022, 12, 116–123. [Google Scholar] [CrossRef]
- Zhang, J.; Chen, P.; Liu, H.; Zhang, R.; Jia, W.; Zhang, J.; Peng, L. Electron-rich ruthenium nanoparticles on nitrogen-doped carbon for the efficient catalytic oxidation of 5-hydroxymethylfurfural into 2,5-furandicarboxylic acid. Appl. Catal. A Gen. 2024, 676, 119663. [Google Scholar] [CrossRef]
- Chen, C.; Li, X.; Wang, L.; Liang, T.; Wang, L.; Zhang, Y.; Zhang, J. Highly Porous Nitrogen- and Phosphorus-Codoped Graphene: An Outstanding Support for Pd Catalysts to Oxidize 5-Hydroxymethylfurfural into 2,5-Furandicarboxylic Acid. ACS Sustain. Chem. Eng. 2017, 5, 11300–11306. [Google Scholar] [CrossRef]
- Lei, D.; Yu, K.; Li, M.-R.; Wang, Y.; Wang, Q.; Liu, T.; Liu, P.; Lou, L.-L.; Wang, G.; Liu, S. Facet Effect of Single-Crystalline Pd Nanocrystals for Aerobic Oxidation of 5-Hydroxymethyl-2-furfural. ACS Catal. 2017, 7, 421–432. [Google Scholar] [CrossRef]
- Lolli, A.; Amadori, R.; Lucarelli, C.; Cutrufello, M.G.; Rombi, E.; Cavani, F.; Albonetti, S. Hard-template preparation of Au/CeO2 mesostructured catalysts and their activity for the selective oxidation of 5-hydroxymethylfurfural to 2,5-furandicarboxylic acid. Microporous Mesoporous Mater. 2016, 226, 466–475. [Google Scholar] [CrossRef]
- Li, Q.; Wang, H.; Tian, Z.; Weng, Y.; Wang, C.; Ma, J.; Zhu, C.; Li, W.; Liu, Q.; Ma, L. Selective oxidation of 5-hydroxymethylfurfural to 2,5-furandicarboxylic acid over Au/CeO2 catalysts: The morphology effect of CeO2. Catal. Sci. Technol. 2019, 9, 1570–1580. [Google Scholar] [CrossRef]
- Si, R.; Flytzani-Stephanopoulos, M. Shape and Crystal-Plane Effects of Nanoscale Ceria on the Activity of Au-CeO2 Catalysts for the Water–Gas Shift Reaction. Angew. Chem. Int. Ed. 2008, 47, 2884–2887. [Google Scholar] [CrossRef] [PubMed]
- Neukum, D.; Ludwig, M.E.; Uzunidis, G.; Lakshmi Nilayam, A.R.; Krause, B.; Behrens, S.; Grunwaldt, J.-D.; Saraçi, E. Synergy of Ag and Pd in bimetallic catalysts for the selective oxidation of 5-(hydroxymethyl)furfural. Catal. Sci. Technol. 2024, 14, 7163–7171. [Google Scholar] [CrossRef]
- Rabee, A.I.M.; Le, S.D.; Higashimine, K.; Nishimura, S. Aerobic Oxidation of 5-Hydroxymethylfurfural into 2,5-Furandicarboxylic Acid over Gold Stabilized on Zirconia-Based Supports. ACS Sustain. Chem. Eng. 2020, 8, 7150–7161. [Google Scholar] [CrossRef]
- Xia, H.; An, J.; Hong, M.; Xu, S.; Zhang, L.; Zuo, S. Aerobic oxidation of 5-hydroxymethylfurfural to 2,5-difurancarboxylic acid over Pd-Au nanoparticles supported on Mg-Al hydrotalcite. Catal. Today 2019, 319, 113–120. [Google Scholar] [CrossRef]
- Zhang, Y.; Xue, Z.; Wang, J.; Zhao, X.; Deng, Y.; Zhao, W.; Mu, T. Controlled deposition of Pt nanoparticles on Fe3O4@carbon microspheres for efficient oxidation of 5-hydroxymethylfurfural. RSC Adv. 2016, 6, 51229–51237. [Google Scholar] [CrossRef]
- Schade, O.; Dolcet, P.; Nefedov, A.; Huang, X.; Saraçi, E.; Wöll, C.; Grunwaldt, J.-D. The Influence of the Gold Particle Size on the Catalytic Oxidation of 5-(Hydroxymethyl)furfural. Catalysts 2020, 10, 342. [Google Scholar] [CrossRef]
