Identifying Redox Orbitals and Defects in Lithium-Ion Cathodes with Compton Scattering and Positron Annihilation Spectroscopies: A Review
Abstract
:1. Introduction
2. Hard X-ray Compton Scattering Spectroscopy
2.1. X-ray Studies
2.2. Experiments at the SPring-8 Synchrotron Facility
2.3. Case Study 1: Lithium Distribution in Commercial LIBs
3. Electron Momentum Density
3.1. Spectral Function and Redox Orbitals
3.2. Impulse Approximation to Calculate the Compton Profile
3.3. Case Study 2: Phase Diagram of LiCoO
4. Computational Models of Compton Scattering
4.1. Density-Functional Theory
4.2. Case Study 3: Verwey Transition in the LiMnO Spinel Battery
4.3. Case Study 4: Lithium-Rich Battery Material LiTiMnO
5. Defect Evolution in Lithium-Ion Cathodes Studied by Positron Annihilation Spectroscopy
5.1. State of Charge-Dependent Structural Features of LiCoO
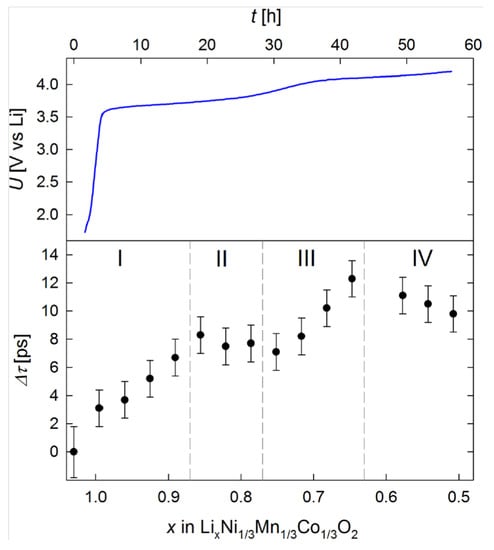
5.2. Charging-Induced Defect Formation in LCO Cathodes
5.3. In Operando Characterization
5.4. Opportunities for PAS
6. Conclusions and Outlook
Author Contributions
Funding
Data Availability Statement
Acknowledgments
Conflicts of Interest
Abbreviations
| DFT | Density Functional Theory |
| GGA | Generalized Gradient Approximation |
| LIB | Li-Ion Battery |
| LSDA | Local Spin Density Approximation |
| PAS | Positron Annihilation Spectroscopy |
| PALS | Positron Annihilation Lifetime Spectroscopy |
| RIXS | Resonant Inelastic X-ray Scattering |
| SCAN | Strongly constrained and appropriately normed |
| SoC | State of Charge |
| XAS | X-ray Absorption Spectroscopy |
| XES | X-ray Emission Spectroscopy |
| XPS | X-ray photo-emission spectroscopy |
References
- Scrosati, B. History of lithium batteries. J. Solid State Electrochem. 2011, 15, 1623–1630. [Google Scholar] [CrossRef]
- Goodenough, J.B.; Park, K.S. The Li-ion rechargeable battery: A perspective. J. Am. Chem. Soc. 2013, 135, 1167–1176. [Google Scholar] [CrossRef] [PubMed]
- Goodenough, J.B. How we made the Li-ion rechargeable battery. Nat. Electron. 2018, 1, 204. [Google Scholar] [CrossRef]
- Pellegrini, V.; Bodoardo, S.; Brandell, D.; Edström, K. Challenges and perspectives for new material solutions in batteries. Solid State Commun. 2019, 303, 113733. [Google Scholar] [CrossRef]
- Mauger, A.; Julien, C.M.; Goodenough, J.B.; Zaghib, K. Tribute to Michel Armand: From Rocking Chair–Li-ion to Solid-State Lithium Batteries. J. Electrochem. Soc. 2019, 167, 070507. [Google Scholar] [CrossRef]
- Ramström, O. Scientific Background on the Nobel Prize in Chemistry 2019: “Lithium-Ion Batteries”. 2019. Available online: https://www.nobelprize.org/uploads/2019/10/advanced-chemistryprize2019.pdf (accessed on 24 July 2022).
- Scott, A. Electric aspirations. C&EN 2020, 98, 30–35. [Google Scholar] [CrossRef]
- Littlewood, P. An X-ray oxygen regulator. Nat. Mater. 2011, 10, 726–727. [Google Scholar] [CrossRef] [PubMed]
- Assat, G.; Tarascon, J.M. Fundamental understanding and practical challenges of anionic redox activity in Li-ion batteries. Nat. Energy 2018, 3, 373–386. [Google Scholar] [CrossRef]
- Harris, M. Interview of Peter Littlewood: “Virtual Lab, Real-World Challenges”. 2018. Available online: https://physicsworld.com/a/virtual-lab-real-world-challenges (accessed on 24 July 2022).
