Tissue-Specific and Differential Cold Responses in the Domesticated Cold Tolerant Fugu
Abstract
1. Introduction
2. Materials and Methods
2.1. Animals and Experimental Conditions
2.2. Tissue Collection and mRNA-Seq Library Construction for Illumina Sequencing
2.3. Quantitative Real-Time PCR
2.4. Bioinformatic Analyses
3. Results
3.1. Distinct Cold Responses in Wild-Type and Cold-Tolerant Fugu under Cooling Scheme
3.2. Cold Stress Induces Different Expression Patterns in Liver and Brain Tissues between Wild-Type and Cold-Tolerant Fugu
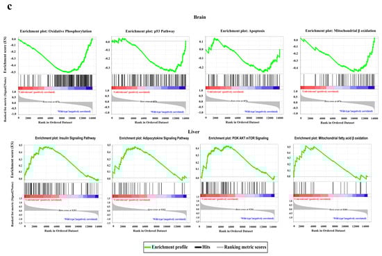
3.3. Differential Apoptosis Progression in the Liver and Brain of Wild-Type and Cold-Tolerant Fugu
3.4. Model of Cold Tolerance Mechanism of Fugu
4. Discussion
5. Conclusions
Supplementary Materials
Author Contributions
Funding
Institutional Review Board Statement
Informed Consent Statement
Data Availability Statement
Acknowledgments
Conflicts of Interest
References
- Anastasiadi, D.; Piferrer, F. Epimutations in Developmental Genes Underlie the Onset of Domestication in Farmed European Sea Bass. Mol. Biol. Evol. 2019, 36, 2252–2264. [Google Scholar] [CrossRef] [PubMed]
- Teletchea, F.; Fontaine, P. Levels of Domestication in Fish: Implications for the Sustainable Future of Aquaculture. Fish Fish. 2014, 15, 181–195. [Google Scholar] [CrossRef]
- Lorenzen, K.; Beveridge, M.C.M.; Mangel, M. Cultured Fish: Integrative Biology and Management of Domestication and Interactions with Wild Fish. Biol. Rev. 2012, 87, 639–660. [Google Scholar] [CrossRef] [PubMed]
- Milla, S.; Pasquet, A.; El Mohajer, L.; Fontaine, P. How Domestication Alters Fish Phenotypes. Rev. Aquac. 2021, 13, 388–405. [Google Scholar] [CrossRef]
- Price, E.O. Behavioral Development in Animals Undergoing Domestication. Appl. Anim. Behav. Sci. 1999, 65, 245–271. [Google Scholar] [CrossRef]
- Abram, Q.; Dixon, B.; Katzenback, B. Impacts of Low Temperature on the Teleost Immune System. Biology 2017, 6, 39. [Google Scholar] [CrossRef]
- Sun, Z.; Tan, X.; Xu, M.; Liu, Q.; Ye, H.; Zou, C.; Ye, C. Liver Transcriptome Analysis and de Novo Annotation of the Orange-Spotted Groupers (Epinephelus coioides) under Cold Stress. Comp. Biochem. Physiol. Part D Genom. Proteom. 2019, 29, 264–273. [Google Scholar] [CrossRef]
- Sunday, J.M.; Bates, A.E.; Dulvy, N.K. Thermal Tolerance and the Global Redistribution of Animals. Nat. Clim. Change 2012, 2, 686–690. [Google Scholar] [CrossRef]
- Wen, X.; Hu, Y.; Zhang, X.; Wei, X.; Wang, T.; Yin, S. Integrated Application of Multi-Omics Provides Insights into Cold Stress Responses in Pufferfish Takifugu fasciatus. BMC Genom. 2019, 20, 563. [Google Scholar] [CrossRef]
- Long, Y.; Song, G.; Yan, J.; He, X.; Li, Q.; Cui, Z. Transcriptomic Characterization of Cold Acclimation in Larval Zebrafish. BMC Genom. 2013, 14, 612. [Google Scholar] [CrossRef]
- Vornanen, M.; Hassinen, M.; Koskinen, H.; Krasnov, A. Steady-State Effects of Temperature Acclimation on the Transcriptome of the Rainbow Trout Heart. Am. J. Physiol. Regul. Integr. Comp. Physiol. 2005, 289, R1177–R1184. [Google Scholar] [CrossRef] [PubMed][Green Version]
- Wen, X.; Zhang, X.; Hu, Y.; Xu, J.; Wang, T.; Yin, S. ITRAQ-Based Quantitative Proteomic Analysis of Takifugu Fasciatus Liver in Response to Low-Temperature Stress. J. Proteom. 2019, 201, 27–36. [Google Scholar] [CrossRef] [PubMed]
