Removal of Rhodamine B (A Basic Dye) and Acid Yellow 17 (An Acidic Dye) from Aqueous Solutions by Ordered Mesoporous Carbon and Commercial Activated Carbon
Abstract
:1. Introduction
2. Materials and Methods
2.1. Materials
2.2. Characterization of Adsorbents
2.3. Adsorption Experiments
3. Results and Discussion
3.1. Characterization of Adsorbents
3.2. Adsorption Experiments
3.2.1. Adsorption Isotherms
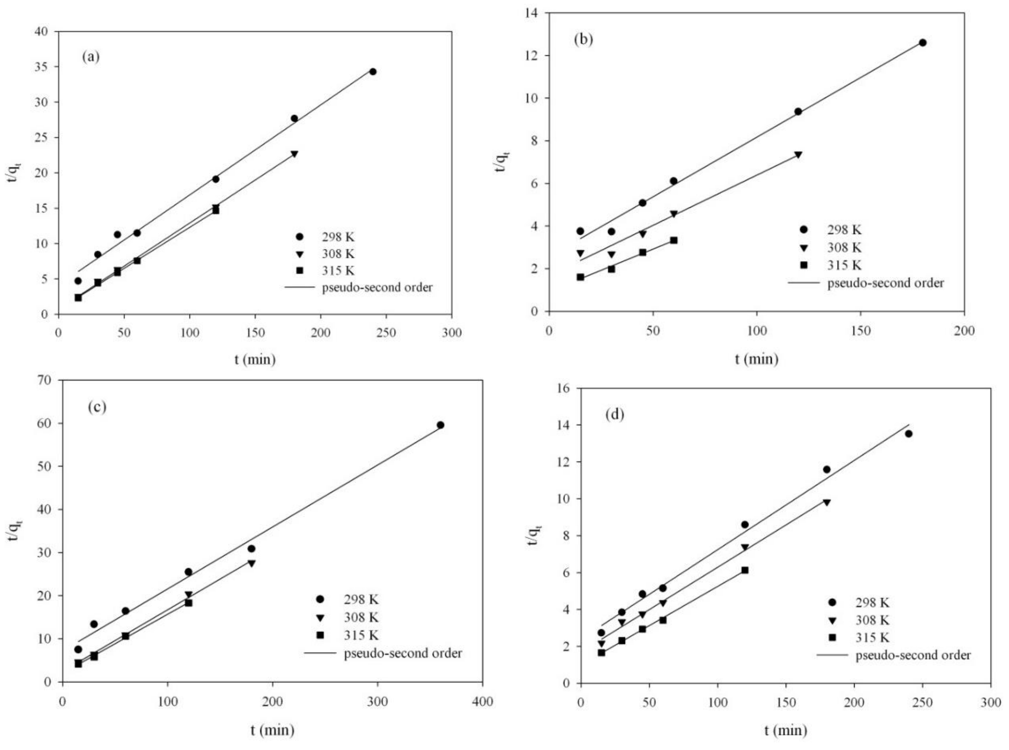
3.2.2. Adsorption Kinetics
3.2.3. Thermodynamic Parameters
4. Conclusions
Author Contributions
Funding
Acknowledgments
Conflicts of Interest
References
- Ding, L.; Zou, B.; Gao, W.; Liu, Q.; Wang, Z.; Guo, Y.; Wang, X.; Liu, Y. Adsorption of Rhodamine-B from aqueous solution using treated ricehusk-based activated carbon. Colloids and Surfaces A: Physicochem. Eng. Aspects 2014, 446, 1–7. [Google Scholar] [CrossRef]
- Geçgel, Ü.; Üner, O.; Gökara, G.; Bayrak, Y. Adsorption of cationic dyes on activated carbon obtained from waste Elaeagnus stone. Adsorpt. Sci. Technol 2016, 34, 512–525. [Google Scholar]
- Tang, L.; Cai, Y.; Yang, G.; Liu, Y.; Zeng, G.; Zhou, Y.; Li, S.; Wang, J.; Zhang, S.; Fang, Y.; et al. Cobalt nanoparticles-embedded magnetic ordered mesoporous carbon for highly effective adsorption of rhodamine B. Appl. Surf. Sci. 2014, 314, 746–753. [Google Scholar] [CrossRef]
- Malik, P.K. Use of activated carbons prepared from sawdust and rice-husk for adsorption of acid dyes: a case study of Acid Yellow 36. Dyes and Pigments 2003, 56, 239–249. [Google Scholar] [CrossRef]
- Lacerda, V.S.; López-Sotelo, B.; Correa-Guimarȃes, A.; Hernández-Navarro, S.; Sánchez-Báscones, M.; Navas-Gracia, L.M.; Martín-Ramos, P.; Martín-Gil, J. Rhodamine B removal with activated carbons obtained from lignocellulosic waste. J. Environ. Manage. 2015, 155, 67–76. [Google Scholar] [CrossRef] [PubMed]
- Salleh, M.A.M.; Mahmoud, D.K.; Karim, W.A.W.A.; Idris, A. Cationic and anionic dye adsorption by agricultural solid wastes: A comprehensive review. Desalination 2011, 280, 1–13. [Google Scholar] [CrossRef]
- Crini, G. Non-conventional low-cost adsorbents for dye removal: A review. Bioresour. Technol. 2006, 97, 1061–1085. [Google Scholar] [CrossRef] [PubMed]
- Gupta, V.K. Suhas, Application of low-cost adsorbents for dye removal—A review. J. Environ. Manage. 2009, 90, 2313–2342. [Google Scholar] [CrossRef] [PubMed]
- Demirbas, A. Agricultural based activated carbons for the removal of dyes from aqueous solutions: A review. J. Hazard. Mater. 2009, 167, 1–9. [Google Scholar] [CrossRef] [PubMed]
