Abstract
Short sleep has been linked to overweight, possibly via alterations in appetite-regulating hormones, but findings are inconsistent. Sex differences may contribute to this variability. This systematic review examines whether sex modifies the hormonal response to sleep curtailment. PubMed, Embase, Cochrane, CINAHL, and PsycINFO were searched for English-language experimental studies published before December 2024. Included studies assessed at least one appetite-regulating hormone and presented sex-specific analyses. Studies involving health conditions affecting sleep, circadian misalignment, or additional interventions were excluded. Risk of bias was assessed using the Revised Cochrane Risk-of-Bias tool (RoB 2). Eight studies (n = 302 participants) met inclusion criteria. A narrative synthesis of the findings was conducted for each hormone separately to explore potential differences in their response to sleep restriction. Some sex-related variations in hormonal response to sleep restriction have been observed for leptin (four studies, n = 232), insulin (three studies, n = 56), glucagon-like peptide-1 (one study, n = 27), ghrelin (three studies, n = 87), adiponectin (two studies, n = 71) and thyroxine (two studies, n = 41). However, findings were inconsistent with no clear patterns. No sex-related differences were found for glucagon or PYY, though data were limited. Findings suggest sex may influence hormonal responses to sleep restriction, but inconsistencies highlight the need to consider factors such as BMI and energy balance. Well-controlled, adequately powered studies are needed to clarify these effects.
1. Introduction
Sleep is vital for life, a cornerstone of both physical and mental health. It improves mood, cognitive skills and metabolic health [1]. However, the global prevalence of sleep disturbances and sleep--related disorders has increased significantly over the last decades [2,3]. The National Sleep Foundation (NSF), the American Academy of Sleep Medicine and the Sleep Research Society recommend adults sleep 7 h or more per day [4,5]. Sleep deprivation is defined as the inability to achieve the necessary amount of sleep [6] and is due to partial sleep restriction (SR) or total sleep deprivation (TSD) [7]. Sleep debt is associated with many adverse health outcomes, impaired well-being and cognitive performance, and decreased work productivity [8,9,10]. A population particularly at risk includes school and university students who struggle with early schedules, especially as individuals of this age have later chronotypes [11]. Those individuals often report poor sleep quality, greater fatigue and less regular social rhythms [12]. Voluntary and/or experimental sleep restriction has been previously linked to adverse metabolic and cardiovascular health effects [13,14,15] and increased body weight [11,12]. Results concerning health outcomes, however, are rather inconsistent and are different for males and females [16]. While research indicates that females have consistently reported lower sleep quality in comparison to their male counterparts, objective measurements, including polysomnographic data, described females as exhibiting higher sleep quality and longer total sleep duration compared to males [17,18].
In light of the rising incidence of sleep-related disorders and obesity, the correlation between reduced sleep duration, body weight, and obesity has garnered significant attention over the past few decades. This relationship has been the subject of numerous observational and experimental studies. It has been suggested that the relationship may be partially due to different releases of appetite-regulating hormones, although results are inconsistent [19,20]. These hormones are classified as either orexigenic (stimulating appetite) or anorexigenic (suppressing appetite). The most well-known orexigenic hormone is ghrelin, which is produced by the stomach and stimulates appetite by acting on the hypothalamus [21]. Anorexigenic hormones may act in the short term—stimulated in response to a meal—such as GLP-1 and PYY, both secreted by intestinal L-cells [22], or in the long term, like insulin and leptin, which are influenced by the individual’s adiposity status [22,23]. With regard to other hormones, such as adiponectin, glucagon, and thyroid hormones (T3 and T4), the literature reports conflicting results, depending on certain conditions, concerning their role in regulating energy metabolism and appetite [24,25]. It is widely recognized that sex can affect baseline as well as postprandial concentrations of appetite-regulating hormones [26,27]. Taking into account an equivalent quantity of adipose tissue, females were shown to have higher leptin concentrations and lower insulin concentrations compared to males [28]. Although the role of adiponectin for food intake regulation may be debatable, baseline concentrations of adiponectin tended to be higher in females compared to males [29]. Moreover, following the consumption of a well-balanced mixed meal, ghrelin suppression was shown to be greater in females compared to males [30]. Ghrelin is considered a reverse adiposity signal lacking variability with increased BMI; concentrations were shown to drop in response to weight gain while they increased after weight loss [31]. In individuals with obesity, the suppression of ghrelin following meals is significantly compromised [31]. In a review published in 2023, Chaput suggested that the effect of sleep restriction on the 24 h secretion of appetite hormones, including glucagon-like peptide-1 (GLP-1) and pancreatic polypeptide, is potentially dependent on sex in addition to the context of the participants. In another review, Gallegos also suggested sex to be a possible factor in modifying the hormonal response to sleep restriction that warrants further exploration [32].
While previous systematic reviews examined the effect of sleep duration on some weight and appetite-regulating hormones [33,34,35,36,37], the impact of sex specifically on the relationship between sleep duration and appetite hormones has not been addressed in humans. Consequently, this review seeks to address the existing gap by evaluating potential sex-specific associations between sleep curtailment and hormones that are pertinent to the regulation of weight and appetite in healthy adults. Highlighting a possible impact of sex on the relationship between sleep duration and appetite regulation is a crucial step in the development of sex-specific approaches to alleviate the metabolic impact of sleep curtailment.
2. Methods
2.1. Search Strategy and Eligibility Criteria
This systematic review was conducted using the Preferred Reporting Items for Systematic Reviews and Meta-Analyses (PRISMA) guidelines [38]. The adopted protocol has been registered on Prospero (www.crd.york.ac.uk; ID CRD42020170398, accessed on 1 March 2025). The following databases were explored for articles published from inception until December 2024: PubMed, Embase, Cochrane, CINAHL and PsycINFO. The search prompt, organized in two groups of search words (i.e., sleep and appetite-regulating hormones), included all terms in titles and abstracts and has been conducted independently by two different authors of the study (MA and KS); all discrepancies were discussed and sorted out with RM and TA. The references of included articles were also explored for additional relevant studies. Included hormones comprise leptin, insulin, GLP-1, peptide YY (PYY), ghrelin, glucagon, triiodothyronine (T3), thyroxine (T4) and adiponectin. The search strategies used for all the databases are found in Appendix A.
Eligible studies were experimental studies (randomized controlled trials and parallel design studies) including a sleep duration restriction performed in healthy individuals with at least one measured hormone relevant to appetite regulation. The studies were required to encompass both female and male participants, with the analysis and reporting of appetite hormone concentrations conducted separately for each sex. Only English-language written articles were included. There was no restriction in terms of the duration of the intervention or the number of included participants. Furthermore, all participants, irrespective of their usual sleep duration, were included in the study. Both free-living and laboratory-based research were taken into account. Studies performed on individuals having any physiologic condition or health problem that may affect sleep (pregnancy, diabetes, cancer, cardiovascular diseases, sleep apnea, Parkinson’s, depression, Alzheimer’s, type 1 diabetes, or obstructive sleep apnea) were excluded. In addition, studies including a circadian misalignment or shift work manipulation were not considered. Finally, all studies including an intervention other than sleep restriction where the effect on hormones cannot be separated from the effect of sleep duration were removed.
2.2. Data Extraction Process
For the set of studies included in this systematic review, a data collection form was prepared where data extraction and recording were completed by two reviewers (MA and KS) independently. Any discrepancy was resolved by discussion with RM and TA. Extracted data included the following variables: study citation, country of origin, participants’ characteristics (age, BMI/weight), sample size per sex (including the total number of females and males whose data are included for analysis), short description of the sleep restriction, energy balance of participants during the study, duration of washout period in crossover trials, study setting, study design, sex-specific outcome(s) related to the studied hormone(s) (increase or decrease)/significant result(s) (mean, SD, effect size, period effect for crossover trials) and summarized results.
