Effects of Short-Term Structural Exercise on Cardiopulmonary Function, Quality of Life, and Oxidative Status in Liver Transplant Recipients: A Case Series
Abstract
1. Introduction
2. Materials and Methods
2.1. Study Population and Data Collection
2.2. Cardiopulmonary Exercise Testing (CPET)
2.3. Six-Minute Walk Distance (6MWD)
2.4. Spirometry
2.5. Respiratory Muscle Strength
2.6. Lower Extremity Muscle Strength
2.7. Health-Related Quality of Life (HRQoL)
2.8. Oxidative Stress Evaluation
2.9. Training Program
2.10. Statistical Methods
3. Results
3.1. Study Population
3.2. Cardiopulmonary Function
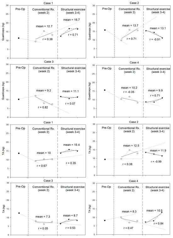
3.3. Lower Extremity Muscle Strength
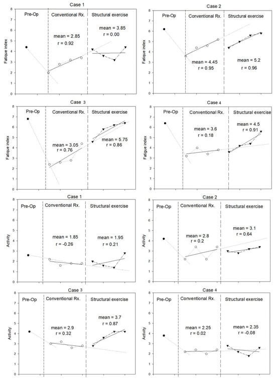
3.4. Health-Related Quality of Life
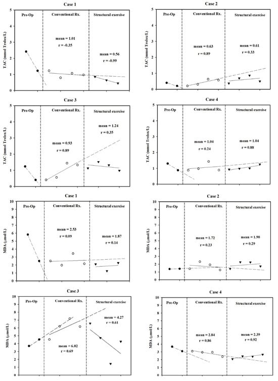
3.5. Oxidative Status
4. Discussion
5. Conclusions
Author Contributions
Funding
Institutional Review Board Statement
Informed Consent Statement
Data Availability Statement
Conflicts of Interest
Correction Statement
References
- Farkas, S.; Hackl, C.; Schlitt, H.J. Overview of the Indications and Contraindications for Liver Transplantation. Cold Spring Harb. Perspect. Med. 2014, 4, a015602. [Google Scholar] [CrossRef] [PubMed]
- Kaltsakas, G. Dyspnea and Respiratory Muscle Strength in End-Stage Liver Disease. World J. Hepatol. 2013, 5, 56. [Google Scholar] [CrossRef]
- Dharancy, S.; Lemyze, M.; Boleslawski, E.; Neviere, R.; Declerck, N.; Canva, V.; Wallaert, B.; Mathurin, P.; Pruvot, F.R. Impact of Impaired Aerobic Capacity on Liver Transplant Candidates. Transplantation 2008, 86, 1077–1083. [Google Scholar] [CrossRef]
- Duarte-Rojo, A.; Ruiz-Margáin, A.; Montaño-Loza, A.J.; Macías-Rodríguez, R.U.; Ferrando, A.; Kim, W.R. Exercise and Physical Activity for Patients with End-stage Liver Disease: Improving Functional Status and Sarcopenia While on the Transplant Waiting List. Liver Transpl. 2018, 24, 122–139. [Google Scholar] [CrossRef] [PubMed]
- Feltracco, P. Early Respiratory Complications after Liver Transplantation. World J. Gastroenterol. WJG 2013, 19, 9271. [Google Scholar] [CrossRef] [PubMed]
- Thorat, V.N.; Suryakar, A.N.; Naik, P.; Tiwale, B.M. Total Antioxidant Capacity and Lipid Peroxidation in Liver Transplantation. Indian J. Clin. Biochem. 2009, 24, 102–104. [Google Scholar] [CrossRef]
- Aydin, M.; Dirik, Y.; Demir, C.; Tolunay, H.; Demir, H. Can We Reduce Oxidative Stress with Liver Transplantation? J. Med. Biochem. 2021, 40, 351–357. [Google Scholar] [CrossRef]
- Van Ginneken, B.T.J.; Van Den Berg-Emons, R.J.G.; Kazemier, G.; Metselaar, H.J.; Tilanus, H.W.; Stam, H.J. Physical Fitness, Fatigue, and Quality of Life after Liver Transplantation. Eur. J. Appl. Physiol. 2007, 100, 345–353. [Google Scholar] [CrossRef]
- Painter, P.; Krasnoff, J.; Paul, S.M.; Ascher, N.L. Physical Activity and Health-Related Quality of Life in Liver Transplant Recipients. Liver Transplant. 2001, 7, 213–219. [Google Scholar] [CrossRef]
- Worraphan, S.; Thammata, A.; Chittawatanarat, K.; Saokaew, S.; Kengkla, K.; Prasannarong, M. Effects of Inspiratory Muscle Training and Early Mobilization on Weaning of Mechanical Ventilation: A Systematic Review and Network Meta-Analysis. Arch. Phys. Med. Rehabil. 2020, 101, 2002–2014. [Google Scholar] [CrossRef] [PubMed]
