Photocatalytic Degradation of Petroleum Wastewater Using ZnO-Loaded Pistachio Shell Biochar: A Sustainable Approach for Oil and COD Removal
Abstract
1. Introduction
2. Experimental
2.1. Chemicals and Materials
2.2. Preparation of PS Biochar
2.3. Preparation of PS/ZnO
2.4. Preparation of Petroleum Wastewater
2.5. Modelling and Optimization
2.6. Experimental Setup of the Photocatalytic Process
2.7. Characterizations
3. Results and Discussion
3.1. PS and PS/ZnO Characterizations
3.1.1. XRD Analysis
3.1.2. FESEM Analysis
3.1.3. EDX Analysis
3.1.4. Energy Band Gap (Eg)
3.1.5. FTIR Analysis
3.2. Activity of Photocatalysis for the Degradation of Oil and COD
3.2.1. Comparative Study of Adsorption and Photocatalytic Degradation Pathways
3.2.2. Selection of the Best Catalysts
3.2.3. Impact of the Irradiation Time
3.2.4. Impact of the Light Source
3.2.5. Impact of Temperature
3.3. Modelling and Analysis of Variance
3.3.1. Effect of Variables by Normal Plot and Pareto Chart
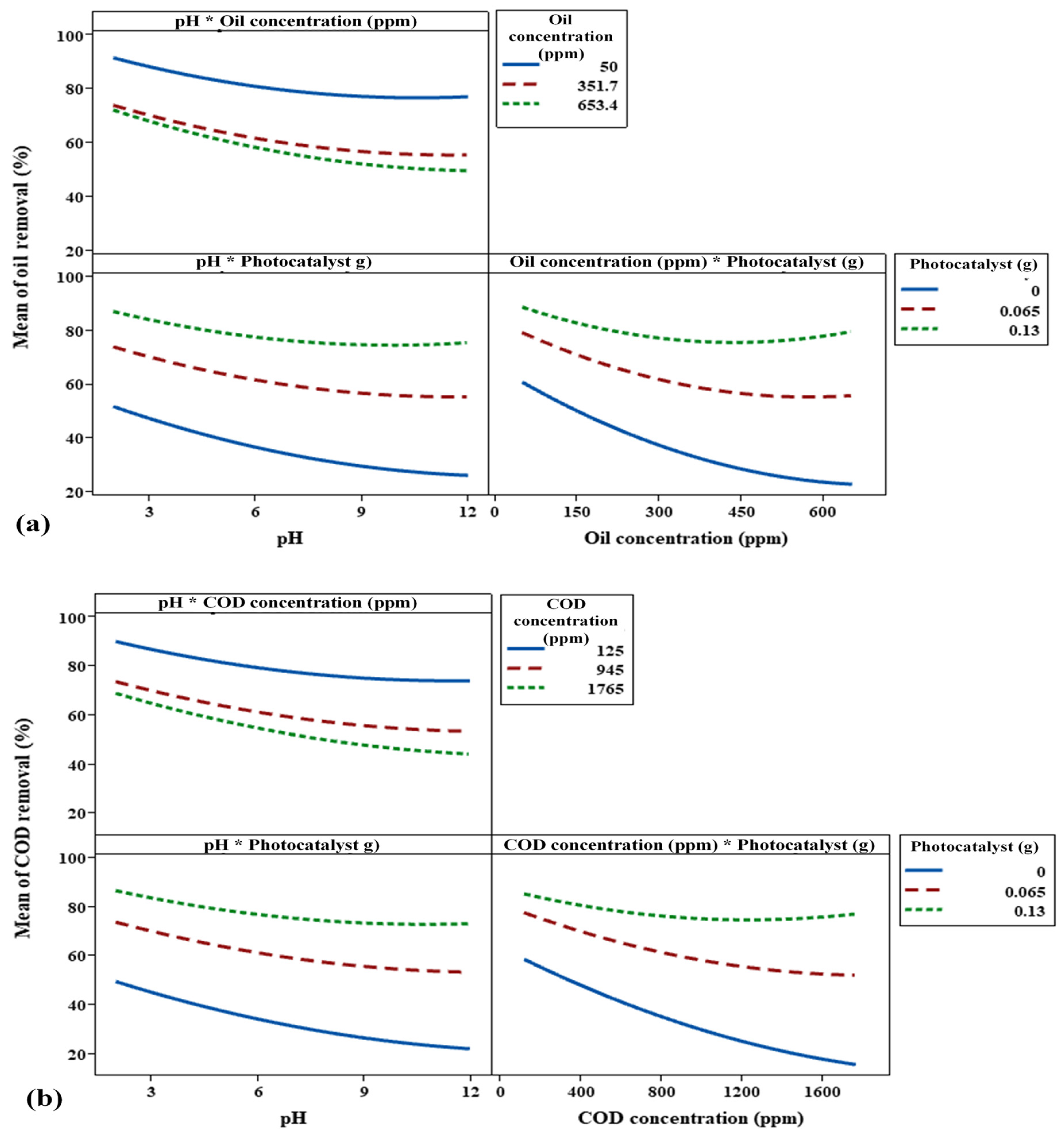
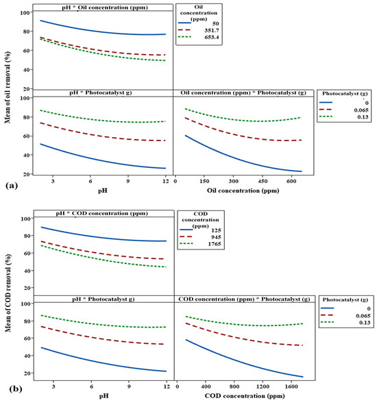
3.3.2. Variables Interaction Plots
3.3.3. Response Surface Analysis
3.3.4. Predicted Fitted Line Plots
3.3.5. Optimum Condition and Data Validation
3.4. Reaction Kinetics
3.5. Photocatalytic Degradation Mechanism
3.6. Recyclability of the PS/ZnO Photocatalyst
3.7. Comparison with the Previous Studies
4. Conclusions
Author Contributions
Funding
Data Availability Statement
Acknowledgments
Conflicts of Interest
References
- Igunnu, E.T.; Chen, G.Z. Produced water treatment technologies. Int. J. Low-Carbon Technol. 2014, 9, 157–177. [Google Scholar] [CrossRef]
- Khader, E.H.; Mohammed, T.J.; Albayati, T.M.; Rashid, K.T.; Saady, N.M.C.; Zendehboudi, S. Green nanoparticles blending with polyacrylonitrile ultrafiltration membrane for antifouling oily wastewater treatment. Sep. Purif. Technol. 2025, 353, 128256. [Google Scholar] [CrossRef]
- Khader, E.H.; Abbood, N.S.; Albyati, T.N.; Mohammed, T.J. Performance evaluation of integral process for treatment of oilfield wastewater. In AIP Conference Proceedings; AIP Publishing: Melville, NY, USA, 2022; Volume 2443, pp. 1–11. [Google Scholar]
- Al-Ghouti, M.A.; Al-Kaabi, M.A.; Ashfaq, M.Y.; Da’na, D.A. Produced water characteristics, treatment and reuse: A review. J. Water Process Eng. 2019, 28, 222–239. [Google Scholar] [CrossRef]
- Khader, E.H.; Khudhur, R.H.; Mohammed, T.J.; Mahdy, O.S.; Sabri, A.A.; Mahmood, A.S.; Albayati, T.M. Evaluation of adsorption treatment method for removal of phenol and acetone from industrial wastewater. Desalination Water Treat. 2024, 317, 100091. [Google Scholar] [CrossRef]
- Shakir, H.A.; Mageed, A.K.; Alsaffar, M.A.; Ghany, M.A.R.A. Effect of process parameters and optimization of photocatalytic removal of lead from wastewater over CuZn oxide nanocomposite using response surface methodology. Res. Chem. 2025, 15, 102255. [Google Scholar]
- Fang, S.Y.; Zhang, P.; Gong, J.L.; Tang, L.; Zeng, G.M.; Song, B.; Cao, W.C.; Li, J.; Ye, J. Construction of highly water-stable metal-organic framework UiO-66 thin-film composite membrane for dyes and antibiotics separation. Chem. Eng. J. 2020, 385, 123400. [Google Scholar] [CrossRef]
- Shakir, H.A.; Alsaffar, M.A.; Mageed, A.K.; Sukkar, K.A.; Ghany, M.A.A. Optimizing Photocatalytic Lead Removal from Wastewater Using ZnO/ZrO2: A Response Surface Methodology Approach. ChemEngineering 2024, 8, 72. [Google Scholar] [CrossRef]
