Exploring the Distribution and Impact of Bosonic Dark Matter in Neutron Stars
Abstract
1. Introduction
2. Two-Fluid DM-Admixed NSs
3. DM Distributions in NSs
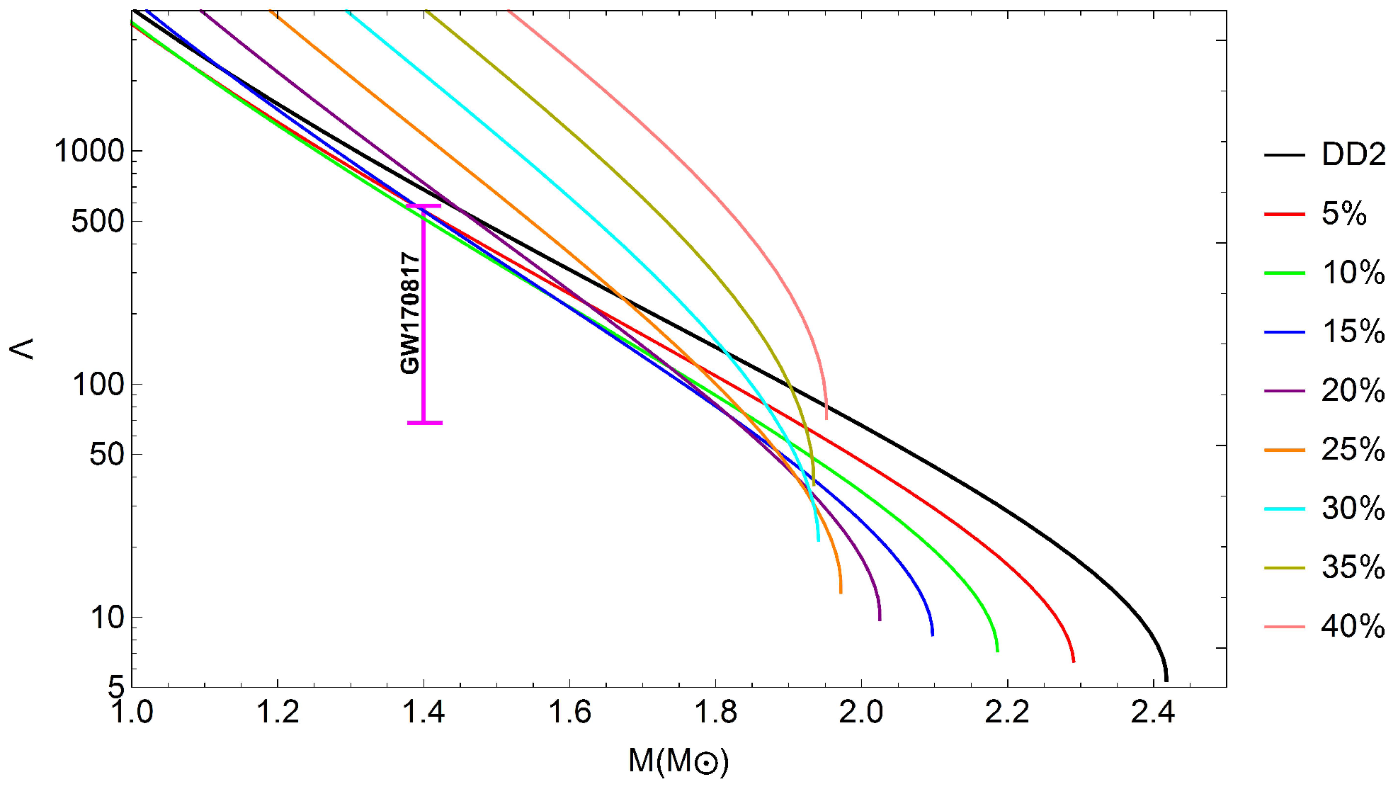
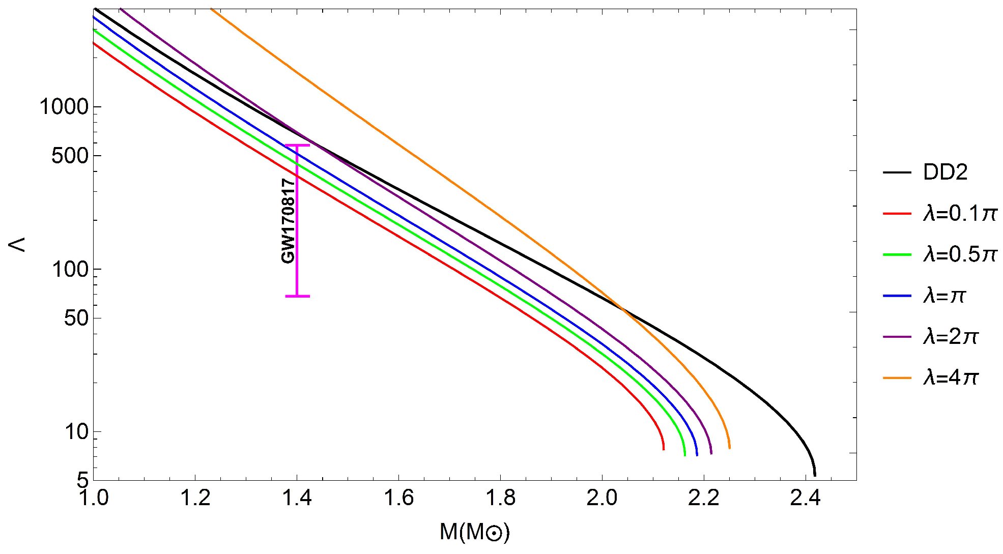
4. Tidal Deformability of DM-Admixed NSs
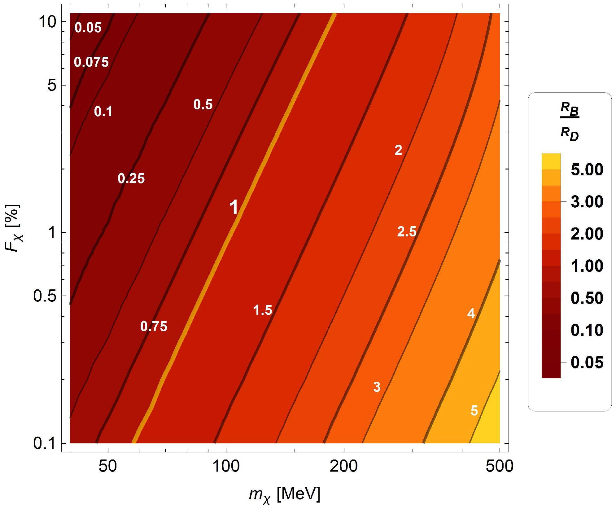
5. Probing Bosonic DM Parameter Space
6. Conclusions
Author Contributions
Funding
Data Availability Statement
Acknowledgments
Conflicts of Interest
Abbreviations
| NS | Neutron star |
| DM | Dark matter |
| BM | Baryonic matter |
| EoS | Equation of state |
| TOV | Tolman–Oppenheimer–Volkof |
| DD2 | Parameterization of a GDRF for hadronic matter including only nucleons |
| GW | Gravitational wave |
| NICER | Neutron Star Interior Composition ExploreR |
References
- Baryakhtar, M.; Caputo, R.; Croon, D.; Perez, K.; Berti, E.; Bramante, J.; Buschmann, M.; Brito, R.; Chen, T.Y.; Cole, P.S.; et al. Dark Matter in Extreme Astrophysical Environments. In Proceedings of the 2022 Snowmass Summer Study, Seattle, WA, USA, 17–26 July 2022; Volume 3. [Google Scholar]
- Leane, R.K.; Smirnov, J. Exoplanets as Sub-GeV Dark Matter Detectors. Phys. Rev. Lett. 2021, 126, 161101. [Google Scholar] [CrossRef] [PubMed]
- Bramante, J.; Raj, N. Dark matter in compact stars. arXiv 2023, arXiv:2307.14435. [Google Scholar] [CrossRef]
- Leane, R.K.; Smirnov, J. Floating dark matter in celestial bodies. J. Cosmol. Astropart. Phys. 2023, 10, 57. [Google Scholar] [CrossRef]
- Ellis, J.; Hütsi, G.; Kannike, K.; Marzola, L.; Raidal, M.; Vaskonen, V. Dark Matter Effects On Neutron Star Properties. Phys. Rev. D 2018, 97, 123007. [Google Scholar] [CrossRef]
- Nelson, A.; Reddy, S.; Zhou, D. Dark halos around neutron stars and gravitational waves. J. Cosmol. Astropart. Phys. 2019, 7, 12. [Google Scholar] [CrossRef]
- Ryan, M.; Radice, D. Exotic compact objects: The dark white dwarf. Phys. Rev. D 2022, 105, 115034. [Google Scholar] [CrossRef]
- Chan, H.S.; Chu, M.C.; Leung, S.C. Dark Matter–admixed Rotating White Dwarfs as Peculiar Compact Objects. Astrophys. J. 2022, 941, 115. [Google Scholar] [CrossRef]
- Liang, D.; Shao, L. Improved bounds on the bosonic dark matter with pulsars in the Milky Way. J. Cosmol. Astropart. Phys. 2023, 8, 16. [Google Scholar] [CrossRef]
- Karkevandi, D.R.; Shakeri, S.; Sagun, V.; Ivanytskyi, O. Bosonic dark matter in neutron stars and its effect on gravitational wave signal. Phys. Rev. D 2022, 105, 023001. [Google Scholar] [CrossRef]