- Ni, C.; Wang, Z.; Huang, Z.; Zhou, H.; Fu, L.; Cai, H.; Huang, X.; Yang, Y.; Li, H.; Zhou, W. Early Enforced Mobilization after Liver Resection: A Prospective Randomized Controlled Trial. Int. J. Surg. 2018, 54, 254–258. [Google Scholar] [CrossRef]
- Frick, K.; Beller, E.A.; Kalisvaart, M.; Dutkowski, P.; Schüpbach, R.A.; Klinzing, S. Procalcitonin in Early Allograft Dysfunction after Orthotopic Liver Transplantation: A Retrospective Single Centre Study. BMC Gastroenterol. 2022, 22, 404. [Google Scholar] [CrossRef]
- Feltracco, P.; Barbieri, S.; Carollo, C.; Bortolato, A.; Michieletto, E.; Bertacco, A.; Gringeri, E.; Cillo, U. Early Circulatory Complications in Liver Transplant Patients. Transplant. Rev. 2019, 33, 219–230. [Google Scholar] [CrossRef]
- Maffei, P.; Wiramus, S.; Bensoussan, L.; Bienvenu, L.; Haddad, E.; Morange, S.; Fathallah, M.; Hardwigsen, J.; Viton, J.-M.; Le Treut, Y.P.; et al. Intensive Early Rehabilitation in the Intensive Care Unit for Liver Transplant Recipients: A Randomized Controlled Trial. Arch. Phys. Med. Rehabil. 2017, 98, 1518–1525. [Google Scholar] [CrossRef]
- Van Den Berg-Emons, R.; Kazemier, G.; Van Ginneken, B.; Nieuwenhuijsen, C.; Tilanus, H.; Stam, H. Fatigue, Level Of Everyday Physical Activity And Quality Of Life After Liver Transplantation. J. Rehabil. Med. 2006, 38, 124–129. [Google Scholar] [CrossRef]
- Guzzi, J.; Strand, E.; Hussain, N.; Batra, R.; Deshpande, R. Highlights of Enhanced Recovery After Surgery (ERAS) Programs for Liver Transplantation. Curr. Transpl. Rep. 2024, 11, 125–130. [Google Scholar] [CrossRef]
- Beyer, N.; Aadahl, M.; Strange, B.; Kirkegaard, P.; Hansen, B.A.; Mohr, T.; Kjaer, M. Improved Physical Performance after Orthotopic Liver Transplantation. Liver Transpl. 1999, 5, 301–309. [Google Scholar] [CrossRef] [PubMed]
- Nevhufumba, E.; Constantinou, D.; Peter, D.; Gradidge, P.J.-L. The Effectiveness of Exercise Prehabilitation on Aerobic Capacity, Muscle Strength and Body Composition in Patients with Cirrhosis Awaiting Liver Transplantation: A Systematic Review and Meta-Analysis Protocol. Syst. Rev. 2024, 13, 225. [Google Scholar] [CrossRef] [PubMed]
- Huang, Y.-T.; Lin, Y.-J.; Hung, C.-H.; Cheng, H.-C.; Yang, H.-L.; Kuo, Y.-L.; Chu, P.-M.; Tsai, Y.-F.; Tsai, K.-L. The Fully Engaged Inspiratory Muscle Training Reduces Postoperative Pulmonary Complications Rate and Increased Respiratory Muscle Function in Patients with Upper Abdominal Surgery: A Randomized Controlled Trial. Ann. Med. 2022, 54, 2221–2231. [Google Scholar] [CrossRef] [PubMed]
- Radtke, T.; Crook, S.; Kaltsakas, G.; Louvaris, Z.; Berton, D.; Urquhart, D.S.; Kampouras, A.; Rabinovich, R.A.; Verges, S.; Kontopidis, D.; et al. ERS statement on standardisation of cardiopulmonary exercise testing in chronic lung diseases. Eur. Respir. Rev. 2019, 28, 180101. [Google Scholar] [CrossRef]
- American Thoracic Society; American College of Chest Physicians. ATS/ACCP Statement on Cardiopulmonary Exercise Testing. Am. J. Respir. Crit. Care Med. 2003, 167, 211–277. [Google Scholar] [CrossRef] [PubMed]
