Abstract
To study the effect of Ca/P ratio on the P and Ca absorption and excretion in hybrid sturgeon (Huso dauricus ♀ X Acipenser schrenckii ♂), five groups of fish were intubated with 100 mg P·kg−1 BW with the Ca/P ratios of 0:1, 0.25:1, 0.5:1, 1:1, and 2:1. Plasma P concentrations were significantly elevated at Ca/P ratios below 2:1, and the highest value was obtained at Ca/P ratio of 0.5:1. Plasma Ca content was significantly increased at the highest Ca/P ratio. Urine P excretion rate in the fish intubated with Ca/P ratio of 0.5:1 was significantly higher than that of the groups with Ca/P ratios of 0:1 and 2:1. The highest urea excretion rates were observed at Ca/P ratio of 0.5:1 and 1:1. The total P excretion at 48 h post intubation reached about 30 mg·kg−1 BW, which was recorded for the group with Ca/P ratio of 0.5:1. The present study showed that P absorption efficiency was improved in hybrid sturgeon at Ca/P ratio of 0.5:1, indicating that P inclusion level in sturgeon feed can be further optimized to reduce dietary P input and lower the excessive undigested P discharge into the rearing water.
1. Introduction
The deterioration of the water environment caused by nutrient pollution, which is partially attributed to the nutrients discharging from intensive and poor farming practices [1,2], is a pervasive problem that is observed globally and of increasing concern in recent decades [3,4]. Phosphorus (P), a stimulating nutrient for the growth of aquatic plants and algae, is a critical factor in the eutrophication threats to aquatic environment [5]. Aquaculture practice is one of the major sources of P-rich-effluent, because P is an essential nutrient for fish growth that must be added in feed due to the low bioavailability and insufficient amount of P in water [6,7,8,9]. However, commercial diets often contain higher P than the actual P requirement for fish, thus resulting in excretion of the excess P in feces and urine [10,11].
Optimization of dietary P supplementation and increasing P utilization efficiency via nutritional modulation is an alternative to support the sustainable development of aquaculture. Great efforts have been made in the recent decades to optimize feed formulation based on accurate nutritional requirements in numerous fish species [12,13,14,15]. However, sturgeon, a widely cultured species with ecological and economic importance, rarely have been studied in regards to dietary P supplementation and utilization [16]. There is limited information from scientific studies for sturgeon feed industries to refer. The existing few studies reported that the P requirement of sturgeon ranges from 0.6% to 1.1% [17,18,19]. Whereas, according to the investigation on the commercial sturgeon feeds that dominated the market, the feeds contain higher amounts of P than that reported in the literature [20]. This could be a concern that excessive P, which is not digested and is above sturgeon requirement, will load into water, potentially threatening the aquatic system [21,22].
P utilization efficiency can be influenced by many factors, such as the variety of P sources and dietary Ca/P ratio [23], which could ultimately affect the supplementation amount of P in fish feed. The deleterious effects of excess Ca in feed have been widely recognized and should be taken into consideration because excessive Ca antagonizes the minerals absorption and utilization [8,24]. To minimize dietary P input and reduce P excretion, improving the absorption and retention of P through Ca supplementation regulation could be an effective way and should be studied. Ca supplementation level varies with different fish species and the optimal Ca/P ratio for fish is commonly recommended in the range of 1:1–1:7 [24,25,26]. However, to our knowledge, there is no research about optimum Ca/P ratio in sturgeon feed. Our previous study using a combined intubation technique suggested that hybrid sturgeon administrated 100 mg P·kg−1 BW (1% of P in diet) showed better performance of P utilization and a decrease in waste excretion; however, this could be affected by calcium level [18]. Hence, we conducted a further study to evaluate the effects of Ca/P ratio on P absorption and excretion in hybrid sturgeon using combined intubation technique. This present study could contribute to achieving a more environmentally friendly sturgeon feed by optimizing Ca/P ratio as a nutritional strategy for controlling waste discharge.
2. Materials and Methods
2.1. Experimental Animal
Hybrid sturgeon weighing 1.09 ± 0.02 kg were obtained from a local fish farm (Wuhan ShaoTanhe Eco-Farming Limited Company in Hubei, China). Prior to the experiment, fish were fed twice a day with a commercial diet (Guangdong Yuequn Biotechnology Co., Ltd.; Product ID: 6102; Batch No.:2109051501) and maintained at the aquaculture site of the local fish farm. Fish tanks were continuously supplied with water flow from the ShaoTanhe reservoir. The water parameters were as follows: average temperature 19.2 ± 0.2 °C, dissolved oxygen > 8.0 mg·L−1, pH 7.4–7.8, ammonia < 0.5 mg·L−1, nitrite < 0.01 mg·L−1, and total P < 0.40 mg·L−1.
2.2. Surgery Operation
The surgery operation was performed as described by Deng and our previous study [18,27]. Briefly, each fish was weighed after anaesthetizing with 200 mg·L−1 of MS 222 (Sigma, St. Louis, MI, USA) and then was fitted with an esophageal intubation tube, a dorsal aortic cannula, and a pair of urinary catheters in 15–20 min with the gill continuously irrigated with 100 mg·L−1 of MS 222. Postoperative sturgeon were transferred to freshwater for regaining consciousness and then were settled in triangular Plexiglas chambers (21 cm for each side and 90 cm in length). The experiments were approved by the Animal Experimental Ethical Inspection of Laboratory Animal Centre, Yangtze River Fisheries Research Institute, Chinese Academy of Fishery Sciences.