- Inyinbor, A.A.; Adekol, F.A.; Olatunji, G.A. Adsorption of Rhodamine B Dye from Aqueous Solution on Irvingia gabonensis Biomass: Kinetics and Thermodynamics Studies. S. Afr. J. Chem. 2015, 68, 115–125. [Google Scholar] [CrossRef]
- Liu, K.; Li, H.; Wang, Y.; Gou, X.; Duan, Y. Adsorption and removal of rhodamine B from aqueous solution by tannic acid functionalized graphene. Colloids Surf. A: Physicochem. Eng. Aspects 2015, 477, 35–41. [Google Scholar] [CrossRef]
- Gao, J.; Zhang, K.S.R.; Chen, R.; Peng, Y. Biosorption of acid yellow 17 from agueous solution by non-living aerobic qranular slvolge. Hazard J. Matter. 2010, 174, 215–225. [Google Scholar] [CrossRef] [PubMed]
- Yu, L.; Luo, Y. The adsorption mechanism of anionic and cationic dyes by Jerusalem artichoke stalk-based mesoporous activated carbon. J. Environ. Chem. Eng. 2014, 2, 220–229. [Google Scholar] [CrossRef]
- Hadi, M.; Samarghandi, M.R.; McKay, G. Equilibrium two-parameter isotherms of acid dyes sorption by activated carbons: Study of residual errors. Chem. Eng. J. 2010, 160, 408–416. [Google Scholar] [CrossRef]
- Chen, S.; Zhang, J.; Zhang, Ch.; Yue, Q.; Li, Y.; Li, Ch. Equilibrium and kinetic studies of methyl orange and methyl violet adsorption on activated carbon derived from Phragmites australis. Desalination 2010, 252, 149–156. [Google Scholar] [CrossRef]
- Mayohegzi, G.; van der Zee, F.P.; Font, J.; Fortuny, A.; Fabregat, A. Towards advanced aqueous dye removal processes: A short review on the versatile role of activated carbon. J. Environ. Manage. 2012, 102, 148–164. [Google Scholar]
- Theydan, S.K.; Ahmed, M.J. Adsorption of methylene blue onto biomass-based activated carbon by FeCl3 activation: Equilibrium, kinetics and thermodynamic studies. J. Anal. Appl. Pyrol. 2012, 97, 116–122. [Google Scholar] [CrossRef]
- Kaouah, F.; Boumaza, S.; Berrama, T.; Trari, M.; Bendjama, Z. Preparation and characterization of activated carbon from wild olive cores (oleaster) by H3PO4 for the removal of Basic Red 46. J. Clean. Prod. 2013, 54, 296–306. [Google Scholar] [CrossRef]
- Fernandeza, M.E.; Nunella, G.V.; Bonelli, P.R.; Cukierman, A.L. Activated carbon developed from orange peels: Batch and dynamic competitive adsorption of basic dyes. Ind. Crops Prod. 2014, 62, 437–445. [Google Scholar] [CrossRef]
- Li, X.; Wang, G.; Li, W.; Wang, P.; Su, Ch. Adsorption of acid and basic dyes by sludge-based activated carbon: Isotherm and kinetic studies. J. Cent. South Univ. 2015, 22, 103–113. [Google Scholar] [CrossRef]
- Ghasemian, E.; Palizban, Z. Comparisons of azo dye adsorption onto activated carbon and silicon carbide nanoparticles loaded on activated carbon. Int. J. Environ. Sci. Technol. 2016, 13, 501–512. [Google Scholar] [CrossRef]