- Khader, E.H.; Mohammed, T.J.; Albayati, T.M.; Harharah, H.N.; Amari, A.; Saady, N.M.C.; Zendehboudi, S. Current trends for wastewater treatment technologies with typical configurations of photocatalytic membrane reactor hybrid systems: A review. Chem. Eng. Process. Process Intensif. 2023, 192, 109503. [Google Scholar] [CrossRef]
- Dai, B.; Zhao, W.; Huang, H.; Li, S.; Yang, G.; Wu, H.; Sun, C.; Leung, D.Y. Constructing an ohmic junction of copper@ cuprous oxide nanocomposite with plasmonic enhancement for photocatalysis. J. Colloid Interface Sci. 2022, 616, 163–176. [Google Scholar] [CrossRef]
- Rani, M.; Shanker, U. Green synthesis of TiO2 and its photocatalytic activity. In Handbook of Smart Photocatalytic Materials; Elsevier: Amsterdam, The Netherlands, 2020; pp. 11–61. [Google Scholar]
- An, Z.; Sánchez-Montes, I.; Chelme-Ayala, P.; Chen, C.; El-Din, M.G. Efficient degradation of naphthenic acids in water using a sustainable engineered biochar/ZnO composite under simulated solar light. Chem. Eng. J. 2024, 489, 151308. [Google Scholar] [CrossRef]
- Rostocki, A.; Unyay, H.; Ławińska, K.; Obraniak, A. Granulates based on bio and industrial waste and biochar in a sustainable economy. Energies 2022, 16, 56. [Google Scholar] [CrossRef]
- Parthasarathy, P.; Al-Ansari, T.; Mackey, H.R.; Narayanan, K.S.; McKay, G. A review on prominent animal and municipal wastes as potential feedstocks for solar pyrolysis for biochar production. Fuel 2022, 316, 123378. [Google Scholar] [CrossRef]
- Silvestri, S.; Gonçalves, M.G.; da Silva Veiga, P.A.; da Silva Matos, T.T.; Peralta-Zamora, P.; Mangrich, A.S. TiO2 supported on Salvinia molesta biochar for heterogeneous photocatalytic degradation of Acid Orange 7 dye. J. Environ. Chem. Eng. 2019, 7, 102879. [Google Scholar] [CrossRef]
- Singh, A.K.; Giannakoudakis, D.A.; Arkas, M.; Triantafyllidis, K.S.; Nair, V. Composites of lignin-based biochar with BiOCl for photocatalytic water treatment: RSM studies for process optimization. Nanomaterials 2023, 13, 735. [Google Scholar] [CrossRef]
- Yu, J.; Jiang, C.; Guan, Q.; Ning, P.; Gu, J.; Chen, Q.; Zhang, J.; Miao, R. Enhanced removal of Cr (VI) from aqueous solution by supported ZnO nanoparticles on biochar derived from waste water hyacinth. Chemosphere 2018, 195, 632–640. [Google Scholar] [CrossRef]
- Sanei, A.; Dashtian, K.; Seyf, J.Y.; Seidi, F.; Kolvari, E. Biomass derived reduced-graphene-oxide supported α-Fe2O3/ZnO S-scheme heterostructure: Robust photocatalytic wastewater remediation. J. Environ. Manag. 2023, 332, 117377. [Google Scholar] [CrossRef]
- Gonçalves, N.P.; Lourenço, M.A.; Baleuri, S.R.; Bianco, S.; Jagdale, P.; Calza, P. Biochar waste-based ZnO materials as highly efficient photocatalysts for water treatment. J. Environ. Chem. Eng. 2022, 10, 107256. [Google Scholar] [CrossRef]
- Kir, I.; Laouini, S.E.; Meneceur, S.; Bouafia, A.; Mohammed, H.A.M. Biosynthesis and characterization of novel nanocomposite ZnO/BaMg2 efficiency for high-speed adsorption of AZO dye. Biomass Convers. Biorefin. 2024, 14, 19045–19054. [Google Scholar] [CrossRef]
- Yusuff, A.S. Adsorption of hexavalent chromium from aqueous solution by Leucaena leucocephala seed pod activated carbon: Equilibrium, kinetic and thermodynamic studies. Arab J. Basic Appl. Sci. 2019, 26, 89–102. [Google Scholar]
