Comparative Assessment of Aromatic Iron Corrosion Inhibitors with Electrochemical Methods
Abstract
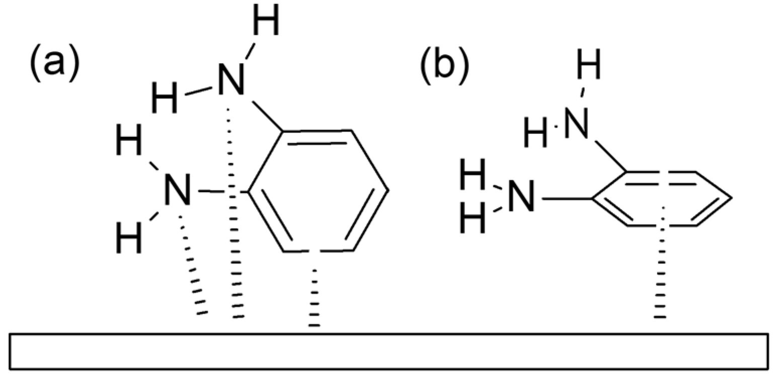
1. Introduction
2. Materials and Methods
3. Results and Discussion
| System: | 1 M HCl | 1 M HCl + 6 mM o-Phenylenediamine | 1 M HCl + 6 mM o-Toluidine | 1 M HCl + 6 mM o-Nitroaniline | |
|---|---|---|---|---|---|
| Method | Parameter | - | - | - | - |
| Eoc | Ecorr. vs. SCE/V | −0.491 | −0.486 | −0.506 | −0.404 |
| PPM | Ecorr. vs. SCE/V | −0.515 | −0.518 | −0.583 | −0.373 |
| Icorr/A | 1.3 × 10−4 | 8.9 × 10−5 | 9.8 × 10−5 | 4.5 × 10−4 | |
| Rcorr/Ω | 98.8 | 144.4 | 131.1 | 28.6 | |
| LPR | Rcorr/Ω | 195 | 328 | 340 | 69 |
| EIM | Rcorr/Ω | 157 ± 13 | 209 ± 23 | 207 ± 24 | 36 ± 6 |
4. Conclusions
Author Contributions
Funding
Data Availability Statement
Acknowledgments
Conflicts of Interest
References
- Kaesche, H. Die Korrosion der Metalle, 3rd ed.; Springer: Berlin/Heidelberg, Germany, 1990. [Google Scholar]
- El-Meligi, A.A. Corrosion preventive strategies as a crucial need for decreasing environmental pollution and saving economics. Rec. Pat. Corros. Sci. 2010, 2, 22–33. [Google Scholar] [CrossRef]
- Foroulis, Z.A. Corrosion and corrosion inhibition in the petroleum industry. Mater. Corros. 1982, 33, 121–131. [Google Scholar] [CrossRef]
- Kaesche, H. The Corrosion of Metals; Springer: Berlin/Heidelberg, Germany, 2003. [Google Scholar]
- Kelly, R.G.; Scully, J.R.; Shoesmith, D.W.; Buchheit, R.G. Electrochemical Techniques in Corrosion Science and Engineering; Marcel Dekker: New York, NY, USA, 2003. [Google Scholar]
- Groysman, A. Corrosion for Everybody; Springer: Dordrecht, The Netherlands, 2010. [Google Scholar]
- Roberg, P.R. Corrosion Engineering Principles and Practice; McGraw Hill: New York, NY, USA, 2008. [Google Scholar]
- Uhlig’s Corrosion Handbook; Revie, R.W., Uhlig, H.H., Eds.; Wiley: New York, NY, USA, 2000. [Google Scholar]
- Perez, N. Electrochemistry and Corrosion Science; Kluwer Academic Publisher: New York, NY, USA, 2004. [Google Scholar]
- Revie, R.W.; Uhlig, H.H. Corrosion and Corrosion Control; John Wiley & Sons: Hoboken, NJ, USA, 2008. [Google Scholar]
- Sastri, V.S. Green Corrosion Inhibitors; Wiley: Hoboken, NJ, USA, 2011. [Google Scholar]
- Roberge, P.R. Corrosion Basics: An Introduction, 2nd ed.; NACE International: Houston, TX, USA, 2006. [Google Scholar]
- APV-Corrosion Handbook; APV: Getzville, NY, USA, 2008.