- Belhachemi, M.; Addoun, F. Comparative adsorption isotherms and modeling of methylene blue onto activated carbons. Appl. Water Sci. 2011, 1, 111–117. [Google Scholar] [CrossRef]
- Giannakoudakis, D.A.; Kyzas, G.Z.; Avranas, A.; Lazaridis, N.K. Multi-parametric adsorption effects of the reactive dye removal with commercial activated carbons. J. Mol. Liq. 2016, 213, 381–389. [Google Scholar] [CrossRef]
- Ahmed, M.J. Application of agricultural based activated carbons by microwave and conventional activations for basic dye adsorption: Review. J. Environ. Chem. Eng. 2016, 4, 89–99. [Google Scholar] [CrossRef]
- Jamshidi, M.; Ghaedi, M.; Dashtian, K.; Hajati, S.; Bazarafshan, A.A. Sonochemical assisted hydrothermal synthesis of ZnO: Cr nanoparticles loaded activated carbon for simultaneous ultrasound-assisted adsorption of ternary toxic organic dye: Derivative spectrophotometric. optimization. kinetic and isotherm study. Ultraso. Sonochem. 2016, 32, 119–131. [Google Scholar] [CrossRef] [PubMed]
- Pathania, D.; Sharma, S.; Singh, P. Removal of methylene blue by adsorption onto activated carbon developed from Ficus carica bast. Arabian J. Chem. 2017, 10, 1445–1455. [Google Scholar] [CrossRef]
- Rangabhashiyam, S.; Anu, N.; Selvaraju, N. Sequestration of dye from textile industry wastewater using agricultural waste products as adsorbents. J. Environ. Chem. Eng. 2013, 1, 629–641. [Google Scholar] [CrossRef]
- Ho, Y.-S.; Chiu, W.-T.; Wang, C.-C. Regression analysis for the sorption isotherms of basic dyes on sugarcane dust. Biores. Technol. 2005, 96, 1285–1291. [Google Scholar] [CrossRef] [PubMed]
- Sharma, P.; Kaur, H.; Sharma, M.; Sahore, V. A review on applicability of naturally available adsorbents for the removal of hazardous dyes from aqueous waste. Environ. Monit. Assessment 2011, 183, 151–195. [Google Scholar] [CrossRef] [PubMed]
- Chen, L.; Ji, T.; Mu, L.; Shi, Y.; Wang, H.; Zhu, J. Pore size dependent molecular adsorption of cationic dye in biomass derived hierarchically porous carbon. J. Environ. Manage. 2017, 196, 168–177. [Google Scholar] [CrossRef] [PubMed]
- Maingi, F.M.; Mbuvi, H.M.; Ng’ang’a, M.M.; Mwangi, H. Adsorption Kinetics and Isotherms of Methylene Blue by Geopolymers Derived from Common Clay and Rice Husk Ash. Phys. Chem. 2017, 7, 87–97. [Google Scholar]
- Ma, L.; Jiang, C.; Lin, Z.; Zou, Z. Microwave Hydrothermal Treated Grape Peel as an Efficient Biosorbent for Methylene Blue Removal. Int. J. Environ. Res. Public Health 2018, 15, 239–249. [Google Scholar] [CrossRef] [PubMed]