- Liu, X.; Liu, J.; Qiao, R.; Yu, Y.; Li, H.; Suo, L.; Hu, Y.s.; Chuang, Y.D.; Shu, G.; Chou, F.; et al. Phase Transformation and Lithiation Effect on Electronic Structure of LixFePO4: An In-Depth Study by Soft X-ray and Simulations. J. Am. Chem. Soc. 2012, 134, 13708–13715. [Google Scholar] [CrossRef] [PubMed]
- Liu, X.; Wang, Y.J.; Barbiellini, B.; Hafiz, H.; Basak, S.; Liu, J.; Richardson, T.; Shu, G.; Chou, F.; Weng, T.C.; et al. Why LiFePO4 is a safe battery electrode: Coulomb repulsion induced electron-state reshuffling upon lithiation. Phys. Chem. Chem. Phys. 2015, 17, 26369–26377. [Google Scholar] [CrossRef]
- Urban, A.; Seo, D.H.; Ceder, G. Computational understanding of Li-ion batteries. Npj Comput. Mater. 2016, 2, 1–13. [Google Scholar] [CrossRef]
- Franco, A.A. Multiscale modelling and numerical simulation of rechargeable lithium ion batteries: Concepts, methods and challenges. RSC Adv. 2013, 3, 13027–13058. [Google Scholar] [CrossRef]
- Islam, M.S.; Fisher, C.A. Lithium and sodium battery cathode materials: Computational insights into voltage, diffusion and nanostructural properties. Chem. Soc. Rev. 2014, 43, 185–204. [Google Scholar] [CrossRef] [PubMed]
- Bhatt, M.D.; O’Dwyer, C. Recent progress in theoretical and computational investigations of Li-ion battery materials and electrolytes. Phys. Chem. Chem. Phys. 2015, 17, 4799–4844. [Google Scholar] [CrossRef] [PubMed]
- Huang, W.; Marcelli, A.; Xia, D. Application of Synchrotron Radiation Technologies to Electrode Materials for Li-and Na-Ion Batteries. Adv. Energy Mater. 2017, 7, 1700460. [Google Scholar] [CrossRef]
- Canepa, P.; Sai Gautam, G.; Hannah, D.C.; Malik, R.; Liu, M.; Gallagher, K.G.; Persson, K.A.; Ceder, G. Odyssey of multivalent cathode materials: Open questions and future challenges. Chem. Rev. 2017, 117, 4287–4341. [Google Scholar] [CrossRef] [PubMed]
- Yoon, G.; Kim, D.H.; Park, I.; Chang, D.; Kim, B.; Lee, B.; Oh, K.; Kang, K. Using First-Principles Calculations for the Advancement of Materials for Rechargeable Batteries. Adv. Funct. Mater. 2017, 27, 1702887. [Google Scholar] [CrossRef]
- Hoang, K.; Johannes, M. Defect physics in complex energy materials. J. Phys. Condens. Matter 2018, 30, 293001. [Google Scholar] [CrossRef] [PubMed]
- Yang, W.; Devereaux, T.P. Anionic and cationic redox and interfaces in batteries: Advances from soft X-ray absorption spectroscopy to resonant inelastic scattering. J. Power Sources 2018, 389, 188–197. [Google Scholar] [CrossRef]
- Li, M.; Lu, J.; Chen, Z.; Amine, K. 30 years of lithium-ion batteries. Adv. Mater. 2018, 30, 1800561. [Google Scholar] [CrossRef]
- Chakraborty, A.; Kunnikuruvan, S.; Kumar, S.; Markovsky, B.; Aurbach, D.; Dixit, M.; Major, D.T. Layered Cathode Materials for Lithium-Ion Batteries: Review of Computational Studies on LiNi1−x−yCoxMnyO2 and LiNi1−x−yCoxAlyO2. Chem. Mater. 2020, 32, 915–952. [Google Scholar] [CrossRef]
- Cheng, Z.; Liu, M.; Ganapathy, S.; Li, C.; Li, Z.; Zhang, X.; He, P.; Zhou, H.; Wagemaker, M. Revealing the Impact of Space-Charge Layers on the Li-Ion Transport in All-Solid-State Batteries. Joule 2020, 4, 1311–1323. [Google Scholar] [CrossRef]
- Mohamed, N.; Allam, N.K. Recent advances in the design of cathode materials for Li-ion batteries. RSC Adv. 2020, 10, 21662–21685. [Google Scholar] [CrossRef] [PubMed]
- Pender, J.P.; Jha, G.; Youn, D.H.; Ziegler, J.M.; Andoni, I.; Choi, E.J.; Heller, A.; Dunn, B.S.; Weiss, P.S.; Penner, R.M.; et al. Electrode Degradation in Lithium-Ion Batteries. ACS Nano 2020, 14, 1243–1295. [Google Scholar] [CrossRef] [PubMed]
- Morgan, L.M.; Islam, M.M.; Yang, H.; O’Regan, K.; Patel, A.N.; Ghosh, A.; Kendrick, E.; Marinescu, M.; Offer, G.J.; Morgan, B.J.; et al. From Atoms to Cells: Multiscale Modeling of LiNixMnyCozO2 Cathodes for Li-Ion Batteries. ACS Energy Lett. 2021, 7, 108–122. [Google Scholar] [CrossRef]
- Krewer, U.; Röder, F.; Harinath, E.; Braatz, R.D.; Bedürftig, B.; Findeisen, R. Review—Dynamic Models of Li-Ion Batteries for Diagnosis and Operation: A Review and Perspective. J. Electrochem. Soc. 2018, 165, A3656–A3673. [Google Scholar] [CrossRef]
- Osaka, T.; Nara, H.; Mukoyama, D.; Yokoshima, T. New analysis of electrochemical impedance spectroscopy for lithium-ion batteries. J. Electrochem. Sci. Technol. 2013, 4, 157–162. [Google Scholar] [CrossRef]