- Jones, D.A. Principles and Prevention of Corrosion; Prentice Hall: Upper Saddle River, NJ, USA, 1996. [Google Scholar]
- Roberge, P.R. Corrosion Inspection and Monitoring; John Wiley & Sons: Hoboken, NJ, USA, 2007. [Google Scholar]
- Talbot, D.; Talbot, J. Corrosion Science and Technology; CRC Press: Boca Raton, FL, USA, 1998. [Google Scholar]
- Roscher, J.; Liu, D.; Xie, X.; Holze, R. Aromatic Metal Corrosion Inhibitors. Corros. Mater. Degrad. 2024, 5, 513–560. [Google Scholar] [CrossRef]
- Schleyer, P.V.R.; Jiao, H. What is aromaticity? Pure Appl. Chem. 1996, 68, 209–218. [Google Scholar] [CrossRef]
- Chauhan, D.S.; Singh, P.; Quraishi, M.A. Quinoxaline derivatives as efficient corrosion inhibitors: Current status, challenges and future perspectives. J. Mol. Liq. 2020, 320, 114387. [Google Scholar] [CrossRef]
- Carranza, M.S.; Reyes, Y.I.A.; Gonzales, E.C.; Arcon, D.P.; Franco, F.C., Jr. Electrochemical and quantum mechanical investigation of various small molecule organic compounds as corrosion inhibitors in mild steel. Heliyon 2021, 7, e07952. [Google Scholar] [CrossRef]
- Al-Taq, A.A.; Ali, S.A.; Nasr-El-Din, H.A. Inhibition performance of a new series of mono-/diamine-based corrosion inhibitors for HCl solutions. SPE J. 2009, 14, 627–633. [Google Scholar] [CrossRef]
- Damaskin, B.B.; Petrii, O.A.; Batrakov, V.V. Adsorption Organischer Verbindungen an Elektroden; Akademie: Berlin, Germany, 1975. [Google Scholar]
- Holze, R.; Schneider, J.; Hamann, C.H. Hamann Eine neue Methode zur Untersuchung der Elektrosorption reaktiver Verbindungen. Ber. Bunsenges. Phys. Chem. 1988, 92, 1319–1325. [Google Scholar] [CrossRef]
- Holze, R. Surface and Interface Analysis—An Electrochemists Toolbox; Springer: Heidelberg, Germany, 2009. [Google Scholar]
- Babu, B.R.; Holze, R. Corrosion and hydrogen permeation inhibition for mild steel in HCl by isomers of organic compounds. Brit. Corr. J. 2000, 35, 204–209. [Google Scholar] [CrossRef]
- Roscher, J.; Liu, D.; Holze, R. Concentration-dependent corrosion inhibition with electrochemical energy conversion systems by a disubstituted aromatic: A comparison of methods. Electrochem. Energy Technol. 2021, 7, 38–43. [Google Scholar]
- Roscher, J.; Liu, D.; Holze, R. A comparison of methods for corrosion inhibitor assessment: Mild steel protected by disubstituted aromatics. Mater. Corros. 2022, 73, 254–258. [Google Scholar] [CrossRef]
- Foroulis, Z.A.; Uhlig, H.H. Effect of Impurities in Iron on Corrosion in Acids. J. Electrochem. Soc. 1965, 112, 1177–1181. [Google Scholar] [CrossRef]
- Manciulea, I.; Bogatu, C.; Milea, A. Corrosion inhibition in saline environment using ketonic mannich base from ortho-hydroxyacetophenone. Environm. Engin. Manag. J. 2011, 10, 1269–1276. [Google Scholar] [CrossRef]
- Xie, X.; Holze, R. Experimental methods in corrosion research. ChemTexts 2018, 4, 5. [Google Scholar] [CrossRef]
- Xie, X.; Holze, R. Experimentelle Methoden in der Korrosionsforschung. Bunsen Mag. 2018, 20, 100–117. [Google Scholar]
- Göhr, H. Über Beiträge einzelner Elektrodenprozesse zur Impedanz. Ber. Bunsenges. Phys. Chem. 1981, 85, 274–280. [Google Scholar] [CrossRef]
- Shi, J.; Sun, W. Equivalent circuits fitting of electrochemical impedance spectroscopy for corrosion of reinforcing steel in concrete. Corr. Sci. Prot. Technol. 2011, 23, 387–392. [Google Scholar]
- Katayama, H. Surface and Interfacial Analysis Using Electrochemical Impedance Measurement. J. Jpn. Inst. Met. 2014, 78, 419–425. [Google Scholar] [CrossRef]