- Ahmad, F.; Maqsood, A. Influence of nickel dopant on impedance, dielectric, and optical properties of ZnO nanoparticles at low temperatures. J. Mater. Sci. Mater. Electron. 2022, 33, 12674–12700. [Google Scholar] [CrossRef]
- Du, Z.; Li, Q.; Li, J.; Su, E.; Liu, X.; Wan, Z.; Yang, X. Self-assembled egg yolk peptide micellar nanoparticles as a versatile emulsifier for food-grade oil-in-water Pickering nanoemulsions. J. Agric. Food Chem. 2019, 67, 11728–11740. [Google Scholar] [CrossRef]
- Aminuzzaman, M.; Ying, L.P.; Goh, W.S.; Watanabe, A. Green synthesis of zinc oxide nanoparticles using aqueous extract of Garcinia mangostana fruit pericarp and their photocatalytic activity. Bull. Mater. Sci. 2018, 41, 1–10. [Google Scholar] [CrossRef]
- Badry, R.; Sabry, N.M.; Ibrahim, M.A. Enhancing the structural and optoelectronic properties of carboxymethyl cellulose sodium filled with ZnO/GO and CuO/GO nanocomposites for antimicrobial packaging applications. Sci. Rep. 2024, 14, 30591. [Google Scholar] [CrossRef]
- Altintas Yildirim, O.; Hasan, M.M.; Pehlivan, E. Synthesis and performance evaluation of biochar-supported ZTO nanocatalyst for photodegradation of Rhodamine B in water. J. Mater. Res. 2024, 39, 576589. [Google Scholar] [CrossRef]
- Bopape, D.A.; Mathobela, S.; Matinise, N.; Motaung, D.E.; Hintsho-Mbita, N.C. Green synthesis of CuO-TiO2 nanoparticles for the degradation of organic pollutants: Physical, optical and electrochemical properties. Catalysts 2023, 13, 163. [Google Scholar] [CrossRef]
- Alharthi, F.A.; Alshayiqi, A.A.; Al-Nafaei, W.S.; El Marghany, A.; Alanazi, H.S.; Hasan, I. Synthesis of nanocrystalline metal tungstate NiWO4/CoWO4 heterojunction for UV-light-assisted degradation of paracetamol. Catalysts 2023, 13, 152. [Google Scholar] [CrossRef]
- Devi, M.; Rawat, S.; Sharma, S. A comprehensive review of the pyrolysis process: From carbon nanomaterial synthesis to waste treatment. Oxf. Open Mater. Sci. 2021, 1, itab014. [Google Scholar] [CrossRef]
- Naji, H.K.; Oda, A.M.; Abdulaljeleel, W.; Abdilkadhim, H.; Hefdhi, R. ZNO-Ag/PS and ZnO/PS films for photocatalytic degradation of methylene blue. Indones. J. Chem. 2020, 20, 314–323. [Google Scholar] [CrossRef]
- Jing, H.; Ji, L.; Wang, Z.; Guo, J.; Lu, S.; Sun, J.; Cai, L.; Wang, Y. Synthesis of ZnO nanoparticles loaded on biochar derived from spartina alterniflora with superior photocatalytic degradation performance. Nanomaterials 2021, 11, 2479. [Google Scholar] [CrossRef]
- Tauc, J.; Grigorovici, R.; Vancu, A. Optical properties and electronic structure of amorphous germanium. Phys. Status Solidi B 1966, 15, 627–637. [Google Scholar] [CrossRef]
- Haryński, Ł.; Olejnik, A.; Grochowska, K.; Siuzdak, K. A facile method for Tauc exponent and corresponding electronic transitions determination in semiconductors directly from UV–Vis spectroscopy data. Opt. Mater. 2022, 127, 112205. [Google Scholar] [CrossRef]
- Javanmard, A.; Bin Wan Daud, W.M.A.; Patah, M.F.A.; Zuki, F.M.; Verdugo, A.S. Harnessing the potential of biochar-based catalysts for sustainable adsorptive and photocatalytic applications: A comprehensive review. Process Saf. Environ. Prot. 2024, 189, 387–413. [Google Scholar] [CrossRef]
- Saeednia, S.; Iranmanesh, P.; Shabani, T. Green Synthesis of Pistachio Skin Extract-Mediated Zinc Oxide Nanoparticles for Photocatalytic Degradation of Organic Dyes. Inorg. Chem. Res. 2024, 8, 1–7. [Google Scholar]