- Brivio, C.; Musolino, V.; Merlo, M.; Ballif, C. A Physically-Based Electrical Model for Lithium-Ion Cells. IEEE Trans. Energy Convers. 2019, 34, 594–603. [Google Scholar] [CrossRef]
- Suzuki, K.; Barbiellini, B.; Orikasa, Y.; Go, N.; Sakurai, H.; Kaprzyk, S.; Itou, M.; Yamamoto, K.; Uchimoto, Y.; Wang, Y.J.; et al. Extracting the Redox Orbitals in Li Battery Materials with High-Resolution X-ray Compton Scattering Spectroscopy. Phys. Rev. Lett. 2015, 114, 087401. [Google Scholar] [CrossRef]
- Barbiellini, B.; Suzuki, K.; Orikasa, Y.; Kaprzyk, S.; Itou, M.; Yamamoto, K.; Wang, Y.J.; Hafiz, H.; Yamada, R.; Uchimoto, Y.; et al. Identifying a descriptor for d-orbital delocalization in cathodes of Li batteries based on X-ray Compton scattering. Appl. Phys. Lett. 2016, 109, 073102. [Google Scholar] [CrossRef]
- Hafiz, H.; Suzuki, K.; Barbiellini, B.; Orikasa, Y.; Callewaert, V.; Kaprzyk, S.; Itou, M.; Yamamoto, K.; Yamada, R.; Uchimoto, Y.; et al. Visualizing redox orbitals and their potentials in advanced lithium-ion battery materials using high-resolution X-ray Compton scattering. Sci. Adv. 2017, 3, e1700971. [Google Scholar] [CrossRef] [PubMed]
- Hafiz, H.; Suzuki, K.; Barbiellini, B.; Orikasa, Y.; Kaprzyk, S.; Tsuji, N.; Yamamoto, K.; Terasaka, A.; Hoshi, K.; Uchimoto, Y.; et al. Identification of ferrimagnetic orbitals preventing spinel degradation by charge ordering in LixMn2O4. Phys. Rev. B 2019, 100, 205104. [Google Scholar] [CrossRef]
- Hafiz, H.; Suzuki, K.; Barbiellini, B.; Tsuji, N.; Yabuuchi, N.; Yamamoto, K.; Orikasa, Y.; Uchimoto, Y.; Sakurai, Y.; Sakurai, H.; et al. Tomographic reconstruction of oxygen orbitals in lithium-rich battery materials. Nature 2021, 594, 213–216. [Google Scholar] [CrossRef] [PubMed]
- Suzuki, K.; Otsuka, Y.; Hoshi, K.; Sakurai, H.; Tsuji, N.; Yamamoto, K.; Yabuuchi, N.; Hafiz, H.; Orikasa, Y.; Uchimoto, Y.; et al. Magnetic Compton Scattering Study of Li-Rich Battery Materials. Condens. Matter 2022, 7, 4. [Google Scholar] [CrossRef]
- Suzuki, K.; Barbiellini, B.; Orikasa, Y.; Kaprzyk, S.; Itou, M.; Yamamoto, K.; Wang, Y.J.; Hafiz, H.; Uchimoto, Y.; Bansil, A.; et al. Non-destructive measurement of in-operando lithium concentration in batteries via X-ray Compton scattering. J. Appl. Phys. 2016, 119, 025103. [Google Scholar] [CrossRef]
- Suzuki, K.; Suzuki, A.; Ishikawa, T.; Itou, M.; Yamashige, H.; Orikasa, Y.; Uchimoto, Y.; Sakurai, Y.; Sakurai, H. In operando quantitation of Li concentration for a commercial Li-ion rechargeable battery using high-energy X-ray Compton scattering. J. Synchrotron Radiat. 2017, 24, 1006–1011. [Google Scholar] [CrossRef]
- Suzuki, K.; Kanai, R.; Tsuji, N.; Yamashige, H.; Orikasa, Y.; Uchimoto, Y.; Sakurai, Y.; Sakurai, H. Dependency of the Charge—Discharge Rate on Lithium Reaction Distributions for a Commercial Lithium Coin Cell Visualized by Compton Scattering Imaging. Condens. Matter 2018, 3, 27. [Google Scholar] [CrossRef]
- Suzuki, K.; Honkanen, A.P.; Tsuji, N.; Jalkanen, K.; Koskinen, J.; Morimoto, H.; Hiramoto, D.; Terasaka, A.; Hafiz, H.; Sakurai, Y.; et al. High-Energy X-Ray Compton Scattering Imaging of 18650-Type Lithium-Ion Battery Cell. Condens. Matter 2019, 4, 66. [Google Scholar] [CrossRef]
- Leipner, R.; Krause-Rehberg, R.; Leipner, H. Positron Annihilation in Semiconductors: Defect Studies; Springer Series in Solid-State Sciences; Springer: Berlin/Heidelberg, Germany, 1999. [Google Scholar]
- Saniz, R.; Barbiellini, B.; Denison, A. Compton scattering, positron annihilation, and the electronic properties of quantum dots. Phys. Rev. B 2002, 65, 245310. [Google Scholar] [CrossRef]
- Tuomisto, F.; Makkonen, I. Defect identification in semiconductors with positron annihilation: Experiment and theory. Rev. Mod. Phys. 2013, 85, 1583–1631. [Google Scholar] [CrossRef]
- Čížek, J. Characterization of lattice defects in metallic materials by positron annihilation spectroscopy: A review. J. Mater. Sci. Technol. 2018, 34, 577–598. [Google Scholar] [CrossRef]
- Barbiellini, B. Positron states in materials: DFT and QMC studies. In New Directions in Antimatter Chemistry and Physics; Springer: Berlin/Heidelberg, Germany, 2001; pp. 127–150. [Google Scholar] [CrossRef]
- Eijt, S.W.H.; van Veen, A.; Schut, H.; Mijnarends, P.E.; Denison, A.B.; Barbiellini, B.; Bansil, A. Study of colloidal quantum-dot surfaces using an innovative thin-film positron 2D-ACAR method. Nat. Mater. 2006, 5, 23–26. [Google Scholar] [CrossRef] [PubMed]