- Subramanian, A.; Tamayo, P.; Mootha, V.K.; Mukherjee, S.; Ebert, B.L.; Gillette, M.A.; Paulovich, A.; Pomeroy, S.L.; Golub, T.R.; Lander, E.S. Gene Set Enrichment Analysis: A Knowledge-Based Approach for Interpreting Genome-Wide Expression Profiles. Proc. Natl. Acad. Sci. USA 2005, 102, 15545–15550. [Google Scholar] [CrossRef] [PubMed]
- Kumar, L.; Futschik, M.E. Mfuzz: A Software Package for Soft Clustering of Microarray Data. Bioinformation 2007, 2, 5–7. [Google Scholar] [CrossRef]
- Tseng, Y.-C.; Chen, R.-D.; Lucassen, M.; Schmidt, M.M.; Dringen, R.; Abele, D.; Hwang, P.-P. Exploring Uncoupling Proteins and Antioxidant Mechanisms under Acute Cold Exposure in Brains of Fish. PLoS ONE 2011, 6, e18180. [Google Scholar] [CrossRef]
- Blomgren, K.; Hagberg, H. Free Radicals, Mitochondria, and Hypoxia-Ischemia in the Developing Brain. Free Radic. Biol. Med. 2006, 40, 388–397. [Google Scholar] [CrossRef]
- Palińska-Żarska, K.; Woźny, M.; Kamaszewski, M.; Szudrowicz, H.; Brzuzan, P.; Żarski, D. Domestication Process Modifies Digestion Ability in Larvae of Eurasian Perch (Perca fluviatilis), a Freshwater Teleostei. Sci. Rep. 2020, 10, 2211. [Google Scholar] [CrossRef]
- Silva, S.; Nguyen, T.; Turchini, G.M.; Amarasinghe, U.S.; Abery, N.W. Alien Species in Aquaculture and Biodiversity: A Paradox in Food Production. Ambio 2009, 38, 24–28. [Google Scholar] [CrossRef]
- Badiola, M.; Mendiola, D.; Bostock, J. Recirculating Aquaculture Systems (RAS) Analysis: Main Issues on Management and Future Challenges. Aquac. Eng. 2012, 51, 26–35. [Google Scholar] [CrossRef]
- Tymchuk, W.E.; Biagi, C.; Withler, R.; Devlin, R.H. Growth and Behavioral Consequences of Introgression of a Domesticated Aquaculture Genotype into a Native Strain of Coho Salmon. Trans. Am. Fish. Soc. 2006, 135, 442–455. [Google Scholar] [CrossRef]
- Hassin, S.; De Monbrison, D.; Hanin, Y.; Elizur, A.; Zohar, Y.; Popper, D. Domestication of the White Grouper, Epinephelus Aeneus 1. Growth and Reproduction. Aquaculture 1997, 156, 305–316. [Google Scholar] [CrossRef]
- Douxfils, J.; Mathieu, C.; Mandiki, S.N.M.; Milla, S.; Henrotte, E.; Wang, N.; Vandecan, M.; Dieu, M.; Dauchot, N.; Pigneur, L.-M.; et al. Physiological and Proteomic Evidences That Domestication Process Differentially Modulates the Immune Status of Juvenile Eurasian Perch (Perca fluviatilis) under Chronic Confinement Stress. Fish Shellfish Immunol. 2011, 31, 1113–1121. [Google Scholar] [CrossRef] [PubMed]
- Adloo, M.N.; Soltanian, S.; Hafeziyeh, M.; Ghadimi, N. Cortisol and Glucose Responses in Juvenile Striped Catfish Subjected to a Cold Shock. Vet. Sci. Dev. 2015, 5, 5892. [Google Scholar] [CrossRef]
- Brett, J.R. Energetic Responses of Salmon to Temperature. A Study of Some Thermal Relations in the Physiology and Freshwater Ecology of Sockeye Salmon (Oncorhynchus nerkd). Am. Zool. 1971, 11, 99–113. [Google Scholar] [CrossRef]
- Donaldson, M.; Cooke, S.; Patterson, D.; Macdonald, J. Cold shock and fish. J. Fish Biol. 2008, 73, 1491–1530. [Google Scholar] [CrossRef]
- Schulte, P.M. What Is Environmental Stress? Insights from Fish Living in a Variable Environment. J. Exp. Biol. 2014, 217, 23–34. [Google Scholar] [CrossRef]
- Soyano, K.; Mushirobira, Y. The Mechanism of Low-Temperature Tolerance in Fish. In Survival Strategies in Extreme Cold and Desiccation; Springer: Berlin/Heidelberg, Germany, 2018; pp. 149–164. [Google Scholar]
