MgB2 Thin Films Fabricated by Pulsed Laser Deposition Using Nd:YAG Laser in an In Situ Two-Step Process
Abstract
1. Introduction
2. Materials and Methods
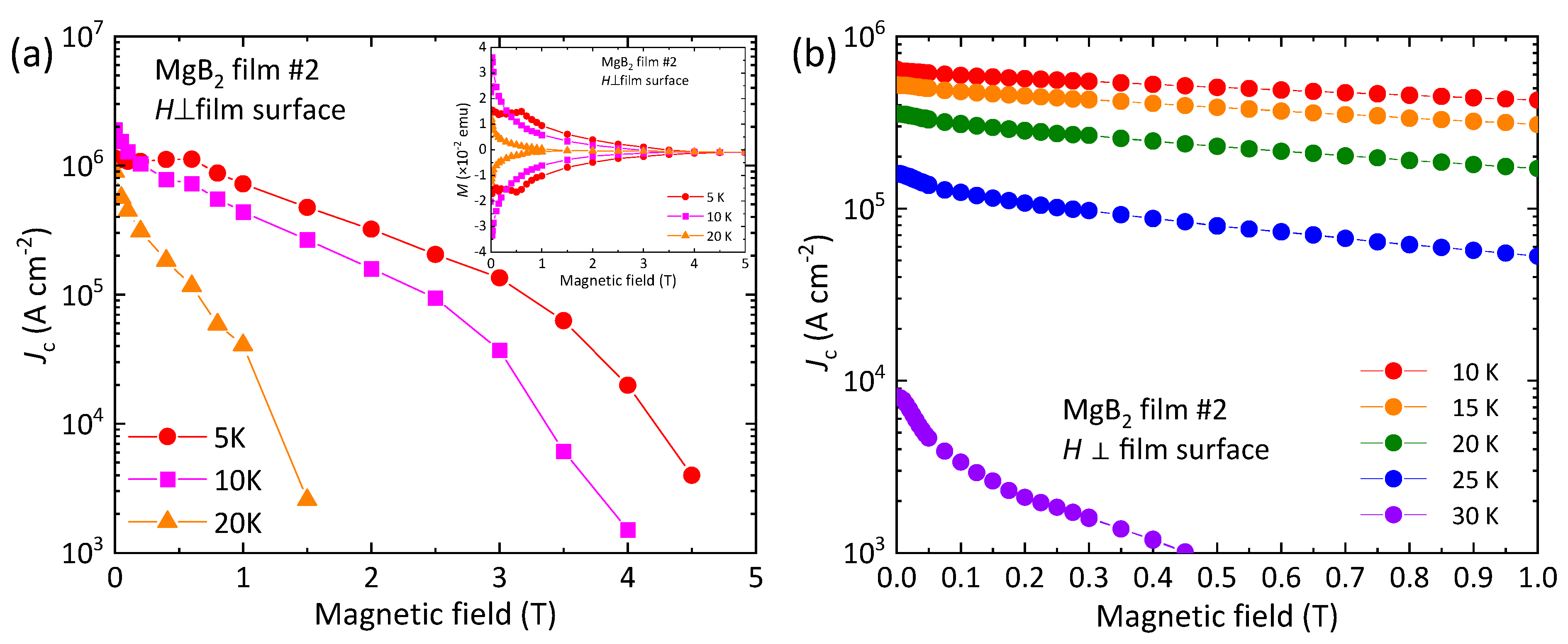
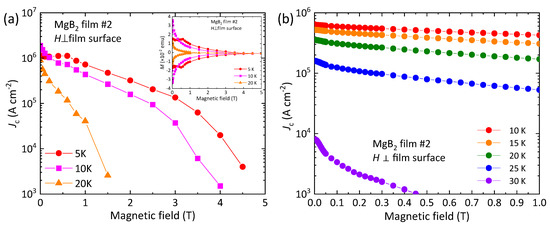
3. Results and Discussion
4. Conclusions
Author Contributions
Funding
Institutional Review Board Statement
Informed Consent Statement
Data Availability Statement
Acknowledgments
Conflicts of Interest
References
- Nagamatsu, J.; Nakagawa, N.; Zenitani, Y.; Akimitsu, J. Superconductivity at 39 K in magnesium diboride. Nature 2001, 410, 63–64. [Google Scholar] [CrossRef]
- Fletcher, J.D.; Carrington, A.; Taylor, O.J.; Kazakov, S.M.; Karpinski, J. Temperature-dependent anisotropy of the penetration depth and coherence length of MgB2. Phys. Rev. Lett. 2005, 95, 097005. [Google Scholar] [CrossRef] [PubMed]
- Buzea, C.; Yamashita, T. Review of the superconducting properties of MgB2. Supercond. Sci. Technol. 2001, 14, R115–R146. [Google Scholar] [CrossRef]
- Bugoslavsky, Y.; Perkins, G.K.; Qi, X.; Cohen, L.F.; Caplin, A.D. Vortex dynamics in superconducting MgB2 and prospects for applications. Nature 2001, 410, 563–565. [Google Scholar] [CrossRef]
- Larbalestier, D.; Gurevich, A.; Feldmann, D.M.; Polyanskii, A. High-Tc superconducting materials for electric power applications. Nature 2001, 414, 368–377. [Google Scholar] [CrossRef]
- Naito, M.; Ueda, K. MgB2 thin films for superconducting electronics. Supercond. Sci. Technol. 2004, 17, R1–R18. [Google Scholar] [CrossRef]
- Ueda, S.; Naito, M. As-grown superconducting MgB2 thin films prepared by molecular beam epitaxy. Appl. Phys. Lett. 2001, 79, 2046. [Google Scholar] [CrossRef]
- Kang, W.N.; Kim, H.-J.; Choi, E.-M.; Jung, C.U.; Lee, S.-I. MgB2 superconducting thin films with a transition temperature of 39 kelvin. Science 2001, 292, 1521–1523. [Google Scholar] [CrossRef] [PubMed]
- Eom, C.B.; Lee, M.K.; Choi, J.H.; Belenky, L.J.; Song, X.; Cooley, L.D.; Naus, M.T.; Patnaik, S.; Jiang, J.; Rikel, M.; et al. High critical current density and enhanced irreversibility field in superconducting MgB2 thin films. Nature 2001, 411, 558–560. [Google Scholar] [CrossRef]
- Christen, H.M.; Zhai, H.Y.; Cantoni, C.; Paranthaman, M.; Sales, B.C.; Rouleau, C.; Norton, D.P.; Christen, D.K.; Lowndes, D.H. Superconducting magnesium diboride films with Tc ≈ 24 K grown by pulsed laser deposition with in situ anneal. Phys. C 2001, 353, 157–161. [Google Scholar] [CrossRef]