- Shakeri, S.; Karkevandi, D.R. Bosonic Dark Matter in Light of the NICER Precise Mass-Radius Measurements. arXiv 2022, arXiv:2210.17308. [Google Scholar] [CrossRef]
- Diedrichs, R.F.; Becker, N.; Jockel, C.; Christian, J.E.; Sagunski, L.; Schaffner-Bielich, J. Tidal deformability of fermion-boson stars: Neutron stars admixed with ultralight dark matter. Phys. Rev. D 2023, 108, 064009. [Google Scholar] [CrossRef]
- Rutherford, N.; Raaijmakers, G.; Prescod-Weinstein, C.; Watts, A. Constraining bosonic asymmetric dark matter with neutron star mass-radius measurements. Phys. Rev. D 2023, 107, 103051. [Google Scholar] [CrossRef]
- Giangrandi, E.; Sagun, V.; Ivanytskyi, O.; Providência, C.; Dietrich, T. The Effects of Self-interacting Bosonic Dark Matter on Neutron Star Properties. Astrophys. J. 2023, 953, 115. [Google Scholar] [CrossRef]
- Ivanytskyi, O.; Sagun, V.; Lopes, I. Neutron stars: New constraints on asymmetric dark matter. Phys. Rev. D 2020, 102, 063028. [Google Scholar] [CrossRef]
- Deliyergiyev, M.; Del Popolo, A.; Delliou, M.L. Neutron star mass in dark matter clumps. Mon. Not. R. Astron. Soc. 2023, 527, 4483–4504. [Google Scholar] [CrossRef]
- Bhattacharya, S.; Dasgupta, B.; Laha, R.; Ray, A. Can LIGO Detect Nonannihilating Dark Matter? Phys. Rev. Lett. 2023, 131, 091401. [Google Scholar] [CrossRef] [PubMed]
- Shahrbaf, M. Appearance of sexaquark in the core of neutron stars as a candidate of dark matter. J. Phys. Conf. Ser. 2023, 2536, 012001. [Google Scholar] [CrossRef]
- Shahrbaf, M.; Blaschke, D.; Typel, S.; Farrar, G.R.; Alvarez-Castillo, D.E. Sexaquark dilemma in neutron stars and its solution by quark deconfinement. Phys. Rev. D 2022, 105, 103005. [Google Scholar] [CrossRef]
- Berryman, J.M.; Gardner, S.; Zakeri, M. Neutron Stars with Baryon Number Violation, Probing Dark Sectors. Symmetry 2022, 14, 518. [Google Scholar] [CrossRef]
- Shirke, S.; Ghosh, S.; Chatterjee, D.; Sagunski, L.; Schaffner-Bielich, J. R-modes as a New Probe of Dark Matter in Neutron Stars. arXiv 2023, arXiv:2305.05664. [Google Scholar] [CrossRef]
- Husain, W.; Motta, T.F.; Thomas, A.W. Consequences of neutron decay inside neutron stars. J. Cosmol. Astropart. Phys. 2022, 10, 28. [Google Scholar] [CrossRef]
- Maselli, A.; Pnigouras, P.; Nielsen, N.G.; Kouvaris, C.; Kokkotas, K.D. Dark stars: Gravitational and electromagnetic observables. Phys. Rev. D 2017, 96, 023005. [Google Scholar] [CrossRef]