- Shahryari, Z.; Goharrizi, A.S.; Azadi, M. Experimental study of methylene blue adsorption from aqueous solutions onto carbon nano tubes. Inter. J. Water Res. Environ. Eng. 2010, 2, 016–028. [Google Scholar]
- Zhao, D.; Zhang, W.; Chen, C.; Wang, X. Adsorption of methyl orange dye onto multiwalled carbon nanotubes. Procedia Environ. Sci. 2013, 18, 890–895. [Google Scholar] [CrossRef]
- Ezzeddine, Z.; Batonneau-Gener, I.; Pouilloux, Y.; Hamad, H. Removal of methylene blue by mesoporous CMK-3: Kinetics, isotherms and thermodynamics. J. Mol. Liq. 2016, 223, 763–770. [Google Scholar] [CrossRef]
- Dang, P.T.; Nguyen, H.T.H.; Dao, C.D.; Le, G.H.; Nguyen, Q.K.; Nguyen, K.T.; Tran, H.T.K.; Nguyen, T.V.; Vu, T.A. Ordered Mesoporous Carbons as Novel and Efficient Adsorbent for Dye Remova from Aqueous Solution. Adv. Mater. Sci. Eng. 2016, 1–9. [Google Scholar] [CrossRef]
- Yan, C.; Wang, C.; Yao, J.; Zhang, L.; Liu, X. Adsorption of methylene blue on mesoporous carbons prepared using acid- and alkaline-treated zeolite X as the template. Colloids and Surfaces A: Physicochem. Eng. Aspects 2009, 333, 115–119. [Google Scholar] [CrossRef]
- Monash, P.; Pugazhenthi, G. Adsorption of crystal violet dye from aqueous solution using mesoporous materials synthesized at room temperature. Adsorption 2009, 15, 390–405. [Google Scholar] [CrossRef]
- Peng, X.; Huang, D.; Odoom-Wubah, T.; Fu, D.; Huang, J.; Qin, Q. Adsorption of anionic and cationic dyes on ferromagnetic ordered mesoporous carbon from aqueous solution: Equilibrium. thermodynamic and kinetics. J. Colloid Interf. Sci. 2014, 430, 272–282. [Google Scholar] [CrossRef] [PubMed]
- Liu, F.; Guo, Z.; Ling, H.; Huang, Z.; Tang, D. Effect of pore structure on the adsorption of aqueous dyes to ordered mesoporous carbons. Micro. Meso. Mater. 2016, 227, 104–111. [Google Scholar] [CrossRef]
- Liu, N.; Yin, L.; Zhang, L.; Wang, C.; Lun, N.; Qi, Y.; Wang, C. Ferromagnetic Ni decorated ordered mesoporous carbons as magnetically separable adsorbents for methyl orang. Mater. Chem. and Phys. 2011, 131, 52–59. [Google Scholar] [CrossRef]
- Gościańska, J.; Marciniak, M.; Pietrzak, R. Mesoporous carbons modified with lanthanum (III) chloride for methyl orange adsorption. Chem. Eng. J. 2014, 247, 258–264. [Google Scholar] [CrossRef]
- Choma, J.; Jedynak, K.; Górka, J.; Jaroniec, M. Morphology and Adsorption Properties of Mesoporous Carbons with Silver Nanoparticles. Ochr. Sr. 2011, 33, 3–8. [Google Scholar]
- Brunauer, S.; Emmett, P.H.; Teller, E. Adsorption of gases in multimolecular layers. J. Am. Chem. Soc. 1938, 60, 309–319. [Google Scholar] [CrossRef]