2.3. Treatments
Forty-eight hours post operation, five fish in each group were intubated with 100 mg P·kg−1 BW with different Ca/P ratios (0:1, 0.25:1, 0.5:1, 1:1, and 2:1). Calcium chloride (CaCl2) and monosodium phosphate (NaH2PO4·2H2O) were used as Ca and P sources, respectively, to prepare intubation pastes. The intubation pastes were prepared following the method described by Deng [27], Tashjian [28], and our previous study [18]. Starch paste made from solvable corn starch was used as a carrier of the chemicals. The amount of NaH2PO4·2H2O was equal in all the treatments. Different concentrations of CaCl2 were supplemented to achieve varying Ca/P ratios of 0:1, 0.25:1, 0.5:1, 1:1, and 2:1 per 2 mL of intubation paste. Each fish was orally administrated 2 mL of intubation paste per kg of body weight (BW) and followed by another 1 mL of starch paste (without P and Ca) to ensure that all the intubation paste entered the gastrointestinal tract of the fish.
2.4. Sample Collection and Analysis
At 0, 2, 4, 8, 12, 24, and 48 h post intubation, a 0.2 mL blood sample was collected from each fish. Blood taken immediately prior to the intubation was considered as the sample at 0 h. Urine excreted during 0–2, 2–4, 4–8, 8–12, 12–24, and 24–48 h after intubation was collected and recorded at the end of each collection period. The sample blood and urine collection and analysis were performed as described in our previous study [18]. P and Ca concentration in plasma and urine were analyzed using phosphomolybdate method and arsenazo III method, respectively. The content of urea in urine samples was measured using urease-GLDH (glutamic dehydrogenase) UV method. All the measurements were conducted using Automatic Biochemical Analyzer (Mindray BS-460, China) following the instructions of the commercial kits (Shenzhen Mindray Bio-Medical Electronics Co., Ltd., Shenzhen, China).
2.5. Statistical Analysis
The data of Plasma P and Ca concentrations were analyzed by repeated measures ANOVA. P, Ca, and urea excretion data were analyzed by one-way ANOVA. Scheffe test was used to determine the significant differences among treatments when P value was identified lower than 0.05. The data were presented as means ± standard error (SE). All statistical analyses were performed using SPSS program version 19.0.
3. Results
3.1. Plasma P and Ca Concentration
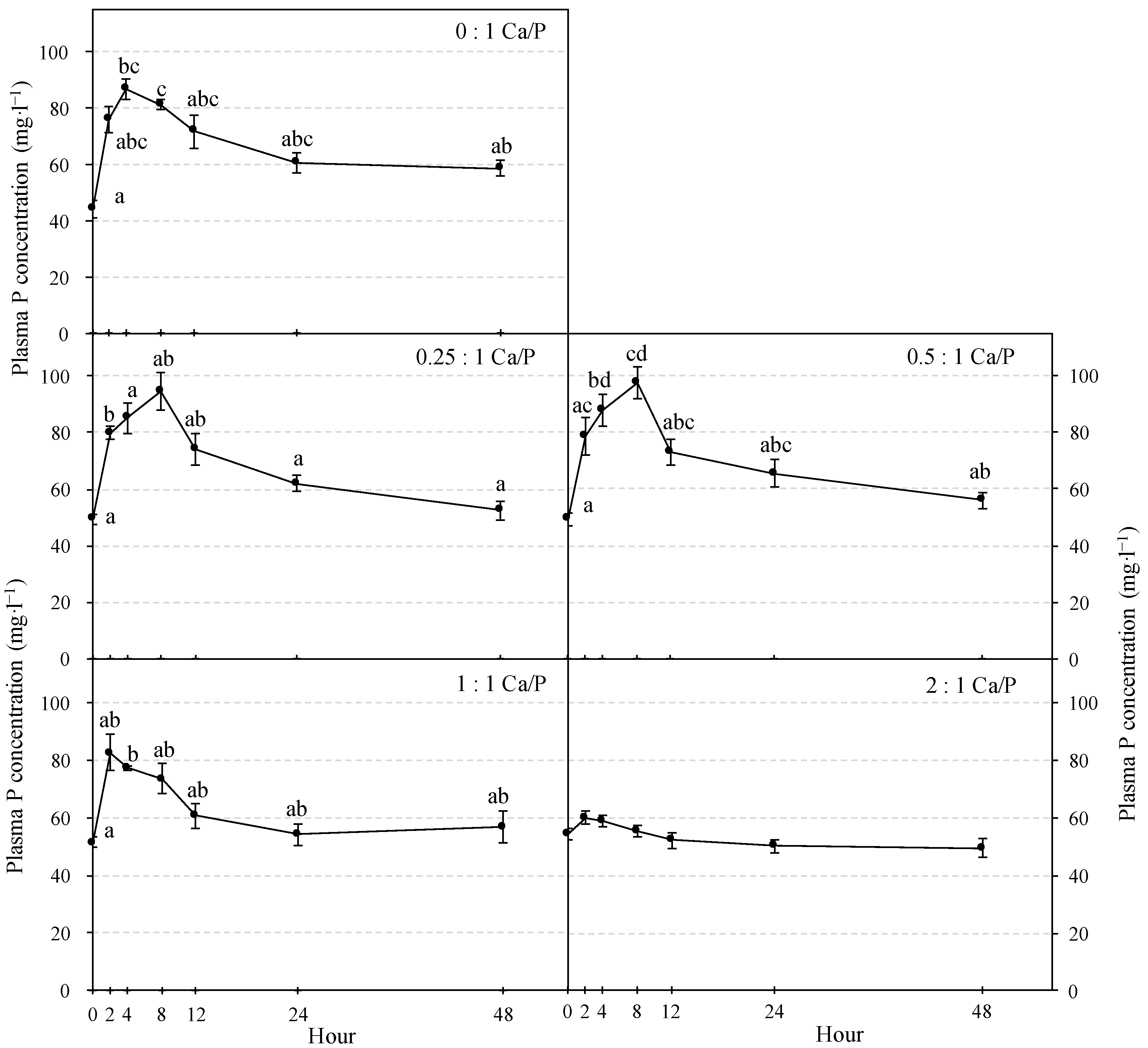
Plasma P content in each group was similar at the beginning of the intubation (0 h) (Figure 1). As post intubation increased over time, significant elevation of plasma P concentration was observed in the groups with Ca/P ratios of 0:1, 0.25:1, 0.5:1, and 1:1 (p < 0.05). Plasma P contents in these treatments increased rapidly at the first 2 h post intubation. Peak concentration of plasma P appeared at 8 h after intubation in the groups at Ca/P ratios of 0.25:1 and 0.5:1, which were later than the groups with Ca/P ratios of 0:1 and 1:1 (4 and 2 h, respectively). Hybrid sturgeon administrated with 100 mg P·kg−1 BW at Ca/P ratio of 0.5:1 have the highest peak value of plasma P content. Nevertheless, the concentration of plasma P dropped to the basal level within 48 h after intubation in all the treatments. However, fish intubated with 100 mg P·kg−1 BW at Ca/P ratio of 2:1 did not show any significant change in plasma P concentration during the whole 48 h post intubation (p > 0.05).