- Fayazi, M. Synthesis of ZnO nanostructures with different morphologies on biochar support for photocatalytic degradation of organic dye. J. Water Environ. Nanotechnol. 2024, 9, 137–148. [Google Scholar]
- Jahani, F.; Maleki, B.; Mansouri, M.; Noorimotlagh, Z.; Mirzaee, S.A. Enhanced photocatalytic performance of milkvetch-derived biochar via ZnO–Ce nanoparticle decoration for reactive blue 19 dye removal. Sci. Rep. 2023, 13, 17824. [Google Scholar] [CrossRef]
- Eswaran, P.; Madasamy, P.D.; Pillay, K.; Brink, H. Sunlight-driven photocatalytic degradation of methylene blue using ZnO/biochar nanocomposite derived from banana peels. Biomass Convers. Biorefin. 2024, 15, 12347–12367. [Google Scholar] [CrossRef]
- Bordbar, M.; Mortazavimanesh, N. Biosynthesis of waste pistachio shell supported silver nanoparticles for the catalytic reduction processes. IET Nanobiotechnol. 2018, 12, 939–945. [Google Scholar] [CrossRef]
- Pasieczna-Patkowska, S.; Cichy, M.; Flieger, J. Application of Fourier Transform Infrared (FTIR) Spectroscopy in Characterization of Green Synthesized Nanoparticles. Molecules 2025, 30, 684. [Google Scholar] [CrossRef]
- Ibrahim, A.L.S.Y.; Mahmood, S.F.; Younis, A.L.S.A.; Fadhil, A.B. Pyrolysis of Mixed Date Stones and Pistachio Shells: Identification of Bio-Oil and Utilization of Bio-Char as Activated Carbon Precursor. Chem. Biodivers. 2023, 20, e202300103. [Google Scholar] [CrossRef]
- Gurusamy, M.; Thirumalaisamy, R.; Karuppusamy, M.; Sivanantham, G. Pistachio shell biochar as a reinforcing filler in short Turkish hemp fiber composites: A path toward sustainable materials. J. Polym. Res. 2025, 32, 1–26. [Google Scholar] [CrossRef]
- Qiu, B.; Shao, Q.; Shi, J.; Yang, C.; Chu, H. Application of biochar for the adsorption of organic pollutants from wastewater: Modification strategies, mechanisms and challenges. Sep. Purif. Technol. 2022, 300, 121925. [Google Scholar] [CrossRef]
- Xu, R.; Li, M.; Zhang, Q. Collaborative optimization for the performance of ZnO/biochar composites on persulfate activation through plant enrichment-pyrolysis method. Chem. Eng. J. 2022, 429, 132294. [Google Scholar] [CrossRef]
- Liu, L.; Chen, Z.; Zhang, J.; Shan, D.; Wu, Y.; Bai, L.; Wang, B. Treatment of industrial dye wastewater and pharmaceutical residue wastewater by advanced oxidation processes and its combination with nanocatalysts: A review. J. Water Process Eng. 2021, 42, 102122. [Google Scholar] [CrossRef]
- Leng, L.; Xiong, Q.; Yang, L.; Li, H.; Zhou, Y.; Zhang, W.; Jiang, S.; Li, H.; Huang, H. An overview on engineering the surface area and porosity of biochar. Sci. Total Environ. 2021, 763, 144204. [Google Scholar] [CrossRef]
- Han, M.; Liu, Z.; Huang, S.; Zhang, H.; Yang, H.; Liu, Y.; Zhang, K.; Zeng, Y. Application of Biochar-Based Materials for Effective Pollutant Removal in Wastewater Treatment. Nanomaterials 2024, 14, 1933. [Google Scholar] [CrossRef]
- Tuama, A.N.; Alzubaidi, L.H.; Jameel, M.H.; Abass, K.H.; bin Mayzan, M.Z.H.; Salman, Z.N. Impact of electron–hole recombination mechanism on the photocatalytic performance of ZnO in water treatment: A review. J. Sol-Gel Sci. Technol. 2024, 110, 792–806. [Google Scholar] [CrossRef]
- Amdeha, E. Biochar-based nanocomposites for industrial wastewater treatment via adsorption and photocatalytic degradation and the parameters affecting these processes. Biomass Convers. Biorefin. 2024, 14, 23293–23318. [Google Scholar] [CrossRef]
