Real-Space Description of Dynamics of Liquids
Abstract
1. Introduction
2. Dynamic Pair-Density Function and Van Hove Function
- In order to determine the DyPDF and VHF with accuracy S(Q, E) has to be measured over wide Q-E space to reduce termination errors, and thus new information is garnered from high-Q data which would not be obtained otherwise.
- Local dynamics gives rise to diffuse inelastic scattering intensities in S(Q, E) which is often difficult to recognize. They look like a part of the background and are usually discarded. However, upon Fourier-transformation they become visible. We will demonstrate this in the two examples to follow.
- To determine the dispersion of excitation we only need to know the peak position of S(Q, E) in Q-E space. However, to obtain the DyPDF and VHF we have to know the correct normalized intensity of S(Q, E). For this purpose S(Q, E) has to be determined with much higher statistical accuracy and proper normalization.
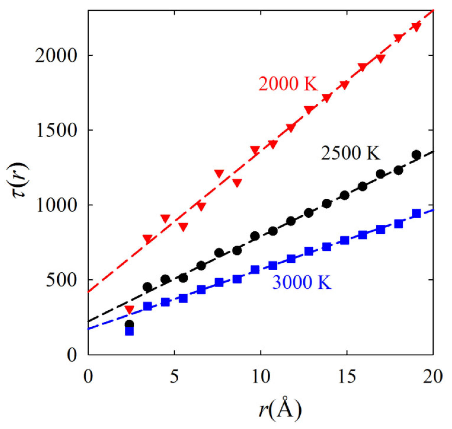
3. Dynamic Pair-Density Function of Superfluid 4He
4. Local Dynamics of Water
5. Limitations of the Method
6. Study of Local Dynamics: Major Change in Near Future
7. Conclusions
Funding
Acknowledgments
Conflicts of Interest
References
- Lovesey, S.W. Theory of Neutron Scattering from Condensed Matter; Oxford University Press: Oxford, UK, 1984; Volume 1. [Google Scholar]
- Arbe, A.; Colmenero, J.; Farago, B.; Monkenbusch, M.; Buchenau, U.; Richter, D. Intermediate length scale dynamics in glass forming polymers: Coherent and incoherent quasielastic neutron scattering results on polyisobutylene. Chem. Phys. 2003, 292, 295–309. [Google Scholar] [CrossRef]
- Novikov, V.N.; Schweizer, K.S.; Sokolov, A.P. Coherent neutron scattering and collective dynamics on mesoscale. J. Chem. Phys. 2013, 138, 164508. [Google Scholar] [CrossRef] [PubMed]
- Donati, C.; Douglas, J.F.; Kob, W.; Plimpton, S.J.; Poole, P.H.; Glotzer, S.C. Stringlike cooperative motion in a supercooled liquid. Phys. Rev. Lett. 1998, 80, 2338–2341. [Google Scholar] [CrossRef]
- Glotzer, S.C.; Novikov, V.N.; Schröder, T.B. Time-dependent, four-point density correlation function description of dynamic heterogeneity and decoupling in supercooled liquids. J. Chem. Phys. 2000, 112, 509–512. [Google Scholar] [CrossRef]
- Widmer-Cooper, A.; Harrowell, P. Predicting the long-time dynamic heterogeneity in a supercooled liquid on the basis of short-time heterogeneities. Phys. Rev. Lett. 2006, 96, 185701. [Google Scholar] [CrossRef] [PubMed]
- Egami, T.; Billinge, S.J.L. Underneath the Bragg Peaks: Structural Analysis of Complex Materials, 2nd ed.; Pergamon Materials Series Vol. 16; Pergamon Press, Elsevier Ltd.: Oxford, UK, 2012. [Google Scholar]
- Van Hove, L. Correlation in space and time and Born approximation scattering in systems of interacting particles. Phys. Rev. 1954, 95, 249–262. [Google Scholar] [CrossRef]
- Mezei, F.; Knaak, W.; Farago, B. Neutron spin-echo study of dynamic correlations near liquid-glass transition. Phys. Scr. 1987, T19B, 363–368. [Google Scholar] [CrossRef]
- Richter, D.; Monkenbusch, M.; Arbe, A.; Colmenero, J. Neutron spin echo in polymer systems. Adv. Polym. Sci. 2005, 174, 1–221. [Google Scholar]
- Ruta, B.; Baldi, G.; Chuskin, Y.; Ruffle, B.; Cristoflini, L.; Fonatan, A.; Zanatta, M.; Nazzani, F. Revealing the fast atomic motion of network glasses. Nat. Commun. 2014, 5, 3939. [Google Scholar] [CrossRef] [PubMed]
- Mezei, F. The Principles of Neutron Spin Echo; Neutron Spin Echo. Lecture Notes in, Physics; Mezei, F., Ed.; Springer: Berlin/Heidelberg, Germany, 1980; Volume 128. [Google Scholar]
- Dahlborg, U.; Gudowski, W.; Davidovic, M. Van Hove correlation functions from coherent neutron inelastic scattering. J. Phys. Cond. Matter 1989, 1, 6173–6179. [Google Scholar] [CrossRef]
