Transforming Soil: Climate-Smart Amendments Boost Soil Physical and Hydrological Properties
Abstract
1. Introduction
2. Materials and Methods
2.1. Location of Experimental Field and Plot Design
| Amendment | C (%) | N (%) | P (g/kg) | K (g/kg) | Ca (g/kg) | Mg (g/kg) | B (mg/kg) | Cu (mg/kg) | Fe (mg/kg) | Zn (mg/kg) | Mn (ppm) | S (%) | pH | EC (mS cm−1) |
|---|---|---|---|---|---|---|---|---|---|---|---|---|---|---|
| Soil | 0.50 | 0.09 | 0.09 | 0.07 | 0.39 | 0.07 | 6.38 | - | 253 | 2.00 | 8.00 | 0.28 | 6.89 | 0.11 |
| CM | 27.3 | 3.05 | 9.60 | 27.2 | 16.2 | 5.64 | 50.1 | 817.9 | 2494 | 465 | 500 | 1.37 | 7.02 | 17.7 |
| DM | 14.6 | 0.50 | 5.75 | 12.6 | 72.3 | 4.79 | 18.98 | 25.2 | 6025 | 129 | 335 | 0.64 | 8.40 | 8.73 |
| Biochar | 58.7 | 1.46 | 1.08 | 5.45 | 29.9 | 6.68 | 10.96 | 8.90 | 1203 | 22.0 | 90.0 | 3.15 | 5.67 | 18.9 |
2.2. Soil Sample Collection to Determine Bulk Density and Porosity
2.3. Field Infiltration Measurement for Saturated Hydraulic Conductivity
2.4. Soil Nutrient Analysis
2.5. Statistical Analysis
2.5.1. Analysis of Variance and Tukey Test
2.5.2. Sensitivity Analysis
2.5.3. Correlation Analysis
3. Results and Discussion
3.1. Variability of Soil Physical and Hydrological Properties
3.2. Organic Amendments’ Effect on Bulk Density
3.3. Organic Amendments’ Effect on Soil Porosity
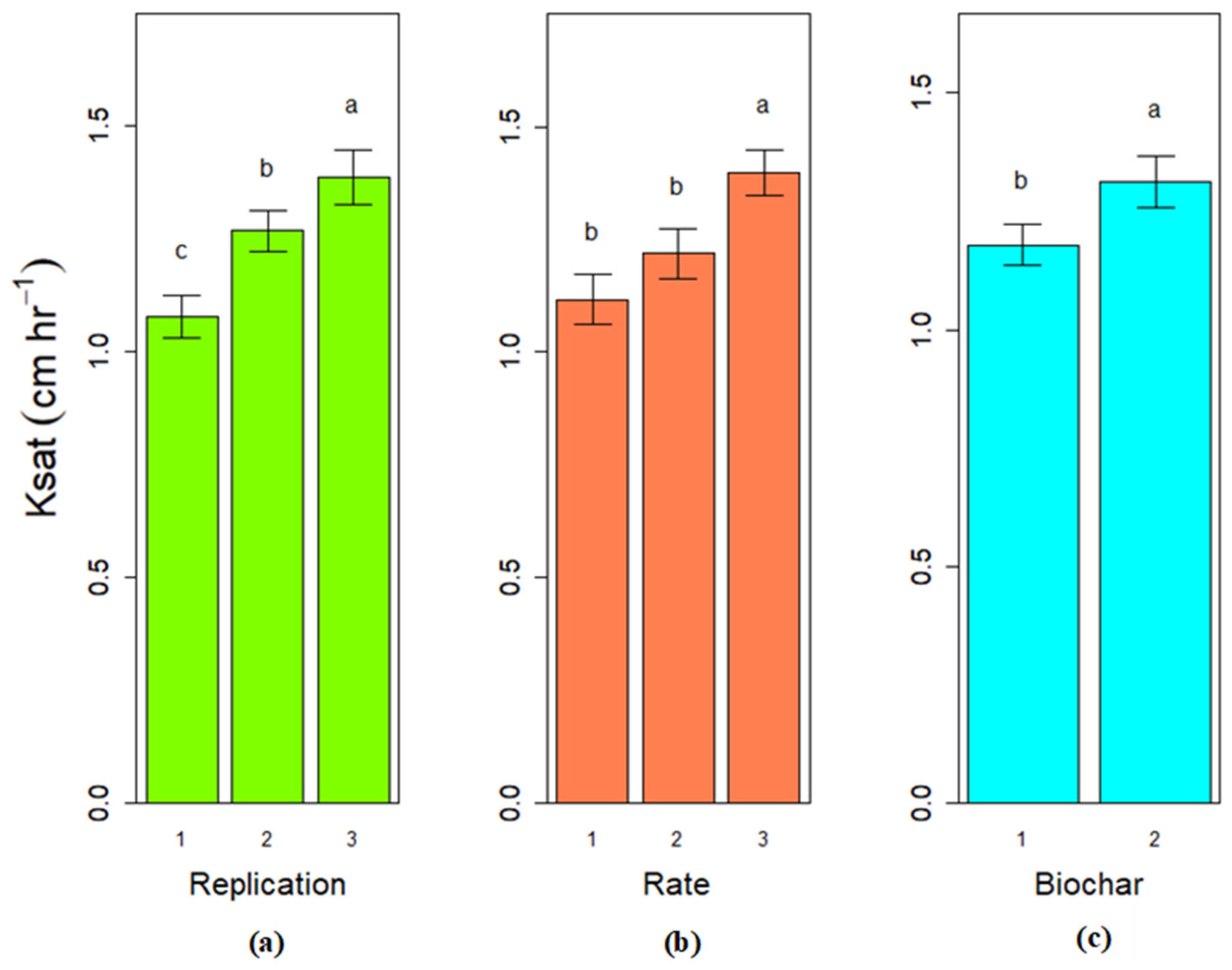
3.4. Organic Amendments’ Effect on Saturated Hydraulic Conductivity
3.5. Linking Soil Hydraulic Conductivity with Physical and Chemical Properties
3.6. Sensitivity of Soil Physical and Chemical Properties to Hydraulic Conductivity
4. Conclusions
Author Contributions
Funding
Institutional Review Board Statement
Informed Consent Statement
Data Availability Statement
Acknowledgments
Conflicts of Interest
References
- Paustian, K.; Lehmann, J.; Ogle, S.; Reay, D.; Robertson, G.P.; Smith, P. Climate-smart soils. Nature 2016, 532, 49–57. [Google Scholar] [CrossRef] [PubMed]
- Jat, H.; Choudhary, M.; Datta, A.; Yadav, A.; Meena, M.D.; Devi, R.; Gathala, M.; Jat, M.; McDonald, A.; Sharma, P. Temporal changes in soil microbial properties and nutrient dynamics under climate smart agriculture practices. Soil Tillage Res. 2020, 199, 104595. [Google Scholar] [CrossRef] [PubMed]
- Ketcheson, J.W. Long-range effects of intensive cultivation and monoculture on the quality of southern Ontario soils. Can. J. Soil Sci. 1980, 60, 403–410. [Google Scholar] [CrossRef]
- Sadeghpour, A.; Ketterings, Q.M.; Godwin, G.S.; Czymmek, K.J. Under-or over-application of nitrogen impact corn yield, quality, soil, and environment. Agron. J. 2017, 109, 343–353. [Google Scholar] [CrossRef]