- Jagaba, A.H.; Kutty, S.R.M.; Abubakar, S.; Birniwa, A.H.; Lawal, I.M.; Umaru, I.; Usman, A.K.; Yaro, N.S.A.; Al-Zaqri, N.; Al-Maswari, B.M.; et al. Synthesis, characterization, and performance evaluation of hybrid waste sludge biochar for COD and color removal from agro-industrial effluent. Separations 2022, 9, 258. [Google Scholar] [CrossRef]
- Lopičić, Z.R.; Šoštarić, T.D.; Milojković, J.V.; Antanasković, A.V.; Milić, J.S.; Spasić, S.D.; Avdalović, J.S. Efficient removal of water soluble fraction of diesel oil by biochar sorption supported by microbiological degradation. Processes 2024, 12, 964. [Google Scholar] [CrossRef]
- Lu, Y.; Cai, Y.; Zhang, S.; Zhuang, L.; Hu, B.; Wang, S.; Chen, J.; Wang, X. Application of biochar-based photocatalysts for adsorption-(photo) degradation/reduction of environmental contaminants: Mechanism, challenges and perspective. Biochar 2022, 4, 45. [Google Scholar] [CrossRef]
- John, K.I.; Issa, T.B.; Ho, G.; Nikoloski, A.N.; Li, D. Enhanced Adsorption and Photocatalytic Degradation of Organics Using La-doped g-C3N4 with Ag NPs. Water Cycle 2025, 6, 151–175. [Google Scholar] [CrossRef]
- Umar, M.; Aziz, H.A. Photocatalytic degradation of organic pollutants in water. Org. Pollut. Monit. Risk Treat. 2013, 8, 196–197. [Google Scholar]
- Santoso, S.P.; Angkawijaya, A.E.; Bundjaja, V.; Hsieh, C.W.; Go, A.W.; Yuliana, M.; Hsu, H.Y.; Tran-Nguyen, P.L.; Soetaredjo, F.E.; Ismadji, S. TiO2/guar gum hydrogel composite for adsorption and photodegradation of methylene blue. Int. J. Biol. Macromol. 2021, 193, 721–733. [Google Scholar] [CrossRef]
- Wang, X.; Wang, F.; Sang, Y.; Liu, H. Full-spectrum solar-light-activated photocatalysts for light–chemical energy conversion. Adv. Energy Mater. 2017, 7, 1700473. [Google Scholar] [CrossRef]
- Chen, C.; Ma, W.; Zhao, J. Semiconductor-mediated photodegradation of pollutants under visible-light irradiation. Chem. Soc. Rev. 2010, 39, 4206–4219. [Google Scholar] [CrossRef]
- Li, X.; Chen, Y.; Tao, Y.; Shen, L.; Xu, Z.; Bian, Z.; Li, H. Challenges of photocatalysis and their coping strategies. Chem Catal. 2022, 2, 1315–1345. [Google Scholar] [CrossRef]
- Matafonova, G.; Batoev, V. Recent advances in application of UV light-emitting diodes for degrading organic pollutants in water through advanced oxidation processes: A review. Water Res. 2018, 132, 177–189. [Google Scholar] [CrossRef]
- Jo, W.K.; Tayade, R.J. New generation energy-efficient light source for photocatalysis: LEDs for environmental applications. Ind. Eng. Chem. Res. 2014, 53, 2073–2084. [Google Scholar] [CrossRef]
- Arora, I.; Chawla, H.; Chandra, A.; Sagadevan, S.; Garg, S. Advances in the strategies for enhancing the photocatalytic activity of TiO2: Conversion from UV-light active to visible-light active photocatalyst. Inorg. Chem. Commun. 2022, 143, 109700. [Google Scholar] [CrossRef]
- Kong, E.D.H.; Lai, C.W.; Juan, J.C.; Pang, Y.L.; Khe, C.S.; Badruddin, I.A.; Gapsari, F.; Anam, K. Recent advances in titanium dioxide bio-derived carbon photocatalysts for organic pollutant degradation in wastewater. iScience 2025, 28, 112368. [Google Scholar] [CrossRef]
- Tan, S.N.; Yuen, M.L.; Ramli, R.A. Photocatalysis of Dyes: Operational Parameters, Mechanisms, and Degradation Pathway. Green Anal. Chem. 2025, 12, 100230. [Google Scholar] [CrossRef]
- Kubiak, A.; Dozzi, M.V.; Montalbano, M.; Cegłowski, M. LED-driven photodeposition of Pt nanoparticles on TiO2: Combined effects of titania crystallinity and adopted wavelength on photoactivity. Arab. J. Chem. 2024, 17, 105846. [Google Scholar] [CrossRef]