Figure 1.
Plasma phosphorus (P) concentration of hybrid sturgeon (Huso dauricus ♀ X Acipenser schrenckii ♂) after being intubated with 100 mg P·kg−1 BW at different Ca/P ratios. Different letters indicate significant differences among the different time points in each treatment (p < 0.05).
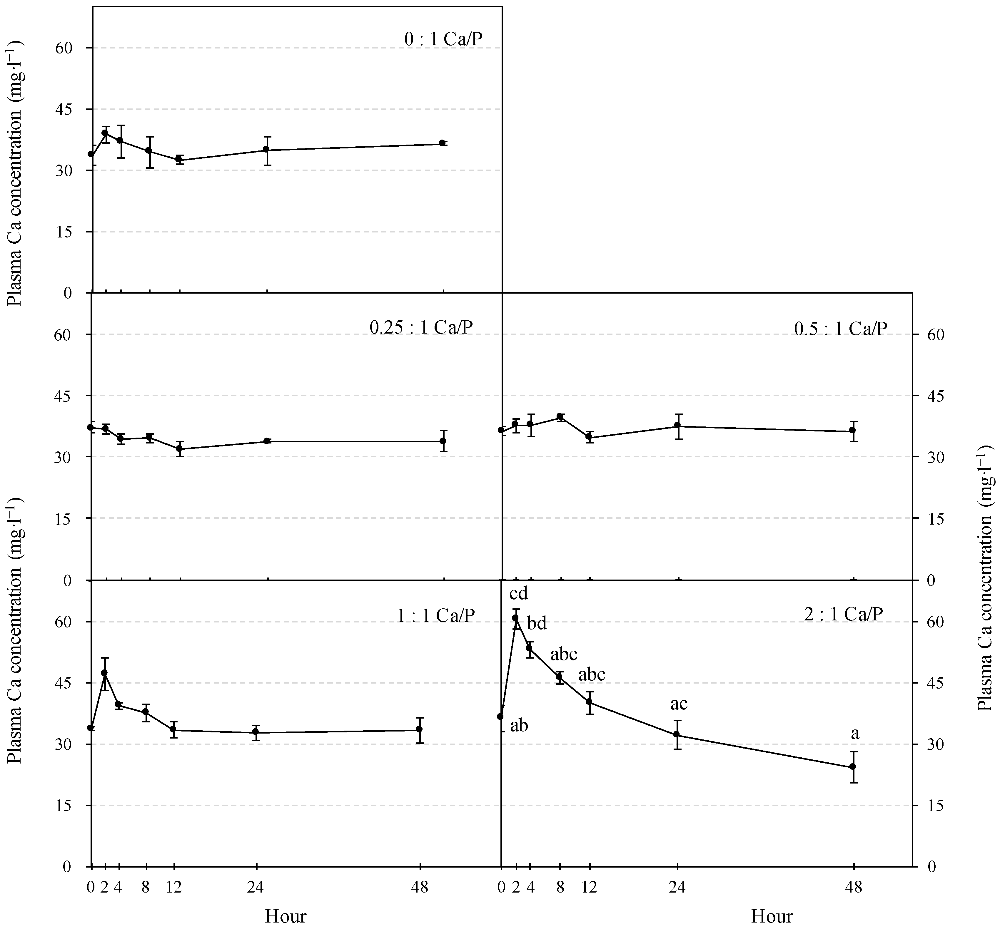
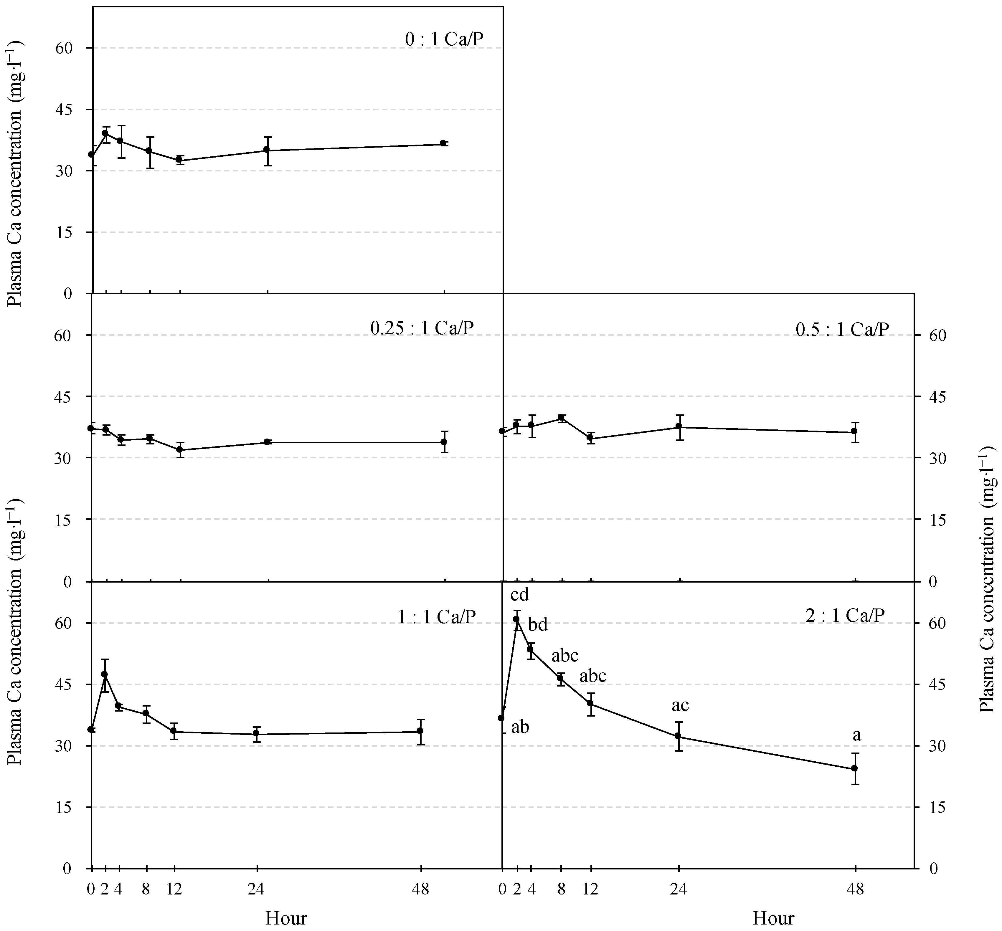
As with plasma P, the fish in all the treatments had the similar basal level of plasma Ca content at first measurement post intubation (0 h) (Figure 2). No significant variation of plasma Ca concentration was observed in the treatments with Ca/P ratios of 0:1, 0.25:1, 0.5:1, and 1:1 (p > 0.05). The concentration of plasma Ca remained stable at the base level during the 48 h post intubation period. Fish treated with Ca/P ratio of 1:1 showed an increase in plasma Ca during the first 2 h, but no significant difference was found (p > 0.05). Plasma Ca concentration was significantly affected in the fish where the highest dose of Ca was administrated (Ca/P ratio of 2:1) (p < 0.05). The content of Ca in plasma notably increased and reached the peak at 2 h post intubation (p < 0.05), then gradually decreased over time and showed no significant difference with initial level after 8 h post intubation (p > 0.05).
Figure 2.
Plasma calcium (Ca) concentration of hybrid sturgeon (Huso dauricus ♀ X Acipenser schrenckii ♂) after being intubated with 100 mg P·kg−1 BW at different Ca/P ratios. Different letters indicate significant differences among the different time points in each treatment (p < 0.05).
3.2. The Excretion Rate of P and Urea in Urine
Ca excretion in low Ca/P ratio groups (0:1, 0.25:1, and 0.5:1) was under-detection in some short collection intervals, so only the changes of P and urea excretion rate with time were presented (Figure 3 and Figure 4).
Figure 3.
Phosphorus (P) excretion rate of hybrid sturgeon (Huso dauricus ♀ X Acipenser schrenckii ♂) after being intubated with 100 mg P·kg−1 BW at different Ca/P ratios. Different letters indicate significant differences among the treatments for each sampling time (p < 0.05).
Figure 4.
Urea excretion rate of hybrid sturgeon (Huso dauricus ♀ X Acipenser schrenckii ♂) after being intubated with 100 mg P·kg−1 BW at different Ca/P ratios. Different letters indicate significant differences among the treatments for each sampling time (p < 0.05).