- Pitz, S.L.; Schaffner-Bielich, J. Generating ultra compact boson stars with modified scalar potentials. arXiv 2023, arXiv:2308.01254. [Google Scholar]
- Cassing, M.; Brisebois, A.; Azeem, M.; Schaffner-Bielich, J. Exotic Compact Objects with Two Dark Matter Fluids. Astrophys. J. 2023, 944, 130. [Google Scholar] [CrossRef]
- Eby, J.; Kouvaris, C.; Nielsen, N.G.; Wijewardhana, L. Boson Stars from Self-Interacting Dark Matter. J. High Energy Phys. 2016, 2, 28. [Google Scholar] [CrossRef]
- Dietrich, T.; Day, F.; Clough, K.; Coughlin, M.; Niemeyer, J. Neutron star—Axion star collisions in the light of multimessenger astronomy. Mon. Not. R. Astron. Soc. 2019, 483, 908–914. [Google Scholar] [CrossRef]
- Clough, K.; Dietrich, T.; Niemeyer, J.C. Axion star collisions with black holes and neutron stars in full 3D numerical relativity. Phys. Rev. D 2018, 98, 083020. [Google Scholar] [CrossRef]
- Huth, S.; Pang, P.T.H.; Tews, I.; Dietrich, T.; Le Fèvre, A.; Schwenk, A.; Trautmann, W.; Agarwal, K.; Bulla, M.; Coughlin, M.W.; et al. Constraining Neutron-Star Matter with Microscopic and Macroscopic Collisions. Nature 2022, 606, 276–280. [Google Scholar] [CrossRef]
- Raaijmakers, G.; Greif, S.K.; Hebeler, K.; Hinderer, T.; Nissanke, S.; Schwenk, A.; Riley, T.E.; Watts, A.L.; Lattimer, J.M.; Ho, W.C.G. Constraints on the Dense Matter Equation of State and Neutron Star Properties from NICER’s Mass—Radius Estimate of PSR J0740+6620 and Multimessenger Observations. Astrophys. J. Lett. 2021, 918, L29. [Google Scholar] [CrossRef]
- Hippert, M.; Dillingham, E.; Tan, H.; Curtin, D.; Noronha-Hostler, J.; Yunes, N. Dark matter or regular matter in neutron stars? How to tell the difference from the coalescence of compact objects. Phys. Rev. D 2023, 107, 115028. [Google Scholar] [CrossRef]
- Collier, M.; Croon, D.; Leane, R.K. Tidal Love numbers of novel and admixed celestial objects. Phys. Rev. D 2022, 106, 123027. [Google Scholar] [CrossRef]
- Rafiei Karkevandi, D.; Shakeri, S.; Sagun, V.; Ivanytskyi, O. Tidal deformability as a probe of dark matter in neutron stars. In Proceedings of the 16th Marcel Grossmann Meeting on Recent Developments in Theoretical and Experimental General Relativity, Astrophysics and Relativistic Field Theories, Virtual Event, 5–10 July 2021; Volume 12. [Google Scholar] [CrossRef]
- Dengler, Y.; Schaffner-Bielich, J.; Tolos, L. Second Love number of dark compact planets and neutron stars with dark matter. Phys. Rev. D 2022, 105, 043013. [Google Scholar] [CrossRef]