2.3. Risk of Bias Assessment
Two authors (MA and KS) independently reviewed the included studies and checked for possible risk of bias. Randomized trials (crossover and parallel design) were assessed using the Revised Cochrane Risk-of-Bias tool for randomized trials (RoB 2) [39]. Discrepancies were resolved by discussion with RM and TA until consensus was reached.
3. Results
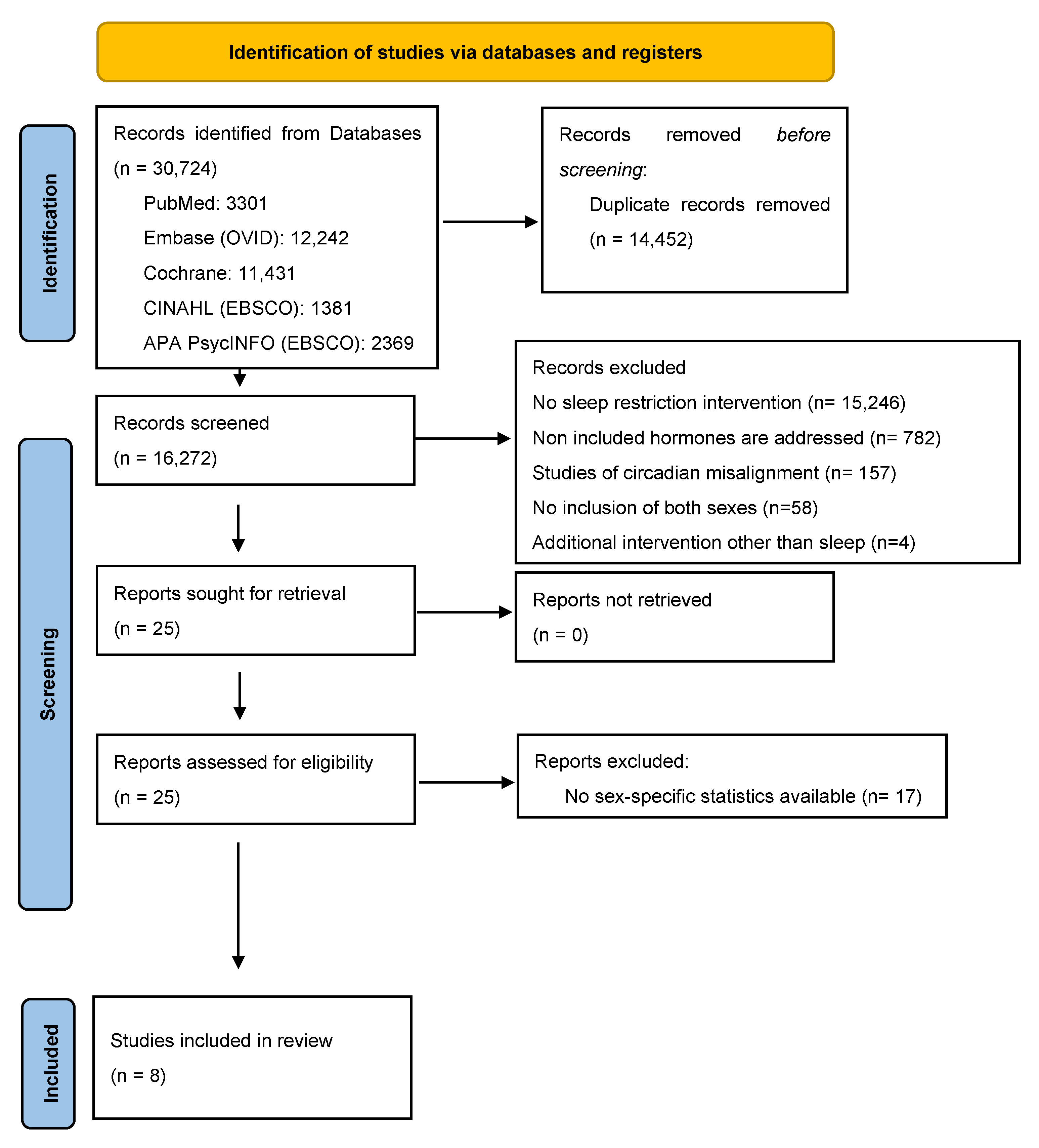
In total, 30,724 articles were retrieved, of which 14,452 duplicates were eliminated. After identifying the relevant articles and conducting a full-text screening, only eight studies were identified to include relevant data on sex differences and were deemed suitable for data extraction (see the Prisma Flow Chart in Figure 1). Among the eight included interventional studies, seven were randomized controlled trials and one was a parallel design study. The number of participants ranged from 11 to 145. Reported mean ages of participants were variable and ranged from 20.6 ± 1.3 years to 39 ± 5 years, while their BMI ranged from 17.7 to 32.6 kg/m2. While seven of the included studies addressed SR, only one study investigated TSD [40]. The duration of sleep restriction varied across studies, ranging from three nights to six weeks, while the TSD intervention was limited to just one night. The level of sleep restriction also varied across studies, with sleep duration ranging from approximately 4 to 5.5 h per night or involving reductions relative to individual baseline sleep. In six of the included studies, the sleep intervention took place in the laboratory. Caloric intake was restricted in some studies, while in others, ad libitum caloric consumption was allowed. Results of the risk of bias assessment are shown in Figure 2. A majority of the studies exhibited certain concerns primarily associated with the randomization process; however, they were generally regarded as high quality.
Figure 1.
Prisma flow diagram of literature search and articles selection process.
Figure 2.
Results obtained for the risk of bias assessment of randomized cross over trials and parallel design studies [40,41,42,43,44,45,46,47].
4. Sleep Restriction Effect on Appetite Regulating Hormones
The sex-specific effects of the sleep restriction on appetite-regulating hormones are depicted in Table 1. The table categorizes the studies based on the hormone(s) examined. Results for each sex are reported separately; when data for sex-specific differences are unavailable (e.g., in cases where no sex-specific differences are observed), results for both sexes combined are presented. However, it should be noted that only one study was initially designed and adequately powered to assess sex-specific differences [41]. Therefore, a note has been added alongside the studies to highlight this limitation.
Table 1.
Results of individual studies presenting sex-specific results for the effect of sleep restriction on appetite- and weight-regulating hormones.
4.1. Insulin and Insulin Sensitivity
Three studies addressed sex-related variations in insulin concentrations. Fasting insulin delivered inconsistent results, with one study showing a decrease after SR in females but not in males [42], while another study showed increased concentrations in both sexes with no significant difference between them [43]. Whole-body insulin sensitivity was shown to be significantly decreased after SR by 25% compared to regular sleep, with no significant differences between females and males; males, however, showed a more robust decrease in insulin sensitivity [44]. In summary, the findings pertaining to sex differences in insulin response to SR exhibit a lack of consistency.
4.2. Leptin
Four studies reported sex-related variations in leptin concentrations after SR/TSD. St-Onge [42] did not find an effect of SR on fasting leptin concentrations in either females or males. Markwald [45] did not find a significant effect of SR on leptin concentrations in females but did show a significant increase in the average 24 h leptin concentrations in males. Simpson [41] also showed an increase in mean leptin concentrations in both sexes; the effect, however, was more pronounced in females. Finally, Van Egmond [40] found a decrease in fasting leptin in response to TSD in females but not in males. In summary, the findings indicate that there are no consistent results regarding sex differences in the leptin response to sleep restriction.
4.3. Ghrelin
Ghrelin was addressed in three of the included studies. After SR, a decrease in average 24 h ghrelin in both females and males was observed by Markwald with no differences for sex [45]. The two other studies observed an increase in ghrelin concentrations after SR and TSD. This increase was seen in males, but not in females, for fasting ghrelin as well as for 24 h total ghrelin concentrations [42]. Van Egmond confirmed the presence of a significant increase in ghrelin concentrations after TSD for both sexes [40]. Based on the findings from these studies, it remains inconclusive to determine the influence of sex on the ghrelin response to stress-related stimuli.