- Gregg, S.J.; Sing, K.S.W. Adsorption, Surface Area and Porosity, 2nd ed.; Academic Press: London, UK, 1982. [Google Scholar]
- Jaroniec, M.; Kaneko, K. Physicochemical foundations for characterization of adsorbents by using high-resolution comparative plots. Langmuir 1997, 13, 6589–6596. [Google Scholar] [CrossRef]
- Choma, J.; Jaroniec, M. New methods enabling description of the porous structure of active carbons on the basis of adsorption data. Ochr. Sr. 1999, 21, 13–17. [Google Scholar]
- Kruk, M.; Jaroniec, M.; Gadkaree, K.P. Nitrogen adsorption studies of novel synthetic active carbons. J. Col. Inter. Sci. 1997, 192, 250–256. [Google Scholar] [CrossRef]
- Kruk, M.; Jaroniec, M.; Sayari, A. Application of large pore MCM-41 molecular sieves to improve pore size analysis using nitrogen adsorption measurements. Langmuir 1997, 13, 6267–6273. [Google Scholar] [CrossRef]
- Barrett, E.P.; Joyner, L.G.; Halenda, P.P. The determination of pore volume and area distribution in porous substances. I. Computations from nitrogen isotherms. J. Am. Chem. Soc. 1951, 73, 373–380. [Google Scholar] [CrossRef]
- Lim, C.K.; Bay, H.H.; Noeh, C.H.; Aris, A.; Majid, Z.A.; Ibrahim, Z. Application of zeolite-activated carbon macrocomposite for the adsorption of Acid Orange 7: Isotherm. kinetic and thermodynamic studies. Environ. Sci. Pollut. Res. 2013, 20, 7243–7255. [Google Scholar] [CrossRef] [PubMed]
- Rivera-Utrilla, J.; Bautista-Toledo, I.; Ferro-García, M.A.; Moreno-Castilla, C. Activated carbon surface modifications by adsorption of bacteria and their effect on aqueous lead adsorption. J. Chem. Technol. Biotechnol. 2001, 76, 1209–1215. [Google Scholar] [CrossRef]
- Sing, K.S.W.; Everett, D.H.; Haul, R.A.W.; Moscou, L.; Pierotti, R.A.; Rouquerol, J.; Siemieniewska, T. Reporting physisorption data for gas/solid systems with special reference to the determination of surface area and porosity. Pure Appl. Chem. 1985, 57, 603–619. [Google Scholar] [CrossRef]
- Choma, J. Characterization of nanoporous active carbons by using gas adsorption isotherms. Wegiel aktywny w ochr. sr. i przemysle. 2006, 9–19. [Google Scholar]
- Baccar, R.; Sarra, M.; Bouzid, J.; Feki, M.; Blánquez, P. Removal of pharmaceutical compounds by activated carbon prepared from agricultural by-product. Chem. Eng. J. 2012, 211–212, 310–317. [Google Scholar] [CrossRef]
- Langmuir, I. Chemical reactions at low pressures. J. Am. Chem. Soc. 1915, 27, 1139–1143. [Google Scholar] [CrossRef]
- Freundlich, H.M.F. Uber die Adsorption in Losungen. J. Phys. Chem. 1906, 57, 385–470. [Google Scholar] [CrossRef]