- Shi, W.; Callewaert, V.; Barbiellini, B.; Saniz, R.; Butterling, M.; Egger, W.; Dickmann, M.; Hugenschmidt, C.; Shakeri, B.; Meulenberg, R.W.; et al. Nature of the Positron State in CdSe Quantum Dots. Phys. Rev. Lett. 2018, 121, 057401. [Google Scholar] [CrossRef]
- Barbiellini, B.; Kuriplach, J. Advanced characterization of lithium battery materials with positrons. J. Phys. Conf. Ser. 2017, 791, 012016. [Google Scholar] [CrossRef]
- Barbiellini, B. High-Temperature Cuprate Superconductors Studied by X-ray Compton Scattering and Positron Annihilation Spectroscopies; Journal of Physics: Conference Series; IOP Publishing: Bristol, UK, 2013; Volume 443, p. 012009. [Google Scholar] [CrossRef]
- Llewellyn, A.V.; Matruglio, A.; Brett, D.J.L.; Jervis, R.; Shearing, P.R. Using In-Situ Laboratory and Synchrotron-Based X-ray Diffraction for Lithium-Ion Batteries Characterization: A Review on Recent Developments. Condens. Matter 2020, 5, 75. [Google Scholar] [CrossRef]
- Pussi, K.; Gallo, J.; Ohara, K.; Carbo-Argibay, E.; Kolen’ko, Y.V.; Barbiellini, B.; Bansil, A.; Kamali, S. Structure of Manganese Oxide Nanoparticles Extracted via Pair Distribution Functions. Condens. Matter 2020, 5, 19. [Google Scholar] [CrossRef]
- Aquilanti, G.; Giorgetti, M.; Dominko, R.; Stievano, L.; Arčon, I.; Novello, N.; Olivi, L. Operando characterization of batteries using X-ray absorption spectroscopy: Advances at the beamline XAFS at synchrotron Elettra. J. Phys. D Appl. Phys. 2017, 50, 074001. [Google Scholar] [CrossRef]
- Zimmermann, P.; Peredkov, S.; Abdala, P.M.; DeBeer, S.; Tromp, M.; Müller, C.; van Bokhoven, J.A. Modern X-ray spectroscopy: XAS and XES in the laboratory. Coord. Chem. Rev. 2020, 423, 213466. [Google Scholar] [CrossRef]
- Cooper, M.; Mijnarends, P.; Shiotani, N.; Sakai, N.; Bansil, A. X-ray Compton Scattering; OUP: Oxford, UK, 2004; Volume 5. [Google Scholar] [CrossRef]
- Mijnarends, P.E.; Bansil, A. Scattering techniques, Compton. In Encyclopedia of Condensed Matter Physics; Elsevier: Amsterdam, The Netherlands, 2005; pp. 182–193. [Google Scholar] [CrossRef]
- Hiraoka, N.; Itou, M.; Ohata, T.; Mizumaki, M.; Sakurai, Y.; Sakai, N. A new X-ray spectrometer for high-resolution Compton profile measurements at SPring-8. J. Synchrotron Radiat. 2001, 8, 26–32. [Google Scholar] [CrossRef]
- Itou, M.; Hiraoka, N.; Ohata, T.; Mizumaki, M.; Deb, A.; Sakurai, Y.; Sakai, N. Present status of the Cauchois-type compton scattering spectrometer at SPring-8. Nucl. Instrum. Methods Phys. Res. A 2001, 467–468, 1109–1112. [Google Scholar] [CrossRef]
- Sakurai, Y.; Itou, M. A Cauchois-type X-ray spectrometer for momentum density studies on heavy-element materials. J. Phys. Chem. Solids 2004, 65, 2061–2064. [Google Scholar] [CrossRef]
- Sakurai, Y. High-energy inelastic-scattering beamline for electron momentum density study. J. Synchrotron Radiat. 1998, 5, 208–214. [Google Scholar] [CrossRef] [PubMed]
- Kakutani, Y.; Kubo, Y.; Koizumi, A.; Sakai, N.; Ahuja, B.L.; Sharma, B.K. Magnetic Compton profiles of Fcc-Ni, Fcc-Fe50Ni50 and Hcp-Co. J. Phys. Soc. Jpn. 2003, 72, 599–606. [Google Scholar] [CrossRef]
- Suzuki, K.; Suzuki, S.; Otsuka, Y.; Tsuji, N.; Jalkanen, K.; Koskinen, J.; Hoshi, K.; Honkanen, A.P.; Hafiz, H.; Sakurai, Y.; et al. Redox oscillations in 18650-type lithium-ion cell revealed by in operando Compton scattering imaging. Appl. Phys. Lett. 2021, 118, 161902. [Google Scholar] [CrossRef]
- Heisenberg, W. Über den anschaulichen Inhalt der quantentheoretischen Kinematik und Mechanik. Z. Phys. 1927, 43, 478–504. [Google Scholar] [CrossRef]
- Landau, L.D.; Lifshitz, E.M. Quantum Mechanics: Non-Relativistic Theory; Elsevier: Amsterdam, The Netherlands, 2013; Volume 3. [Google Scholar]
- Gatti, C.; Macchi, P. A Guided Tour Through Modern Charge Density Analysis. In Modern Charge-Density Analysis; Springer: Berlin, Germany, 2011; pp. 1–78. [Google Scholar] [CrossRef]
- Sakurai, Y.; Itou, M.; Barbiellini, B.; Mijnarends, P.E.; Markiewicz, R.S.; Kaprzyk, S.; Gillet, J.M.; Wakimoto, S.; Fujita, M.; Basak, S.; et al. Imaging Doped Holes in a Cuprate Superconductor with High-Resolution Compton Scattering. Science 2011, 332, 698–702. [Google Scholar] [CrossRef]
- Kaplan, I.G.; Barbiellini, B.; Bansil, A. Compton scattering beyond the impulse approximation. Phys. Rev. B 2003, 68, 235104. [Google Scholar] [CrossRef]