4.4. Peptide YY, GLP-1, Adiponectin, T4 and Glucagon
For PYY, two studies addressing this hormone did not show any sex-related differences in its response to SR [42,45]. Regarding GLP-1, one study showed that fasting concentrations were not affected after five nights of SR in neither females nor males. Afternoon concentrations following five nights of SR, however, were shown to be lower in females only [42]. Adiponectin was assessed in two studies; while no significant sex-related differences were found for fasting concentrations after SR, average 24 h concentrations were lower in males only [42]. Another study showed that TSD for one night increased adiponectin concentrations significantly in females only [40]. T4 was assessed in two studies; Kessler showed mean 24 h T4 to be decreased significantly after SR in females, but not in males [46], while Petrov observed that, after SR, T4 increased non-significantly in females and decreased non-significantly in males. Finally, one study assessed the impact of SR on glucagon, showing increased concentrations after three nights of SR in both females and males with no sex differences [43]. In light of the previous literature, it has been shown that sex does not significantly influence the response of both PYY and glucagon to SR. Furthermore, the findings pertaining to GLP-1, adiponectin, and T4 exhibit inconsistencies.
5. Discussion
This systematic review aimed at examining the effect of sex as a modifier of the impact of sleep duration restriction on appetite-regulating hormones. The hormones considered were leptin, ghrelin, adiponectin, insulin, glucagon, PYY, GLP-1 and T4. In order to cover all relevant studies, RCTs and parallel design studies that reported results for females and males separately were included in this review. Most studies were randomized controlled trials. A total of 8 studies were included. Most of the sleep deprivation studies were conducted in controlled laboratory settings, while in two studies, participants were allowed to sleep at home [43,47].
Considering the available studies, this systematic review suggests the presence of some sex-related variations in the appetite-regulating hormones response to sleep restriction, although the results are inconsistent. Leptin, insulin, GLP-1, ghrelin, adiponectin and T4 have all shown variations in their response to SR, with no clear or specific patterns emerging. For glucagon and PYY, no sex-related hormonal differences were observed, likely due to the limited number of available studies. The findings indicate that sex alone is insufficient to account for the observed variations in hormonal responses to sleep restriction. It is imperative to consider additional variables that may contribute to these differences, and such factors should be incorporated into future research endeavors. Furthermore, these findings should be cautiously interpreted, as most of the included studies were not originally designed or powered to test for sex-specific variations. Therefore, the presence or absence of such differences may be influenced by limited statistical power rather than by true underlying effects.
Insulin and leptin are adiposity signals regulating food intake and energy expenditure [48]. Insulin resistance, the inability of a given amount of insulin to sufficiently stimulate glucose uptake and utilization, is a hallmark feature of type 2 diabetes [49]. Insulin resistance is more prominent in males compared to females [50]. The current review did not identify any significant differences in fasting concentrations or the overall response to sleep deprivation between female and male subjects. However, it was observed in one study that males exhibited a specific reduction in insulin sensitivity in response to sleep restriction. The sex dimorphism with regard to insulin sensitivity may be associated with sex-specific body fat distribution, differences in adipose lipid metabolism and age differences in the investigated research participants [50].
With regard to ghrelin, sex differences in its relationship with SD were observed. Those differences could in part be related to differences in sex hormones. The synthesis, secretion and degradation of ghrelin, one of the most potent orexigenic peptide hormones, appear to be directly modulated by estradiol, suggesting different impacts on food intake throughout the menstrual cycle [51]. Conversely, estrogen has been shown to directly oppose orexigenic and other metabolic effects of ghrelin in the body [51]. Sex-specific hormones, therefore, may act to conserve ghrelin metabolism in the face of SR for females under certain circumstances [51,52].
GLP-1 is produced by intestinal L-cells in the distal small intestine and in the colon; its secretion is enhanced by estrogen, which also increases GLP-1R sensitivity [53]. Given the influence of estrogen on GLP-1 secretion, changes in GLP-1 response to glucose are expected to be seen between the follicular and luteal phases and between pre- and postmenopausal women [53]. GLP-1 secretion from the colon appears to decline with age [54]. Consequently, considering a diverse age range may reduce the likelihood of identifying differences in the effects of SR. The overall results on GLP-1 and ghrelin suggest that SR may increase appetite for males through increased ghrelin concentrations while it increases appetite for females through a decrease in GLP-1 concentrations, as has been suggested previously [42].
Adiponectin is an adipokine mainly known for its anti-inflammatory, anti-oxidant and insulin-sensitizing roles [55]. It is mainly produced by adipose tissue with concentrations positively associated with gluteofemoral body fat [56]. Sex differences in adiponectin concentrations may in part be explained by changes starting during puberty, where the increase in androgen concentrations in males reduces adiponectin production [57]. The more pronounced reduction in adiponectin concentrations observed in males after sleep restriction may therefore be due to androgen-specific effects. In contrast, in females, estrogen might confer a protective role. It is worth noting that some studies show sleep restriction to be associated with menstrual irregularities and with altered concentrations of estrogen in the body, adding more complexity to the analysis of sex differences in conditions of SR [58].
Another possible explanation for the sex differences concerning the relationship between SR and appetite regulation may be activity of the hypothalamic–pituitary–adrenal (HPA) axis, ultimately serving the purpose of releasing cortisol [59]. Cortisol previously has been linked to elevated ghrelin plasma concentrations and reduced leptin plasma concentrations [60,61]. Given that sleep deprivation serves as a significant stressor leading to elevated cortisol levels, the HPA axis may play a crucial role as a mediator in the sex-dimorphic relationship between sleep deprivation and appetite regulation. Research has shown that reduced subjective sleep quality, diminished sleep efficiency and/or increased awakenings during the night might be related to higher reactivity of the HPA axis [62]. Variations in sleep duration do not seem to enhance the stress responsiveness of the HPA axis [62]. Females appear to be more susceptible to sleep-related changes in the sensitivity of the HPA axis [62,63]. Some support for the role of the HPA axis is coming from a randomized crossover study in men, which demonstrated that increased insulin resistance and hyperinsulinemia due to SR can be mitigated by clamping cortisol and testosterone [64].
While this systematic review highlights important findings supporting the sex differences in the relationship between sleep curtailment and appetite-regulating hormones, inconsistencies in those findings were even more apparent. The variations observed in the protocols of the studies (including the duration and the severity of sleep restriction), the age distribution of the participants, and the specific forms of the hormone assessed may contribute, at least partially, to the inconsistencies found in the results. Age, weight status of participants and detailed information with regard to energy intake and expenditure are factors of particular importance.
The variation in age of included participants, ranging from 18 to over 45 years, reflects the inclusion of young adults as well as middle-aged individuals. This variability may contribute to the heterogeneity observed in the hormonal responses, as age is known to influence metabolic and endocrine functions. Ghrelin and its physiological role change with age; older lean females tend to have lower levels of ghrelin compared to younger lean females and these levels remain relatively constant even in the presence of obesity, unlike in younger females, where ghrelin levels decrease in the presence of obesity [65]. Moreover, significant correlations between ghrelin and other hormones such as leptin and adiponectin, as well as with components of metabolic syndrome, have been observed in young adults but not in older individuals [65]. Furthermore, depending on age, obesity is associated with the development of leptin resistance [66]. In fact, middle-aged individuals usually experience weight gain that is followed by a state of sarcopenia at more advanced ages [66]. However, plasma leptin seems not to be affected by age as much as it is affected by the BMI of individuals. Many studies have shown that plasma leptin levels do either not change or slightly decrease with age, but they tend to increase depending on BMI independent of age [66]. Other published studies have also highlighted associations between age and the levels of serum adiponectin [67], thyroid hormones [68], and GLP-1 and PYY [54]. However, findings have been mixed, indicating the need to consider other factors beyond age in the interpretation of the levels of these hormones.