After administrated with 100 mg P·kg−1 BW at different Ca/P ratios, P excretion rate in all groups had no significant difference during 0–4 h (p > 0.05) (Figure 3). Significant differences of P excretion rates among the treatments were appeared at the collection intervals during 4–48 h post intubation, with the fastigium of P excretion occurring at 4–12 h. The excretion rate of urine P was the highest in the fish intubated with P at Ca/P ratio of 0.5:1, which was significantly higher than that of the groups of Ca/P ratio of 0:1 and 2:1 (p < 0.05). With time further increasing, urine P excretion rates were decreasing and showed no significant difference among the treatments with Ca/P ratio of 0:1 to 1:1 during 12–48 h post intubation (p > 0.05). However, P excretion rates in the groups of Ca/P ratio of 0.25:1 and 0.5:1 were still higher than that of the other groups and showed significant difference with the fish intubated with P at Ca/P ratio of 2:1 (p < 0.05).
As shown in Figure 4, intubation of P at different Ca/P ratios significantly affected the urea excretion in hybrid sturgeon. The fastigium excretion of urea occurred at 4–8 h post intubation, with a significant difference of urea excretion rate among the treatments (p < 0.05). During this time interval, no significant difference of urea excretion rate was observed among the groups with Ca/P ratios of 0:1 to 1:1 (p > 0.05). The highest excretion rate of urea was observed in the groups with Ca/P ratio of 0.5:1 and 1:1, which were significantly higher than that in the group treated with Ca/P ratio of 2:1 (p < 0.05). The excretion rate of urea in the other collection intervals had no significant difference among all the treatments (p > 0.05).
3.3. Total Excretion of P, Ca, and Urea in Urine during 48 h Post Intubation
P intubation at different Ca/P ratio significantly affects the P excretion in hybrid sturgeon (p < 0.05) (Figure 5). With the increase in Ca/P ratio, the total excretion of P increased and exhibited the highest excretion amount in the group of Ca/P ratio of 0.5:1. Then, the P excretion amount declined with Ca/P ratio increasing and exhibited the lowest value at the highest Ca/P ratio treatment (2:1). The accumulated P excretion in 48 h in the group of Ca/P ratio of 0.5:1 was significantly higher than that of the groups with Ca/P ratios of 0:1, 1:1, and 2:1 (p < 0.05). During the 48-h post-intubation period, accumulated excretion amounts of Ca showed a positive relationship with Ca/P ratio, but no statistical difference was detected among the treatments (p > 0.05). Compared to the P excretion amount, it was much lower of the total excretion amount of Ca, which was only 2.8 mg·kg−1 BW in 48 h at the highest Ca/P ratio group (2:1). However, accumulated urea excretion showed no significant difference among the treatments (p > 0.05).