- Weigold, E.; McCarthy, I. Electron Momentum Spectroscopy; Springer Science & Business Media: New York, NY, USA, 1999. [Google Scholar] [CrossRef]
- Schwarz, W.E. Measuring orbitals: Provocation or reality? Angew. Chem. Int. Ed. 2006, 45, 1508–1517. [Google Scholar] [CrossRef]
- Barbiellini, B.; Bansil, A. Dyson orbitals, quasi-particle effects and Compton scattering. J. Phys. Chem. Solids 2004, 65, 2031–2034. [Google Scholar] [CrossRef]
- Wang, Y.J.; Barbiellini, B.; Lin, H.; Das, T.; Basak, S.; Mijnarends, P.E.; Kaprzyk, S.; Markiewicz, R.S.; Bansil, A. Lindhard and RPA susceptibility computations in extended momentum space in electron-doped cuprates. Phys. Rev. B 2012, 85, 224529. [Google Scholar] [CrossRef]
- Fukui, K. Role of Frontier Orbitals in Chemical Reactions. Science 1982, 218, 747–754. [Google Scholar] [CrossRef] [PubMed]
- Keshavarz, F.; Kadek, M.; Barbiellini, B.; Bansil, A. Electrochemical Potential of the Metal Organic Framework MIL-101 (Fe) as Cathode Material in Li-Ion Batteries. Condens. Matter 2021, 6, 22. [Google Scholar] [CrossRef]
- Antolini, E. LiCoO2: Formation, structure, lithium and oxygen nonstoichiometry, electrochemical behaviour and transport properties. Solid State Ion. 2004, 170, 159–171. [Google Scholar] [CrossRef]
- Motohashi, T.; Ono, T.; Sugimoto, Y.; Masubuchi, Y.; Kikkawa, S.; Kanno, R.; Karppinen, M.; Yamauchi, H. Electronic phase diagram of the layered cobalt oxide system LixCoO2 (0.0 ≤ x ≤ 1.0). Phys. Rev. B 2009, 80, 165114. [Google Scholar] [CrossRef]
- Tanaka, Y.; Sakurai, Y.; Stewart, A.T.; Shiotani, N.; Mijnarends, P.E.; Kaprzyk, S.; Bansil, A. Reconstructed three-dimensional electron momentum density in lithium: A Compton scattering study. Phys. Rev. B 2001, 63, 045120. [Google Scholar] [CrossRef]
- Hamalainen, K.; Manninen, S.; Kao, C.C.; Caliebe, W.; Hastings, J.B.; Bansil, A.; Kaprzyk, S.; Platzman, P.M. High resolution Compton scattering study of Be. Phys. Rev. B 1996, 54, 5453–5459. [Google Scholar] [CrossRef]
- Stutz, G.; Wohlert, F.; Kaprolat, A.; Schülke, W.; Sakurai, Y.; Tanaka, Y.; Ito, M.; Kawata, H.; Shiotani, N.; Kaprzyk, S.; et al. Electron momentum-space densities and Fermi surface of Li100−xMgx (0 <∼ x <∼ 40) alloys: Compton scattering experiment versus theory. Phys. Rev. B 1999, 60, 7099–7112. [Google Scholar] [CrossRef]
- Bansil, A.; Pankaluoto, R.; Rao, R.S.; Mijnarends, P.E.; Długosz, W.; Prasad, R.; Smedskjaer, L.C. Fermi Surface, Ground-State Electronic Structure, and Positron Experiments in YBa2Cu3O7. Phys. Rev. Lett. 1988, 61, 2480–2483. [Google Scholar] [CrossRef]
- Barbiellini, B.; Dugdale, S.; Jarlborg, T. The EPMD-LMTO program for electron–positron momentum density calculations in solids. Comput. Mater. Sci. 2003, 28, 287–301. [Google Scholar] [CrossRef]
- Makkonen, I.; Hakala, M.; Puska, M. Calculation of valence electron momentum densities using the projector augmented-wave method. J. Phys. Chem. Solids 2005, 66, 1128–1135. [Google Scholar] [CrossRef]
- Mijnarends, P.E.; Bansil, A. Momentum density for Compton scattering from random alloys. Phys. Rev. B 1976, 13, 2381–2390. [Google Scholar] [CrossRef]
- Bansil, A.; Rao, R.S.; Mijnarends, P.E.; Schwartz, L. Electron momentum densities in disordered muffin-tin alloys. Phys. Rev. B 1981, 23, 3608–3616. [Google Scholar] [CrossRef]
- Hohenberg, P.; Kohn, W. Inhomogeneous Electron Gas. Phys. Rev. 1964, 136, B864–B871. [Google Scholar] [CrossRef]
- Kohn, W.; Sham, L.J. Self-Consistent Equations Including Exchange and Correlation Effects. Phys. Rev. 1965, 140, A1133–A1138. [Google Scholar] [CrossRef]
- Jones, R.O.; Gunnarsson, O. The density functional formalism, its applications and prospects. Rev. Mod. Phys. 1989, 61, 689–746. [Google Scholar] [CrossRef]
- Jones, R.O. Density functional theory: Its origins, rise to prominence, and future. Rev. Mod. Phys. 2015, 87, 897–923. [Google Scholar] [CrossRef]
- Sun, J.; Ruzsinszky, A.; Perdew, J.P. Strongly Constrained and Appropriately Normed Semilocal Density Functional. Phys. Rev. Lett. 2015, 115, 036402. [Google Scholar] [CrossRef]
- Lejaeghere, K.; Bihlmayer, G.; Björkman, T.; Blaha, P.; Blügel, S.; Blum, V.; Caliste, D.; Castelli, I.E.; Clark, S.J.; Corso, A.D.; et al. Reproducibility in density functional theory calculations of solids. Science 2016, 351, aad3000. [Google Scholar] [CrossRef]