- Sang, K.; Zuo, J.; Zhang, X.; Wang, Q.; Chen, W.; Qian, G.; Duan, X. Towards a molecular understanding of the electronic metal-support interaction (EMSI) in heterogeneous catalysis. Green Energy Environ. 2023, 8, 619–625. [Google Scholar] [CrossRef]
- Yang, J.; Li, W.; Wang, D.; Li, Y. Electronic Metal–Support Interaction of Single-Atom Catalysts and Applications in Electrocatalysis. Adv. Mater. 2020, 32, 2003300. [Google Scholar] [CrossRef]
- Fu, J.; Zhang, X.; Li, H.; Chen, B.; Ye, S.; Zhang, N.; Yu, Z.; Zheng, J.; Chen, B. Enhancing electronic metal support interaction (EMSI) over Pt/TiO2 for efficient catalytic wet air oxidation of phenol in wastewater. J. Hazard. Mater. 2022, 426, 128088. [Google Scholar] [CrossRef]
- Yang, W.; Yu, H.; Wang, B.; Wang, X.; Zhang, H.; Lei, D.; Lou, L.-L.; Yu, K.; Liu, S. Leveraging Pt/Ce1–xLaxO2−δ To Elucidate Interfacial Oxygen Vacancy Active Sites for Aerobic Oxidation of 5-Hydroxymethylfurfural. ACS Appl. Mater. Interfaces 2022, 14, 37667–37680. [Google Scholar] [CrossRef] [PubMed]
- Zhang, S.; Yang, Y.; Chu, G.; Wang, S.; Wang, C.; Zhang, Y.; Zhang, L.; Mei, J. Surface chemistry regulation on particle-support interaction of ruthenium and Cr-Fe oxides for selective oxidation of 5-hydroxymethylfurfural. Chem. Eng. J. 2023, 474, 145670. [Google Scholar] [CrossRef]
- Donoeva, B.; Masoud, N.; de Jongh, P.E. Carbon Support Surface Effects in the Gold-Catalyzed Oxidation of 5-Hydroxymethylfurfural. ACS Catal. 2017, 7, 4581–4591. [Google Scholar] [CrossRef] [PubMed]
- Goel, S.; Zones, S.I.; Iglesia, E. Encapsulation of Metal Clusters within MFI via Interzeolite Transformations and Direct Hydrothermal Syntheses and Catalytic Consequences of Their Confinement. J. Am. Chem. Soc. 2014, 136, 15280–15290. [Google Scholar] [CrossRef]
- Iida, T.; Zanchet, D.; Ohara, K.; Wakihara, T.; Román-Leshkov, Y. Concerted Bimetallic Nanocluster Synthesis and Encapsulation via Induced Zeolite Framework Demetallation for Shape and Substrate Selective Heterogeneous Catalysis. Angew. Chem. Int. Ed. 2018, 57, 6454–6458. [Google Scholar] [CrossRef]
- Otto, T.; Zones, S.I.; Iglesia, E. Challenges and strategies in the encapsulation and stabilization of monodisperse Au clusters within zeolites. J. Catal. 2016, 339, 195–208. [Google Scholar] [CrossRef]
- Guan, W.; Chen, Y.; Li, Y.; Wang, F.; Cao, M.; Liu, Y.; Pan, J.; Zhang, Y. Carbon-shell-encapsulated gold–palladium nanoreactors for highly efficient 5-hydroxymethylfurfural oxidation: Confinement and alloy effects study. Chem. Eng. Sci. 2024, 286, 119666. [Google Scholar] [CrossRef]
- Masoud, N.; Donoeva, B.; de Jongh, P.E. Stability of gold nanocatalysts supported on mesoporous silica for the oxidation of 5-hydroxymethyl furfural to furan-2,5-dicarboxylic acid. Appl. Catal. A Gen. 2018, 561, 150–157. [Google Scholar] [CrossRef]
- Liu, Z.; Tan, Y.; Li, J.; Li, X.; Xiao, Y.; Su, J.; Chen, X.; Qiao, B.; Ding, Y. Ag substituted Au clusters supported on Mg-Al-hydrotalcite for highly efficient base-free aerobic oxidation of 5-hydroxymethylfurfural to 2,5-furandicarboxylic acid. Green Chem. 2022, 24, 8840–8852. [Google Scholar] [CrossRef]