Figure 5.
Total excretion amount of P (A), Ca (B), and urea (C) by hybrid sturgeon (Huso dauricus ♀ X Acipenser schrenckii ♂) in 48 h after being intubated with 100 mg P·kg−1 BW at different Ca/P ratios. Different letters indicate significant differences among the treatments (p < 0.05).
4. Discussion
Plasma P concentration directly reflects the status of P absorption in fish. The concentration of plasma P rapidly increased after intubation in hybrid sturgeon, indicating the high-absorption efficiency of monosodium phosphate, which is commonly used as the P supplements in fish feeds [14,29,30]. P absorption was facilitated when Ca/P ratio increased to 0.5:1 since the highest value and prolonged absorbing phase (6 h) of plasma P was observed in this group. However, no variation of plasma P concentration was found in fish at the treatment with Ca/P ratio of 2:1, suggesting that excess Ca inhibit P absorption in the intestinal tract, which could be attributed to the combination of Ca and P to form Ca–P complexes that is not available by fish [31,32,33,34]. The inadequate P absorption caused by high dietary Ca can subsequently adversely affect the growth and health of the aquatic organisms [24,35,36]. On the other hand, supplemented P that is not digested by fish will be excreted into the water, which could be a critical factor leading to pollution and environmental deterioration of aquatic systems [33,37]. The results of plasma P concentration after intubation in the present study clearly indicated that the absorption of P could be regulated by Ca/P ratio in hybrid sturgeon, and excess Ca in feed that inhibit P absorption should be avoided as a way to decrease undigested P waste.
Compared to the effect of Ca/P ratio on P absorption in sturgeon, the absorption of Ca was not sensitively influenced by Ca level. Plasma Ca concentration showed no significant change in the treatments of Ca/P ratios of 0:1 to 1:1, while significantly elevated at 2 h after intubation in the highest Ca group (Ca/P ratio of 2:1) and then gradually decreased to the basal level in 8 hrs. The results suggest that hybrid sturgeon has the high ability to regulate the homeostasis of Ca in the body by inhibiting the absorption or enhancing the excretion of redundant Ca [38]. Unlike P that must be added into diets, fish can efficiently absorb Ca directly from water, which could partly or entirely fulfill their requirement of Ca [33,39]. Whereas some calcium salts that are commonly used as P source such as, calcium hydrogen phosphate, and monobasic calcium phosphate, could cause the increased level of Ca in fish feed. This should be taken into consideration since our results suggested that inappropriate Ca addition was unsuitable for mineral absorption and utilization, which could result in excess nutrients discharging into water and then altering or affecting the composition of the natural water [33,36].
Waste releasing from undigested diet is one of the sources of pollution; however, the excretion of excessive nutrients that originate from digested feed is another key factor for water deterioration. To maintain the P homeostasis in the body, it is known that excess P intake by fish will be discharged into a waterbody through urine [40,41,42]. In accordance with our previous study, P excretion of hybrid sturgeon was highly related to the plasma P content after intubation [18]. Fish intubated with P at Ca/P ratio of 0.5:1 showed the highest plasma P content, as well as the maximal excretion of urine P. The excretion data of urine P suggests that the accumulated P that absorbed into blood was beyond the level of the P requirement for the biological processes of fish body, thus, resulting in redundant P excretion in urine [23,43]. Since P intubation dosage was consistent in each treatment, the high excretion rate of P was attributed to the high level of plasma P content, which was ultimately due to the high P absorption efficiency in the fish treated with Ca/P ratio of 0.5:1.
Body P homeostasis is determined by the intestinal uptake of dietary P and renal P reabsorption and excretion, involving the mechanism of active transport of P via sodium-dependent phosphate co-transporters (Na-Pi co-transporters) [44,45,46]. Active transport of P occurs and can be more essential under the condition of dietary P depletion, whereas P can be absorbed through paracellular passive diffusion when a high concentration of luminal P is present [45,47,48]. In accordance with our previous study, since no N was added into the intubation paste, the nitrogen waste was mainly originated from the catabolism of endogenous proteins during biological processes [18,49]. The results showed that urea excretion rate made no significant difference during the first 4 h but increased significantly at 4–8 h post intubation between the treatments, which means the absorption phase (0–4 h) of P primarily occurred via passive transport for P absorption. Renal P excretion relies on active transport that involves the participation of enzymes and ATP, therefore, causing increased nitrogen waste as the end product of protein catabolism during these processes [45,50,51]. Hence, the study revealed that the clearance of excess P because of surplus dietary P supplementation could lead to protein consumption in fish, consequently resulting in the increase in nitrogenous waste releasing, which is not welcome in intensive aquaculture.
Nutrient concentration in plasma reflect the absorption efficiency of feed ingredients by fish, while metabolite excretion indicates the status of nutrients in fish and provides an outline of nutrient utilization [23,42]. The accumulated excretion of P in 48 h after intubation were significantly affected among the fish intubated with an identical dosage of P at 100 mg·kg−1 BW with different Ca/P ratios. The study showed that hybrid sturgeon exhibited preferable absorption of P in the groups of Ca/P ratio of 0.25:1 and 0.5:1 and also had higher P excretion. This indicated that P absorbed into blood in these groups was well above the requirement for fish body, and excessive P was excreted through urine. The total excretion of P in the group of Ca/P ratio of 0.5:1 reached about 30 mg·kg−1 BW in 48 h, which was the highest and accounts for 30% of the intubation dosage (100 mg·kg−1 BW). According to the results, it was considered, under the condition of Ca/P ratio of 0.5:1, that when P absorption efficiency was improved in hybrid sturgeon, the P supplementation level can be further optimized to minimize P content absorbed into fish blood, decreasing redundant P excretion.