- Talian, S.D.; Bester-Rogac, M.; Dominko, R. The physicochemical properties of a [DEME][TFSI] ionic liquid-based electrolyte and their influence on the performance of lithium-sulfur batteries. Electrochim. Acta 2017, 252, 147–153. [Google Scholar] [CrossRef]
- Niya, S.M.R.; Hoorfa, M. On a possible physical origin of the constant phase element. Electrochim. Acta 2016, 188, 98–102. [Google Scholar] [CrossRef]
- Fu, L.; Qu, Q.; Holze, R.; Wu, Y. A comment on the need to distinguish between cell and electrode impedances. J. Solid State Electr. 2019, 23, 717–724. [Google Scholar] [CrossRef]
- Pirát, A.; Mészáros, L.; Lengyel, B. A comparison of electrochemical and analytical chemical methods for the determination of the corrosion rate with very efficient inhibitors. Corros. Sci. 1995, 37, 963–973. [Google Scholar] [CrossRef]
- Holze, R. Experimental Electrochemistry: A Laboratory Textbook, 2nd ed.; VCH-Wiley: Weinheim, Germany, 2019. [Google Scholar]
- Westerhoff, B.; Darwish, M.; Holze, R. A comparative study of the electrochemical corrosion behaviour of dental amalgams. J. Appl. Electrochem. 1992, 22, 1142–1146. [Google Scholar] [CrossRef]
- Mülders, C.; Darwish, M.; Holze, R. The influence of alloy composition and casting procedure upon the corrosion behaviour of dental alloys: An in vitro study. J. Oral Rehab. 1996, 23, 825–831. [Google Scholar] [CrossRef]
- Westerhoff, B.; Darwish, M.; Holze, R. A comparative electrochemical in vitro evaluation of the corrosion behaviour of dental amalgams. J. Oral Rehab. 1995, 22, 121–127. [Google Scholar] [CrossRef]
- Yurt, A.; Ulutas, S.; Dal, H. Electrochemical and theoretical investigation on the corrosion of aluminium in acidic solution containing some Schiff bases. Appl. Surf. Sci. 2006, 253, 919–925. [Google Scholar] [CrossRef]
- Babić-Samardžija, K.; Lupu, C.; Hackerman, N.; Barron, A.R.; Luttge, A. Inhibitive properties and surface morphology of a group of heterocyclic diazoles as inhibitors for acidic iron corrosion. Langmuir 2005, 21, 12187–12196. [Google Scholar] [CrossRef]







Disclaimer/Publisher’s Note: The statements, opinions and data contained in all publications are solely those of the individual author(s) and contributor(s) and not of MDPI and/or the editor(s). MDPI and/or the editor(s) disclaim responsibility for any injury to people or property resulting from any ideas, methods, instructions or products referred to in the content. |
© 2024 by the authors. Licensee MDPI, Basel, Switzerland. This article is an open access article distributed under the terms and conditions of the Creative Commons Attribution (CC BY) license (https://creativecommons.org/licenses/by/4.0/).
Share and Cite
Roscher, J.; Liu, D.; Xie, X.; Holze, R. Comparative Assessment of Aromatic Iron Corrosion Inhibitors with Electrochemical Methods. Corros. Mater. Degrad. 2024, 5, 593-600. https://doi.org/10.3390/cmd5040027
Roscher J, Liu D, Xie X, Holze R. Comparative Assessment of Aromatic Iron Corrosion Inhibitors with Electrochemical Methods. Corrosion and Materials Degradation. 2024; 5(4):593-600. https://doi.org/10.3390/cmd5040027
Chicago/Turabian StyleRoscher, Jessica, Dan Liu, Xuan Xie, and Rudolf Holze. 2024. "Comparative Assessment of Aromatic Iron Corrosion Inhibitors with Electrochemical Methods" Corrosion and Materials Degradation 5, no. 4: 593-600. https://doi.org/10.3390/cmd5040027
APA StyleRoscher, J., Liu, D., Xie, X., & Holze, R. (2024). Comparative Assessment of Aromatic Iron Corrosion Inhibitors with Electrochemical Methods. Corrosion and Materials Degradation, 5(4), 593-600. https://doi.org/10.3390/cmd5040027