While most of the studies enrolled individuals with normal weight and overweight, none included exclusively participants of normal weight (BMI < 25 kg/m2). Other studies recruited individuals spanning a broader BMI range, from underweight (BMI = 17.7 kg/m2) to obese (BMI = 32.6 kg/m2) [40,41]. Weight is known to play an important role in ghrelin excursions [69]. Ghrelin concentrations were significantly lower in participants with elevated fat mass compared to healthy weight participants both at baseline and after total sleep deprivation [70]. A recent study conducted by Salem [71] showed adiponectin to be significantly lower in females who are overweight/obese compared to participants of normal weight. Moreover, GLP-1 release in the ileum declined with increasing BMI [54]. Several sleep restriction studies have previously supported the impact of BMI on the hormonal response to sleep restriction [40,70].
Furthermore, the energy balance of participants, along with their dietary intake patterns and diet composition, was not consistently controlled across the studies. Energy intake of participants was controlled in some studies, but not in others, and sometimes not even assessed, which makes it difficult to reach conclusions [41,42,43,44]. Sleep deprivation is characterized by a rapid increase in energy expenditure of about 4–5% that is maintained across many days [72]. This increase in energy expenditure, if not counterbalanced with similar increases in energy intake, will result in a negative energy balance [72]. Broussard [73] suggested that ad libitum or uncontrolled feeding conditions may decrease ghrelin concentrations and consequently mask the effect of sleep restriction. On the other hand, hypocaloric diets that induce moderate weight loss do not necessarily increase ghrelin concentrations [72]. Concerning the studies incorporated within this systematic review, ad libitum food intake led to an increase in serum leptin both in females and males, with a higher effect observed in females in one of the studies [41], while in another one, the increase in leptin following SR seems to have been blunted in females because of the feeding restriction that they experienced [45]. On the other hand, a slight negative energy balance may have eliminated any significant effect of SR on leptin both in females and males [42]. It is also important to note that, following sleep restriction and in cases of uncontrolled feeding, food choices and consumption patterns might change, and individuals tend to choose high-caloric foods high in sugar and fat as a stress-coping strategy [36,74,75]. Therefore, independently from its effect on appetite hormones, sleep restriction contributes to weight gain by increasing the desire to consume unhealthy food choices; in fact, SR activates some brain regions related to hunger, food choices and reward mechanisms, leading people to select high-energy dense foods [72]. Hence, assessing and possibly controlling energy intake in sleep restriction studies might give more homogenous insights into the sex-specific effects on appetite-related hormones.
Although research supports the involvement of different factors in determining the levels of appetite-regulating hormones, our systematic review did not reveal a consistent pattern regarding how these factors influence the effect of sleep restriction on hormonal response. The limited number of available studies, most of which are not adequately powered to test for sex-related differences, along with the heterogeneity in experimental conditions, such as the severity of sleep restriction, the differences in hormone analyses and sampling methods, and the inclusion of participants with wide ranges of age and BMI, make it difficult to draw clear conclusions.
Strengths and Limitations
To the best of our knowledge, this is the first systematic review to address sex as a possible modifier of the impact of sleep restriction on the concentration of appetite-regulating hormones and to include a multitude of appetite-regulating hormones. By addressing this factor, variables have been highlighted that commonly affect the outcomes in studies of sleep restriction and appetite hormones and that should be considered in future studies addressing this topic. The study also demonstrated several strengths, notably the extensive search conducted across a multitude of databases and the rigorous methodology employed, wherein all phases of the screening and data extraction processes were carried out by two independent researchers.
Nevertheless, it is essential to recognize several limitations that must be acknowledged. A first limitation of this review is the inclusion of only a small number of articles due to strict inclusion criteria as well as the restriction to English-language articles only. The studies included in this review also have limitations; the studies usually have small sample sizes and were not powered to address sex-specific research questions. The duration of the studies was often short, inconsistent methods for measuring sleep and hormones were applied, and most were lab studies, which may limit the generalizability of the findings. Furthermore, there was substantial heterogeneity in sleep restriction protocols, and the limited number of studies using comparable sleep cut-offs precluded meaningful subgroup analyses.
6. Conclusions
The present review supports the notion of sex-based differences in the response of several appetite-regulating hormones to sleep curtailment, but findings remain inconsistent. The number of studies addressing sex differences in the literature is limited, and therefore well-controlled, sufficiently powered, and specifically designed studies are needed to come to a substantiated conclusion. To utilize the sex-dimorphic and complex mechanisms underlying the relationship of sleep duration and appetite regulation for sex-specific prevention and treatment, it is of great importance to include both sexes in further studies. Moreover, other relevant variables, including age, BMI and energy balance control of participants, should be considered in those studies.
Author Contributions
Conceptualization, R.M., T.A. and M.A.; methodology, R.M., T.A. and M.A.; formal analysis, R.M., T.A., M.A. and K.S.; investigation, R.M., T.A., M.A. and K.S.; resources, R.M., T.A., M.A. and K.S.; writing, M.A.; writing–review and editing, R.M., T.A., M.A., S.K., S.E.K. and K.S.; supervision, R.M. and T.A. All authors have read and agreed to the published version of the manuscript.
Funding
This research received no external funding.
Institutional Review Board Statement
Not applicable.
Informed Consent Statement
Not applicable.
Data Availability Statement
No new data were created or analyzed in this study. Data sharing is not applicable to this article.
Conflicts of Interest
The authors declare no conflicts of interest.
Abbreviations
| BMI | Body Mass Index |
| GLP-1 | Glucagon-Like Peptide 1 |
| HPA | Hypothalamic–Pituitary–Adrenal |
| PRISMA | Preferred Reporting Items for Systematic Reviews and Meta-Analyses |
| PYY | Peptide YY |
| RCT | Randomized Controlled Trials |
| RoB | Revised Cochrane Risk-of-Bias Tool for Randomized Trials |
| SEM | Standard Error of the Mean |
| SR | Sleep Restriction |
| TIB | Time In Bed |
| T3 | Triiodothyronine |
| T4 | Thyroxine |
| TSD | Total Sleep Deprivation |
Appendix A. Search Strategies Used for All Databases
- PubMed
- #1: (sleep interven*[Title/Abstract]) OR (sleep trial[Title/Abstract]) OR (sleep hygiene[Title/Abstract]) OR (sleep chang*[Title/Abstract]) OR (sleep program*[Title/Abstract]) OR (sleep course[Title/Abstract]) OR (sleep length*[Title/Abstract]) OR (sleep decreas*[Title/Abstract]) OR (sleep reduc*[Title/Abstract]) OR (sleep short*[Title/Abstract]) OR (sleep depriv*[Title/Abstract]) OR (sleep disrupt*[Title/Abstract]) OR (sleep disturb*[Title/Abstract]) OR (sleep restrict*[Title/Abstract]) OR (sleep defici*[Title/Abstract]) OR (sleep inadequa*[Title/Abstract]) OR (sleep insufficien*[Title/Abstract]) OR (sleep manipulat*[Title/Abstract]) OR (sleep curtail*[Title/Abstract]) OR (sleep problem*[Title/Abstract]) OR (sleep quality[Title/Abstract]) OR (sleep alter*[Title/Abstract]) OR (sleep debt[Title/Abstract]) OR (sleep duration[Title/Abstract])
- AND
- #2: (hormon*[Title/Abstract]) OR (endocrin*[Title/Abstract]) OR (leptin[Title/Abstract]) OR (ghrelin[Title/Abstract]) OR (adiponectin[Title/Abstract]) OR (insulin[Title/Abstract]) OR (glucagon[Title/Abstract]) OR (PYY[Title/Abstract]) OR (peptide YY[Title/Abstract]) OR (GLP-1[Title/Abstract]) OR (glucagon-like peptide 1[Title/Abstract]) OR (pancreatic polypeptide[Title/Abstract]) OR (T3[Title/Abstract]) OR (T4[Title/Abstract]) OR (food intake[Title/Abstract]) OR (weight[Title/Abstract]) OR (metabolism[Title/Abstract]) OR (appetite[Title/Abstract]) OR (adiposity signal*[Title/Abstract]) OR (gut peptide*[Title/Abstract]) OR (thyroid hormone*[Title/Abstract])
- #3: #1 AND #2
- #3 Filters: English, Humans, Adult: 19+ years, from 1966–2024
- (#4): #3 NOT (review[Publication Type])) NOT (systematic review[Publication Type])) NOT (meta-analysis[Publication Type])
- Embase (OVID)
- #1: (sleep interven* or sleep trial or sleep hygiene or sleep chang* or sleep program* or sleep course or sleep length* or sleep decreas* or sleep reduc* or sleep short* or sleep depriv* or sleep disrupt* or sleep disturb* or sleep restrict* or sleep defici* or sleep inadequa* or sleep insufficien* or sleep manipulat* or sleep curtail* or sleep problem* or sleep quality or sleep alter* or sleep debt or sleep duration).ab.
