Information Transmission in a Drone Swarm: A Temporal Network Analysis
Abstract
1. Introduction
2. The Swarm and Communication Network Modeling
2.1. The Drone Motion
2.2. The Communication Network and Message Transportation

2.3. The Communication Probability
3. The Multiple Message Problem
3.1. Transmission with Message Cloning
3.2. Transmission of Several Messages
4. Results
4.1. One-Message Transmission
4.2. Multiple-Message Transmission
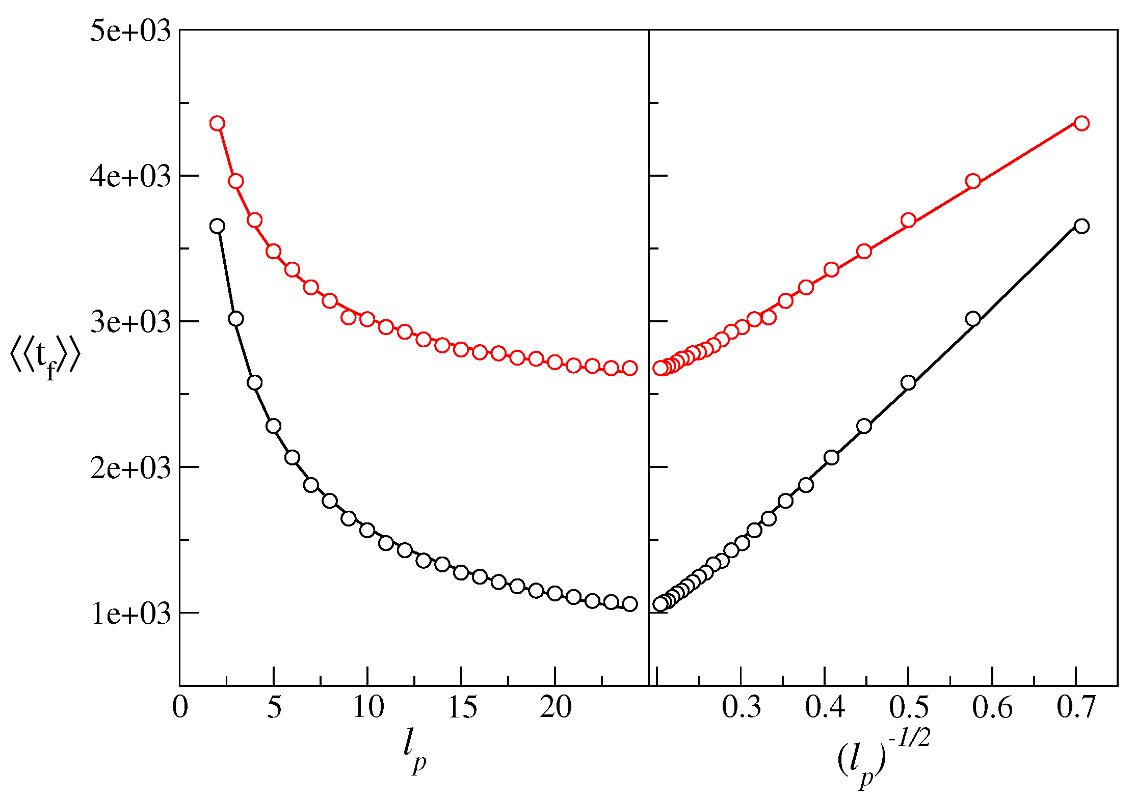
4.3. Impact of Drone Motion on Communication
5. Conclusions
Funding
Institutional Review Board Statement
Informed Consent Statement
Data Availability Statement
Conflicts of Interest
References
- Zhou, Y.; Rao, B.; Wang, W. UAV Swarm Intelligence: Recent Advances and Future Trends. IEEE Access 2020, 8, 183856–183878. [Google Scholar] [CrossRef]
- Bonabeau, E.; Dorigo, M.; Theraulaz, G. Swarm Intelligence: From Natural to Artificial Systems; Oxford University Press: Oxford, UK, 1999. [Google Scholar]
- Ray, T.; Saini, P. Engineering design optimization using a swarm with an intelligent information sharing among individuals. Eng. Optim. 2001, 33, 735–748. [Google Scholar] [CrossRef]
- Hayat, S.; Yanmaz, E.; Muzaffar, R. Survey on unmanned aerial vehicle networks for civil applications: A communications viewpoint. IEEE Commun. Surv. Tutorials 2016, 18, 2624–2661. [Google Scholar] [CrossRef]
- Sihag, V.; Choudhary, G.; Choudhary, P.; Dragoni, N. Cyber4Drone: A Systematic Review of Cyber Security and Forensics in Next-Generation Drones. Drones 2023, 7, 430. [Google Scholar] [CrossRef]
- Holme, P.; Saramäki, J. Temporal networks. Phys. Rep. 2012, 519, 97–125. [Google Scholar] [CrossRef]
- Holme, P. Modern temporal network theory: A colloquium. Eur. Phys. J. B 2015, 88, 234. [Google Scholar] [CrossRef]
- Davidson, E.; Levin, M. Gene regulatory networks. Proc. Natl. Acad. Sci. USA 2005, 102, 4935. [Google Scholar] [CrossRef]
- Lebre, S.; Becq, J.; Devaux, F.; Stumpf, M.P.; Lelandais, G. Statistical inference of the time-varying structure of gene-regulation networks. BMC Syst. Biol. 2010, 4, 130. [Google Scholar] [CrossRef]
- Rao, A.; Hero, A.O.; States, D.J.; Engel, J.D. Inferring time-varying network topologies from gene expression data. Eurasip J. Bioinform. Syst. Biol. 2007, 2007, 51947. [Google Scholar] [CrossRef]
- Vázquez, A.; Flammini, A.; Maritan, A.; Vespignani, A. Modeling of protein interaction networks. Complexus 2003, 1, 38–44. [Google Scholar] [CrossRef]
- Vértes, P.E.; Alexander-Bloch, A.F.; Gogtay, N.; Giedd, J.N.; Rapoport, J.L.; Bullmore, E.T. Simple models of human brain functional networks. Proc. Natl. Acad. Sci. USA 2012, 109, 5868–5873. [Google Scholar] [CrossRef] [PubMed]