- Blank, D.H.A.; Hilgenkamp, H.; Brinkman, A.; Mijatovic, D.; Rijnders, G.; Rogalla, H. Superconducting MgB2 films by pulsed-laser deposition in an in situ two-step process using multicomponent targets. Appl. Phys. Lett. 2001, 79, 394. [Google Scholar] [CrossRef]
- Komori, K.; Kawagishi, K.; Takano, Y.; Fujii, H.; Arisawa, S.; Kumakura, H.; Fukutomi, M. Approach for the fabrication of MgB2 superconducting tape with large in-field transport critical current density. Appl. Phys. Lett. 2002, 81, 1047. [Google Scholar] [CrossRef]
- Zhao, Y.; Ionescu, M.; Pan, A.V.; Dou, S.X.; Collings, E.W. In situ annealing of superconducting MgB2 films prepared by pulsed laser deposition. Supercond. Sci. Technol. 2003, 16, 1487–1492. [Google Scholar] [CrossRef]
- Badica, P.; Togano, K.; Awaji, S.; Watanabe, K. Growth of superconducting MgB2 films by pulsed-laser deposition using a Nd–YAG laser. Supercond. Sci. Technol. 2006, 19, 242–246. [Google Scholar] [CrossRef]
- Matsumoto, A.; Kobayashi, Y.; Takahashi, K.; Kumakura, H.; Kitaguchi, H. MgB2 thin films fabricated by a precursor and post-annealing method have a high Jc in high magnetic fields. Appl. Phys. Express 2008, 1, 021702. [Google Scholar] [CrossRef]
- Kitaguchi, H.; Matsumoto, A.; Kumakura, H.; Doi, T.; Yamamoto, H.; Saitoh, K.; Sosiati, H.; Hata, S. MgB2 films with very high critical current densities due to strong grain boundary pinning. Appl. Phys. Lett. 2004, 85, 2842. [Google Scholar] [CrossRef]
- Horii, S.; Ichinose, A.; Iwanaka, T.; Kusunoki, T.; Doi, T. High infield performance and critical temperatures in post-annealed MgB2 films. Appl. Phys. Express 2018, 11, 093102. [Google Scholar] [CrossRef]
- Kambe, H.; Kawayama, I.; Kitamura, N.; Ichinose, A.; Iwanaka, T.; Kusunoki, T.; Doi, T. Increase in the infield critical current density of MgB2 thin films by high-temperature post-annealing. Appl. Phys. Express 2021, 14, 025504. [Google Scholar] [CrossRef]
- Zeng, X.; Pogrebnyakov, A.V.; Kotcharov, A.; Jones, J.E.; Xi, X.X.; Lysczek, E.M.; Redwing, J.M.; Xu, S.; Li, Q.; Lettieri, J.; et al. In situ epitaxial MgB2 thin films for superconducting electronics. Nat. Mater. 2002, 1, 35–38. [Google Scholar] [CrossRef] [PubMed]