- Mason, T.E.; Abernathy, D.; Anderson, I.; Ankner, J.; Egami, T.; Ehlers, G.; Ekkebus, A.; Granroth, G.; Hagen, M.; Herwig, K.; et al. The Spallation Neutron Source in Oak Ridge: A Powerful Tool for Materials Research. Phys. B 2006, 385, 955–960. [Google Scholar] [CrossRef]
- Baron, A.Q.R. High-resolution inelastic X-ray scattering I: Context, spectrometers, samples, and superconductors. In Synchrotron Light Sources and Free-Electron Lasers; Springer International Publishing: Cham, Switzerland, 2015. [Google Scholar]
- Arnold, O.; Bilheux, J.C.; Borreguero, J.M.; Buts, A.; Campbell, S.I.; Chapon, L.; Doucet, M.; Draper, N.; Leal, R.F.; Gigg, M.A.; et al. Mantid—Data analysis and visualization package for neutron scattering and image μ SR experiments. Nucl. Instrum. Methods Phys. Res. Sect. A 2014, 764, 156–166. [Google Scholar] [CrossRef]
- Abbamonte, P.; Finkelstein, K.D.; Collins, M.D.; Gruner, S.M. Imaging density disturbances in water with a 41.3-attosecond time resolution. Phys. Rev. Lett. 2004, 92, 237401. [Google Scholar] [CrossRef] [PubMed]
- Coridan, R.H.; Schmidt, N.W.; Lai, G.H.; Godawat, R.; Krisch, M.; Garde, S.; Abbamonte, P.; Wong, G.C.L. Hydration dynamics at femtosecond time scales and angstrom length scales from inelastic X-ray scattering. Phys. Rev. Lett. 2009, 103, 237402. [Google Scholar] [CrossRef] [PubMed]
- Carpenter, J.M.; Pelizzari, C.A. Inelastic neutron scattering from amorphous solids. II. Interpretation of measurements. Phys. Rev. B 1975, 12, 2397–2401. [Google Scholar] [CrossRef]
- Hannon, A.C.; Arai, M.; Sinclair, R.N.; Wright, A.C. A dynamic correlation function for amorphous solids. J. Non-Cryst. Solids 1992, 150, 239–244. [Google Scholar] [CrossRef]
- Arai, M.; Hannon, A.C.; Otomo, T.; Hiramatsu, A.; Nishijima, T. Dynamic correlation function studies of the medium-range order in materials. J. Non-Cryst. Solids 1995, 192, 230–237. [Google Scholar] [CrossRef]
- Kapitza, P. Viscosity of liquid helium below the λ-point. Nature 1938, 141, 74. [Google Scholar] [CrossRef]
- London, F. The λ-phenomenon of liquid helium and the Bose-Einstein condensation. Nature 1938, 141, 643–644. [Google Scholar] [CrossRef]
- Landau, L.D. Theory of the superfluidity in helium II. Phys. Rev. 1941, 60, 356–358. [Google Scholar] [CrossRef]
- Feynman, R.P. Atomic theory of liquid helium near absolute zero. Phys. Rev. 1953, 91, 1301–1308. [Google Scholar] [CrossRef]
- Griffin, A. Excitations in a Bose-Condensed Liquid; Cambridge University Press: Cambridge, UK, 1993. [Google Scholar]
- Glyde, H.R.; Azuah, R.T.; Stirling, W.G. Condensate, momentum distribution, and final-state effects in liquid 4He. Phys. Rev. B 2000, 62, 14337–14349. [Google Scholar] [CrossRef]
- Glyde, H.R. Excitations in Liquid and Solid Helium; Clarendon Press: Oxford, UK, 1994. [Google Scholar]
- Dmowski, W.; Diallo, S.O.; Lokshin, K.; Ehlers, G.; Ferré, G.; Boronat, J.; Egami, T. Observation of dynamic atom-atom correlation in liquid helium in real space. Nat. Commun. 2017, 8, 15294. [Google Scholar] [CrossRef] [PubMed]
- Ferré, G.; Boronat, J. Dynamic structure factor of liquid 4He across the normal-superfluid transition. Phys. Rev. B 2016, 93, 104510. [Google Scholar] [CrossRef]
- Svensson, E.C.; Sears, V.F.; Woods, A.D.B.; Martel, P. Neutron-diffraction study of the static structure factor and pair correlations in liquid 4He. Phys. Rev. B 1980, 21, 3538–3651. [Google Scholar] [CrossRef]
- Iwashita, T.; Wu, B.; Chen, W.; Tsutsui, S.; Baron, A.Q.R.; Egami, T. Seeing real-space dynamics of liquid water through inelastic X-ray scattering. Sci. Adv. 2017, 3, e1603079. [Google Scholar] [CrossRef] [PubMed]
- Sette, F.; Ruocco, G.; Krisch, M.; Masciovecchio, C.; Verbeni, R.; Bergmann, U. Transition from normal to fast sound in liquid water. Phys. Rev. Lett. 1996, 77, 83–86. [Google Scholar] [CrossRef] [PubMed]
- Scopigno, T.; Balucani, U.; Ruocco, G.; Sette, F. Inelastic X-ray scattering and the high-frequency dynamics of disordered systems. Phys. B 2002, 318, 341–349. [Google Scholar] [CrossRef]