5. Conclusions
In conclusion, the utilization efficiency of P in hybrid sturgeon could be enhanced by Ca/P ratio regulation, which was not above 0.5:1. The previous studies have recommended that the P supplementation in sturgeon feed is about 1%, with the intubation dosage of 100 mg P·kg−1 BW in the current study. However, the present study reveals that P at 100 mg·kg−1 BW was still well above the P requirement for sturgeon at the optimum condition of Ca/P ratio. Hence, Ca/P ratio around 0.5:1 is suggested in sturgeon feed to decrease undigested P releasing by increasing P absorption efficiency. Moreover, by taking advantage of Ca/P ratio regulation on P utilization, further study of P supplementation in sturgeon feed can be optimized by reducing P supply to reduce digested P excretion, with the aim of reducing redundant P discharge in sturgeon aquaculture.
Author Contributions
J.J.: Conceptualization, methodology, data curation, writing, and funding acquisition; Z.C.: Methodology, formal analysis, and Writing-review and editing; R.R.: Conceptualization and methodology; W.L.: Methodology; X.C.: Conceptualization; C.L.: Supervision, project administration, and funding acquisition. All authors have read and agreed to the published version of the manuscript.
Funding
This study was supported by the National Key R & D Program of China (Nos. 2018YFD0901205), China Agriculture Research System of MOF and MARA (CARS-46) and Central Public-interest Scientific Institution Basal Research Fund, CAFS (NO. 2021JBF03).
Institutional Review Board Statement
The experiments were approved by the Animal Experimental Ethical Inspection of Laboratory Animal Centre, Yangtze River Fisheries Research Institute, Chinese Academy of Fishery Sciences (YFI2020JJL01).
Data Availability Statement
All data analyzed during this study are included in this published article.
Acknowledgments
We would like to thank the director of Wuhan ShaoTanhe Eco-Farming Limited Company in Hubei, China, Jianlin Liu, for his support during our experiment.
Conflicts of Interest
The authors declare that they have no conflict of interest.
References
- Giri, S.; Nejadhashemi, A.P.; Woznicki, S.; Zhang, Z. Analysis of best management practice effectiveness and spatiotemporal variability based on different targeting strategies. Hydrol. Process. 2014, 28, 431–445. [Google Scholar] [CrossRef]
- Liu, R.M.; Zhang, P.P.; Wang, X.J.; Chen, Y.X.; Shen, Z.Y. Assessment of effects of best management practices on agricultural non-point source pollution in Xiangxi River watershed. Agric. Water Manag. 2013, 117, 9–18. [Google Scholar] [CrossRef]
- Hashemi, F.; Olesen, J.E.; Dalgaard, T.; Børgesen, C.D. Review of scenario analyses to reduce agricultural nitrogen and phosphorus loading to the aquatic environment. Sci. Total Environ. 2016, 573, 608–626. [Google Scholar] [CrossRef]
- Sena, M.; Morris, M.R.; Seib, M.; Hicks, A. An exploration of economic valuation of phosphorus in the environment and its implications in decision making for resource recovery. Water Res. 2020, 172, 115449. [Google Scholar] [CrossRef] [PubMed]
- Prathumchai, N.; Polprasert, C.; Englande, A.J., Jr. Phosphorus leakage from fisheries sector—A case study in Thailand. Environ. Pollut. 2016, 219, 967–975. [Google Scholar] [CrossRef]
- Barcellos, D.; Queiroz, H.M.; Nóbrega, G.N.; Filho, R.L.D.O.; Santaella, S.T.; Otero, X.L.; Ferreira, T.O. Phosphorus enriched effluents increase eutrophication risks for mangrove systems in northeastern Brazil. Mar. Pollut. Bull. 2019, 142, 58–63. [Google Scholar] [CrossRef]
- Fraser, T.W.K.; Witten, P.E.; Albrektsen, S.; Breck, O.; Fontanillas, R.; Nankervis, L.; Thomsen, T.H.; Koppe, W.; Sambraus, F.; Fjelldal, P.G. Phosphorus nutrition in farmed Atlantic salmon (Salmo salar): Life stage and temperature effects on bone pathologies. Aquaculture 2019, 511, 734246. [Google Scholar] [CrossRef]
- Lall, S.P. The Minerals. In Fish Nutrition, 3rd ed.; Halver, J.E., Hardy, R.W., Eds.; Academic Press: London, UK, 2002; pp. 259–308. [Google Scholar]
- Xu, H.; Zhang, X.; Wei, Y.; Sun, B.; Jia, L.; Liang, M. Effects of dietary phosphorus level and stocking density on tiger puffer Takifugu rubripes: Growth performance, body composition, lipid metabolism, deposition of phosphorus and calcium, serum biochemical parameters, and phosphorus excretion. Aquaculture 2020, 529, 735709. [Google Scholar] [CrossRef]
- McDaniel, N.K.; Sugiura, S.H.; Kehler, T.; Fletcher, J.W.; Coloso, R.M.; Weis, P.; Ferraris, R.P. Dissolved oxygen and dietary phosphorus modulate utilization and effluent partitioning of phosphorus in rainbow trout (Oncorhynchus mykiss) aquaculture. Environ. Pollut. 2005, 138, 350–357. [Google Scholar] [CrossRef]