- Bilgili, A.V.; Yeşilnacar, İ.; Akihiko, K.; Nagano, T.; Aydemir, A.; Hızlı, H.S.; Bilgili, A. Post-irrigation degradation of land and environmental resources in the Harran plain, southeastern Turkey. Environ. Monit. Assess. 2018, 190, 660. [Google Scholar] [CrossRef]
- Qafoku, N.P. Climate-change effects on soils: Accelerated weathering, soil carbon, and elemental cycling. Adv. Agron. 2015, 131, 111–172. [Google Scholar]
- Zizinga, A.; Mwanjalolo, J.G.M.; Tietjen, B.; Bedadi, B.; Gabiri, G.; Luswata, K.C. Impacts of climate smart agriculture practices on soil water conservation and maize productivity in rainfed cropping systems of Uganda. Front. Sustain. Food Syst. 2022, 6, 889830. [Google Scholar] [CrossRef]
- Lal, R.; Bouma, J.; Brevik, E.; Dawson, L.; Field, D.J.; Glaser, B.; Hatano, R.; Hartemink, A.E.; Kosaki, T.; Lascelles, B.; et al. Soils and sustainable development goals of the United Nations: An International Union of Soil Sciences perspective. Geoderma Reg. 2021, 25, e00398. [Google Scholar] [CrossRef]
- Azadi, H.; Moghaddam, S.M.; Burkart, S.; Mahmoudi, H.; Van Passel, S.; Kurban, A.; Lopez-Carr, D. Rethinking resilient agriculture: From climate-smart agriculture to vulnerable-smart agriculture. J. Clean. Prod. 2021, 319, 128602. [Google Scholar] [CrossRef]
- Asada, K.; Yabushita, Y.; Saito, H.; Nishimura, T. Effect of long-term swine-manure application on soil hydraulic properties and heavy metal behaviour. Eur. J. Soil Sci. 2012, 63, 368–376. [Google Scholar] [CrossRef]
- Fares, A.; Abbas, F.; Ahmad, A.; Deenik, J.L.; Safeeq, M. Response of selected soil physical and hydrologic properties to manure amendment rates, levels, andtypes. Soil Sci. 2008, 173, 522–533. [Google Scholar] [CrossRef]
- Zheng, H.; Ma, W.; He, Q. Climate-smart agricultural practices for enhanced farm productivity, income, resilience, and greenhouse gas mitigation: A comprehensive review. Mitig. Adapt. Strat. Glob. Change 2024, 29, 28. [Google Scholar] [CrossRef]
- Recha, J.W.; Olale, K.O.; Sila, A.M.; Ambaw, G.; Radeny, M.; Solomon, D. Measuring soil quality indicators under different climate-smart land uses across east African climate-smart villages. Agronomy 2022, 12, 530. [Google Scholar] [CrossRef]
- Awal, R.; El Hassan, A.; Abbas, F.; Fares, A.; Bayabil, H.K.; Ray, R.L.; Woldesenbet, S. Patterns of nutrient dynamics within and below the rootzone of collard greens grown under different organic amendment types and rates. Sustainability 2021, 13, 6857. [Google Scholar] [CrossRef]
- National Research Council; Commission on Geosciences; Board on Earth Sciences; Committee on Basic Research Opportunities in the Earth Sciences. Basic Research Opportunities in Earth Science; The National Academies Press: Washington, DC, USA, 2001. [Google Scholar]