- Chuatrakoon, B.; Seepang, N.; Chaiwong, D.; Nanavichit, R.; Rerkasem, K.; Nantakool, S. The agreement of the various distance walkway in the 6-minute walk test in healthy adults. PLoS ONE 2025, 20, e0321503. [Google Scholar] [CrossRef]
- Miller, M.R.; Hankinson, J.; Brusasco, V.; Burgos, F.; Casaburi, R.; Coates, A.; Crapo, R.; Enright, P.; Van Der Grinten, C.P.M.; Gustafsson, P.; et al. Standardisation of Spirometry. Eur. Respir. J. 2005, 26, 319–338. [Google Scholar] [CrossRef]
- American Thoracic Society. ATS/ERS Statement on Respiratory Muscle Testing. Am. J. Respir. Crit. Care Med. 2002, 166, 518–624. [Google Scholar] [CrossRef]
- Sobhonslidsuk, A. Chronic Liver Disease Questionnaire: Translation and Validation in Thais. World J. Gastroenterol. WJG 2004, 10, 1954. [Google Scholar] [CrossRef] [PubMed]
- Re, R.; Pellegrini, N.; Proteggente, A.; Pannala, A.; Yang, M.; Rice-Evans, C. Antioxidant Activity Applying an Improved ABTS Radical Cation Decolorization Assay. Free Radic. Biol. Med. 1999, 26, 1231–1237. [Google Scholar] [CrossRef]
- Chirico, S. [32] High-Performance Liquid Chromatography-Based Thiorbarbituric Acid Tests. In Methods in Enzymology; Elsevier: Amsterdam, The Netherlands, 1994; Volume 233, pp. 314–318. [Google Scholar] [CrossRef]
- Thammata, A.; Worraphan, S.; Chittawatanarat, K.; Juntaping, K.; Prasannarong, M. Impact of inspiratory muscle training and early mobilization program during the peri-weaning period on body composition in critically ill surgical patients: A pilot randomized controlled trial. J. Assoc. Med. Sci. 2021, 54, 58–66. [Google Scholar] [CrossRef]
- Leelarungrayub, J.; Pothasak, Y.; Kaju, J.; Kanthain, R. Application of a Single-Case Research Design to Present the Effectiveness of Rehabilitation in the Clinic [Internet]. In Physical Therapy Effectiveness; IntechOpen: London, UK, 2020. [Google Scholar] [CrossRef]
- Lapisatepun, W.; Junrungsee, S.; Chotirosniramit, A.; Udomsin, K.; Ko-iam, W.; Lapisatepun, W.; Siripongpon, K.; Kiratipaisarl, W.; Bhanichvit, P.; Julphakee, T. Outcomes of the Initial Phase of an Adult Living versus Deceased Donor Liver Transplantation Program in a Low-Volume Transplant Center. Res. Sq. 2022. [Google Scholar] [CrossRef]
- Siafakas, N.M.; Mitrouska, I.; Bouros, D.; Georgopoulos, D. Surgery and the Respiratory Muscles. Thorax 1999, 54, 458–465. [Google Scholar] [CrossRef]
- Iwakura, M.; Okura, K.; Kubota, M.; Sugawara, K.; Kawagoshi, A.; Takahashi, H.; Shioya, T. Estimation of Minimal Clinically Important Difference for Quadriceps and Inspiratory Muscle Strength in Older Outpatients with Chronic Obstructive Pulmonary Disease: A Prospective Cohort Study. Phys. Ther. Res. 2021, 24, 35–42. [Google Scholar] [CrossRef]
- Deshmukh, M.P.; Vardhan, G.D.V.; Palekar, T.J. A Study on Effect of Inspiratory Muscle Training in Upper Abdominal Surgery Patients. Int. J. Pharma Bio Sci. 2017, 8, 378–384. [Google Scholar] [CrossRef]
- Guenette, J.A.; Romer, L.M.; Querido, J.S.; Chua, R.; Eves, N.D.; Road, J.D.; McKenzie, D.C.; Sheel, A.W. Sex differences in exercise-induced diaphragmatic fatigue in endurance-trained athletes. J. Appl. Physiol. 2010, 109, 35–46. [Google Scholar] [CrossRef] [PubMed]
- Cho, H.E. Understanding changes in the respiratory system with ageing. Ann. CardioPulm. Rehabil. 2023, 3, 27–34. [Google Scholar] [CrossRef]