- Kresse, G.; Furthmüller, J. Efficient iterative schemes for ab initio total-energy calculations using a plane-wave basis set. Phys. Rev. B 1996, 54, 11169–11186. [Google Scholar] [CrossRef]
- Giannozzi, P.; Baroni, S.; Bonini, N.; Calandra, M.; Car, R.; Cavazzoni, C.; Ceresoli, D.; Chiarotti, G.L.; Cococcioni, M.; Dabo, I.; et al. QUANTUM ESPRESSO: A modular and open-source software project for quantum simulations of materials. J. Phys. Condens. Matter 2009, 21, 395502. [Google Scholar] [CrossRef]
- Blöchl, P.E. Projector augmented-wave method. Phys. Rev. B 1994, 50, 17953–17979. [Google Scholar] [CrossRef] [PubMed]
- Ceder, G.; Chiang, Y.M.; Sadoway, D.; Aydinol, M.; Jang, Y.I.; Huang, B. Identification of cathode materials for lithium batteries guided by first-principles calculations. Nature 1998, 392, 694–696. [Google Scholar] [CrossRef]
- Meng, Y.S.; Arroyo-de Dompablo, M.E. Recent Advances in First Principles Computational Research of Cathode Materials for Lithium-Ion Batteries. Acc. Chem. Res. 2013, 46, 1171–1180. [Google Scholar] [CrossRef] [PubMed]
- Di Valentin, C.; Botti, S.; Cococcioni, M. First Principles Approaches to Spectroscopic Properties of Complex Materials; Springer: Berlin/Heidelberg, Germany, 2014; Volume 347. [Google Scholar] [CrossRef]
- Wu, X.; Kang, F.; Duan, W.; Li, J. Density functional theory calculations: A powerful tool to simulate and design high-performance energy storage and conversion materials. Prog. Nat. Sci. Mater. Int. 2019, 29, 247–255. [Google Scholar] [CrossRef]
- Perdew, J.P.; Burke, K.; Ernzerhof, M. Generalized Gradient Approximation Made Simple. Phys. Rev. Lett. 1996, 77, 3865–3868. [Google Scholar] [CrossRef]
- Furness, J.W.; Zhang, Y.; Lane, C.; Buda, I.G.; Barbiellini, B.; Markiewicz, R.S.; Bansil, A.; Sun, J. An accurate first-principles treatment of doping-dependent electronic structure of high-temperature cuprate superconductors. Commun. Phys. 2018, 1, 11. [Google Scholar] [CrossRef]
- Lane, C.; Furness, J.W.; Buda, I.G.; Zhang, Y.; Markiewicz, R.S.; Barbiellini, B.; Sun, J.; Bansil, A. Antiferromagnetic ground state of La2CuO4: A parameter-free ab initio description. Phys. Rev. B 2018, 98, 125140. [Google Scholar] [CrossRef]
- Zhang, Y.; Lane, C.; Furness, J.W.; Barbiellini, B.; Perdew, J.P.; Markiewicz, R.S.; Bansil, A.; Sun, J. Competing stripe and magnetic phases in the cuprates from first principles. Proc. Natl. Acad. Sci. USA 2020, 117, 68–72. [Google Scholar] [CrossRef]
- Nokelainen, J.; Lane, C.; Markiewicz, R.S.; Barbiellini, B.; Pulkkinen, A.; Singh, B.; Sun, J.; Pussi, K.; Bansil, A. Ab initio description of the Bi2Sr2CaCu2O8+δ electronic structure. Phys. Rev. B 2020, 101, 214523. [Google Scholar] [CrossRef]
- Barbiellini, B. Natural orbital functional theory and pairing correlation effects in electron momentum density. Low Temp. Phys. 2014, 40, 318–322. [Google Scholar] [CrossRef]
- Barbiellini, B. A natural orbital method for the electron momentum distribution in matter. J. Phys. Chem. Solids 2000, 61, 341–344. [Google Scholar] [CrossRef]
- Barbiellini, B.; Bansil, A. Treatment of correlation effects in electron momentum density: Density functional theory and beyond. J. Phys. Chem. Solids 2001, 62, 2181–2189. [Google Scholar] [CrossRef]
- Rodríguez-Carvajal, J.; Rousse, G.; Masquelier, C.; Hervieu, M. Electronic Crystallization in a Lithium Battery Material: Columnar Ordering of Electrons and Holes in the Spinel LiMn2O4. Phys. Rev. Lett. 1998, 81, 4660–4663. [Google Scholar] [CrossRef]
- Fang, T.; Chung, H. Reassessment of the Electronic-Conduction Behavior above the Verwey-Like Transition of Ni2+- and Al3+-Doped LiMn2O4. J. Am. Ceram. Soc. 2007, 91, 342–345. [Google Scholar] [CrossRef]
- Verwey, E.; Haayman, P. Electronic conductivity and transition point of magnetite (“Fe3O4”). Physica 1941, 8, 979–987. [Google Scholar] [CrossRef]
- Wills, A.S.; Raju, N.P.; Greedan, J.E. Low-Temperature Structure and Magnetic Properties of the Spinel LiMn2O4: A Frustrated Antiferromagnet and Cathode Material. Chem. Mater. 1999, 11, 1510–1518. [Google Scholar] [CrossRef]
- Yabuuchi, N.; Takeuchi, M.; Nakayama, M.; Shiiba, H.; Ogawa, M.; Nakayama, K.; Ohta, T.; Endo, D.; Ozaki, T.; Inamasu, T.; et al. High-capacity electrode materials for rechargeable lithium batteries: Li3NbO4-based system with cation-disordered rocksalt structure. Proc. Natl. Acad. Sci. USA 2015, 112, 7650–7655. [Google Scholar] [CrossRef]