- Jarvis, N.; Koestel, J.; Messing, I.; Moeys, J.; Lindahl, A. Influence of soil, land use and climatic factors on the hydraulic conductivity of soil. Hydrol. Earth Syst. Sci. 2013, 17, 5185–5195. [Google Scholar] [CrossRef]
- Langhans, C.; Govers, G.; Diels, J.; Clymans, W.; Van den Putte, A. Dependence of effective hydraulic conductivity on rainfall intensity: Loamy agricultural soils. Hydrol. Process. 2010, 24, 2257–2268. [Google Scholar] [CrossRef]
- Poulsen, T.G.; Moldrup, P.; Yamaguchi, T.; Jacobsen, O.H. Predicting saturated and unsaturated hydraulic conductivity in undisturbed soils from soil water characteristics. Soil Sci. 1999, 164, 877–887. [Google Scholar] [CrossRef]
- Nemes, A.; Rawls, W.J.; Pachepsky, Y.A. Influence of organic matter on the estimation of saturated hydraulic conductivity. Soil Sci. Soc. Am. J. 2005, 69, 1330–1337. [Google Scholar] [CrossRef]
- Demir, Y.; Demir, A.D. The effect of organic matter applications on the saturated hydraulic conductivity and available water-holding capacity of sandy soils. Appl. Ecol. Environ. Res. 2019, 17, 3137–3146. [Google Scholar] [CrossRef]
- Bhatti, J.S.; Comerford, N.B.; Johnston, C.T. Influence of oxalate and soil organic matter on sorption and desorption of phosphate onto a spodic horizon. Soil Sci. Soc. Am. J. 1998, 62, 1089–1095. [Google Scholar] [CrossRef]
- Shi, Y.; Zhao, X.; Gao, X.; Zhang, S.; Wu, P. The effects of long-term fertiliser applications on soil organic carbon and hydraulic properties of a loess soil in China. Land Degrad. Dev. 2016, 27, 60–67. [Google Scholar] [CrossRef]
- Gholami, L.; Karimi, N.; Kavian, A. Soil and water conservation using biochar and various soil moisture in laboratory conditions. Catena 2019, 182, 104151. [Google Scholar] [CrossRef]
- Hussain, R.; Ghosh, K.K.; Ravi, K. Influence of biochar particle size on the hydraulic conductivity of two different compacted engineered soils. Biomass Convers. Biorefin. 2023, 13, 801–811. [Google Scholar] [CrossRef]
- Araya, S.N.; Ghezzehei, T.A. Using machine learning for prediction of saturated hydraulic conductivity and its sensitivity to soil structural perturbations. Water Resour. Res. 2019, 55, 5715–5737. [Google Scholar] [CrossRef]
- Akış, R. Spatial variability of soil solute and saturated hydraulic conductivity affected by undrained water table conditions. Precis. Agric. 2015, 16, 330–359. [Google Scholar] [CrossRef]
- Wang, T.; Wedin, D.; Zlotnik, V.A. Field evidence of a negative correlation between saturated hydraulic conductivity and soil carbon in a sandy soil. Water Resour. Res. 2009, 45, W07503. [Google Scholar] [CrossRef]
- Rawls, W.J.; Nemes, A.; Pachepsky, Y.A. Effect of soil organic carbon on soil hydraulic properties. Dev. Soil Sci. 2004, 30, 95–114. [Google Scholar]