- Monge, P.R.; Contractor, N.S. Theories of Communication Networks; Oxford University Press: Oxford, UK, 2003. [Google Scholar]
- Sachtjen, M.; Carreras, B.; Lynch, V. Disturbances in a power transmission system. Phys. Rev. E 2000, 61, 4877. [Google Scholar] [CrossRef]
- Knoke, D.; Yang, S. Social Network Analysis; SAGE Publications: Thousand Oaks, CA, USA, 2008. [Google Scholar]
- Wellman, B. Computer networks as social networks. Science 2001, 293, 2031–2034. [Google Scholar] [CrossRef] [PubMed]
- Olfati-Saber, R.; Fax, J.A.; Murray, R.M. Consensus and cooperation in networked multi-agent systems. Proc. IEEE 2007, 95, 215–233. [Google Scholar] [CrossRef]
- Bak-Coleman, J.B.; Alfano, M.; Barfuss, W.; Bergstrom, C.T.; Centeno, M.A.; Couzin, I.D.; Donges, J.F.; Galesic, M.; Gersick, A.S.; Jacquet, J.; et al. Stewardship of global collective behavior. Proc. Natl. Acad. Sci. USA 2021, 118, e2025764118. [Google Scholar] [CrossRef] [PubMed]
- Grindrod, P.; Parsons, M.C.; Higham, D.J.; Estrada, E. Communicability across evolving networks. Phys. Rev. E 2011, 83, 046120. [Google Scholar] [CrossRef]
- Lovász, L. Random walks on graphs. Comb. Paul Erdos Eighty 1993, 2, 4. [Google Scholar]
- Danon, L.; Ford, A.P.; House, T.; Jewell, C.P.; Keeling, M.J.; Roberts, G.O.; Ross, J.V.; Vernon, M.C. Networks and the epidemiology of infectious disease. Interdiscip. Perspect. Infect. Dis. 2011, 2011, 284909. [Google Scholar] [CrossRef]
- Sar, G.K.; Chowdhury, S.N.; Perc, M.; Ghosh, D. Swarmalators under competitive time-varying phase interactions. New J. Phys. 2022, 24, 043004. [Google Scholar] [CrossRef]
- Sivrikaya, F.; Yener, B. Time synchronization in sensor networks: A survey. IEEE Netw. 2004, 18, 45–50. [Google Scholar] [CrossRef]
- Onnela, J.P.; Saramäki, J.; Hyvönen, J.; Szabó, G.; Lazer, D.; Kaski, K.; Kertész, J.; Barabási, A.L. Structure and tie strengths in mobile communication networks. Proc. Natl. Acad. Sci. USA 2007, 104, 7332–7336. [Google Scholar] [CrossRef] [PubMed]
- Neudorf, J.; Kress, S.; Borowsky, R. Comparing models of information transfer in the structural brain network and their relationship to functional connectivity: Diffusion versus shortest path routing. Brain Struct. Funct. 2023, 228, 651–662. [Google Scholar] [CrossRef] [PubMed]
- Redner, S. A Guide to First-Passage Processes; Cambridge University Press: Cambridge, UK, 2001. [Google Scholar]
- Bassolas, A.; Nicosia, V. First-passage times to quantify and compare structural correlations and heterogeneity in complex systems. Commun. Phys. 2021, 4, 76. [Google Scholar] [CrossRef]