- Routaray, P.; Das, H.C.; Sen, S.; Kumar, B.; Panotopoulos, G.; Zhao, T. Radial oscillations of dark matter admixed neutron stars. Phys. Rev. D 2023, 107, 103039. [Google Scholar] [CrossRef]
- Cronin, J.; Zhang, X.; Kain, B. Rotating dark matter admixed neutron stars. Phys. Rev. D 2023, 108, 103016. [Google Scholar] [CrossRef]
- Jockel, C.; Sagunski, L. Fermion Proca Stars: Vector Dark Matter Admixed Neutron Stars. Particles 2024, 7, 52–79. [Google Scholar] [CrossRef]
- Panotopoulos, G.; Lopes, I. Dark matter effect on realistic equation of state in neutron stars. Phys. Rev. D 2017, 96, 083004. [Google Scholar] [CrossRef]
- Das, H.C.; Kumar, A.; Kumar, B.; Kumar Biswal, S.; Nakatsukasa, T.; Li, A.; Patra, S.K. Effects of dark matter on the nuclear and neutron star matter. Mon. Not. R. Astron. Soc. 2020, 495, 4893–4903. [Google Scholar] [CrossRef]
- Lourenço, O.; Lenzi, C.H.; Frederico, T.; Dutra, M. Dark matter effects on tidal deformabilities and moment of inertia in a hadronic model with short-range correlations. Phys. Rev. D 2022, 106, 043010. [Google Scholar] [CrossRef]
- Routaray, P.; Mohanty, S.R.; Das, H.C.; Ghosh, S.; Kalita, P.J.; Parmar, V.; Kumar, B. Investigating Dark Matter-Admixed Neutron Stars with NITR Equation of State in Light of PSR J0952-0607. J. Cosmol. Astropart. Phys. 2023, 10, 73. [Google Scholar] [CrossRef]
- Guha, A.; Sen, D. Constraining the mass of fermionic dark matter from its feeble interaction with hadronic matter via dark mediators in neutron stars. arXiv 2024, arXiv:2401.14419. [Google Scholar] [CrossRef]
- Sandin, F.; Ciarcelluti, P. Effects of mirror dark matter on neutron stars. Astropart. Phys. 2009, 32, 278–284. [Google Scholar] [CrossRef]
- Ciarcelluti, P.; Sandin, F. Have neutron stars a dark matter core? Phys. Lett. B 2011, 695, 19–21. [Google Scholar] [CrossRef]
- Rezaei, Z. Fuzzy dark matter in relativistic stars. Mon. Not. R. Astron. Soc. 2023, 524, 2015–2024. [Google Scholar] [CrossRef]
- Thakur, P.; Malik, T.; Das, A.; Jha, T.K.; Providência, C. Exploring robust correlations between fermionic dark matter model parameters and neutron star properties: A two-fluid perspective. arXiv 2023, arXiv:2308.00650. [Google Scholar] [CrossRef]
- Rezaei, Z. Study of Dark-Matter Admixed Neutron Stars Using the Equation of State from the Rotational Curves of Galaxies. Astrophys. J. 2017, 835, 33. [Google Scholar] [CrossRef]
- Gleason, T.; Brown, B.; Kain, B. Dynamical evolution of dark matter admixed neutron stars. Phys. Rev. D 2022, 105, 023010. [Google Scholar] [CrossRef]