- Soengas, J.L.; Aldegunde, M. Energy Metabolism of Fish Brain. Comp. Biochem. Physiol. Part B Biochem. Mol. Biol. 2002, 131, 271–296. [Google Scholar] [CrossRef]
- Driedzic, W.R. Low Plasma Glucose Limits Glucose Metabolism by RBCs and Heart in Some Species of Teleosts. Comp. Biochem. Physiol. Part B Biochem. Mol. Biol. 2018, 224, 204–209. [Google Scholar] [CrossRef]
- Crawshaw, L.; Grahn, D.; Wollmuth, L.; Simpson, L. Central Nervous Regulation of Body Temperature in Vertebrates: Comparative Aspects. Pharmacol. Ther. 1985, 30, 19–30. [Google Scholar] [CrossRef]
- Kawall, H.; Torres, J.; Sidell, B.; Somero, G. Metabolic Cold Adaptation in Antarctic Fishes: Evidence from Enzymatic Activities of Brain. Mar. Biol. 2002, 140, 279–286. [Google Scholar]
- Chen, Z.; Cheng, C.-H.C.; Zhang, J.; Cao, L.; Chen, L.; Zhou, L.; Jin, Y.; Ye, H.; Deng, C.; Dai, Z. Transcriptomic and Genomic Evolution under Constant Cold in Antarctic Notothenioid Fish. Proc. Natl. Acad. Sci. USA 2008, 105, 12944–12949. [Google Scholar] [CrossRef] [PubMed]
- Somero, G.N.; Fields, P.A.; Hofmann, G.E.; Weinstein, R.B.; Kawall, H. Cold Adaptation and Stenothermy in Antarctic Notothenioid Fishes: What Has Been Gained and What Has Been Lost? In Fishes of Antarctica; Springer: Berlin/Heidelberg, Germany, 1998; pp. 97–109. [Google Scholar]
- Daane, J.M.; Detrich, H.W., III. Adaptations and Diversity of Antarctic Fishes: A Genomic Perspective. Annu. Rev. Anim. Biosci. 2022, 10, 39–62. [Google Scholar] [CrossRef]
- Hotaling, S.; Desvignes, T.; Sproul, J.S.; Lins, L.S.F.; Kelley, J.L. Pathways to Polar Adaptation in Fishes Revealed by Long-read Sequencing. Mol. Ecol. 2022, in press. [CrossRef] [PubMed]
- Shaklee, J.B.; Christiansen, J.A.; Sidell, B.D.; Prosser, C.L.; Whitt, G.S. Molecular Aspects of Temperature Acclimation in Fish: Contributions of Changes in Enzyme Activities and Isozyme Patterns to Metabolic Reorganization in the Green Sunfish. J. Exp. Zool. 1977, 201, 1–20. [Google Scholar] [CrossRef]
- Dawson, T.M.; Dawson, V.L. Mitochondrial Mechanisms of Neuronal Cell Death: Potential Therapeutics. Annu. Rev. Pharmacol. Toxicol. 2017, 57, 437–454. [Google Scholar] [CrossRef] [PubMed]
- Nath, S.; Villadsen, J. Oxidative Phosphorylation Revisited. Biotechnol. Bioeng. 2015, 112, 429–437. [Google Scholar] [CrossRef]
- Nohl, H.; Gille, L.; Staniek, K. Intracellular Generation of Reactive Oxygen Species by Mitochondria. Biochem. Pharmacol. 2005, 69, 719–723. [Google Scholar] [CrossRef]
- Chiara, F.; Castellaro, D.; Marin, O.; Petronilli, V.; Rasola, A. Hexokinase II Detachment from Mitochondria Triggers Apoptosis through the Permeability Transition Pore Independent of Voltage-Dependent Anion Channels. PLoS ONE 2008, 3, e1852. [Google Scholar] [CrossRef]
- Orrenius, S.; Gogvadze, V.; Zhivotovsky, B. Calcium and Mitochondria in the Regulation of Cell Death. Biochem. Biophys. Res. Commun. 2015, 460, 72–81. [Google Scholar] [CrossRef]
- Foskett, J.K.; Philipson, B. The Mitochondrial Ca2+ Uniporter Complex. J. Mol. Cell. Cardiol. 2015, 78, 3–8. [Google Scholar] [CrossRef]
- Rui, L. Energy Metabolism in the Liver. Compr. Physiol. 2014, 4, 177. [Google Scholar]
- Li, Y.U.; Xu, S.; Mihaylova, M.M.; Zheng, B.; Hou, X.; Jiang, B.; Park, O.; Luo, Z.; Lefai, E.; Shyy, J.Y.-J.; et al. AMPK Phosphorylates and Inhibits SREBP Activity to Attenuate Hepatic Steatosis and Atherosclerosis in Diet-Induced Insulin-Resistant Mice. Cell Metab. 2011, 13, 376–388. [Google Scholar] [CrossRef] [PubMed]