- Ma, Z.; Krings, A.W.; Millar, R.C. Introduction of first passage time (FPT) analysis for software reliability and network security. In Proceedings of the 5th Annual Workshop on Cyber Security and Information Intelligence Research: Cyber Security and Information Intelligence Challenges and Strategies, Oak Ridge, TN, USA, 13–15 April 2009; pp. 1–6. [Google Scholar]
- Zhang, D.; Han, X.; Jiang, C.; Liu, J.; Li, Q. Time-dependent reliability analysis through response surface method. J. Mech. Des. 2017, 139, 041404. [Google Scholar] [CrossRef]
- McKenzie, H.W.; Lewis, M.A.; Merrill, E.H. First passage time analysis of animal movement and insights into the functional response. Bull. Math. Biol. 2009, 71, 107–129. [Google Scholar] [CrossRef] [PubMed]
- Fauchald, P.; Tveraa, T. Using first-passage time in the analysis of area-restricted search and habitat selection. Ecology 2003, 84, 282–288. [Google Scholar]
- Bovet, P.; Benhamou, S. Spatial analysis of animals’ movements using a correlated random walk model. J. Theor. Biol. 1988, 131, 419–433. [Google Scholar] [CrossRef]
- Kareiva, P.; Shigesada, N. Analyzing insect movement as a correlated random walk. Oecologia 1983, 56, 234–238. [Google Scholar] [CrossRef]
- Bergman, C.M.; Schaefer, J.A.; Luttich, S. Caribou movement as a correlated random walk. Oecologia 2000, 123, 364–374. [Google Scholar] [CrossRef]
- Codling, E.A.; Plank, M.J.; Benhamou, S. Random walk models in biology. J. R. Soc. Interface 2008, 5, 813–834. [Google Scholar] [CrossRef]
- Masoliver, J.; Porra, J.; Weiss, G. Some two and three-dimensional persistent random walks. Physical A 1993, 193, 469. [Google Scholar] [CrossRef]
- Delvenne, J.C.; Lambiotte, R.; Rocha, L.E. Diffusion on networked systems is a question of time or structure. Nat. Commun. 2015, 6, 7366. [Google Scholar] [CrossRef] [PubMed]
- Starnini, M.; Baronchelli, A.; Barrat, A.; Pastor-Satorras, R. Random walks on temporal networks. Phys. Rev. E 2012, 85, 056115. [Google Scholar] [CrossRef] [PubMed]
- Shahbaz, M.Q.; Ahsanullah, M.; Shahbaz, S.H.; Al-Zahrani, B.M. Ordered Random Variables: Theory and Applications; Atlantis Studies in Probability and Statistics; Atlantis Press: Amsterdam, The Netherlands, 2016. [Google Scholar]
- David, H.A.; Nagaraja, H.N. Order Statistics; John Wiley & Sons: Hoboken, NJ, USA, 2004. [Google Scholar]
- Yang, H.C.; Alouini, M.S. Order Statistics in Wireless Communications: Diversity, Adaptation, and Scheduling in MIMO and OFDM Systems; Cambridge University Press: Cambridge, UK, 2011. [Google Scholar]
- Barabasi, A.L. The origin of bursts and heavy tails in human dynamics. Nature 2005, 435, 207–211. [Google Scholar] [CrossRef] [PubMed]
- Goh, K.I.; Barabási, A.L. Burstiness and memory in complex systems. Europhys. Lett. 2008, 81, 48002. [Google Scholar] [CrossRef]