- #2: Limit #1 to (human and english language and yr = “1934–2024”)
- #3: (hormon* or endocrin* or leptin or ghrelin or adiponectin or insulin or glucagon or PYY or peptide YY or GLP-1 or glucagon-like peptide 1 or pancreatic polypeptide or T3 or T4 or food intake or weight or metabolism or appetite or adiposity signal* or gut peptide* or thyroid hormone*).ab.
- #4: Limit #3 to (human and english language and yr = “1934–2024”)
- #5: #2 and #4
- #1: (sleep interven* or sleep trial or sleep hygiene or sleep chang* or sleep program* or sleep course or sleep length* or sleep decreas* or sleep reduc* or sleep short* or sleep depriv* or sleep disrupt* or sleep disturb* or sleep restrict* or sleep defici* or sleep inadequa* or sleep insufficien* or sleep manipulat* or sleep curtail* or sleep problem* or sleep quality or sleep alter* or sleep debt or sleep duration).ti.
- #2: Limit #1 to (human and english language and yr=“1934–2024”)
- #3: (hormon* or endocrin* or leptin or ghrelin or adiponectin or insulin or glucagon or PYY or peptide YY or GLP-1 or glucagon-like peptide 1 or pancreatic polypeptide or T3 or T4 or food intake or weight or metabolism or appetite or adiposity signal* or gut peptide* or thyroid hormone*).ti.
- #4: Limit #3 to (human and English language and yr=“1934–2024”)
- #5: #2 and #4
- Cochrane
- #1: (sleep interven* OR sleep trial OR sleep hygiene OR sleep chang* OR sleep program* OR sleep course OR sleep length* OR sleep decreas* OR sleep reduc* OR sleep short* OR sleep depriv* OR sleep disrupt* OR sleep disturb* OR sleep restrict* OR sleep defici* OR sleep inadequa* OR sleep insufficien*OR sleep manipulat* OR sleep curtail* OR sleep problem* OR sleep quality OR sleep alter* OR sleep debt OR sleep duration):ti,ab,kw
- with Publication Year from 1950 to 2024, in Trials (Word variations have been searched)
- #2: hormon* OR endocrin* OR leptin OR ghrelin OR adiponectin OR insulin OR glucagon OR PYY OR peptide YY OR GLP-1 OR glucagon-like peptide 1 OR pancreatic polypeptide OR T3 OR T4 OR food intake OR weight OR metabolism OR appetite OR adiposity signal* OR gut peptide* OR thyroid hormone*
- with Publication Year from 1950 to 2024, in Trials (Word variations have been searched)
- #3: #2 AND #3
- CINAHL (EBSCO)
- S1: XB sleep interven* OR XB sleep trial OR XB sleep hygiene OR XB sleep chang* OR XB sleep program* OR XB sleep course OR XB sleep length* OR XB sleep decreas* OR XB sleep reduc* OR XB sleep short* OR XB sleep depriv* OR XB sleep disrupt* OR XB sleep disturb* OR XB sleep restrict* OR XB sleep defici* OR XB sleep inadequa* OR XB sleep insufficien* OR XB sleep manipulat* OR XB sleep curtail* OR XB sleep problem* OR XB sleep quality OR XB sleep alter* OR XB sleep debt OR XB sleep duration
- Limiters—Publication Date: 19760101-20241231; English Language; Human; Age Groups: All Adult; Language: English
- Expanders—Apply equivalent subjects
- S2: XB hormon* OR XB endocrin* OR XB leptin OR XB ghrelin OR XB adiponectin OR XB insulin OR XB glucagon OR XB PYY OR XB peptide YY OR XB GLP-1 OR XB glucagon-like peptide 1 OR XB pancreatic polypeptide OR XB T3 OR XB T4 OR XB food intake OR XB weight OR XB metabolism OR XB appetite OR XB adiposity signal* OR XB gut peptide* OR XB thyroid hormone*
- Limiters—Publication Date: 19760101–20241231; English Language; Human; Age Groups: All Adult; Language: English
- Expanders—Apply equivalent subjects
- S3: S1 AND S2
- APA PsycINFO (EBSCO)
- S1: TI sleep interven* OR TI sleep trial OR TI sleep hygiene OR TI sleep chang* OR TI sleep program* OR TI sleep course OR TI sleep length* OR TI sleep decreas* OR TI sleep reduc* OR TI sleep short* OR TI sleep depriv* OR TI sleep disrupt* OR TI sleep disturb* OR TI sleep restrict* OR TI sleep defici* OR TI sleep inadequa* OR TI sleep insufficien* OR TI sleep manipulat* OR TI sleep curtail* OR TI sleep problem* OR TI sleep quality OR TI sleep alter* OR TI sleep debt OR TI sleep duration
- Limiters—Publication Year: 1976–2024; Publication Date: 19760101–20241231; English language; Language: English; Age Groups: Adulthood (18 yrs & older); Population Group: Human
- Expanders—Apply equivalent subjects
- Search modes—Proximity
- S2: TI hormon* OR TI endocrin* OR TI leptin OR TI ghrelin OR TI adiponectin OR TI insulin OR TI glucagon OR TI PYY OR TI peptide YY OR TI GLP-1 OR TI glucagon-like peptide 1 OR TI pancreatic polypeptide OR TI T3 OR TI T4 OR TI food intake OR TI weight OR TI metabolism OR TI appetite OR TI adiposity signal* OR TI gut peptide* OR TI thyroid hormone*
- Limiters—Publication Year: 1976–2024; Publication Date: 19760101–20241231; English language; Language: English; Age Groups: Adulthood (18 yrs & older); Population Group: Human
- Expanders—Apply equivalent subjects
- Search modes—Proximity
- S3: S1 AND S2
- S4: AB sleep interven* OR AB sleep trial OR AB sleep hygiene OR AB sleep chang* OR AB sleep program* OR AB sleep course OR AB sleep length* OR AB sleep decreas* OR AB sleep reduc* OR AB sleep short* OR AB sleep depriv* OR AB sleep disrupt* OR AB sleep disturb* OR AB sleep restrict* OR AB sleep defici* OR AB sleep inadequa* OR AB sleep insufficien* OR AB sleep manipulat* OR AB sleep curtail* OR AB sleep problem* OR AB sleep quality OR AB sleep alter* OR AB sleep debt OR AB sleep duration
- Limiters—Publication Year: 1976–2024; Publication Date: 19760101–20241231; English language; Language: English; Age Groups: Adulthood (18 yrs & older); Population Group: Human
- Expanders—Apply equivalent subjects
- Search modes—Proximity
- S5: AB hormon* OR AB endocrin* OR AB leptin OR AB ghrelin OR AB adiponectin OR AB insulin OR AB glucagon OR AB PYY OR AB peptide YY OR AB GLP-1 OR AB glucagon-like peptide 1 OR AB pancreatic polypeptide OR AB T3 OR AB T4 OR AB food intake OR AB weight OR AB metabolism OR AB appetite OR AB adiposity signal* OR AB gut peptide* OR AB thyroid hormone*
- Limiters—Publication Year: 1976–2024; Publication Date: 19760101–20241231; English language; Language: English; Age Groups: Adulthood (18 yrs & older); Population Group: Human
- Expanders—Apply equivalent subjects
- Search modes—Proximity
- S6: S4 AND S5
References
- Ramar, K.; Malhotra, R.K.; Carden, K.A.; Martin, J.L.; Abbasi-Feinberg, F.; Aurora, R.N.; Kapur, V.K.; Olson, E.J.; Rosen, C.L.; Rowley, J.A.; et al. Sleep is essential to health: An American Academy of Sleep Medicine position statement. J. Clin. Sleep Med. 2021, 17, 2115–2119. [Google Scholar] [CrossRef]
- Khubchandani, J.; Price, J.H. Short Sleep Duration in Working American Adults, 2010–2018. J. Commun. Health 2020, 45, 219–227. [Google Scholar] [CrossRef]
- Kerkhof, G.A. Epidemiology of sleep and sleep disorders in The Netherlands. Sleep Med. 2017, 30, 229–239. [Google Scholar] [CrossRef]
- How Much Sleep Do We Really Need? Sleep Foundation. 9 March 2021. Available online: https://www.sleepfoundation.org/how-sleep-works/how-much-sleep-do-we-really-need (accessed on 24 July 2023).