- Sun, H.; Wen, D. A new criterion for the existence of dark matter in neutron stars. arXiv 2023, arXiv:2312.17288. [Google Scholar]
- Kaplan, D.E.; Luty, M.A.; Zurek, K.M. Asymmetric Dark Matter. Phys. Rev. D 2009, 79, 115016. [Google Scholar] [CrossRef]
- Ávila, A.; Giangrandi, E.; Sagun, V.; Ivanytskyi, O.; Providência, C. Rapid neutron star cooling triggered by accumulated dark matter. arXiv 2023, arXiv:2309.03894. [Google Scholar]
- Ángeles Pérez-García, M.; Grigorian, H.; Albertus, C.; Barba, D.; Silk, J. Cooling of Neutron Stars admixed with light dark matter: A case study. Phys. Lett. B 2022, 827, 136937. [Google Scholar] [CrossRef]
- Chatterjee, S.; Garani, R.; Jain, R.K.; Kanodia, B.; Kumar, M.S.N.; Vempati, S.K. Faint light of old neutron stars from dark matter capture and detectability at the James Webb Space Telescope. arXiv 2022, arXiv:2205.05048. [Google Scholar]
- Alvarez, G.; Joglekar, A.; Phoroutan-Mehr, M.; Yu, H.B. Heating neutron stars with inelastic dark matter and relativistic targets. Phys. Rev. D 2023, 107, 103024. [Google Scholar] [CrossRef]
- Nguyen, T.T.Q.; Tait, T.M.P. Bounds on long-lived dark matter mediators from neutron stars. Phys. Rev. D 2023, 107, 115016. [Google Scholar] [CrossRef]
- Bauswein, A.; Guo, G.; Lien, J.H.; Lin, Y.H.; Wu, M.R. Compact dark objects in neutron star mergers. Phys. Rev. D 2023, 107, 083002. [Google Scholar] [CrossRef]
- Bezares, M.; Viganò, D.; Palenzuela, C. Gravitational wave signatures of dark matter cores in binary neutron star mergers by using numerical simulations. Phys. Rev. D 2019, 100, 044049. [Google Scholar] [CrossRef]
- Ellis, J.; Hektor, A.; Hütsi, G.; Kannike, K.; Marzola, L.; Raidal, M.; Vaskonen, V. Search for Dark Matter Effects on Gravitational Signals from Neutron Star Mergers. Phys. Lett. B 2018, 781, 607–610. [Google Scholar] [CrossRef]
- Emma, M.; Schianchi, F.; Pannarale, F.; Sagun, V.; Dietrich, T. Numerical Simulations of Dark Matter Admixed Neutron Star Binaries. Particles 2022, 5, 273–286. [Google Scholar] [CrossRef]
- Rüter, H.R.; Sagun, V.; Tichy, W.; Dietrich, T. Quasi-equilibrium configurations of binary systems of dark matter admixed neutron stars. arXiv 2023, arXiv:2301.03568. [Google Scholar]
- Das, H.C.; Kumar, A.; Patra, S.K. Effects of dark matter on the inspiral properties of the binary neutron star. arXiv 2021, arXiv:2104.01815. [Google Scholar]