- Ilayaraja, M.; Krishnan, N.P.; Kannan, R.S. Adsorption of Rhodamine-B and Congo red dye from Aqueous Solution using Activated Carbon: Kinetics, Isotherms, and Thermodynamics. J. Environ. Sci. Toxicol. Food Technol. 2013, 5, 79–89. [Google Scholar]
- Ramuthai, S.; Nandhakumar, V.; Thiruchelvi, M.; Arivoli, S.; Vijayakumaran, V. Rhodamine, B. Adsorption-Kinetic, Mechanistic and Thermodynamic Studies. E-J. Chem. 2009, 6. [Google Scholar] [CrossRef]
- Santhi, M.; Kumar, P.E. Adsorption of Rhodamine B from an Aqueous Solution: Kinetic, Equilibrium and Thermodynamic Studies. Int. J. Innov. Res. Sci. Eng. Technol. 2015, 4, 497–510. [Google Scholar]
- Wang, L.; Zhang, J.; Zhao, R.; Li, C.; Li, Y.; Zhang, C. Adsorption of basic dyes on activated carbon prepared from Polygonum orientale Linn: Equilibrium, kinetic and thermodynamic studies. Desalination 2010, 254, 68–74. [Google Scholar] [CrossRef]
- Li, L.; Liu, S.; Zhu, T. Application of activated carbon derived from scrap tires for adsorption of Rhodamine, B. J. Environ. Sci. 2010, 22, 1273–1280. [Google Scholar] [CrossRef]
- Njaku, V.O.; Foo, K.Y.; Asif, M.; Hameed, B.H. Preparation of activated carbons from rambutan (Nephelium Lappaceum) peel by microware- induced KOH activation for Acid Yellow 17 dye adsorption. Chem. Eng. J. 2014, 250, 198–204. [Google Scholar] [CrossRef]
- Ashraf, A.; Bindary, E.L.; Mostafa, A.H.; Mostafa, A.D.; Ahmed, M.E. Adsorption of acid yellow 99 by polyacrylonitrille activated carbon composite: Kinetics, thermodynamics and isotherm studies. J. Molecul. Liq. 2014, 197, 236–242. [Google Scholar]
- Tripathi, P.K.; Liu, M.; Gan, L.; Qian, J.; Xu, Z.; Zhu, D.; Rao, N.N. High surface area ordered mesoporous carbon for high-level removal of rhodamine B. J. Mater. Sci. 2013, 48, 8003–8013. [Google Scholar] [CrossRef]
- Mestre, A.S.; Pires, J.; Nogueira, J.M.F.; Carvalho, A.P. Activated carbons for the adsorption of ibuprofen. Carbon 2007, 45, 1979–1988. [Google Scholar] [CrossRef]
- Lagergren, S. About the theory of so-called adsorption of soluble substances. Kungl. Sven. Veten. Akad. Handl. 1898, 24, 1–39. [Google Scholar]
- Ho, Y.S.; McKay, G. Pseudo-second-order model for sorption processes. Process Biochem. 1999, 34, 451–465. [Google Scholar] [CrossRef]
- Weber, W.J.; Morris, J.C. Kinetics of adsorption on carbon solution. J. Sanit. Eng. Div. Am. Soc. Civ. Eng. 1963, 89, 31–59. [Google Scholar]










| Experimental Item | Studied Carbon | RB Solution Concentration (mg dm−3) | AY17 Solution Concentration (mg dm−3) | Sampling Time (min) | Temperature (K) | Vibration Rate (rpm) |
|---|---|---|---|---|---|---|
| Adsorption isotherms | ST-A | 30–730 | 30–310 | RB: 360, 240, 180 AY: 240, 180, 120 | 298, 308, 315 | 200 |