- Seo, D.H.; Lee, J.; Urban, A.; Malik, R.; Kang, S.; Ceder, G. The structural and chemical origin of the oxygen redox activity in layered and cation-disordered Li-excess cathode materials. Nat. Chem. 2016, 8, 692–697. [Google Scholar] [CrossRef]
- Yabuuchi, N.; Nakayama, M.; Takeuchi, M.; Komaba, S.; Hashimoto, Y.; Mukai, T.; Shiiba, H.; Sato, K.; Kobayashi, Y.; Nakao, A.; et al. Origin of stabilization and destabilization in solid-state redox reaction of oxide ions for lithium-ion batteries. Nat. Commun. 2016, 7, 1–10. [Google Scholar] [CrossRef]
- Li, B.; Xia, D. Anionic redox in rechargeable lithium batteries. Adv. Mater. 2017, 29, 1701054. [Google Scholar] [CrossRef] [PubMed]
- Okubo, M.; Yamada, A. Molecular orbital principles of oxygen-redox battery electrodes. ACS Appl. Mater. Interfaces 2017, 9, 36463–36472. [Google Scholar] [CrossRef] [PubMed]
- Clément, R.; Lun, Z.; Ceder, G. Cation-disordered rocksalt transition metal oxides and oxyfluorides for high energy lithium-ion cathodes. Energy Environ. Sci. 2020, 13, 345–373. [Google Scholar] [CrossRef]
- Naylor, A.J.; Makkos, E.; Maibach, J.; Guerrini, N.; Sobkowiak, A.; Björklund, E.; Lozano, J.G.; Menon, A.S.; Younesi, R.; Roberts, M.R.; et al. Depth-dependent oxygen redox activity in lithium-rich layered oxide cathodes. J. Mater. Chem. A 2019, 7, 25355–25368. [Google Scholar] [CrossRef]
- Li, M.; Liu, T.; Bi, X.; Chen, Z.; Amine, K.; Zhong, C.; Lu, J. Cationic and anionic redox in lithium-ion based batteries. Chem. Soc. Rev. 2020, 49, 1688–1705. [Google Scholar] [CrossRef] [PubMed]
- Xu, J.; Sun, M.; Qiao, R.; Renfrew, S.E.; Ma, L.; Wu, T.; Hwang, S.; Nordlund, D.; Su, D.; Amine, K.; et al. Elucidating anionic oxygen activity in lithium-rich layered oxides. Nat. Commun. 2018, 9, 947. [Google Scholar] [CrossRef]
- Mukai, K.; Nonaka, T.; Uyama, T.; Nishimura, Y.F. In situ X-ray Raman spectroscopy and magnetic susceptibility study on Li[Li0.15Mn1.85]O4 oxygen anion redox reaction. Chem. Commun. 2020, 56, 1701–1704. [Google Scholar] [CrossRef]
- Seidlmayer, S.; Buchberger, I.; Reiner, M.; Gigl, T.; Gilles, R.; Gasteiger, H.A.; Hugenschmidt, C. First-cycle defect evolution of Li1−xNi1/3Mn1/3Co1/3O2 lithium ion battery electrodes investigated by positron annihilation spectroscopy. J. Power Sources 2016, 336, 224–230. [Google Scholar] [CrossRef]
- Parz, P.; Fuchsbichler, B.; Koller, S.; Bitschnau, B.; Mautner, F.A.; Puff, W.; Würschum, R. Charging-induced defect formation in LixCoO2 battery cathodes studied by positron annihilation spectroscopy. Appl. Phys. Lett. 2013, 102, 151901. [Google Scholar] [CrossRef]
- Zhang, L.L.; Duan, S.; Yang, X.L.; Liang, G.; Huang, Y.H.; Cao, X.Z.; Yang, J.; Ni, S.B.; Li, M. Systematic investigation on cadmium-incorporation in Li2FeSiO4/C cathode material for lithium-ion batteries. Sci. Rep. 2014, 4, 5064. [Google Scholar] [CrossRef] [PubMed]
- Pagot, G.; Toso, V.; Barbiellini, B.; Ferragut, R.; Di Noto, V. Positron Annihilation Spectroscopy as a Diagnostic Tool for the Study of LiCoO2 Cathode of Lithium-Ion Batteries. Condens. Matter 2021, 6, 28. [Google Scholar] [CrossRef]
- Puska, M.J.; Nieminen, R.M. Theory of positrons in solids and on solid surfaces. Rev. Mod. Phys. 1994, 66, 841–897. [Google Scholar] [CrossRef]
- Watkins, G.D. EPR and ENDOR studies of defects in semiconductors. In Semiconductors and Semimetals; Elsevier: Amsterdam, The Netherlands, 1998; Volume 51, pp. 1–43. [Google Scholar] [CrossRef]
- Zhou, Y.; Zhang, Z.; Fang, Z.; Qiu, M.; Ling, L.; Long, J.; Chen, L.; Tong, Y.; Su, W.; Zhang, Y.; et al. Defect engineering of metal–oxide interface for proximity of photooxidation and photoreduction. Proc. Natl. Acad. Sci. USA 2019, 116, 10232–10237. [Google Scholar] [CrossRef] [PubMed]
- Boroński, E.; Nieminen, R.M. Electron-positron density-functional theory. Phys. Rev. B 1986, 34, 3820–3831. [Google Scholar] [CrossRef] [PubMed]
- Barbiellini, B.; Puska, M.J.; Torsti, T.; Nieminen, R.M. Gradient correction for positron states in solids. Phys. Rev. B 1995, 51, 7341–7344. [Google Scholar] [CrossRef] [PubMed]
- Barbiellini, B.; Puska, M.J.; Korhonen, T.; Harju, A.; Torsti, T.; Nieminen, R.M. Calculation of positron states and annihilation in solids: A density-gradient-correction scheme. Phys. Rev. B 1996, 53, 16201–16213. [Google Scholar] [CrossRef]