- Miller, M.C.; Lamb, F.K.; Dittmann, A.J.; Bogdanov, S.; Arzoumanian, Z.; Gendreau, K.C.; Guillot, S.; Harding, A.K.; Ho, W.C.G.; Lattimer, J.M. PSR J0030+0451 Mass and Radius from NICER Data and Implications for the Properties of Neutron Star Matter. Astrophys. J. Lett. 2019, 887, L24. [Google Scholar] [CrossRef]
- Riley, T.E.; Watts, A.L.; Ray, P.S.; Boghanov, S.; Guillot, S.; Morsink, S.M.; Bilous, A.V.; Arzoumanian, Z.; Choudhury, D.; Deneva, J.S. A NICER View of the Massive Pulsar PSR J0740+6620 Informed by Radio Timing and XMM-Newton Spectroscopy. Astrophys. J. Lett. 2021, 918, L27. [Google Scholar] [CrossRef]
- Watts, A.L. Constraining the neutron star equation of state using Pulse Profile Modeling. AIP Conf. Proc. 2019, 2127, 020008. [Google Scholar] [CrossRef]
- Miao, Z.; Zhu, Y.; Li, A.; Huang, F. Dark Matter Admixed Neutron Star Properties in the Light of X-Ray Pulse Profile Observations. Astrophys. J. 2022, 936, 69. [Google Scholar] [CrossRef]
- Shakeri, S.; Hajkarim, F. Probing axions via light circular polarization and event horizon telescope. J. Cosmol. Astropart. Phys. 2023, 4, 17. [Google Scholar] [CrossRef]
- Chavanis, P.H. Maximum mass of relativistic self-gravitating Bose-Einstein condensates with repulsive or attractive |φ|4 self-interaction. Phys. Rev. D 2023, 107, 103503. [Google Scholar] [CrossRef]
- Colpi, M.; Shapiro, S.; Wasserman, I. Boson Stars: Gravitational Equilibria of Selfinteracting Scalar Fields. Phys. Rev. Lett. 1986, 57, 2485–2488. [Google Scholar] [CrossRef]
- Visinelli, L. Boson Stars and Oscillatons: A Review. arXiv 2021, arXiv:2109.05481. [Google Scholar] [CrossRef]
- Liebling, S.L.; Palenzuela, C. Dynamical Boson Stars. Living Rev. Relativ. 2017, 20, 5. [Google Scholar] [CrossRef]
- Typel, S.; Ropke, G.; Klahn, T.; Blaschke, D.; Wolter, H.H. Composition and thermodynamics of nuclear matter with light clusters. Phys. Rev. C 2010, 81, 015803. [Google Scholar] [CrossRef]
- Del Popolo, A.; Deliyergiyev, M.; Le Delliou, M. Solution to the hyperon puzzle using dark matter. Phys. Dark Univ. 2020, 30, 100622. [Google Scholar] [CrossRef]
- Ferreira, O.; Fraga, E.S. Strange magnetars admixed with fermionic dark matter. J. Cosmol. Astropart. Phys. 2023, 4, 12. [Google Scholar] [CrossRef]
- Lenzi, C.H.; Dutra, M.; Lourenço, O.; Lopes, L.L.; Menezes, D.P. Dark matter effects on hybrid star properties. Eur. Phys. J. C 2023, 83, 266. [Google Scholar] [CrossRef]
- Yang, S.H.; Pi, C.M.; Zheng, X.P.; Weber, F. Confronting Strange Stars with Compact-Star Observations and New Physics. Universe 2023, 9, 202. [Google Scholar] [CrossRef]