- Warne, J.; Alemi, F.; Reed, A.; Varonin, J.; Chan, H.; Piper, M.; Mullin, M.; Myers, M.; Corvera, C.; Xu, A. Impairment of Central Leptin-Mediated PI3K Signaling Manifested as Hepatic Steatosis Independent of Hyperphagia and Obesity. Cell Metab. 2015, 21, 648. [Google Scholar] [CrossRef]
- Wu, C.-W.; Storey, K.B. MTOR Signaling in Metabolic Stress Adaptation. Biomolecules 2021, 11, 681. [Google Scholar] [CrossRef] [PubMed]
- Zhao, D.; Yang, J.; Yang, L. Insights for Oxidative Stress and MTOR Signaling in Myocardial Ischemia/Reperfusion Injury under Diabetes. Oxidative Med. Cell. Longev. 2017, 2017, 6437467. [Google Scholar] [CrossRef]
- Saxton, R.A.; Sabatini, D.M. mTOR Signaling in Growth, Metabolism, and Disease. Cell 2017, 168, 960–976. [Google Scholar] [CrossRef]
- Dibble, C.; Elis, W.; Menon, S.; Qin, W.; Klekota, J.; Asara, J.; Finan, P.; Kwiatkowski, D.; Murphy, L.; Manning, B. TBC1D7 Is a Third Subunit of the TSC1-TSC2 Complex Upstream of mTORC1. Mol. Cell 2012, 47, 535–546. [Google Scholar] [CrossRef] [PubMed]
- Nolfi-Donegan, D.; Braganza, A.; Shiva, S. Mitochondrial Electron Transport Chain: Oxidative Phosphorylation, Oxidant Production, and Methods of Measurement. Redox Biol. 2020, 37, 101674. [Google Scholar] [CrossRef]
- Guderley, H. Metabolic Responses to Low Temperature in Fish Muscle. Biol. Rev. 2010, 79, 409–427. [Google Scholar] [CrossRef] [PubMed]
- Ju, Z.; Dunham, R.; Liu, Z. Differential Gene Expression in the Brain of Channel Catfish (Ictalurus punctatus) in Response to Cold Acclimation. Mol. Genet. Genom. 2002, 268, 87–95. [Google Scholar] [CrossRef]






| Acc. Number | Gene | Primers Sequences (5′ to 3′) | Product Length |
|---|---|---|---|
| NC_042292 | p53 | CCTGGGTAATCGGTGGTAA ATCTGTGGGAGAATGTGGC | 205 |
| NC_042301 | caspase 3 | GACAACAGTCGGGTTCGTCT CCGAGGCTCAAGAACACTTT | 205 |
| NC_042293 | cpt1b | TCTACCTGCTGAGATACACC GAACATCTTCACGAGGGTCA | 116 |
| NC_042303 | pparγ | TCTGAAAGTCCCGTCATGC TTTAACCTGATGGTGCGTCT | 161 |
| NC_042301 | β-actin | AATCGTGCGTGACATCAA CTGGGCAACGGAACCTCT | 155 |
| NW_021821647 | gapdh | TGGCCATCAATGACCCCTTC CCTCTCGTGGAAAACGGTGA | 149 |
Publisher’s Note: MDPI stays neutral with regard to jurisdictional claims in published maps and institutional affiliations. |
© 2022 by the authors. Licensee MDPI, Basel, Switzerland. This article is an open access article distributed under the terms and conditions of the Creative Commons Attribution (CC BY) license (https://creativecommons.org/licenses/by/4.0/).
Share and Cite
Han, S.; Wei, S.; Chen, R.; Ni, M.; Chen, L. Tissue-Specific and Differential Cold Responses in the Domesticated Cold Tolerant Fugu. Fishes 2022, 7, 159. https://doi.org/10.3390/fishes7040159
Han S, Wei S, Chen R, Ni M, Chen L. Tissue-Specific and Differential Cold Responses in the Domesticated Cold Tolerant Fugu. Fishes. 2022; 7(4):159. https://doi.org/10.3390/fishes7040159
Chicago/Turabian StyleHan, Shuang, Shang Wei, Ruoyu Chen, Man Ni, and Liangbiao Chen. 2022. "Tissue-Specific and Differential Cold Responses in the Domesticated Cold Tolerant Fugu" Fishes 7, no. 4: 159. https://doi.org/10.3390/fishes7040159
APA StyleHan, S., Wei, S., Chen, R., Ni, M., & Chen, L. (2022). Tissue-Specific and Differential Cold Responses in the Domesticated Cold Tolerant Fugu. Fishes, 7(4), 159. https://doi.org/10.3390/fishes7040159