- Zhang, X.C.; Norton, L.D. Effect of exchangeable Mg on saturated hydraulic conductivity, disaggregation and clay dispersion of disturbed soils. J. Hydrol. 2002, 260, 194–205. [Google Scholar] [CrossRef]
- Tyagi, A.; Haritash, A.K. Climate-smart agriculture, enhanced agroproduction, and carbon sequestration potential of agroecosystems in India: A meta-analysis. J. Environ. Stud. Sci. 2024. [Google Scholar] [CrossRef]
- Valiya Veettil, A.; Fares, A.; Awal, R.; Mohtar, R. Assessing Future Water Scarcity in Texas under Climate Change and Growing Water Demands. J. Hydrol. Eng. 2024, 29, 05024022. [Google Scholar] [CrossRef]
- Veettil, A.V.; Fares, A.; Awal, R. Winter storm Uri and temporary drought relief in the western climate divisions of Texas. Sci. Total Environ. 2022, 835, 155336. [Google Scholar] [CrossRef] [PubMed]
- Ray, R.L.; Griffin, R.W.; Fares, A.; Elhassan, A.; Awal, R.; Woldesenbet, S.; Risch, E. Soil CO2 emission in response to organic amendments, temperature, and rainfall. Sci. Rep. 2020, 10, 5849. [Google Scholar] [CrossRef] [PubMed]
- Awal, R.; Fares, A.; Habibi, H. Irrigation Scheduling Tools: IrrigWise and IrrigWise-PRISM for Agricultural Crops and Urban Landscapes. In Proceedings of the 6th Decennial National Irrigation Symposium, San Diego, CA, USA, 6–8 December 2021; American Society of Agricultural and Biological Engineers: St. Joseph, MI, USA, 2021. [Google Scholar]
- Thapa, B.; Awal, R.; Fares, A.; Veettil, A.; Elhassan, A.; Rahman, A.; Melaku, N.; Woldesenbet, S. Positive sweet corn response with selected climate-smart agricultural practices. Agroecosyst. Geosci. Environ. 2024, 7, e70011. [Google Scholar] [CrossRef]
- Grossman, R.B.; Reinsch, T.G. 2.1 Bulk density and linear extensibility. Methods Soil. Anal. Part 4 Phys. Methods 2002, 5, 201–228. [Google Scholar]
- Flint, A.L.; Flint, L.E. 2.2 Particle Density. Methods Soil Anal. Part 4 Phys. Methods 2002, 5, 229–240. [Google Scholar]
- Kargas, G.; Koka, D.; Londra, P.A. Evaluation of Soil Hydraulic Parameters Calculation Methods Using a Tension Infiltrometer. Soil. Syst. 2022, 6, 63. [Google Scholar] [CrossRef]
- Wooding, R.A. Steady infiltration from a shallow circular pond. Water Resour. Res. 1968, 4, 1259–1273. [Google Scholar] [CrossRef]
- Hussen, A.A.; Warrick, A.W. Alternative analyses of hydraulic data from disc tension infiltrometers. Water Resour. Res. 1993, 29, 4103–4108. [Google Scholar] [CrossRef]
- Sato, J.H.; de Figueiredo, C.C.; Marchão, R.L.; Madari, B.E.; Benedito, L.E.C.; Busato, J.G.; de Souza, D.M. Methods of soil organic carbon determination in Brazilian savannah soils. Sci. Agric. 2014, 71, 302–308. [Google Scholar] [CrossRef]
- RStudio Team. RStudio: Integrated Development Environment for R. RStudio; PBC: Boston, MA, USA, 2020; Available online: http://www.rstudio.com/ (accessed on 5 October 2024).