- Lopes, L.L.; Das, H.C. Strange stars within bosonic and fermionic admixed dark matter. J. Cosmol. Astropart. Phys. 2023, 5, 34. [Google Scholar] [CrossRef]
- Lopes, B.S.; Farias, R.L.S.; Dexheimer, V.; Bandyopadhyay, A.; Ramos, R.O. Axion effects in the stability of hybrid stars. Phys. Rev. D 2022, 106, L121301. [Google Scholar] [CrossRef]
- Sen, D.; Guha, A. Vector dark boson mediated feeble interaction between fermionic dark matter and strange quark matter in quark stars. Mon. Not. R. Astron. Soc. 2022, 517, 518–525. [Google Scholar] [CrossRef]
- Jiménez, J.C.; Fraga, E.S. Radial Oscillations of Quark Stars Admixed with Dark Matter. Universe 2022, 8, 34. [Google Scholar] [CrossRef]
- Miller, M.C.; Lamb, F.K.; Dittmann, A.J.; Bogdanov, S.; Arzoumanian, Z.; Gendreau, K.C.; Guillot, S.; Ho, W.C.G.; Lattimer, J.M.; Loewenstein, M. The Radius of PSR J0740+6620 from NICER and XMM-Newton Data. Astrophys. J. Lett. 2021, 918, L28. [Google Scholar] [CrossRef]
- Romani, R.W.; Kandel, D.; Filippenko, A.V.; Brink, T.G.; Zheng, W. PSR J0952–0607: The Fastest and Heaviest Known Galactic Neutron Star. Astrophys. J. Lett. 2022, 934, L18. [Google Scholar] [CrossRef]
- Cromartie, H.T.; Fonseca, E.; Ransom, S.M.; Demorest, P.B.; Arzoumanian, Z.; Blumer, H.; Brook, P.R.; DeCesar, M.E.; Dolch, T.; Ellis, J.A.; et al. Relativistic Shapiro delay measurements of an extremely massive millisecond pulsar. Nat. Astron. 2019, 4, 72–76. [Google Scholar] [CrossRef]
- Riley, T.E.; Watts, A.L.; Bogdanov, S.; Ray, P.S.; Ludlam, R.M.; Guillot, S.; Arzoumanian, Z.; Baker, C.L.; Bilous, A.V.; Chakrabarty, D. A NICER View of PSR J0030+0451: Millisecond Pulsar Parameter Estimation. Astrophys. J. Lett. 2019, 887, L21. [Google Scholar] [CrossRef]
- Dietrich, T.; Coughlin, M.W.; Pang, P.T.H.; Bulla, M.; Heinzel, J.; Issa, L.; Tews, I.; Antier, S. Multimessenger constraints on the neutron-star equation of state and the Hubble constant. Science 2020, 370, 1450–1453. [Google Scholar] [CrossRef] [PubMed]
- Abbott, B.; Abbott, R.; Abbott, T.; Acernese, F.; Ackley, K.; Adams, C.; Adams, T.; Addesso, P.; Adhikari, R.; Adya, V.; et al. GW170817: Observation of Gravitational Waves from a Binary Neutron Star Inspiral. Phys. Rev. Lett. 2017, 119, 161101. [Google Scholar] [CrossRef] [PubMed]
- Hinderer, T.; Lackey, B.D.; Lang, R.N.; Read, J.S. Tidal deformability of neutron stars with realistic equations of state and their gravitational wave signatures in binary inspiral. Phys. Rev. D 2010, 81, 123016. [Google Scholar] [CrossRef]