- Pogrebnyakov, A.V.; Redwing, J.M.; Jones, J.E.; Xi, X.X.; Xu, S.Y.; Qi, L.; Vaithyanathan, V.; Schlom, D.G. Thickness dependence of the properties of epitaxial thin films grown by hybrid physical-chemical vapor deposition. Appl. Phys. Lett. 2003, 82, 4319. [Google Scholar] [CrossRef]
- Zhuang, C.G.; Meng, S.; Zhang, C.Y.; Feng, Q.R.; Gan, Z.Z.; Yang, H.; Jia, Y.; Wen, H.H.; Xi, X.X. Ultrahigh current-carrying capability in clean MgB2 films. J. Appl. Phys. 2008, 104, 013924. [Google Scholar] [CrossRef]
- Moeckly, B.H.; Ruby, W.S. Growth of high-quality large-area MgB2 thin films by reactive evaporation. Supercond. Sci. Technol. 2006, 19, L21–L24. [Google Scholar] [CrossRef][Green Version]
- Ahn, J.-R.; Lee, S.-G.; Hwang, Y.; Sung, G.Y.; Kim, D.K. Fabrication of MgB2 thin film by rf magnetron sputtering. Phys. C 2003, 388–389, 127–128. [Google Scholar] [CrossRef]
- Yamamoto, A.; Shimoyama, J.; Ueda, S.; Katsura, Y.; Horii, S.; Kishio, K. Synthesis of high Jc MgB2 bulks with high reproducibility by a modified powder-in-tube method. Supercond. Sci. Technol. 2004, 17, 921–925. [Google Scholar] [CrossRef]
- Yamamoto, A.; Ishihara, A.; Tomita, M.; Kishio, K. Permanent magnet with MgB2 bulk superconductor. Appl. Phys. Lett. 2014, 105, 032601. [Google Scholar] [CrossRef]
- Sugino, S.; Yamamoto, A.; Shimoyama, J.; Kishio, K. Enhanced trapped field in MgB2 bulk magnets by tuning grain boundary pinning through milling. Supercond. Sci. Technol. 2015, 28, 055016. [Google Scholar] [CrossRef]
- Jung, C.U.; Kim, H.-J.; Park, M.-S.; Kim, M.-S.; Kim, J.Y.; Du, Z.; Lee, S.-I.; Kim, K.H.; Betts, J.B.; Jaime, M.; et al. Effects of unreacted Mg impurities on the transport properties of MgB2. Phys. C 2002, 377, 21–25. [Google Scholar] [CrossRef]
- Berenov, A.; Lockman, Z.; Qi, X.; MacManus-Driscoll, J.L.; Bugoslavsky, Y.; Cohen, L.F.; Jo, M.-H.; Stelmashenko, N.A.; Tsaneva, V.N.; Kambara, M.; et al. Growth of strongly biaxially aligned MgB2 thin films on sapphire by postannealing of amorphous precursors. Appl. Phys. Lett. 2001, 79, 4001. [Google Scholar] [CrossRef]
- Bean, C.P. Magnetization of Hard Superconductors. Phys. Rev. Lett. 1962, 8, 250. [Google Scholar] [CrossRef]
- Bean, C.P. Magnetization of High-Field Superconductors. Rev. Mod. Phys. 1964, 36, 31. [Google Scholar] [CrossRef]
- Doua, S.X.; Wanga, X.L.; Horvat, J.; Milliken, D.; Li, A.H.; Konstantinov, K.; Collings, E.W.; Sumption, M.D.; Liu, H.K. Flux jumping and a bulk-to-granular transition in the magnetization of a compacted and sintered MgB2 superconductor. Phys. C 2001, 361, 79–83. [Google Scholar] [CrossRef]