- Sugiura, S.H. Effects of dietary phosphorus restriction on phosphorus balance in rainbow trout Oncorhynchus mykiss. Aquacult. Sci. 2015, 63, 245–253. [Google Scholar] [CrossRef]
- Lellis, W.A.; Barrows, F.T.; Hardy, R.W. Effects of phase-feeding dietary phosphorus on survival, growth, and processing characteristics of rainbow trout Oncorhynchus mykiss. Aquaculture 2004, 242, 607–616. [Google Scholar] [CrossRef]
- Mai, K.; Zhang, C.; Ai, Q.; Duan, Q.; Xu, W.; Zhang, L.; Liufu, Z.; Tan, B. Dietary phosphorus requirement of large yellow croaker, Pseudosciaena crocea R. Aquaculture 2006, 251, 346–353. [Google Scholar] [CrossRef]
- Musharraf, M.; Khan, M.A. Dietary Phosphorus Requirement of Fingerling Indian Major Carp, Labeo rohita (Hamilton). J. World Aquac. Soc. 2019, 50, 469–484. [Google Scholar] [CrossRef]
- Zafar, N.; Khan, M.N. Determination of dietary phosphorus requirement of stinging catfish Heteropneustes fossilis based on feed conversion, growth, vertebrae phosphorus, whole body phosphorus, hematology and antioxidant status. Aquac. Nutr. 2018, 24, 1577–1586. [Google Scholar] [CrossRef]
- Hung, S.S.O. Recent advances in sturgeon nutrition. Anim. Nutr. 2017, 3, 191–204. [Google Scholar] [CrossRef]
- Jin, J.L.; Wang, C.F.; Tang, Q.; Xie, C.X.; Dai, Z.G. Dietary phosphorus affected growth performance, body composition, antioxidant status and total P discharge of young hybrid sturgeon (♀Huso huso × ♂Acipenser schrenckii) in winter months. J. Appl. Ichthyol. 2012, 28, 697–703. [Google Scholar] [CrossRef]
- Jin, J.; Chu, Z.; Chen, X.; Liang, X. Responses of hybrid sturgeon (Huso dauricus ♀ × Acipenser schrenckii ♂) to oral administration of phosphorus. Aquac. Res. 2020, 51, 1428–1436. [Google Scholar] [CrossRef]
- Xu, Q.Y.; Xu, H.; Wang, C.; Zheng, Q.; Sun, D. Studies on dietary phosphorus requirement of juvenile Siberian sturgeon Acipenser baerii. J. Appl. Ichthyol. 2011, 27, 709–714. [Google Scholar] [CrossRef]
- Chen, X.H.; Wu, J.P.; Tang, D.; Chu, Z.P.; Li, Y.; Liu, W.; Li, L.X. Analysis of nutrient components of sturgeon feeds in China. Freshw. Fish. 2018, 48, 67–76. [Google Scholar] [CrossRef]
- Hua, K.; Bureau, D.P. Modelling digestible phosphorus content of salmonid fish feeds. Aquaculture 2006, 254, 455–465. [Google Scholar] [CrossRef]
- Wang, C.; Tang, Q.; Luo, W.; Zhao, Y. Modeling phosphorus metabolism in fish species: An example for juvenile yellow catfish, Pelteobagrus fulvidraco. Aquac. Int. 2016, 24, 281–294. [Google Scholar] [CrossRef]
- NRC. Nutrient Requirements of Fish and Shrimp; Natlional Academic Press: Washington, DC, USA, 2011. [CrossRef]
- Ye, C.-X.; Liu, Y.-J.; Tian, L.-X.; Mai, K.-S.; Du, Z.-Y.; Yang, H.-J.; Niu, J. Effect of dietary calcium and phosphorus on growth, feed efficiency, mineral content and body composition of juvenile grouper, Epinephelus coioides. Aquaculture 2006, 255, 264–271. [Google Scholar] [CrossRef]
- Hassaan, M.S.; Soltan, M.A.; Agouz, H.M.; Badr, A.M. Influences of calcium/phosphorus ratio on supplemental microbial phytase efficiency for Nile tilapia (Oreochromis niloticus). Egypt. J. Aquat. Res. 2013, 39, 205–213. [Google Scholar] [CrossRef] [Green Version]
- Sanchez, C.C.; Palacios, M.C.A.; Perez, G.M.; Ross, L.C. Phosphorus and calcium requirements in the diet of the American cichlid Cichlasoma urophthalmus (Günther). Aquac. Nutr. 2000, 6, 1–9. [Google Scholar] [CrossRef] [Green Version]
- Deng, D.F.; Refstie, S.; Hemre, G.-I.; Crocker, C.E.; Chen, H.Y.; Cech, J.J., Jr.; Hung, S.S.O. A new technique of feeding, repeated sampling of blood and continuous collection of urine in white sturgeon. Fish Physiol. Biochem. 2000, 22, 191–197. [Google Scholar] [CrossRef]
- Tashjian, D.H.; Teh, S.J.; Sogomonyan, A.; Hung, S.S.O. Bioaccumulation and chronic toxicity of dietary L-selenomethionine in juvenile white sturgeon (Acipenser transmontanus). Aquat. Toxicol. 2006, 79, 401–409. [Google Scholar] [CrossRef] [Green Version]
- Ai, F.; Wang, L.; Li, J.; Xu, Q. Effects of a-ketoglutarate (AKG) supplementation in low phosphorous diets on the growth, phosphorus metabolism and skeletal development of juvenile mirror carp (Cyprinus carpio). Aquaculture 2019, 507, 393–401. [Google Scholar] [CrossRef]
- Morales, G.A.; Azcuy, R.L.; Casaretto, M.E.; Márquez, L.; Hernández, A.J.; Gómez, F.; Koppe, W.; Mereu, A. Effect of different inorganic phosphorus sources on growth performance, digestibility, retention efficiency and discharge of nutrients in rainbow trout (Oncorhynchus mykiss). Aquaculture 2018, 495, 568–574. [Google Scholar] [CrossRef]