- Watson, N.F.; Badr, M.S.; Belenky, G.; Bliwise, D.L.; Buxton, O.M.; Buysse, D.; Dinges, D.F.; Gangwisch, J.; Grandner, M.A.; Kushida, C.; et al. Joint Consensus Statement of the American Academy of Sleep Medicine and Sleep Research Society on the Recommended Amount of Sleep for a Healthy Adult: Methodology and Discussion. Sleep 2015, 38, 1161–1183. [Google Scholar] [CrossRef]
- Sleep Deprivation: Causes, Symptoms, & Treatment. Sleep Foundation. 3 November 2020. Available online: https://www.sleepfoundation.org/sleep-deprivation (accessed on 24 July 2023).
- All-Nighters: Helpful or Harmful? Sleep Foundation. 1 August 2017. Available online: https://www.sleepfoundation.org/sleep-hygiene/why-are-all-nighters-harmful (accessed on 2 August 2023).
- Liew, S.C.; Aung, T. Sleep deprivation and its association with diseases- a review. Sleep Med. 2021, 77, 192–204. [Google Scholar] [CrossRef]
- Haavisto, M.-L.; Porkka-Heiskanen, T.; Hublin, C.; Härmä, M.; Mutanen, P.; Müller, K.; Virkkala, J.; Sallinen, M. Sleep restriction for the duration of a work week impairs multitasking performance. J. Sleep Res. 2010, 19, 444–454. [Google Scholar] [CrossRef] [PubMed]
- Gingerich, S.B.; Seaverson, E.L.D.; Anderson, D.R. Association Between Sleep and Productivity Loss Among 598 676 Employees from Multiple Industries. Am. J. Health Promot. 2018, 32, 1091–1094. [Google Scholar] [CrossRef] [PubMed]
- Roenneberg, T.; Kuehnle, T.; Pramstaller, P.P.; Ricken, J.; Havel, M.; Guth, A.; Merrow, M. A marker for the end of adolescence. Curr. Biol. 2004, 14, R1038–R1039. [Google Scholar] [CrossRef] [PubMed]
- Martin, J.S.; Hébert, M.; Ledoux, E.; Gaudreault, M.; Laberge, L. Relationship of chronotype to sleep, light exposure, and work-related fatigue in student workers. Chronobiol. Int. 2012, 29, 295–304. [Google Scholar] [CrossRef]
- Holliday, E.G.; Magee, C.A.; Kritharides, L.; Banks, E.; Attia, J. Short Sleep Duration Is Associated with Risk of Future Diabetes but Not Cardiovascular Disease: A Prospective Study and Meta-Analysis. PLoS ONE 2013, 8, e82305. [Google Scholar] [CrossRef]
- Sabanayagam, C.; Shankar, A. Sleep Duration and Cardiovascular Disease: Results from the National Health Interview Survey. Sleep 2010, 33, 1037–1042. [Google Scholar] [CrossRef]
- Wu, Y.; Zhai, L.; Zhang, D. Sleep duration and obesity among adults: A meta-analysis of prospective studies. Sleep Med. 2014, 15, 1456–1462. [Google Scholar] [CrossRef]
- Lok, R.; Qian, J.; Chellappa, S.L. Sex differences in sleep, circadian rhythms, and metabolism: Implications for precision medicine. Sleep Med. Rev. 2024, 75, 101926. [Google Scholar] [CrossRef] [PubMed]
- Mallampalli, M.P.; Carter, C.L. Exploring sex and gender differences in sleep health: A Society for Women’s Health Research Report. J. Womens Health 2014, 23, 553–562. [Google Scholar] [CrossRef] [PubMed]
- Luca, G.; Haba Rubio, J.; Andries, D.; Tobback, N.; Vollenweider, P.; Waeber, G.; Marques Vidal, P.; Preisig, M.; Heinzer, R.; Tafti, M. Age and gender variations of sleep in subjects without sleep disorders. Ann. Med. 2015, 47, 482–491. [Google Scholar] [CrossRef]
- How a Lack of Sleep May Increase Calorie Consumption. Sleep Foundation. 11 December 2020. Available online: https://www.sleepfoundation.org/sleep-deprivation/lack-sleep-may-increase-calorie-consumption (accessed on 3 September 2023).
- Broussard, J.L.; Klein, S. Insufficient sleep and obesity: Cause or consequence. Obesity 2022, 30, 1914–1916. [Google Scholar] [CrossRef] [PubMed]
- Ibrahim Abdalla, M.M. Ghrelin–Physiological Functions and Regulation. Eur. Endocrinol. 2015, 11, 90–95. [Google Scholar] [CrossRef]
- Yu, J.H.; Kim, M.-S. Molecular Mechanisms of Appetite Regulation. Diabetes Metab. J. 2012, 36, 391–398. [Google Scholar] [CrossRef]
- Obradovic, M.; Sudar-Milovanovic, E.; Soskic, S.; Essack, M.; Arya, S.; Stewart, A.J.; Gojobori, T.; Isenovic, E.R. Leptin and Obesity: Role and Clinical Implication. Front. Endocrinol. 2021, 12, 585887. [Google Scholar] [CrossRef]
- Walczak, K.; Sieminska, L. Obesity and Thyroid Axis. Int. J. Environ. Res. Public Health 2021, 18, 9434. [Google Scholar] [CrossRef]
- Begum, M.; Choubey, M.; Tirumalasetty, M.B.; Arbee, S.; Mohib, M.M.; Wahiduzzaman, M.; Mamun, M.A.; Uddin, M.B.; Mohiuddin, M.S. Adiponectin: A Promising Target for the Treatment of Diabetes and Its Complications. Life 2023, 13, 2213. [Google Scholar] [CrossRef]
- Makris, C.M.; Alexandrou, A.; Papatsoutsos, G.E.; Malietzis, G.; Tsilimigras, I.D.; Guerron, D.A.; Moris, D. Ghrelin and Obesity: Identifying Gaps and Dispelling Myths. A Reappraisal. in vivo 2017, 31, 1047–1050. [Google Scholar] [CrossRef]
- Wang, Y.; Wu, Q.; Zhou, Q.; Chen, Y.; Lei, X.; Chen, Y.; Chen, Q. Circulating acyl and des-acyl ghrelin levels in obese adults: A systematic review and meta-analysis. Sci. Rep. 2022, 12, 2679. [Google Scholar] [CrossRef] [PubMed]
- Couillard, C.; Mauriège, P.; Prud’homme, D.; Nadeau, A.; Tremblay, A.; Bouchard, C.; Després, J.-P. Plasma leptin concentrations: Gender differences and associations with metabolic risk factors for cardiovascular disease. Diabetologia 1997, 40, 1178–1184. [Google Scholar] [CrossRef] [PubMed]
- Simpson, N.S.; Banks, S.; Arroyo, S.; Dinges, D.F. Effects of sleep restriction on adiponectin levels in healthy men and women. Physiol. Behav. 2010, 101, 693–698. [Google Scholar] [CrossRef] [PubMed]
- Leone, A.; De Amicis, R.; Pellizzari, M.; Bertoli, S.; Ravella, S.; Battezzati, A. Appetite ratings and ghrelin concentrations in young adults after administration of a balanced meal. Does sex matter? Biol. Sex Differ. 2022, 13, 25. [Google Scholar] [CrossRef]