- Kuriplach, J.; Barbiellini, B. Improved generalized gradient approximation for positron states in solids. Phys. Rev. B 2014, 89, 155111. [Google Scholar] [CrossRef]
- Barbiellini, B.; Kuriplach, J. Proposed Parameter-Free Model for Interpreting the Measured Positron Annihilation Spectra of Materials Using a Generalized Gradient Approximation. Phys. Rev. Lett. 2015, 114, 147401. [Google Scholar] [CrossRef]
- Kaiser, J.H.; West, R.N.; Shiotani, N. Electronic structure studies with positrons: A new approach to wavefunction effects. J. Phys. F Met. Phys. 1986, 16, 1307–1318. [Google Scholar] [CrossRef]
- Klinser, G.; Kren, H.; Koller, S.; Würschum, R. Operando monitoring of charging-induced defect formation in battery electrodes by positrons. Appl. Phys. Lett. 2019, 114, 013905. [Google Scholar] [CrossRef]
- Van der Ven, A.; Aydinol, M.K.; Ceder, G.; Kresse, G.; Hafner, J. First-principles investigation of phase stability in LixCoO2. Phys. Rev. B 1998, 58, 2975–2987. [Google Scholar] [CrossRef]
- Li, J.J.; Dai, Y.; Zheng, J.C. Strain engineering of ion migration in LiCoO2. Front. Phys. 2022, 17, 13503. [Google Scholar] [CrossRef]
- IEA. Global EV Outlook. 2022. Available online: https://www.iea.org/reports/global-ev-outlook-2022 (accessed on 24 July 2022).
- Quinteros-Condoretty, A.R.; Golroudbary, S.R.; Albareda, L.; Barbiellini, B.; Soyer, A. Impact of circular design of lithium-ion batteries on supply of lithium for electric cars towards a sustainable mobility and energy transition. Procedia CIRP 2021, 100, 73–78. [Google Scholar] [CrossRef]
- Ketels, J.; Billington, D.; Dugdale, S.B.; Leitner, M.; Hugenschmidt, C.P. Momentum density spectroscopy of Pd: Comparison of 2D-ACAR and Compton scattering using a 1D-to-2D reconstruction method. Phys. Rev. B 2021, 104, 075160. [Google Scholar] [CrossRef]
- Al-Sawai, W.; Barbiellini, B.; Sakurai, Y.; Itou, M.; Mijnarends, P.E.; Markiewicz, R.S.; Kaprzyk, S.; Wakimoto, S.; Fujita, M.; Basak, S.; et al. Bulk Fermi surface and momentum density in heavily doped La2−xSrxCuO4 using high-resolution Compton scattering and positron annihilation spectroscopies. Phys. Rev. B 2012, 85, 115109. [Google Scholar] [CrossRef]
- Laverock, J.; Dugdale, S.B.; Duffy, J.A.; Wooldridge, J.; Balakrishnan, G.; Lees, M.R.; Zheng, G.q.; Chen, D.; Lin, C.T.; Andrejczuk, A.; et al. Elliptical hole pockets in the Fermi surfaces of unhydrated and hydrated sodium cobalt oxides. Phys. Rev. B 2007, 76, 052509. [Google Scholar] [CrossRef]











Publisher’s Note: MDPI stays neutral with regard to jurisdictional claims in published maps and institutional affiliations. |
© 2022 by the authors. Licensee MDPI, Basel, Switzerland. This article is an open access article distributed under the terms and conditions of the Creative Commons Attribution (CC BY) license (https://creativecommons.org/licenses/by/4.0/).
Share and Cite
Nokelainen, J.; Barbiellini, B.; Kuriplach, J.; Eijt, S.; Ferragut, R.; Li, X.; Kothalawala, V.; Suzuki, K.; Sakurai, H.; Hafiz, H.; et al. Identifying Redox Orbitals and Defects in Lithium-Ion Cathodes with Compton Scattering and Positron Annihilation Spectroscopies: A Review. Condens. Matter 2022, 7, 47. https://doi.org/10.3390/condmat7030047
Nokelainen J, Barbiellini B, Kuriplach J, Eijt S, Ferragut R, Li X, Kothalawala V, Suzuki K, Sakurai H, Hafiz H, et al. Identifying Redox Orbitals and Defects in Lithium-Ion Cathodes with Compton Scattering and Positron Annihilation Spectroscopies: A Review. Condensed Matter. 2022; 7(3):47. https://doi.org/10.3390/condmat7030047
Chicago/Turabian StyleNokelainen, Johannes, Bernardo Barbiellini, Jan Kuriplach, Stephan Eijt, Rafael Ferragut, Xin Li, Veenavee Kothalawala, Kosuke Suzuki, Hiroshi Sakurai, Hasnain Hafiz, and et al. 2022. "Identifying Redox Orbitals and Defects in Lithium-Ion Cathodes with Compton Scattering and Positron Annihilation Spectroscopies: A Review" Condensed Matter 7, no. 3: 47. https://doi.org/10.3390/condmat7030047
APA StyleNokelainen, J., Barbiellini, B., Kuriplach, J., Eijt, S., Ferragut, R., Li, X., Kothalawala, V., Suzuki, K., Sakurai, H., Hafiz, H., Pussi, K., Keshavarz, F., & Bansil, A. (2022). Identifying Redox Orbitals and Defects in Lithium-Ion Cathodes with Compton Scattering and Positron Annihilation Spectroscopies: A Review. Condensed Matter, 7(3), 47. https://doi.org/10.3390/condmat7030047