| CWZ-22 | 30–730 | 30–310 | RB: 420, 360, 180 AY: 360, 240, 180 | 298, 308, 315 | 200 | |
| Adsorption kinetics | ST-A | 15 | 30 | RB: 15, 30, 45, 60, 120, 180, 240, 360, 420 AY: 15, 30, 45, 60, 120, 180, 240, 360 | 298, 308, 315 | 200 |
| CWZ-22 | 15 | 30 | RB: 15, 30, 60, 120, 180, 360, 420, 480 AY: 15, 30, 45, 60, 120, 180, 240, 360, 420 | 298, 308, 315 | 200 |
| Carbon Materials | SBET m2/g | Vt cm3/g | Vme cm3/g | Vmi cm3/g | wme nm | wmi nm | Mesoporosity % |
|---|---|---|---|---|---|---|---|
| ST-A | 670 | 0.68 | 0.51 | 0.17 | 9.24 | 1.83 | 75 |
| CWZ-22 | 775 | 0.43 | 0.20 | 0.23 | - | 1.82 | 47 |
| Adsorbents | Total Basic Groups (mmol g−1) | Total Acidic Groups (mmol g−1) | Phenolic Groups (mmol g−1) | Lactone Groups (mmol g−1) | Carboxylic Groups (mmol g−1) | Carbonyl Groups (mmol g−1) |
|---|---|---|---|---|---|---|
| ST-A | 0.24 | 0.69 | 0.35 | - | - | 0.34 |
| CWZ-22 | 0.85 | 0.36 | - | - | - | 0.36 |
| Carbon Materials | Dye | Temp. | Langmuir | Freundlich | ||||
|---|---|---|---|---|---|---|---|---|
| qm (mg g−1) | KL (dm3 mg−1) | R2 | n | KF (mg1−1/n (dm3)1/n g−1) | R2 | |||
| ST-A | RB | 298 | 83 | 0.022 | 0.988 | 3.91 | 15.10 | 0.940 |
| 308 | 91 | 0.028 | 0.994 | 3.51 | 15.35 | 0.960 | ||
| 315 | 100 | 0.040 | 0.998 | 3.51 | 17.74 | 0.952 | ||
| AY17 | 298 | 35 | 0.061 | 0.999 | 3.33 | 7.08 | 0.907 | |
| 308 | 40 | 0.134 | 0.998 | 3.64 | 10.12 | 0.782 | ||
| 315 | 53 | 0.150 | 0.999 | 3.50 | 13.27 | 0.829 | ||
| CWZ-22 | RB | 298 | 58 | 0.024 | 0.998 | 2.74 | 6.93 | 0.923 |
| 308 | 69 | 0.026 | 0.998 | 3.16 | 10.51 | 0.969 | ||
| 315 | 87 | 0.029 | 0.996 | 3.14 | 13.55 | 0.915 | ||
| AY17 | 298 | 46 | 0.060 | 0.999 | 3.54 | 10.35 | 0.876 | |
| 308 | 56 | 0.066 | 0.999 | 3.45 | 12.63 | 0.870 | ||
| 315 | 71 | 0.073 | 0.999 | 3.36 | 15.83 | 0.883 | ||
| Adsorbent | qm (mg/g) RB | qm (mg/g) AY17 | Reference |
|---|---|---|---|
| ST-A | 83–100 | 35–53 | This study |
| CWZ-22 | 58–87 | 46–71 | This study |
| PK-AC 1 | 413.9 | [1] | |
| EAC 2 | 281–389 | [2] | |
| Co/OMC 3 | 879 | [3] | |
| Activated SDC 4 | 183 | [4] | |
| Activated RHC 5 | 86.9 | [4] | |
| C-AC 6 | 32–40 | [5] | |
| Graphene | 201.20 | [11] | |
| Activated carbon | 85–250 | [58] | |
| Activated carbon | 102–114.68 | [59] | |
| AC–MnO2–NC 7 | 76.92 | [60] | |
| PLAC 8 | 500–560 | [61] | |
| APTC 9 | 307.2 | [62] | |
| RPAC 10 | 49–220 | [63] | |
| PAN/AC 11 OMC | 1028 | 217.39 | [64] [65] |
| Carbon Materials | Dye | Temp. | qe (exp) (mg g−1) | Pseudo-First-Order | Pseudo-Second-Order | |||
|---|---|---|---|---|---|---|---|---|
| k1 | R2 | qe (cal) (mg g−1) | k2 | R2 | ||||