- Sankarasubramanian, A.; Vogel, R.M.; Limbrunner, J.F. Climate elasticity of streamflow in the United States. Water Resour. Res. 2001, 37, 1771–1781. [Google Scholar] [CrossRef]
- Konapala, G.; Mishra, A.K. Three-parameter-based streamflow elasticity model: Application to MOPEX basins in the USA at annual and seasonal scales. Hydrol. Earth Syst. Sci. 2016, 20, 2545–2556. [Google Scholar] [CrossRef]
- Veettil, A.V.; Konapala, G.; Mishra, A.K.; Li, H.Y. Sensitivity of drought resilience-vulnerability-exposure to hydrologic ratios in contiguous United States. J. Hydrol. 2018, 564, 294–306. [Google Scholar] [CrossRef]
- Ahmad, A.A.; Radovich, T.J.; Nguyen, H.V.; Uyeda, J.; Arakaki, A.; Cadby, J.; Paull, R.; Sugano, J.; Teves, G. Use of organic fertilizers to enhance soil fertility, plant growth, and yield in a tropical environment. In Organic Fertilizers-from Basic Concepts to Applied Outcomes; IntechOpen: London, UK, 2016; pp. 85–108. [Google Scholar]
- Rayne, N.; Aula, L. Livestock manure and the impacts on soil health: A review. Soil Syst. 2020, 4, 64. [Google Scholar] [CrossRef]
- Toková, L.; Igaz, D.; Horák, J.; Aydin, E. Effect of biochar application and re-application on soil bulk density, porosity, saturated hydraulic conductivity, water content and soil water availability in a silty loam Haplic Luvisol. Agronomy 2020, 10, 1005. [Google Scholar] [CrossRef]
- Guo, X.; Wu, S.; Wang, X.; Liu, H. Impact of biochar addition on three-dimensional structural changes in aggregates associated with humus during swine manure composting. J. Clean. Prod. 2021, 280, 124380. [Google Scholar] [CrossRef]
- Adhikari, S.; Timms, W.; Mahmud, M.A.P. Optimising water holding capacity and hydrophobicity of biochar for soil amendment–A review. Sci. Total Environ. 2022, 851, 158043. [Google Scholar] [CrossRef]
- Barnes, R.T.; Gallagher, M.E.; Masiello, C.A.; Liu, Z.; Dugan, B. Biochar-induced changes in soil hydraulic conductivity and dissolved nutrient fluxes constrained by laboratory experiments. PLoS ONE 2014, 9, e108340. [Google Scholar] [CrossRef]
- Edeh, I.G.; Mašek, O. The role of biochar particle size and hydrophobicity in improving soil hydraulic properties. Eur. J. Soil. Sci. 2022, 73, e13138. [Google Scholar] [CrossRef]
- Delgado, A.; Gómez, J.A. The soil. Physical, chemical and biological properties. In Principles of Agronomy for Sustainable Agriculture; Springer: Cham, Switzerland, 2016; pp. 15–26. [Google Scholar]
- Communar, G.; Keren, R. Effect of transient irrigation on boron transport in soils. Soil Sci. Soc. Am. J. 2007, 71, 306–313. [Google Scholar] [CrossRef]
- Wuddivira, M.N.; Camps-Roach, G. Effects of organic matter and calcium on soil structural stability. Eur. J. Soil Sci. 2007, 58, 722–727. [Google Scholar] [CrossRef]
- Suleiman, A.A.; Ritchie, J.T. Estimating saturated hydraulic conductivity from soil porosity. Trans. ASAE 2001, 44, 235. [Google Scholar] [CrossRef]
- Schwen, A.; Bodner, G.; Scholl, P.; Buchan, G.D.; Loiskandl, W. Temporal dynamics of soil hydraulic properties and the water-conducting porosity under different tillage. Soil Tillage Res. 2011, 113, 89–98. [Google Scholar] [CrossRef]