- Lambiotte, R.; Tabourier, L.; Delvenne, J.C. Burstiness and spreading on temporal networks. Eur. Phys. J. B 2013, 86, 320. [Google Scholar] [CrossRef]
- Stehlé, J.; Barrat, A.; Bianconi, G. Dynamical and bursty interactions in social networks. Phys. Rev. E 2010, 81, 035101. [Google Scholar] [CrossRef]
- Thompson, W.H.; Brantefors, P.; Fransson, P. From static to temporal network theory: Applications to functional brain connectivity. Netw. Neurosci. 2017, 1, 69–99. [Google Scholar] [CrossRef]
- Bicout, D.; Sache, I. Dispersal of spores following a persistent random walk. Phys. Rev. E 2003, 67, 031913. [Google Scholar] [CrossRef]
- Sevilla, F.J.; Nava, L.A.G. Theory of diffusion of active particles that move at constant speed in two dimensions. Phys. Rev. E 2014, 90, 022130. [Google Scholar] [CrossRef]
- Dias, P.G.F.; Silva, M.C.; Rocha Filho, G.P.; Vargas, P.A.; Cota, L.P.; Pessin, G. Swarm robotics: A perspective on the latest reviewed concepts and applications. Sensors 2021, 21, 2062. [Google Scholar] [CrossRef] [PubMed]
- Pang, B.; Song, Y.; Zhang, C.; Yang, R. Effect of random walk methods on searching efficiency in swarm robots for area exploration. Appl. Intell. 2021, 51, 5189–5199. [Google Scholar] [CrossRef]
- Ghosh, D.; Frasca, M.; Rizzo, A.; Majhi, S.; Rakshit, S.; Alfaro-Bittner, K.; Boccaletti, S. The synchronized dynamics of time-varying networks. Phys. Rep. 2022, 949, 1–63. [Google Scholar] [CrossRef]














Disclaimer/Publisher’s Note: The statements, opinions and data contained in all publications are solely those of the individual author(s) and contributor(s) and not of MDPI and/or the editor(s). MDPI and/or the editor(s) disclaim responsibility for any injury to people or property resulting from any ideas, methods, instructions or products referred to in the content. |
© 2024 by the author. Licensee MDPI, Basel, Switzerland. This article is an open access article distributed under the terms and conditions of the Creative Commons Attribution (CC BY) license (https://creativecommons.org/licenses/by/4.0/).
Share and Cite
Grosfils, P. Information Transmission in a Drone Swarm: A Temporal Network Analysis. Drones 2024, 8, 28. https://doi.org/10.3390/drones8010028
Grosfils P. Information Transmission in a Drone Swarm: A Temporal Network Analysis. Drones. 2024; 8(1):28. https://doi.org/10.3390/drones8010028
Chicago/Turabian StyleGrosfils, Patrick. 2024. "Information Transmission in a Drone Swarm: A Temporal Network Analysis" Drones 8, no. 1: 28. https://doi.org/10.3390/drones8010028
APA StyleGrosfils, P. (2024). Information Transmission in a Drone Swarm: A Temporal Network Analysis. Drones, 8(1), 28. https://doi.org/10.3390/drones8010028