- Husain, A.; Al-Harthi, M.A. Chemical treatment of oilfield wastewater and the effect of temperature on treatment efficiency: A review. J. Pet. Sci. Eng. 2023, 220, 111089. [Google Scholar] [CrossRef]
- Khader, E.H.; Mohammed, T.J.; Albayati, T.M.; Saady, N.M.C.; Zendehboudi, S. Green nanocatalyst for the photocatalytic degradation of organic pollutants in petroleum refinery wastewater: Synthesis, characterization, and optimization. J. Mol. Struct. 2024, 1304, 137688. [Google Scholar] [CrossRef]
- Di Leo, G.; Sardanelli, F. Statistical significance: p value, 0.05 threshold, and applications to radiomics—Reasons for a conservative approach. Eur. Radiol. Exp. 2020, 4, 1–8. [Google Scholar] [CrossRef]
- Mohammadi, L.; Rahdar, A.; Bazrafshan, E.; Dahmardeh, H.; Susan, M.A.B.H.; Kyzas, G.Z. Petroleum hydrocarbon removal from wastewaters: A review. Processes 2020, 8, 447. [Google Scholar] [CrossRef]
- Nodehi, R.N.; Sheikhi, R.; Gholami, M. Application of response surface methodology in the photocatalytic removal of pollutants–a systematic review: The characteristics, common mistakes, and the qualitative evaluation of articles. Results Chem. 2024, 8, 101584. [Google Scholar] [CrossRef]
- El-Gawad, H.A.; Ebrahiem, E.E.; Ghaly, M.Y.; Afify, A.A.; Mohamed, R.M. An application of advanced oxidation process on industrial crude oily wastewater treatment. Sci. Rep. 2023, 13, 3420. [Google Scholar] [CrossRef]
- Wang, X.; Sun, T.; Zhu, H.; Han, T.; Wang, J.; Dai, H. Roles of pH, cation valence, and ionic strength in the stability and aggregation behavior of zinc oxide nanoparticles. J. Environ. Manag. 2020, 267, 110656. [Google Scholar] [CrossRef]
- Nosaka, Y.; Nosaka, A.Y. Generation and detection of reactive oxygen species in photocatalysis. Chem. Rev. 2017, 117, 11302–11336. [Google Scholar] [CrossRef]
- Tetteh, E.K.; Rathilal, S.; Naidoo, D.B. Photocatalytic degradation of oily waste and phenol from a local South Africa oil refinery wastewater using response methodology. Sci. Rep. 2020, 10, 8850. [Google Scholar] [CrossRef]
- Suara, M.A.; Ganiyu, S.O.; Paul, S.; Stafford, J.L.; El-Din, M.G. Solar-activated zinc oxide photocatalytic treatment of real oil sands process water: Effect of treatment parameters on naphthenic acids, polyaromatic hydrocarbons and acute toxicity removal. Sci. Total Environ. 2022, 819, 153029. [Google Scholar] [CrossRef]
- Yusuff, A.S.; Obende, B.A.; Egbosiuba, T.C. Photocatalytic decolorization of textile effluent over ZnO nanoparticles immobilized on eucalyptus bark biochar: Parametric optimization, kinetic and economic analyses. Water Resour. Ind. 2024, 31, 100245. [Google Scholar] [CrossRef]
- Chen, M.; Bao, C.; Hu, D.; Jin, X.; Huang, Q. Facile and low-cost fabrication of ZnO/biochar nanocomposites from jute fibers for efficient and stable photodegradation of methylene blue dye. J. Anal. Appl. Pyrolysis 2019, 139, 319–332. [Google Scholar] [CrossRef]
- Argyle, M.D.; Bartholomew, C.H. Heterogeneous catalyst deactivation and regeneration: A review. Catalysts 2015, 5, 145–269. [Google Scholar] [CrossRef]
- Wei, K.; Faraj, Y.; Yao, G.; Xie, R.; Lai, B. Strategies for improving perovskite photocatalysts reactivity for organic pollutants degradation: A review on recent progress. Chem. Eng. J. 2021, 414, 128783. [Google Scholar] [CrossRef]