- Andrews, J.W.; Murai, T.; Campbell, C. Effects of dietary calcium and phosphorous on growth, food conversion, bone ash and hematocrit levels of catfish. J. Nutr. 1973, 103, 766–771. [Google Scholar] [CrossRef] [Green Version]
- Cowey, C.B.; Sargent, J.R. Nutrition. In Fish Physiology; Hoar, W.S., Randall, D.J., Brett, J.R., Eds.; Academic Press: New York, NY, USA, 1979; Volume VIII, pp. 1–69. [Google Scholar]
- Hossain, M.A.; Yoshimatsu, T. Dietary calcium requirement in fishes. Aquac. Nutr. 2014, 20, 1–11. [Google Scholar] [CrossRef]
- Zafar, N.; Khan, M.A. Quantification of dietary calcium requirement of fingerling Heteropneustes fossilis based on growth, feed conversion efficiency, mineralization and serum alkaline phosphatase activity. J. Anim. Physiol. Anim. Nutr. 2019, 103, 1959–1968. [Google Scholar] [CrossRef] [PubMed]
- Cheng, K.-M.; Hu, C.-Q.; Liu, Y.-N.; Zheng, S.-X.; Qi, X.-J. Effects of dietary calcium, phosphorus and calcium/phosphorus ratio on the growth and tissue mineralization of Litopenaeus vannamei reared in low-salinity water. Aquaculture 2006, 251, 472–483. [Google Scholar] [CrossRef]
- Nwanna, L.C.; Oni, O.V. Determination of Optimum Calcium and Phosphorous Ratio for the Production of African Catfish Clarias gariepinus (Burchell, 1822). J. Appl. Sci. Environ. Manag. 2018, 22, 689. [Google Scholar] [CrossRef] [Green Version]
- Jahan, P.; Watanabe, T.; Satoh, S.; Kiron, V. A laboratory-based assessment of phosphorus and nitrogen loading from currently available commercial carp feeds. Fish. Sci. 2002, 68, 579–586. [Google Scholar] [CrossRef]
- Musharraf, M.; Khan, M.A. Dietary calcium requirement of fingerling Indian major carp, Labeo rohita (Hamilton) based on growth performance, tissue mineralization, whole body, and serum biochemical composition. Aquac. Int. 2020, 28, 1125–1139. [Google Scholar] [CrossRef]
- Sugiura, S.H.; Hardy, R.W.; Roberts, R.J. The pathology of phosphorus deficiency in fish—A review. J. Fish Dis. 2004, 27, 255–265. [Google Scholar] [CrossRef]
- Dalsgaard, J.; Ekmann, K.S.; Pedersen, P.B.; Verlhac, V. Effect of supplemented fungal phytase on performance and phosphorus availability by phosphorus-depleted juvenile rainbow trout (Oncorhynchus mykiss), and on the magnitude and composition of phosphorus waste output. Aquaculture 2009, 286, 105–112. [Google Scholar] [CrossRef]
- Dalsgaard, J.; Pedersen, P.B. Solid and suspended/dissolved waste (N, P, O) from rainbow trout (Oncorhynchus mykiss). Aquaculture 2011, 313, 92–99. [Google Scholar] [CrossRef]
- Sugiura, S.H.; Dong, F.M.; Hardy, R.W. Primary responses of rainbow trout to dietary phosphorus concentrations. Aquac. Nutr. 2000, 6, 235–245. [Google Scholar] [CrossRef]
- Bureau, D.P.; Cho, C.Y. Phosphorus utilization by rainbow trout (Oncorhynchus mykiss): Estimation of dissolved phosphorus waste output. Aquaculture 1999, 179, 127–140. [Google Scholar] [CrossRef]
- Adedokun, S.A.; Adeola, O. Calcium and phosphorus digestibility: Metabolic limits. J. Appl. Poult. Res. 2013, 22, 600–608. [Google Scholar] [CrossRef]
- Sabbagh, Y.; Giral, H.; Caldas, Y.; Levi, M.; Schiavi, S.C. Intestinal Phosphate Transport. Adv. Chronic Kidney Dis. 2011, 18, 85–90. [Google Scholar] [CrossRef] [PubMed] [Green Version]
- Werner, A.; Kinne, R.K. Evolution of the Na-Pi cotransport systems. Am. J. Physiol. 2001, 280, 301–312. [Google Scholar] [CrossRef]
- Marks, J.; Srai, S.K.; Biber, J.; Murer, H.; Unwin, R.J.; Debnam, E.S. Intestinal phosphate absorption and the effect of vitamin D: A comparison of rats with mice. Exp. Physiol. 2006, 91, 531–537. [Google Scholar] [CrossRef] [PubMed]
- Proszkowiec-Weglarz, M.; Angel, R. Calcium and phosphorus metabolism in broilers: Effect of homeostatic mechanism on calcium and phosphorus digestibility. J. Appl. Poult. Res. 2013, 22, 609–627. [Google Scholar] [CrossRef]
- Amirkolaie, A.K. Reduction in the environmental impact of waste discharged by fish farms through feed and feeding. Rev. Aquac. 2011, 3, 19–26. [Google Scholar] [CrossRef]
- Damasceno, F.M. Modelling the Dynamics of Phosphorus Digestion in Rainbow Trout. Ph.D. Dissertation, The University of Guelph, Guelph, ON, Canada, 2019. [Google Scholar]
- Huber, K.; Hempel, R.; Rodehutscord, M. Adaptation of Epithelial Sodium-Dependent Phosphate Transport in Jejunum and Kidney of Hens to Variations in Dietary Phosphorus Intake. Poult. Sci. 2006, 85, 1980–1986. [Google Scholar] [CrossRef]
Publisher’s Note: MDPI stays neutral with regard to jurisdictional claims in published maps and institutional affiliations. |
© 2022 by the authors. Licensee MDPI, Basel, Switzerland. This article is an open access article distributed under the terms and conditions of the Creative Commons Attribution (CC BY) license (https://creativecommons.org/licenses/by/4.0/).