- Zhong, X.; Yuan, P.; Wei, Y.; Liu, D.; Losic, D.; Li, M. Coupling Natural Halloysite Nanotubes and Bimetallic Pt–Au Alloy Nanoparticles for Highly Efficient and Selective Oxidation of 5-Hydroxymethylfurfural to 2,5-Furandicarboxylic Acid. ACS Appl. Mater. Interfaces 2022, 14, 3949–3960. [Google Scholar] [CrossRef]






| Catalyst | Solution 1 | T/°C | PO2/MPa | Reaction Time/h | Con/% | Sel/% | Ref. |
|---|---|---|---|---|---|---|---|
| Pt2Ru-MgAlO | alkali-free | 100 | 0.2 | 24 | 100 | 99 | [54] |
| Pt1-Co@C-N | 4 | 100 | 0.5 | 4 | 99 | 99 | [56] |
| Pt-Cu1.5/AC | alkali-free | 150 | 1 | 6 | 100 | 99 | [57] |
| Co@Nb-Pt | alkali-free | 110 | 1.0 | 4 | 100 | >99 | [58] |
| Pt@Beta | 6 | 90 | - | 24 | >99 | 99 | [59] |
| Pt/Ni400c 2 | alkali-free | 100 | 1.0 | 12 | 100 | 100 | [60] |
| Pt-Ca-Hie-ZSM-5 3 | alkali-free | 110 | 2 | 24 | 100 | 80 | [61] |
| Pt/Fe3O4/rGO | alkali-free | 95 | 0.5 | 8 | 100 | 98 | [62] |
| RuOx/MnOx-VC | alkali-free | 120 | 1.0 | 6 | 100 | 86 | [38] |
| Pt2Ru-MgAlO | alkali-free | 100 | 0.2 | 24 | 100 | 99 | [54] |
| Ru/MgO | alkali-free | 160 | 0.6 | 4 | 100 | 90 | [63] |
| Ru/MnCo2O4 | alkali-free | 120 | 2.5 | 10 | 100 | 99 | [64] |
| Ru/Mn6Ce1OY | alkali-free | 150 | 1 | 15 | 100 | 99 | [65] |
| Au/Sn-Beta | 1 | 140 | 1 | 1 | 100 | 98 | [48] |
| 2Au/Mg-Beta-Ps | 1 | 130 | 2.0 | 4 | 95.0 | 98.1 | [66] |
| Au/Al2O3 | 2 | 70 | 1 | 4 | 100 | 70 | [67] |
| Au4Pd1@SiTi | 2.6 | 110 | 0.1 | 24 | 74 | 78 | [68] |
| PdAu@NC | 2 | 100 | 0.5 | 6 | 100 | 99 | [69] |
| Au3Pd1/HRN5C | 4 | 100 | 2.0 | 24 | 100 | 99 | [70] |
Disclaimer/Publisher’s Note: The statements, opinions and data contained in all publications are solely those of the individual author(s) and contributor(s) and not of MDPI and/or the editor(s). MDPI and/or the editor(s) disclaim responsibility for any injury to people or property resulting from any ideas, methods, instructions or products referred to in the content. |
© 2025 by the authors. Licensee MDPI, Basel, Switzerland. This article is an open access article distributed under the terms and conditions of the Creative Commons Attribution (CC BY) license (https://creativecommons.org/licenses/by/4.0/).
Share and Cite
Guo, Y.; Zhao, Y.; Gao, S.; Lv, B.; Wu, Z. Noble Metal-Based Catalysts for Selective Oxidation of HMF to FDCA: Progress in Reaction Mechanism and Active Sites. Chemistry 2025, 7, 17. https://doi.org/10.3390/chemistry7010017
Guo Y, Zhao Y, Gao S, Lv B, Wu Z. Noble Metal-Based Catalysts for Selective Oxidation of HMF to FDCA: Progress in Reaction Mechanism and Active Sites. Chemistry. 2025; 7(1):17. https://doi.org/10.3390/chemistry7010017
Chicago/Turabian StyleGuo, Yingshuo, Yitong Zhao, Shiao Gao, Binhong Lv, and Zhijie Wu. 2025. "Noble Metal-Based Catalysts for Selective Oxidation of HMF to FDCA: Progress in Reaction Mechanism and Active Sites" Chemistry 7, no. 1: 17. https://doi.org/10.3390/chemistry7010017
APA StyleGuo, Y., Zhao, Y., Gao, S., Lv, B., & Wu, Z. (2025). Noble Metal-Based Catalysts for Selective Oxidation of HMF to FDCA: Progress in Reaction Mechanism and Active Sites. Chemistry, 7(1), 17. https://doi.org/10.3390/chemistry7010017