- Abbott, B.P.; Abbott, R.; Abbott, T.D.; Acernese, F.; Ackley, K.; Adams, C.; Adams, T.; Addesso, P.; Adhikari, R.X.; Adya, V.B.; et al. GW170817: Measurements of neutron star radii and equation of state. Phys. Rev. Lett. 2018, 121, 161101. [Google Scholar] [CrossRef]
- Thakur, P.; Malik, T.; Jha, T.K. Towards Uncovering Dark Matter Effects on Neutron Star Properties: A Machine Learning Approach. Particles 2024, 7, 80–95. [Google Scholar] [CrossRef]
- Xiang, Q.F.; Jiang, W.Z.; Zhang, D.R.; Yang, R.Y. Effects of fermionic dark matter on properties of neutron stars. Phys. Rev. C 2014, 89, 025803. [Google Scholar] [CrossRef]
- Oertel, M.; Hempel, M.; Klähn, T.; Typel, S. Equations of state for supernovae and compact stars. Rev. Mod. Phys. 2017, 89, 015007. [Google Scholar] [CrossRef]
- Hinderer, T. Tidal Love numbers of neutron stars. Astrophys. J. 2008, 677, 1216–1220. [Google Scholar] [CrossRef]







Disclaimer/Publisher’s Note: The statements, opinions and data contained in all publications are solely those of the individual author(s) and contributor(s) and not of MDPI and/or the editor(s). MDPI and/or the editor(s) disclaim responsibility for any injury to people or property resulting from any ideas, methods, instructions or products referred to in the content. |
© 2024 by the authors. Licensee MDPI, Basel, Switzerland. This article is an open access article distributed under the terms and conditions of the Creative Commons Attribution (CC BY) license (https://creativecommons.org/licenses/by/4.0/).
Share and Cite
Rafiei Karkevandi, D.; Shahrbaf, M.; Shakeri, S.; Typel, S. Exploring the Distribution and Impact of Bosonic Dark Matter in Neutron Stars. Particles 2024, 7, 201-213. https://doi.org/10.3390/particles7010011
Rafiei Karkevandi D, Shahrbaf M, Shakeri S, Typel S. Exploring the Distribution and Impact of Bosonic Dark Matter in Neutron Stars. Particles. 2024; 7(1):201-213. https://doi.org/10.3390/particles7010011
Chicago/Turabian StyleRafiei Karkevandi, Davood, Mahboubeh Shahrbaf, Soroush Shakeri, and Stefan Typel. 2024. "Exploring the Distribution and Impact of Bosonic Dark Matter in Neutron Stars" Particles 7, no. 1: 201-213. https://doi.org/10.3390/particles7010011
APA StyleRafiei Karkevandi, D., Shahrbaf, M., Shakeri, S., & Typel, S. (2024). Exploring the Distribution and Impact of Bosonic Dark Matter in Neutron Stars. Particles, 7(1), 201-213. https://doi.org/10.3390/particles7010011