- Mengel, K.; Kirkby, E.A. Principles of Plant Nutrition; Springer: Dordrecht, The Netherlands, 2001; pp. 621–638. [Google Scholar]
- del Carmen Martínez-Ballesta, M.; Bastías, E.; Carvajal, M. Combined effect of boron and salinity on water transport: The role of aquaporins. Plant Signal Behav. 2008, 3, 844–845. [Google Scholar] [CrossRef] [PubMed]
- Arienzo, M.; Christen, E.W.; Jayawardane, N.S.; Quayle, W.C. The relative effects of sodium and potassium on soil hydraulic conductivity and implications for winery wastewater management. Geoderma 2012, 173, 303–310. [Google Scholar] [CrossRef]
- Keren, R.; Huang, P.M. Saline and boron-affected soils. In Handbook of Soil Sciences: Resource Management and Environmental Impacts; CRC Press: Boca Raton, FL, USA, 2012; pp. 11–17. [Google Scholar]
- Yang, F.; Tang, C.; Antonietti, M. Natural and artificial humic substances to manage minerals, ions, water, and soil microorganisms. Chem. Soc. Rev. 2021, 50, 6221–6239. [Google Scholar] [CrossRef]
- Alpaydin, S.G.; Yukselen-Aksoy, Y. Evaluation of Soil Water Characteristic Curves of Boron added Sand-bentonite Mixtures using the Evaporation Technique. Ann. Civil. Environ. Eng. 2024, 8, 025–031. [Google Scholar]
- Ali, A.; Biggs, A.J.W.; Marchuk, A.; Bennett, J.M. Effect of irrigation water pH on saturated hydraulic conductivity and electrokinetic properties of acidic, neutral, and alkaline soils. Soil Sci. Soc. Am. J. 2019, 83, 1672–1682. [Google Scholar] [CrossRef]
- Liu, X.; Mao, P.; Li, L.; Ma, J. Impact of biochar application on yield-scaled greenhouse gas intensity: A meta-analysis. Sci. Total Environ. 2019, 656, 969–976. [Google Scholar] [CrossRef]







| Soil Depth (cm) | Soil Texture | Percent (%) | ||
|---|---|---|---|---|
| Sand | Silt | Clay | ||
| 0–18 | Fine Sandy Loam | 61–70 | 26–32 | 4–7 |
| 18–56 | Fine Sandy Loam | 51–62 | 29–40 | 6–9 |
| 56–147 | Sandy Clay Loam | 45–52 | 17–31 | 22–37 |
| 147–203 | Sandy Clay Loam | 38–46 | 19–23 | 31–46 |
| Source | DF | SS | MS | F | P |
|---|---|---|---|---|---|
| Replication | 2 | 0.00014 | 0.000145 | 0.653 | 0.42969 |
| Type | 1 | 0.00017 | 0.000173 | 0.78 | 0.38888 |
| Rate | 2 | 0.04348 | 0.021741 | 98.171 | 2.08 × 10−10 |
| Biochar | 1 | 0.00323 | 0.003232 | 14.594 | 0.00125 |
| Replication × Rate | 2 | 0.00038 | 0.000192 | 0.866 | 0.43745 |
| Type × Rate | 2 | 0.00162 | 0.000811 | 3.662 | 0.04629 |
| Replication × Biochar | 1 | 0.00041 | 0.000409 | 1.848 | 0.19084 |
| Type × Biochar | 1 | 0.00014 | 0.000144 | 0.649 | 0.43111 |
| Rate × Biochar | 2 | 0.00004 | 0.00002 | 0.092 | 0.91277 |
| Replication × Rate × Biochar | 2 | 0.00041 | 0.000205 | 0.925 | 0.41443 |
| Type × Rate × Biochar | 2 | 0.00058 | 0.000289 | 1.306 | 0.29541 |
| Residuals | 18 | 0.00399 | 0.000221 | ||
| Total | 35 | 0.05459 | |||
| Coefficient of Variation = 0.05% | |||||
| Source | DF | SS | MS | F | P |
|---|---|---|---|---|---|
| Replication | 2 | 0.1 | 0.15 | 0.063 | 0.80494 |
| Type | 1 | 0.2 | 0.21 | 0.092 | 0.76453 |
| Rate | 2 | 344.2 | 172.09 | 74.192 | 2.03 × 10−9 |
| Biochar | 1 | 22.4 | 22.42 | 9.666 | 0.00606 |