- Bernal, J.D. A geometrical approach to the structure of liquids. Nature 1959, 183, 141–147. [Google Scholar] [CrossRef]
- Iwashita, T.; Egami, T. Local energy landscape in simple liquids. Phys. Rev. E 2014, 90, 052307. [Google Scholar] [CrossRef] [PubMed]
- Shinohara, Y.; Dmowski, W.; Iwashita, T.; Wu, B.; Ishikawa, D.; Baron, A.Q.R.; Egami, T. Viscosity and real space molecular motion of water: Observation with inelastic X-ray scattering. Phys. Rev. E 2018, 98, 022604. [Google Scholar] [CrossRef] [PubMed]
- Iwashita, T.; Nicholson, D.M.; Egami, T. Elementary excitations and crossover phenomenon in liquids. Phys. Rev. Lett. 2013, 110, 205504. [Google Scholar] [CrossRef] [PubMed]
- Egami, T.; Maeda, K.; Vitek, V. Structural defects in amorphous solids: A computer simulation study. Philos. Mag. A 1980, 41, 883–901. [Google Scholar] [CrossRef]
- Hansen, J.; McDonald, I.R. Theory of Simple Liquids; Academic Press: New York, NY, USA, 2006. [Google Scholar]
- Levashov, V.A.; Morris, J.R.; Egami, T. The origin of viscosity as seen through atomic level stress correlation function. J. Chem. Phys. 2013, 138, 044507. [Google Scholar] [CrossRef] [PubMed]
- Egami, T.; Srolovitz, D. Local structural fluctuations in amorphous and liquid metals: A simple theory of glass transition. J. Phys. F 1982, 12, 2141–2163. [Google Scholar] [CrossRef]
- Perticaroli, S.; Mostofian, B.; Ehlers, G.; Neuefeind, J.C.; Diallo, S.O.; Stanley, C.B.; Daemen, L.; Katsaras, J.; Egami, T.; Cheng, X.; et al. Structural relaxation, viscosity, and network connectivity in a hydrogen bonding liquid. Phys. Chem. Chem. Phys. 2017, 19, 25859–25869. [Google Scholar] [CrossRef] [PubMed]
- Wu, B.; Iwashita, T.; Egami, T. Atomic dynamics in simple liquid: De Gennes narrowing revisited. Phys. Rev. Lett. 2018, 120, 135502. [Google Scholar] [CrossRef] [PubMed]
- Mamontov, E.; Herwig, K.W. A time-of-flight backscattering spectrometer at the Spallation Neutron Source, BASIS. Rev. Sci. Instr. 2011, 82, 085109. [Google Scholar] [CrossRef] [PubMed]
- Marinelli, A.; Ratner, D.; Lutman, A.A.; Turner, J.; Welch, J.; Decker, F.; Loss, H.; Behrens, C.; Gilevich, S.; Miahnahri, A.A.; et al. High-intensity double-pulse X-ray free-electron laser. Nat. Commun. 2015, 6, 6369. [Google Scholar] [CrossRef] [PubMed]
- Linac Coherent Light Source. Available online: https://lcls.slac.stanford.edu/lcls-ii (accessed on 25 October 2018).
- Kawakita, Y.; Kikuchi, T.; Inamura, Y.; Tahara, S.; Maruyama, K.; Hanashima, T.; Nakamura, M.; Kiyanagi, R.; Yamauchi, Y.; Chiba, K.; et al. Anomaly of structural relaxation in complex liquid metal of bismuth—Dynamic correlation function of coherent quasi-elastic neutron scattering. Phys. B Cond. Matter 2018, in press. [Google Scholar] [CrossRef]
- Pramanick, A.; Dmowski, W.; Egami, T.; Budisuharto, A.S.; Weyland, F.; Novak, N.; Christianson, A.D.; Borreguero, J.M.; Abernathy, D.L.; Jørgensen, M.R.V. Stabilization of polar nano regions in Pb-free ferroelectrics. Phys. Rev. Lett. 2018, 120, 207603. [Google Scholar] [CrossRef] [PubMed]









© 2018 by the author. Licensee MDPI, Basel, Switzerland. This article is an open access article distributed under the terms and conditions of the Creative Commons Attribution (CC BY) license (http://creativecommons.org/licenses/by/4.0/).
Share and Cite
Egami, T. Real-Space Description of Dynamics of Liquids. Quantum Beam Sci. 2018, 2, 22. https://doi.org/10.3390/qubs2040022
Egami T. Real-Space Description of Dynamics of Liquids. Quantum Beam Science. 2018; 2(4):22. https://doi.org/10.3390/qubs2040022
Chicago/Turabian StyleEgami, Takeshi. 2018. "Real-Space Description of Dynamics of Liquids" Quantum Beam Science 2, no. 4: 22. https://doi.org/10.3390/qubs2040022
APA StyleEgami, T. (2018). Real-Space Description of Dynamics of Liquids. Quantum Beam Science, 2(4), 22. https://doi.org/10.3390/qubs2040022