- Lei, H.; Cui, X.; Jia, X.; Qi, J.; Wang, Z.; Chen, W. Enhanced tribocatalytic degradation of organic pollutants by ZnO nanoparticles of high crystallinity. Nanomaterials 2022, 13, 46. [Google Scholar] [CrossRef]
- Jamil, H.; Faizan, M. Facile synthesis of ZnO nanoparticles using Nigella Sativa extract and its role as catalyst in production of bio-oil and degradation of methylene blue dye. Heliyon 2024, 10, 1–16. [Google Scholar] [CrossRef]
- Bhakta, A.K.; Tang, M.; Snoussi, Y.; Khalil, A.M.; Mascarenhas, R.J.; Mekhalif, Z.; Abderrabba, M.; Ammar, S.; Chehimi, M.M. Sweety, salty, sour, and romantic biochar-supported ZnO: Highly active composite catalysts for environmental remediation. Emergent Mater. 2023, 13, 1–15. [Google Scholar] [CrossRef]
- Amir, M.; Fazal, T.; Iqbal, J.; Din, A.A.; Ahmed, A.; Ali, A.; Razzaq, A.; Ali, Z.; Rehman, M.S.U.; Park, Y.K. Integrated adsorptive and photocatalytic degradation of pharmaceutical micropollutant, ciprofloxacin employing biochar-ZnO composite photocatalysts. J. Ind. Eng. Chem. 2022, 115, 171–182. [Google Scholar] [CrossRef]
- Cai, H.; Zhang, D.; Ma, X.; Ma, Z. A novel ZnO/biochar composite catalysts for visible light degradation of metronidazole. Sep. Purif. Technol. 2022, 288, 120633. [Google Scholar] [CrossRef]
- Demarema, S.; Nasr, M.; Ookawara, S.; Abdelhaleem, A. Enhanced synergistic system for the persulfate activation under visible light using novel N–ZnO photocatalyst supported on Lantana camara-based biochar. Chemosphere 2024, 349, 140840. [Google Scholar] [CrossRef]























| Photocatalyst | 2θ | Interlayer Spacing (nm) at 2θ | FWHM (βhkl) | Dislocation Density (δ) (m−2) | Crystallite Size (nm) at 2θ | Micro Strain (µƐ) at 2θ | Crystallinity (%) |
|---|---|---|---|---|---|---|---|
| PS/ZnO | 36.5 | 0.245971 | 0.7872 | 0.010886 | 9.58 | 0.001133 | 47.65 |
| Photocatalyst | Pore Volume (cm3/g) | BET Surface Area (m2/g) | Average Pore Diameter (nm) | Particle Size (nm) |
|---|---|---|---|---|
| PS/ZnO | 0.1615 | 80.07 | 5.1292 | 620.1 |
| Oil Removal% | COD Removal% | ||||||||
|---|---|---|---|---|---|---|---|---|---|
| Source | DF | Adj SS | Adj MS | F-Value | p-Value | Adj SS | Adj MS | F-Value | p-Value |
| Model | 9 | 5165.02 | 573.89 | 14.61 | 0.000 | 5411.12 | 601.24 | 18.53 | 0.000 |
| Linear | 3 | 3859.21 | 1286.40 | 32.75 | 0.000 | 3956.34 | 1318.78 | 40.64 | 0.000 |
| A | 1 | 456.80 | 456.80 | 11.63 | 0.007 | 534.63 | 534.63 | 16.48 | 0.002 |
| B | 1 | 677.75 | 677.75 | 17.26 | 0.002 | 661.80 | 661.80 | 20.40 | 0.001 |
| C | 1 | 2148.41 | 2148.41 | 54.70 | 0.000 | 2193.75 | 2193.75 | 67.61 | 0.000 |
| Square | 3 | 308.22 | 102.74 | 2.62 | 0.109 | 241.97 | 80.66 | 2.49 | 0.120 |
| A2 | 1 | 73.67 | 73.67 | 1.88 | 0.201 | 57.61 | 57.61 | 1.78 | 0.212 |
| B2 | 1 | 157.52 | 157.52 | 4.01 | 0.073 | 85.00 | 85.00 | 2.62 | 0.137 |
| C2 | 1 | 53.70 | 53.70 | 1.37 | 0.269 | 84.64 | 84.64 | 2.61 | 0.137 |
| 2-Way Interaction | 3 | 158.62 | 52.87 | 1.35 | 0.314 | 189.56 | 63.19 | 1.95 | 0.186 |
| AB | 1 | 12.01 | 12.01 | 0.31 | 0.593 | 11.79 | 11.79 | 0.36 | 0.560 |
| AC | 1 | 29.65 | 29.65 | 0.75 | 0.405 | 29.49 | 29.49 | 0.91 | 0.363 |
| BC | 1 | 116.97 | 116.97 | 2.98 | 0.115 | 148.19 | 148.19 | 4.57 | 0.058 |
| Error | 10 | 392.77 | 39.28 | - | - | 324.47 | 32.45 | - | - |
| Total | 19 | 5557.79 | - | - | - | 5735.59 | - | - | - |
| Model Summary | SD | R-sq | R-sq(adj) | R-sq(pred) | SD | R-sq | R-sq(adj) | R-sq(pred) | |