| Replication × Rate | 2 | 6.5 | 3.23 | 1.394 | 0.27372 |
| Type × Rate | 2 | 7.5 | 3.75 | 1.618 | 0.22593 |
| Replication × Biochar | 1 | 8.9 | 8.92 | 3.845 | 0.06556 |
| Type × Biochar | 1 | 2.6 | 2.59 | 1.116 | 0.30482 |
| Rate × Biochar | 2 | 17.9 | 8.94 | 3.854 | 0.04044 |
| Replication × Rate × Biochar | 2 | 9 | 4.48 | 1.932 | 0.17376 |
| Type × Rate × Biochar | 2 | 8.9 | 4.46 | 1.925 | 0.17479 |
| Residuals | 18 | 41.8 | 2.32 | ||
| Total | 35 | 470 | |||
| Coefficient of Variation = 5.13% | |||||
| Source | DF | SS | MS | F | P |
|---|---|---|---|---|---|
| Replication | 2 | 0.5733 | 0.5733 | 30.521 | 3.03 × 10−5 |
| Type | 1 | 0.0101 | 0.0101 | 0.537 | 0.473273 |
| Rate | 2 | 0.4878 | 0.2439 | 12.987 | 0.000323 |
| Biochar | 1 | 0.1599 | 0.1599 | 8.515 | 0.009179 |
| Replication × Rate | 2 | 0.0181 | 0.0091 | 0.483 | 0.62482 |
| Type × Rate | 2 | 0.0079 | 0.004 | 0.211 | 0.811453 |
| Replication × Biochar | 1 | 0.0131 | 0.0131 | 0.7 | 0.413759 |
| Type × Biochar | 1 | 0.0015 | 0.0015 | 0.08 | 0.780459 |
| Rate × Biochar | 2 | 0.0239 | 0.012 | 0.637 | 0.540306 |
| Replication × Rate × Biochar | 2 | 0.0008 | 0.0004 | 0.022 | 0.978642 |
| Type × Rate × Biochar | 2 | 0.0093 | 0.0047 | 0.248 | 0.782824 |
| Residuals | 18 | 0.3381 | 0.0188 | ||
| Total | 35 | 1.6438 | |||
| Coefficient of Variation = 0.46% | |||||
Disclaimer/Publisher’s Note: The statements, opinions and data contained in all publications are solely those of the individual author(s) and contributor(s) and not of MDPI and/or the editor(s). MDPI and/or the editor(s) disclaim responsibility for any injury to people or property resulting from any ideas, methods, instructions or products referred to in the content. |
© 2024 by the authors. Licensee MDPI, Basel, Switzerland. This article is an open access article distributed under the terms and conditions of the Creative Commons Attribution (CC BY) license (https://creativecommons.org/licenses/by/4.0/).
Share and Cite
Veettil, A.V.; Rahman, A.; Awal, R.; Fares, A.; Melaku, N.D.; Thapa, B.; Elhassan, A.; Woldesenbet, S. Transforming Soil: Climate-Smart Amendments Boost Soil Physical and Hydrological Properties. Soil Syst. 2024, 8, 134. https://doi.org/10.3390/soilsystems8040134
Veettil AV, Rahman A, Awal R, Fares A, Melaku ND, Thapa B, Elhassan A, Woldesenbet S. Transforming Soil: Climate-Smart Amendments Boost Soil Physical and Hydrological Properties. Soil Systems. 2024; 8(4):134. https://doi.org/10.3390/soilsystems8040134
Chicago/Turabian StyleVeettil, Anoop Valiya, Atikur Rahman, Ripendra Awal, Ali Fares, Nigus Demelash Melaku, Binita Thapa, Almoutaz Elhassan, and Selamawit Woldesenbet. 2024. "Transforming Soil: Climate-Smart Amendments Boost Soil Physical and Hydrological Properties" Soil Systems 8, no. 4: 134. https://doi.org/10.3390/soilsystems8040134
APA StyleVeettil, A. V., Rahman, A., Awal, R., Fares, A., Melaku, N. D., Thapa, B., Elhassan, A., & Woldesenbet, S. (2024). Transforming Soil: Climate-Smart Amendments Boost Soil Physical and Hydrological Properties. Soil Systems, 8(4), 134. https://doi.org/10.3390/soilsystems8040134