- Mihalache, L.; Gherasim, A.; Niță, O.; Ungureanu, M.C.; Pădureanu, S.S.; Gavril, R.S.; Arhire, L.I. Effects of ghrelin in energy balance and body weight homeostasis. Hormones 2016, 15, 186–196. [Google Scholar] [CrossRef]
- Gallegos, J.V.; Boege, H.L.; Zuraikat, F.M.; St-Onge, M.-P. Does sex influence the effects of experimental sleep curtailment and circadian misalignment on regulation of appetite? Curr. Opin. Endocr. Metab. Res. 2021, 17, 20–25. [Google Scholar] [CrossRef]
- Capers, P.L.; Fobian, A.D.; Kaiser, K.A.; Borah, R.; Allison, D.B. A Systemic Review and Meta-Analysis of Randomized Controlled Trials of the Impact of Sleep Duration on Adiposity and Components of Energy Balance. Obes. Rev. 2015, 16, 771–782. [Google Scholar] [CrossRef]
- Henst, R.H.P.; Pienaar, P.R.; Roden, L.C.; Rae, D.E. The effects of sleep extension on cardiometabolic risk factors: A systematic review. J. Sleep Res. 2019, 28, e12865. [Google Scholar] [CrossRef]
- Lin, J.; Jiang, Y.; Wang, G.; Meng, M.; Zhu, Q.; Mei, H.; Liu, S.; Jiang, F. Associations of short sleep duration with appetite-regulating hormones and adipokines: A systematic review and meta-analysis. Obes. Rev. 2020, 21, e13051. [Google Scholar] [CrossRef]
- Soltanieh, S.; Solgi, S.; Ansari, M.; Santos, H.O.; Abbasi, B. Effect of sleep duration on dietary intake, desire to eat, measures of food intake and metabolic hormones: A systematic review of clinical trials. Clin. Nutr. ESPEN 2021, 45, 55–65. [Google Scholar] [CrossRef] [PubMed]
- Zhu, B.; Shi, C.; Park, C.G.; Zhao, X.; Reutrakul, S. Effects of sleep restriction on metabolism-related parameters in healthy adults: A comprehensive review and meta-analysis of randomized controlled trials. Sleep Med. Rev. 2019, 45, 18–30. [Google Scholar] [CrossRef] [PubMed]
- Page, M.J.; McKenzie, J.E.; Bossuyt, P.M.; Boutron, I.; Hoffmann, T.C.; Mulrow, C.D.; Shamseer, L.; Tetzlaff, J.M.; Akl, E.A.; Brennan, S.E.; et al. The PRISMA 2020 statement: An updated guideline for reporting systematic reviews. BMJ 2021, 372, n71. [Google Scholar] [CrossRef] [PubMed]
- Sterne, J.A.C.; Savović, J.; Page, M.J.; Elbers, R.G.; Blencowe, N.S.; Boutron, I.; Cates, C.J.; Cheng, H.-Y.; Corbett, M.S.; Eldridge, S.M.; et al. RoB 2: A revised tool for assessing risk of bias in randomised trials. BMJ 2019, 366, l4898. [Google Scholar] [CrossRef]
- Van Egmond, L.T.; Meth, E.M.S.; Engström, J.; Ilemosoglou, M.; Keller, J.A.; Vogel, H.; Benedict, C. Effects of acute sleep loss on leptin, ghrelin, and adiponectin in adults with healthy weight and obesity: A laboratory study. Obesity 2023, 31, 635–641. [Google Scholar] [CrossRef]
- Simpson, N.S.; Banks, S.; Dinges, D.F. Sleep Restriction Is Associated with Increased Morning Plasma Leptin Concentrations, Especially in Women. Biol. Res. Nurs. 2010, 12, 47–53. [Google Scholar] [CrossRef]
- St-Onge, M.-P.; O’Keeffe, M.; Roberts, A.L.; RoyChoudhury, A.; Laferrère, B. Short Sleep Duration, Glucose Dysregulation and Hormonal Regulation of Appetite in Men and Women. Sleep 2012, 35, 1503–1510. [Google Scholar] [CrossRef]
- Wang, X.; Greer, J.; Porter, R.R.; Kaur, K.; Youngstedt, S.D. Short-Term Moderate Sleep Restriction Decreases Insulin Sensitivity in Young Healthy Adults. Sleep Health 2016, 2, 63–68. [Google Scholar] [CrossRef]
- Rao, M.N.; Neylan, T.C.; Grunfeld, C.; Mulligan, K.; Schambelan, M.; Schwarz, J.-M. Subchronic Sleep Restriction Causes Tissue-Specific Insulin Resistance. J. Clin. Endocrinol. Metab. 2015, 100, 1664–1671. [Google Scholar] [CrossRef]
- Markwald, R.R.; Melanson, E.L.; Smith, M.R.; Higgins, J.; Perreault, L.; Eckel, R.H.; Kenneth, P.; Wright, J. Impact of insufficient sleep on total daily energy expenditure, food intake, and weight gain. Proc. Natl. Acad. Sci. USA 2013, 110, 5695. [Google Scholar] [CrossRef]
- Kessler, L.; Nedeltcheva, A.; Imperial, J.; Penev, P.D. Changes in Serum TSH and Free T4 during Human Sleep Restriction. Sleep 2010, 33, 1115–1118. [Google Scholar] [CrossRef]
- Petrov, M.E.; Zuraikat, F.M.; Cheng, B.; Aggarwal, B.; Jelic, S.; Laferrère, B.; St-Onge, M.-P. Impact of sleep restriction on biomarkers of thyroid function: Two pooled randomized trials. Sleep Med. 2024, 124, 606–612. [Google Scholar] [CrossRef] [PubMed]
- Asarian, L.; Geary, N. Modulation of appetite by gonadal steroid hormones. Philos. Trans. R. Soc. Lond. B Biol. Sci. 2006, 361, 1251–1263. [Google Scholar] [CrossRef] [PubMed]
- Lillioja, S.; Mott, D.M.; Spraul, M.; Ferraro, R.; Foley, J.E.; Ravussin, E.; Knowler, W.C.; Bennett, P.H.; Bogardus, C. Insulin Resistance and Insulin Secretory Dysfunction as Precursors of Non-Insulin-Dependent Diabetes Mellitus: Prospective Studies of Pima Indians. N. Engl. J. Med. 1993, 329, 1988–1992. [Google Scholar] [CrossRef] [PubMed]
- Arner, P.; Viguerie, N.; Massier, L.; Rydén, M.; Astrup, A.; Blaak, E.; Langin, D.; Andersson, D.P. Sex differences in adipose insulin resistance are linked to obesity, lipolysis and insulin receptor substrate 1. Int. J. Obes. 2024, 48, 934–940. [Google Scholar] [CrossRef]
- Smith, A.; Woodside, B.; Abizaid, A. Ghrelin and the Control of Energy Balance in Females. Front. Endocrinol. 2022, 13, 904754. [Google Scholar] [CrossRef]
- De Souza, G.O.; Wasinski, F.; Donato, J. Characterization of the metabolic differences between male and female C57BL/6 mice. Life Sci. 2022, 301, 120636. [Google Scholar] [CrossRef]
- Börchers, S.; Skibicka, K.P. GLP-1 and Its Analogs: Does Sex Matter? Endocrinology 2025, 166, bqae165. [Google Scholar] [CrossRef]
- Jones, L.A.; Sun, E.W.; Lumsden, A.L.; Thorpe, D.W.; Peterson, R.A.; De Fontgalland, D.; Sposato, L.; Rabbitt, P.; Hollington, P.; Wattchow, D.A.; et al. Alterations in GLP-1 and PYY release with aging and body mass in the human gut. Mol. Cell. Endocrinol. 2023, 578, 112072. [Google Scholar] [CrossRef]