| ST-A | RB | 298 | 7.5 | 0.0010 | 0.960 | 7.9 | 0.004 | 0.993 |
| 308 | 8.2 | 0.0013 | 0.907 | 8.2 | 0.02 | 0.999 | ||
| 315 | 8.6 | 0.0016 | 0.881 | 8.6 | 0.02 | 0.999 | ||
| AY17 | 298 | 17.8 | 0.05 | 0.854 | 17.9 | 0.0012 | 0.993 | |
| 308 | 20.8 | 0.02 | 0.918 | 21.2 | 0.0013 | 0.978 | ||
| 315 | 22.1 | 0.02 | 0.947 | 25.1 | 0.0017 | 0.983 | ||
| CWZ-22 | RB | 298 | 6.8 | 0.006 | 0.874 | 7.0 | 0.0025 | 0.992 |
| 308 | 7.0 | 0.01 | 0.947 | 7.0 | 0.0083 | 0.997 | ||
| 315 | 7.9 | 0.01 | 0.930 | 7.3 | 0.0092 | 0.998 | ||
| AY17 | 298 | 19.8 | 0.008 | 0.978 | 20.6 | 0.001 | 0.992 | |
| 308 | 21.1 | 0.01 | 0.979 | 21.8 | 0.0012 | 0.996 | ||
| 315 | 22.9 | 0.013 | 0.935 | 23.5 | 0.0018 | 0.998 | ||
| Carbon Materials | Dye | Temp. (K) | ∆G (kJ/mol) | ∆H (kJ/mol) | ∆S (J/mol K) | R2 |
|---|---|---|---|---|---|---|
| ST-A | RB | 298 | −22.99 | |||
| 308 | −24.33 | 26.27 | 165.03 | 0.931 | ||
| 315 | −25.86 | |||||
| AY17 | 298 | −25.82 | ||||
| 308 | −28.70 | 42.84 | 230.88 | 0.917 | ||
| 315 | −29.65 | |||||
| CWZ-22 | RB | 298 | −23.19 | |||
| 308 | −24.12 | 7.94 | 104.36 | 0.903 | ||
| 315 | −24.99 | |||||
| AY17 | 298 | −25.77 | ||||
| 308 | −26.89 | 8.89 | 116.26 | 0.987 | ||
| 315 | −27.75 |
© 2019 by the authors. Licensee MDPI, Basel, Switzerland. This article is an open access article distributed under the terms and conditions of the Creative Commons Attribution (CC BY) license (http://creativecommons.org/licenses/by/4.0/).
Share and Cite
Jedynak, K.; Wideł, D.; Rędzia, N. Removal of Rhodamine B (A Basic Dye) and Acid Yellow 17 (An Acidic Dye) from Aqueous Solutions by Ordered Mesoporous Carbon and Commercial Activated Carbon. Colloids Interfaces 2019, 3, 30. https://doi.org/10.3390/colloids3010030
Jedynak K, Wideł D, Rędzia N. Removal of Rhodamine B (A Basic Dye) and Acid Yellow 17 (An Acidic Dye) from Aqueous Solutions by Ordered Mesoporous Carbon and Commercial Activated Carbon. Colloids and Interfaces. 2019; 3(1):30. https://doi.org/10.3390/colloids3010030
Chicago/Turabian StyleJedynak, Katarzyna, Dariusz Wideł, and Nina Rędzia. 2019. "Removal of Rhodamine B (A Basic Dye) and Acid Yellow 17 (An Acidic Dye) from Aqueous Solutions by Ordered Mesoporous Carbon and Commercial Activated Carbon" Colloids and Interfaces 3, no. 1: 30. https://doi.org/10.3390/colloids3010030
APA StyleJedynak, K., Wideł, D., & Rędzia, N. (2019). Removal of Rhodamine B (A Basic Dye) and Acid Yellow 17 (An Acidic Dye) from Aqueous Solutions by Ordered Mesoporous Carbon and Commercial Activated Carbon. Colloids and Interfaces, 3(1), 30. https://doi.org/10.3390/colloids3010030