- Williams, T.J.; McKenna, M.J. Exercise Limitation Following Transplantation. In Comprehensive Physiology; Prakash, Y.S., Ed.; Wiley: Hoboken, NJ, USA, 2012; pp. 1937–1979. [Google Scholar] [CrossRef]
- Zhao, X.; Kotha, S.; Nayyar, D.; Ma, X.; Lilly, L.; Castel, H.; Gupta, S. Physiologic Changes in the Hepatopulmonary Syndrome before and after Liver Transplant: A Longitudinal and Predictor Analysis. Hepatology 2024, 79, 636–649. [Google Scholar] [CrossRef]
- Bohannon, R.W.; Crouch, R. Minimal Clinically Important Difference for Change in 6-minute Walk Test Distance of Adults with Pathology: A Systematic Review. Eval. Clin. Pract. 2017, 23, 377–381. [Google Scholar] [CrossRef] [PubMed]
- Paul, M.; Smart, T.F.; Doleman, B.; Toft, S.; Williams, J.P.; Lund, J.N.; Phillips, B.E. A Systematic Review of the Impact of Postoperative Aerobic Exercise Training in Patients Undergoing Surgery for Intra-Abdominal Cancers. Tech. Coloproctol. 2023, 27, 1169–1181. [Google Scholar] [CrossRef]
- Hegazy, F.A.; Mohamed Kamel, S.M.; Abdelhamid, A.S.; Aboelnasr, E.A.; Elshazly, M.; Hassan, A.M. Effect of Postoperative High Load Long Duration Inspiratory Muscle Training on Pulmonary Function and Functional Capacity after Mitral Valve Replacement Surgery: A Randomized Controlled Trial with Follow-Up. PLoS ONE 2021, 16, e0256609. [Google Scholar] [CrossRef]
- Długosz, A.; Srednicka, D.; Boratyński, J. The influence of tacrolimus on oxidative stress and free-radical processes. Postepy. Hig. Med. Dosw. (Online) 2007, 61, 466–471. [Google Scholar]
- Tolou-Ghamari, Z. Total Anti-Oxidant Capacity and Immunosuppressive Drug Blood Levels after Kidney Transplantation: A Patent Perspective. Recent Adv. Inflamm. Allergy Drug Discov. 2024, 19, 374–379. [Google Scholar] [CrossRef]





| Case No.1 | Case No.2 | Case No.3 | Case No.4 | Mean ± SD | |
|---|---|---|---|---|---|
| Gender, M/F | M | M | F | F | |
| Age, y | 52 | 60 | 59 | 21 | 48.00 ± 18.35 |
| Diagnosis | HCC, HBV | HCC, Alcoholic cirrhosis | HCC, HCV | Biliary atresia s/p Kasai operation | - |
| Preoperative MLED (Score) | 14 | 13 | 16 | 13 | 14.00 ± 1.22 |
| Underlying disease | HTN, DLP | - | - | VSD | - |
| Height, cm | 158 | 166.5 | 155 | 155 | 158.62 ± 5.44 |
| Weight, kg | |||||
| week-0 | 76 | 63 | 53.3 | 52 | 61.08 ± 11.09 |
| week-4 | 67 | 53 | 53 | 44 | 54.25 ± 9.50 |
| BMI (km/m2) | |||||
| week-0 | 30.44 | 22.73 | 22.19 | 21.64 | 24.25 ± 4.15 |
| week-4 | 26.84 | 19.12 | 22.06 | 18.3 | 21.58 ± 3.86 |
| Case No.1 | Case No.2 | Case No.3 | Case No.4 | Mean ± SD | |
|---|---|---|---|---|---|
| CPET | |||||
| VO2 at AT, mL/kg/min | |||||
| week-0 | 14.9 | 18.7 | 7.1 | 10.7 | 12.85 ± 5.04 |
| week-4 | 11.3 | 15.5 | 6.6 | 12.7 | 11.52 ± 3.72 |
| VO2 peak, mL/kg/min | |||||
| week-0 | 20.6 | 24.6 | 16 | 22.6 | 20.95 ± 3.68 |
| week-4 | 14.8 | 19.8 | 9 | 16.5 | 15.02 ± 4.52 |
| VO2 peak %Pred, % | |||||
| week-0 | 75 | 60 | 32 | 65 | 58.00 ± 18.42 |
| week-4 | 47 | 42 | 18 | 44 | 37.75 ± 13.33 |
| Peak workload, Watts | |||||
| week-0 | 122 | 142 | 25 | 116 | 101.25 ± 52.03 |
| week-4 | 91 | 83 | 25 | 82 | 70.25 ± 30.43 |
| 6MWD, m | |||||
| week-0 | 344.1 | 490 | 365 | 195 | 348.52 ± 120.94 |