- Johansen, T.H.; Baziljevich, M.; Shantsev, D.V.; Goa, P.E.; Galperin, Y.M.; Kang, W.N.; Kim, H.J.; Choi, E.M.; Kim, M.-S.; Lee, S.I. Dendritic flux patterns in MgB2 films. Supercond. Sci. Technol. 2001, 14, 726–728. [Google Scholar] [CrossRef]
- Kovác, P.; Hušek, I.; Pérez, N.; Rosová, A.; Berek, D.; Gelušiaková, B.; Kopera, L.; Melišek, T.; Nielsch, K. Structure and properties of barrier-free MgB2 composite wires made by internal magnesium diffusion process. J. Alloys Compd. 2020, 829, 154543. [Google Scholar] [CrossRef]
- Kitaguchi, H.; Doi, T.; Kobayashi, Y.; Matsumoto, A.; Sosiati, H.; Hata, S.; Fukutomi, M.; Kumakura, H. Properties of MgB2 films with very high transport critical current densities. IEEE Trans. Appl. Supercond. 2005, 15, 3313–3316. [Google Scholar] [CrossRef]





Publisher’s Note: MDPI stays neutral with regard to jurisdictional claims in published maps and institutional affiliations. |
© 2022 by the authors. Licensee MDPI, Basel, Switzerland. This article is an open access article distributed under the terms and conditions of the Creative Commons Attribution (CC BY) license (https://creativecommons.org/licenses/by/4.0/).
Share and Cite
Ozaki, T.; Kikukawa, S.; Tanaka, R.; Yamamoto, A.; Tsuruta, A.; Tsuchiya, Y. MgB2 Thin Films Fabricated by Pulsed Laser Deposition Using Nd:YAG Laser in an In Situ Two-Step Process. Condens. Matter 2022, 7, 48. https://doi.org/10.3390/condmat7030048
Ozaki T, Kikukawa S, Tanaka R, Yamamoto A, Tsuruta A, Tsuchiya Y. MgB2 Thin Films Fabricated by Pulsed Laser Deposition Using Nd:YAG Laser in an In Situ Two-Step Process. Condensed Matter. 2022; 7(3):48. https://doi.org/10.3390/condmat7030048
Chicago/Turabian StyleOzaki, Toshinori, Satoshi Kikukawa, Rika Tanaka, Akiyasu Yamamoto, Akihiro Tsuruta, and Yuji Tsuchiya. 2022. "MgB2 Thin Films Fabricated by Pulsed Laser Deposition Using Nd:YAG Laser in an In Situ Two-Step Process" Condensed Matter 7, no. 3: 48. https://doi.org/10.3390/condmat7030048
APA StyleOzaki, T., Kikukawa, S., Tanaka, R., Yamamoto, A., Tsuruta, A., & Tsuchiya, Y. (2022). MgB2 Thin Films Fabricated by Pulsed Laser Deposition Using Nd:YAG Laser in an In Situ Two-Step Process. Condensed Matter, 7(3), 48. https://doi.org/10.3390/condmat7030048