| 6.26714 | 92.93% | 86.57% | 47.68% | 5.69625 | 94.34% | 89.25% | 56.70% | ||
| pH | Catalyst (g) | Concentration (ppm) | Removal (%) | Error% | |
|---|---|---|---|---|---|
| Pred. | Exp. | ||||
| 2 | 0.130 | 50 (oil) | 97.37 | 94.50 | 2.94 |
| 2 | 0.122 | 125 (COD) | 94.18 | 91.20 | 3.16 |
| Photocatalyst | Kinetic Models | |||||
|---|---|---|---|---|---|---|
| Zero-Order | Pseudo-First Order | Pseudo-Second Order | ||||
| k0 (g L−1 min−1) | R2 | k1 (min−1) | R2 | k2 (L g−1 min−1) | R2 | |
| PS/ZnO (Oil) | 0.6454 | 0.9800 | 0.0135 | 0.9960 | 0.00062 | 0.8919 |
| PS/ZnO (COD) | 1.3981 | 0.9602 | 0.0123 | 0.9922 | 0.000079 | 0.8510 |
| Photocatalyst | Eg (eV) | Light Source | Optimum Condition | Removal % | Ref. |
|---|---|---|---|---|---|
| China rose petals/ZnO Mandarin orange peels/ZnO Sugarcane bagasse/ZnO Algae/ZnO | - | UV visible | dose = 1 mg, H2O2 = 100 µL, time = 60 min | 46.3 (Malachite green) 67.9 66.4 99.9 | [81] |
| Coffee/ZnO | 3.36 | UV | Dose = 0.5 g/L, pH = 6.4, 60 min 30 min | 70 (Bisphenol A) 70 (Carbamazepine) 95 (Ibuprofen) 99 (Methylbenzotriazole) | [19] |
| ZnO/Calotropis gigantea leaves | 2.97 | LED | dose = 100 mg, 150 min, pH = 7 | 98.1 (COD) 98.5 (Ciprofloxacin) | [82] |
| Pine/ZnO | 3.14 | Visible light | pH = 11, time = 40 min | 97.1 (Metronidazole) | [83] |
| Pistachio shells/ZnO | 2.98 | Visible light | Dose = 0.5 g, time = 120 min | 97 (Methylene blue) | [36] |
| Lantana camera/PS/N-ZnO | 2.78 | Visible light | - | 95.7 (Methylene blue) 65.41 (Congo red) 59.23 (Methyl orange) | [84] |
| Pistachio shells/ZnO | 2.80 | Sunlight UV | Dose = 0.055 g, pH = 6, 90 min | 80.00 (Oil) 78.28 (COD) 79.20 (Oil) 77.24 (COD) | This work |
Disclaimer/Publisher’s Note: The statements, opinions and data contained in all publications are solely those of the individual author(s) and contributor(s) and not of MDPI and/or the editor(s). MDPI and/or the editor(s) disclaim responsibility for any injury to people or property resulting from any ideas, methods, instructions or products referred to in the content. |
© 2025 by the authors. Licensee MDPI, Basel, Switzerland. This article is an open access article distributed under the terms and conditions of the Creative Commons Attribution (CC BY) license (https://creativecommons.org/licenses/by/4.0/).
Share and Cite
A. Dawood, E.; Mohammed, T.J.; Al-Timimi, B.A.; H. Khader, E. Photocatalytic Degradation of Petroleum Wastewater Using ZnO-Loaded Pistachio Shell Biochar: A Sustainable Approach for Oil and COD Removal. Reactions 2025, 6, 38. https://doi.org/10.3390/reactions6030038
A. Dawood E, Mohammed TJ, Al-Timimi BA, H. Khader E. Photocatalytic Degradation of Petroleum Wastewater Using ZnO-Loaded Pistachio Shell Biochar: A Sustainable Approach for Oil and COD Removal. Reactions. 2025; 6(3):38. https://doi.org/10.3390/reactions6030038
Chicago/Turabian StyleA. Dawood, Eveleen, Thamer J. Mohammed, Buthainah Ali Al-Timimi, and Eman H. Khader. 2025. "Photocatalytic Degradation of Petroleum Wastewater Using ZnO-Loaded Pistachio Shell Biochar: A Sustainable Approach for Oil and COD Removal" Reactions 6, no. 3: 38. https://doi.org/10.3390/reactions6030038
APA StyleA. Dawood, E., Mohammed, T. J., Al-Timimi, B. A., & H. Khader, E. (2025). Photocatalytic Degradation of Petroleum Wastewater Using ZnO-Loaded Pistachio Shell Biochar: A Sustainable Approach for Oil and COD Removal. Reactions, 6(3), 38. https://doi.org/10.3390/reactions6030038