| week-4 | 376 | 414 | 207.2 | 448 | 361.30 ± 106.86 |
| Spirometry | |||||
| FVC (L) | |||||
| week-0 | 2.53 | 4.8 | 1.86 | 3.41 | 3.15 ± 1.27 |
| week-4 | 2.51 | 4.59 | 1.45 | 2.47 | 2.76 ± 1.32 |
| FVC %Pred (%) | |||||
| week-0 | 78 | 144 | 80 | 119 | 105.25 ± 31.99 |
| week-4 | 78 | 138 | 62 | 86 | 91.00 ± 32.88 |
| FEV1/FVC (%) | |||||
| week-0 | 81.1 | 67.6 | 75.7 | 91.6 | 79.00 ± 10.07 |
| week-4 | 80.5 | 70.3 | 82.8 | 97 | 82.65 ± 11.00 |
| FEV1/FVC %Pred (%) | |||||
| week-0 | 96 | 82 | 90 | 101 | 92.25 ± 8.18 |
| week-4 | 95 | 86 | 98 | 107 | 96.50 ± 8.66 |
| PEF (L) | |||||
| week-0 | 7.59 | 9.35 | 4.07 | 5.76 | 6.69 ± 2.28 |
| week-4 | 8.44 | 9.85 | 4.24 | 5.88 | 7.10 ± 2.52 |
| PEF %Pred (%) | |||||
| week-0 | 91 | 110 | 71 | 94 | 91.50 ± 16.01 |
| week-4 | 102 | 116 | 77 | 96 | 97.75 ± 16.17 |
| FEV25–75 (L) | |||||
| week-0 | 1.83 | 1.74 | 1.19 | 3.5 | 2.06 ± 1.00 |
| week-4 | 1.97 | 1.95 | 1.3 | 3.9 | 2.28 ± 1.12 |
| FEV25–75 %Pred (%) | |||||
| week-0 | 54 | 55 | 54 | 104 | 66.75 ± 24.84 |
| week-4 | 58 | 62 | 59 | 115 | 73.50 ± 27.11 |
Disclaimer/Publisher’s Note: The statements, opinions and data contained in all publications are solely those of the individual author(s) and contributor(s) and not of MDPI and/or the editor(s). MDPI and/or the editor(s) disclaim responsibility for any injury to people or property resulting from any ideas, methods, instructions or products referred to in the content. |
© 2025 by the authors. Licensee MDPI, Basel, Switzerland. This article is an open access article distributed under the terms and conditions of the Creative Commons Attribution (CC BY) license (https://creativecommons.org/licenses/by/4.0/).
Share and Cite
Mekkhayai, N.; Leelarungrayub, J.; Konghakote, S.; Kanthain, R.; Wonglangka, K.; Junrungsee, S.; Prasannarong, M. Effects of Short-Term Structural Exercise on Cardiopulmonary Function, Quality of Life, and Oxidative Status in Liver Transplant Recipients: A Case Series. J. Funct. Morphol. Kinesiol. 2025, 10, 313. https://doi.org/10.3390/jfmk10030313
Mekkhayai N, Leelarungrayub J, Konghakote S, Kanthain R, Wonglangka K, Junrungsee S, Prasannarong M. Effects of Short-Term Structural Exercise on Cardiopulmonary Function, Quality of Life, and Oxidative Status in Liver Transplant Recipients: A Case Series. Journal of Functional Morphology and Kinesiology. 2025; 10(3):313. https://doi.org/10.3390/jfmk10030313
Chicago/Turabian StyleMekkhayai, Narubet, Jirakrit Leelarungrayub, Supatcha Konghakote, Rungtiwa Kanthain, Khanittha Wonglangka, Sunhawit Junrungsee, and Mujalin Prasannarong. 2025. "Effects of Short-Term Structural Exercise on Cardiopulmonary Function, Quality of Life, and Oxidative Status in Liver Transplant Recipients: A Case Series" Journal of Functional Morphology and Kinesiology 10, no. 3: 313. https://doi.org/10.3390/jfmk10030313
APA StyleMekkhayai, N., Leelarungrayub, J., Konghakote, S., Kanthain, R., Wonglangka, K., Junrungsee, S., & Prasannarong, M. (2025). Effects of Short-Term Structural Exercise on Cardiopulmonary Function, Quality of Life, and Oxidative Status in Liver Transplant Recipients: A Case Series. Journal of Functional Morphology and Kinesiology, 10(3), 313. https://doi.org/10.3390/jfmk10030313