- Villarreal-Molina, M.T.; Antuna-Puente, B. Adiponectin: Anti-inflammatory and cardioprotective effects. Biochimie 2012, 94, 2143–2149. [Google Scholar] [CrossRef] [PubMed]
- Gradidge, P.J.-L.; Jaff, N.G.; Norris, S.A.; Toman, M.; Crowther, N.J. The negative association of lower body fat mass with cardiometabolic disease risk factors is partially mediated by adiponectin. Endocr. Connect. 2022, 11, e220156. [Google Scholar] [CrossRef]
- Kuryłowicz, A. Estrogens in Adipose Tissue Physiology and Obesity-Related Dysfunction. Biomedicines 2023, 11, 690. [Google Scholar] [CrossRef]
- Beroukhim, G.; Esencan, E.; Seifer, D.B. Impact of sleep patterns upon female neuroendocrinology and reproductive outcomes: A comprehensive review. Reprod. Biol. Endocrinol. 2022, 20, 16. [Google Scholar] [CrossRef]
- Dunlavey, C.J. Introduction to the Hypothalamic-Pituitary-Adrenal Axis: Healthy and Dysregulated Stress Responses, Developmental Stress and Neurodegeneration. J. Undergrad. Neurosci. Educ. 2018, 16, R59–R60. [Google Scholar] [PubMed]
- Amin, M.R.; Pednekar, D.D.; Azgomi, H.F.; van Wietmarschen, H.; Aschbacher, K.; Faghih, R.T. Sparse System Identification of Leptin Dynamics in Women with Obesity. Front. Endocrinol. 2022, 13, 769951. [Google Scholar] [CrossRef] [PubMed]
- Van Loenen, M.R.; Geenen, B.; Arnoldussen, I.A.C.; Kiliaan, A.J. Ghrelin as a prominent endocrine factor in stress-induced obesity. Nutr. Neurosci. 2022, 25, 1413–1424. [Google Scholar] [CrossRef]
- Van Dalfsen, J.H.; Markus, C.R. The influence of sleep on human hypothalamic–pituitary–adrenal (HPA) axis reactivity: A systematic review. Sleep Med. Rev. 2018, 39, 187–194. [Google Scholar] [CrossRef]
- Goel, N.; Workman, J.L.; Lee, T.T.; Innala, L.; Viau, V. Sex Differences in the HPA Axis. In Comprehensive Physiology; John Wiley & Sons, Ltd.: Hoboken, NJ, USA, 2014; pp. 1121–1155. ISBN 978-0-470-65071-4. [Google Scholar] [CrossRef]
- Liu, P.Y.; Lawrence-Sidebottom, D.; Piotrowska, K.; Zhang, W.; Iranmanesh, A.; Auchus, R.J.; Veldhuis, J.D.; Van Dongen, H.P.A. Clamping Cortisol and Testosterone Mitigates the Development of Insulin Resistance during Sleep Restriction in Men. J. Clin. Endocrinol. Metab. 2021, 106, e3436–e3448. [Google Scholar] [CrossRef]
- Schutte, A.E.; Huisman, H.W.; Schutte, R.; van Rooyen, J.M.; Malan, L.; Malan, N.T. Aging influences the level and functions of fasting plasma ghrelin levels: The POWIRS-Study. Regul. Pept. 2007, 139, 65–71. [Google Scholar] [CrossRef]
- Balaskó, M.; Soós, S.; Székely, M.; Pétervári, E. Leptin and aging: Review and questions with particular emphasis on its role in the central regulation of energy balance. J. Chem. Neuroanat. 2014, 61–62, 248–255. [Google Scholar] [CrossRef]
- Obata, Y.; Yamada, Y.; Takahi, Y.; Baden, M.Y.; Saisho, K.; Tamba, S.; Yamamoto, K.; Umeda, M.; Furubayashi, A.; Matsuzawa, Y. Relationship between serum adiponectin levels and age in healthy subjects and patients with type 2 diabetes. Clin. Endocrinol. 2013, 79, 204–210. [Google Scholar] [CrossRef] [PubMed]
- Yamada, S.; Horiguchi, K.; Akuzawa, M.; Sakamaki, K.; Yamada, E.; Ozawa, A.; Kobayashi, I.; Shimomura, Y.; Okamoto, Y.; Andou, T.; et al. The Impact of Age- and Sex-Specific Reference Ranges for Serum Thyrotropin and Free Thyroxine on the Diagnosis of Subclinical Thyroid Dysfunction: A Multicenter Study from Japan. Thyroid 2023, 33, 428–439. [Google Scholar] [CrossRef] [PubMed]
- Cooper, J.A. Factors affecting circulating levels of peptide YY in humans: A comprehensive review. Nutr. Res. Rev. 2014, 27, 186–197. [Google Scholar] [CrossRef] [PubMed]
- Bosy-Westphal, A.; Hinrichs, S.; Jauch-Chara, K.; Hitze, B.; Later, W.; Wilms, B.; Settler, U.; Peters, A.; Kiosz, D.; Müller, M.J. Influence of Partial Sleep Deprivation on Energy Balance and Insulin Sensitivity in Healthy Women. Obes. Facts 2008, 1, 266–273. [Google Scholar] [CrossRef]
- Salem, A.M.; Latif, R.; Rafique, N.; Aldawlan, M.I.; Almulla, L.B.; Alghirash, D.Y.; Fallatah, O.A.; Alotaibi, F.M.; Aljabbari, F.H.; Yar, T. Variations of Ghrelin and Obestatin Hormones During the Menstrual Cycle of Women of Different BMIs. Int. J. Womens Health 2022, 14, 1297–1305. [Google Scholar] [CrossRef]
- Chaput, J.-P.; McHill, A.W.; Cox, R.C.; Broussard, J.L.; Dutil, C.; Costa, B.G.G.d.; Sampasa-Kanyinga, H.; Kenneth, P.; Wright, J. The role of insufficient sleep and circadian misalignment in obesity. Nat. Rev. Endocrinol. 2023, 19, 82. [Google Scholar] [CrossRef]
- Broussard, J.L.; Kilkus, J.M.; Delebecque, F.; Abraham, V.; Day, A.; Whitmore, H.R.; Tasali, E. Elevated ghrelin predicts food intake during experimental sleep restriction. Obesity 2016, 24, 132–138. [Google Scholar] [CrossRef]
- Tajiri, E.; Yoshimura, E.; Tobina, T.; Yamashita, T.; Kume, K.; Hatamoto, Y.; Shimoda, S. Effects of sleep restriction on food intake and appetite under free-living conditions: A randomized crossover trial. Appetite 2023, 189, 106998. [Google Scholar] [CrossRef]
- Lundahl, A.; Nelson, T.D. Sleep and food intake: A multisystem review of mechanisms in children and adults. J. Health Psychol. 2015, 20, 794–805. [Google Scholar] [CrossRef]
Disclaimer/Publisher’s Note: The statements, opinions and data contained in all publications are solely those of the individual author(s) and contributor(s) and not of MDPI and/or the editor(s). MDPI and/or the editor(s) disclaim responsibility for any injury to people or property resulting from any ideas, methods, instructions or products referred to in the content. |
© 2025 by the authors. Licensee MDPI, Basel, Switzerland. This article is an open access article distributed under the terms and conditions of the Creative Commons Attribution (CC BY) license (https://creativecommons.org/licenses/by/4.0/).

